Syngas Production via Oxidative Reforming of Propane Using a CO2- and O2-Permeating Membrane
Abstract
1. Introduction
2. Materials and Methods
2.1. Membrane Preparation and Characterization
2.2. Permeation Measurements and Oxidative Reforming of Propane Test
3. Results and Discussion
3.1. Synthesis and Characterization of γ-LiAlO2/Ag Powders and Fabrication of Cermet–Molten-Carbonate Membranes
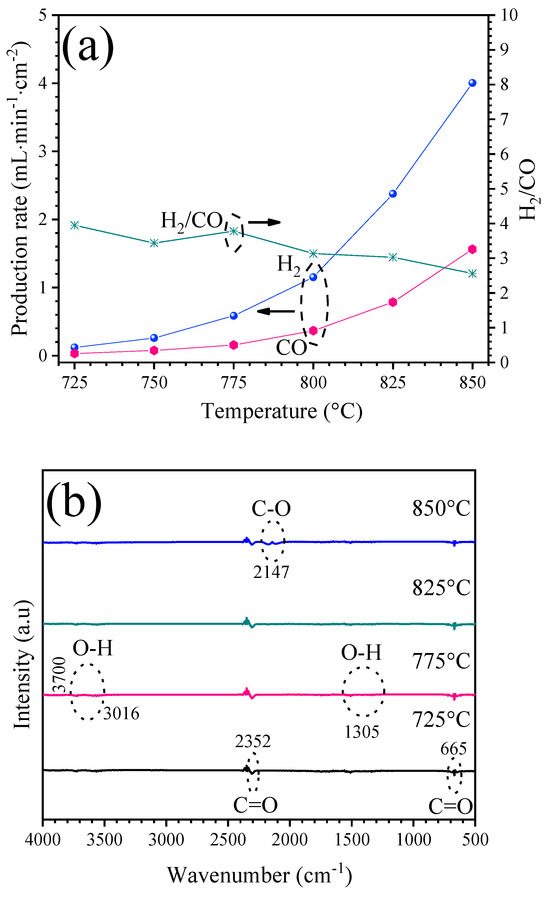
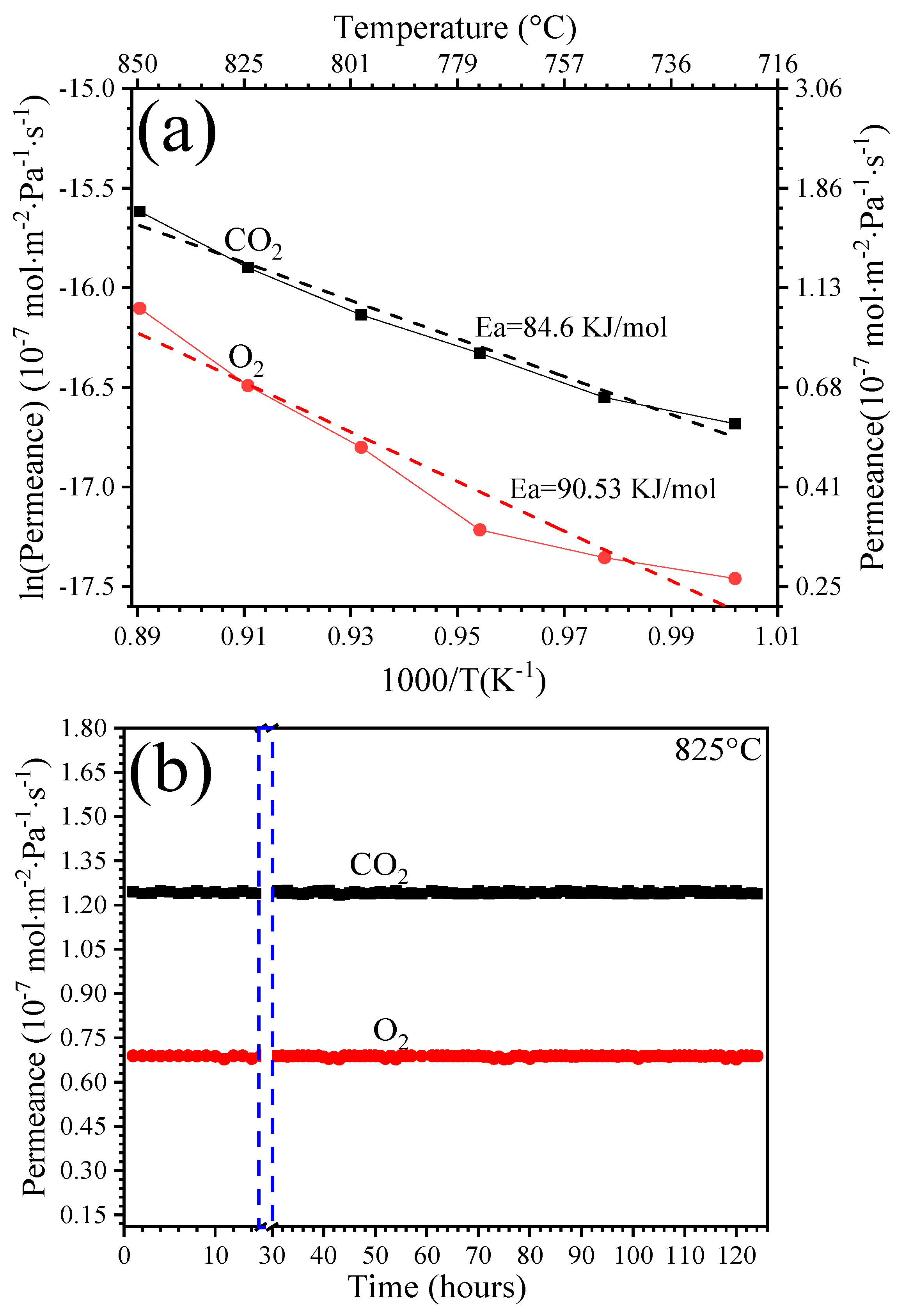
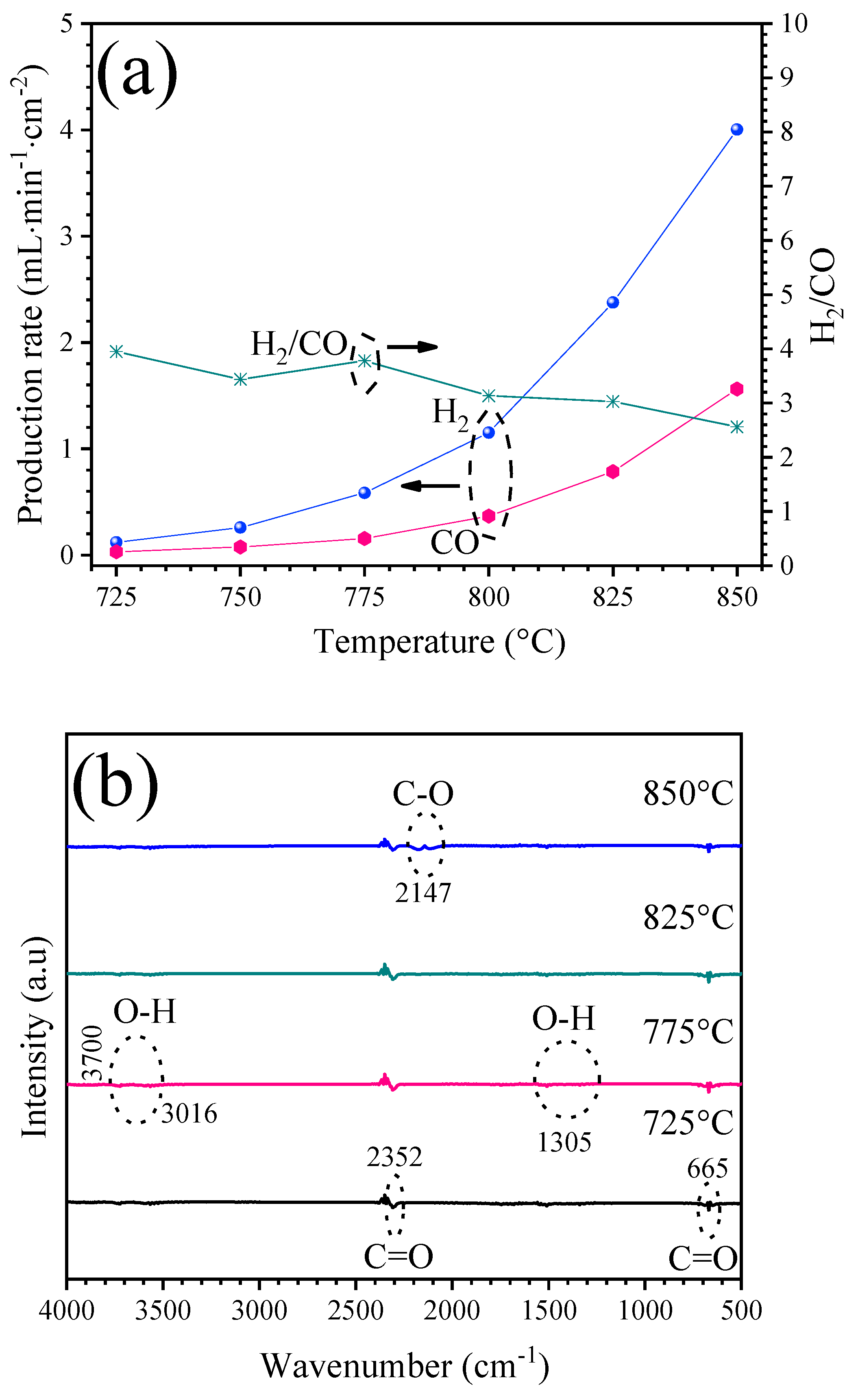
3.2. Permeation Measurements and Oxy-CO2 Reforming of Propane at High Temperatures in the Membrane Reactor Arrangement
3.3. Stability Test Under Oxidative Reforming of Propane
4. Conclusions
Supplementary Materials
Author Contributions
Funding
Institutional Review Board Statement
Data Availability Statement
Acknowledgments
Conflicts of Interest
References
- International Energy Agency (IEA). World Energy Outlook Report 2022; International Energy Agency (IEA): Paris, France, 2022; pp. 1–759. [Google Scholar]
- Inderwildi, O.R.; King, D.A.; Jenkins, S.J. Fischer-Tropsch synthesis of liquid fuels: Learning lessons from homogeneous catalysis. Phys. Chem. Chem. Phys. 2009, 11, 11110–11112. [Google Scholar] [CrossRef] [PubMed]
- Lin, T.; An, Y.; Yu, F.; Gong, K.; Yu, H.; Wang, C.; Sun, Y.; Zhong, L. Advances in Selectivity Control for Fischer–Tropsch Synthesis to Fuels and Chemicals with High Carbon Efficiency. ACS Catal. 2022, 12, 12092–12112. [Google Scholar] [CrossRef]
- Xu, H.; Cao, M.; Li, Z.; Li, W.; Meng, S.; Song, H. Production of low carbon number olefins from natural gas: Methane-involved catalytic non-oxidative propane dehydrogenation. Chem. Eng. J. 2023, 454, 140508. [Google Scholar] [CrossRef]
- Alhassan, M.; Jalil, A.A.; Bahari, M.B.; Owgi, A.H.K.; Nabgan, W.; Hassan, N.S.; Tran, T.V.; Abdulrasheed, A.A.; Hamid, M.Y.S.; Ikram, M.; et al. Profitable Fischer Tropsch realization via CO2-CH4 reforming; an overview of nickel-promoter-support interactions. RSC Adv. 2023, 13, 1711–1726. [Google Scholar] [CrossRef]
- Kokka, A.; Katsoni, A.; Yentekakis, I.V.; Panagiotopoulou, P. Hydrogen production via steam reforming of propane over supported metal catalysts. Int. J. Hydrogen Energy 2020, 45, 14849–14866. [Google Scholar] [CrossRef]
- Barzegari, F.; Kazemeini, M.; Rezaei, M.; Farhadi, F.; Keshavarz, A.R. Syngas production through CO2 reforming of propane over highly active and stable mesoporous NiO-MgO-SiO2 catalysts: Effect of calcination temperature. Fuel 2022, 322, 124211. [Google Scholar] [CrossRef]
- Liao, M.; Chen, Y.; Cheng, Z.; Wang, C.; Luo, X.; Bu, E.; Jiang, Z.; Liang, B.; Shu, R.; Song, Q. Hydrogen production from partial oxidation of propane: Effect of SiC addition on Ni/Al2O3 catalyst. Appl. Energy 2019, 252, 113435. [Google Scholar] [CrossRef]
- Wang, X.; Wang, N.; Zhao, J.; Wang, L. Thermodynamic analysis of propane dry and steam reforming for synthesis gas or hydrogen production. Int. J. Hydrogen Energy 2010, 35, 12800–12807. [Google Scholar] [CrossRef]
- Lintz, H.-G.; Müller, S.P. The partial oxidation of propane on mixed metal oxides—A short overview. Appl. Catal. A Gen. 2009, 357, 178–183. [Google Scholar] [CrossRef]
- Althenayan, F.M.; Adesina, A.A. Oxy-dry reforming of propane over Ce-promoted Co-Ni/Al2O3 catalyst. Appl. Petrochem. Res. 2018, 8, 239–251. [Google Scholar] [CrossRef]
- Al-Shafei, E.; Aljishi, M.; Albahar, M.; Alahmed, A.; Sanhoob, M. Effect of CO2/propane ratio and trimetallic oxide catalysts on maximizing dry reforming of propane. Mol. Catal. 2023, 537, 112945. [Google Scholar] [CrossRef]
- Arora, S.; Prasad, R. An overview on dry reforming of methane: Strategies to reduce carbonaceous deactivation of catalysts. RSC Adv. 2016, 6, 108668–108688. [Google Scholar] [CrossRef]
- Fabián-Anguiano, J.; Mendoza-Serrato, C.; Gómez-Yáñez, C.; Zeifert, B.; Ma, X.; Ortiz-Landeros, J. Simultaneous CO2 and O2 separation coupled to oxy-dry reforming of CH4 by means of a ceramic-carbonate membrane reactor for in situ syngas production. Chem. Eng. Sci. 2019, 210, 115250. [Google Scholar] [CrossRef]
- Abdallah, H. A Review on Catalytic Membranes Production and Applications. Bull. Chem. React. Eng. Catal. 2017, 12, 136–156. [Google Scholar] [CrossRef]
- Chung, S.J.; Park, J.H.; Li, D.; Ida, J.-I.; Kumakiri, I.; Lin, J.Y.S. Dual-Phase Metal-Carbonate Membrane for High-Temperature Carbon Dioxide Separation. Ind. Eng. Chem. Res. 2005, 44, 7999–8006. [Google Scholar] [CrossRef]
- Ovalle-Encinia, O.; Lin, Y.S. High-pressure CO2 permeation properties and stability of ceramic-carbonate dual-phase membranes. J. Memb. Sci. 2022, 646, 120249. [Google Scholar] [CrossRef]
- Sun, S.; Wen, Y.; Huang, K. A New Ceramic−Carbonate Dual-Phase Membrane for High-Flux CO2 Capture. ACS Sustain. Chem. Eng. 2021, 9, 5454–5460. [Google Scholar] [CrossRef]
- Xu, N.; Li, X.; Franks, M.A.; Zhao, H.; Huang, K. Silver-molten carbonate composite as a new high-flux membrane for electrochemical separation of CO2 from flue gas. J. Membr. Sci. 2012, 401–402, 190–194. [Google Scholar] [CrossRef]
- Zhang, L.; Gong, Y.; Yaggie, J.; Wang, S.; Romito, K.; Huang, K. Surface modified silver-carbonate mixed conducting membranes for high flux CO2 separation with enhanced stability. J. Membr. Sci. 2014, 453, 36–41. [Google Scholar] [CrossRef]
- Fang, J.; Tong, J.; Huang, K. A superior mixed electron and carbonate-ion conducting metal-carbonate composite membrane for advanced flue-gas carbon capture. J. Membr. Sci. 2016, 505, 225–230. [Google Scholar] [CrossRef]
- Tong, J.; Si, F.; Zhang, L.; Fang, J.; Han, M.; Huang, K. Stabilizing electrochemical carbon capture membrane with Al2O3 thin-film overcoating synthesized by chemical vapor deposition. Chem. Commun. 2015, 51, 2936–2938. [Google Scholar] [CrossRef]
- Zhang, P.; Tong, J.; Jee, Y.; Huang, K. Stabilizing a high-temperature electrochemical silver-carbonate CO2 capture membrane by atomic layer deposition of a ZrO2 overcoat. Chem. Commun. 2016, 52, 9817–9820. [Google Scholar] [CrossRef]
- Mendoza-Serrato, C.G.; López-Juárez, R.; Reyes-Montero, A.; Serrano, J.A.; Fabián-Anguiano, C.G.-Y.J.A.; Ortiz-Landeros, J. Performance of membranes based on novel Ce0.8Sm0.2O2−δ/Ag cermet and molten carbonates for CO2 and O2 separation. Chem. Eng. Sci. 2022, 255, 117673. [Google Scholar] [CrossRef]
- Fabián-Anguiano, J.; Ramírez-Moreno, M.; Balmori-Ramírez, H.; Romero-Serrano, J.; Romero-Ibarra, I.; Ma, X.; Ortiz-Landeros, J. Syngas production with CO2 utilization through the oxidative reforming of methane in a new cermet-carbonate packed-bed membrane reactor. J. Membr. Sci. 2021, 637, 119607. [Google Scholar] [CrossRef]
- Zhang, P.; Tong, J.; Huang, K. Dry-Oxy Methane Reforming with Mixed e-/CO32− Conducting Membranes. ACS Sustain. Chem. Eng. 2017, 5, 5432–5439. [Google Scholar] [CrossRef]
- Ovalle-Encinia, O.; Pfeiffer, H.; Fabián-Anguiano, J.A.; Ortiz-Landeros, J. Nanosized lithium aluminate (γ-LiAlO2) synthesized by EDTA-citrate complexing method, using different thermal conditions. J. Mex. Chem. Soc. 2019, 63, 229–245. [Google Scholar] [CrossRef]
- ASTM C373-88; Standard Test Method for Water Absorption, Bulk Density, Apparent Porosity, and Apparent Specific Gravity of Fired Whiteware Products. ASTM International: West Conshohocken, PA, USA, 2006. [CrossRef]
- Bale, C.; Chartrand, P.; Degterov, S.; Eriksson, G.; Hack, K.; Ben Mahfoud, R.; Melançon, J.; Pelton, A.; Petersen, S. FactSage thermochemical software and databases. Calphad 2002, 26, 189–228. [Google Scholar] [CrossRef]
- Scardi, P.; Leoni, M. Diffraction line profiles from polydisperse crystalline systems. Acta Crystallogr. Sect. A Found. Crystallogr. 2001, 57, 604–613. [Google Scholar] [CrossRef]
- Yeyongchaiwat, J.; Matsumoto, H.; Ishihara, T. Oxidative reforming of propane with oxygen permeating membrane reactor using Pr2Ni0.75Cu0.25Ga0.05O4 perovskite related mixed conductor. Solid State Ionics 2017, 301, 23–27. [Google Scholar] [CrossRef]
- Gomez, E.; Kattel, S.; Yan, B.; Yao, S.; Liu, P.; Chen, J.G. Combining CO2 reduction with propane oxidative dehydrogenation over bimetallic catalysts. Nat. Commun. 2018, 9, 1398. [Google Scholar] [CrossRef]
- Markova, E.B.; Cherednichenko, A.G.; Smirnova, S.S.; Sheshko, T.F.; Kryuchkova, T.A. Features of the Catalytic Cracking of Propane with a Step-Wise Change PrxYb2−xZr2O7. Catalysts 2023, 13, 396. [Google Scholar] [CrossRef]
- Azara, A.; Benyoussef, E.-H.; Mohellebi, F.; Chamoumi, M.; Gitzhofer, F.; Abatzoglou, N. Catalytic Dry Reforming and Cracking of Ethylene for Carbon Nanofilaments and Hydrogen Production Using a Catalyst Derived from a Mining Residue. Catalysts 2019, 9, 1069. [Google Scholar] [CrossRef]











Disclaimer/Publisher’s Note: The statements, opinions and data contained in all publications are solely those of the individual author(s) and contributor(s) and not of MDPI and/or the editor(s). MDPI and/or the editor(s) disclaim responsibility for any injury to people or property resulting from any ideas, methods, instructions or products referred to in the content. |
© 2024 by the authors. Licensee MDPI, Basel, Switzerland. This article is an open access article distributed under the terms and conditions of the Creative Commons Attribution (CC BY) license (https://creativecommons.org/licenses/by/4.0/).
Share and Cite
Fabián-Anguiano, J.A.; Cuéllar-Herrera, L.G.; Romero-Serrano, J.A.; Romero-Ibarra, I.C.; García-Murillo, A.; Carrillo-Romo, F.; Ortiz-Landeros, J. Syngas Production via Oxidative Reforming of Propane Using a CO2- and O2-Permeating Membrane. Membranes 2024, 14, 238. https://doi.org/10.3390/membranes14110238
Fabián-Anguiano JA, Cuéllar-Herrera LG, Romero-Serrano JA, Romero-Ibarra IC, García-Murillo A, Carrillo-Romo F, Ortiz-Landeros J. Syngas Production via Oxidative Reforming of Propane Using a CO2- and O2-Permeating Membrane. Membranes. 2024; 14(11):238. https://doi.org/10.3390/membranes14110238
Chicago/Turabian StyleFabián-Anguiano, José A., Lorena G. Cuéllar-Herrera, José A. Romero-Serrano, Issis C. Romero-Ibarra, Antonieta García-Murillo, Felipe Carrillo-Romo, and José Ortiz-Landeros. 2024. "Syngas Production via Oxidative Reforming of Propane Using a CO2- and O2-Permeating Membrane" Membranes 14, no. 11: 238. https://doi.org/10.3390/membranes14110238
APA StyleFabián-Anguiano, J. A., Cuéllar-Herrera, L. G., Romero-Serrano, J. A., Romero-Ibarra, I. C., García-Murillo, A., Carrillo-Romo, F., & Ortiz-Landeros, J. (2024). Syngas Production via Oxidative Reforming of Propane Using a CO2- and O2-Permeating Membrane. Membranes, 14(11), 238. https://doi.org/10.3390/membranes14110238

