Short-Term Stability of Electrochemical Properties of Layer-by-Layer Coated Heterogeneous Ion Exchange Membranes
Abstract
1. Introduction
2. Materials and Methods
2.1. Membrane Preparation and Modification
2.1.1. Materials for Preparation and Modification
2.1.2. Procedures of Membrane Preparation and Modification
2.2. Thickness Measurements
2.3. i-V Curves
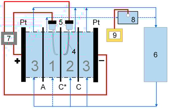
2.4. Operation under Direct Current
2.5. Attenuated Total Reflection Fourier Transform Infrared Spectroscopy
3. Results and Discussion
3.1. Thickness of Formed Layers
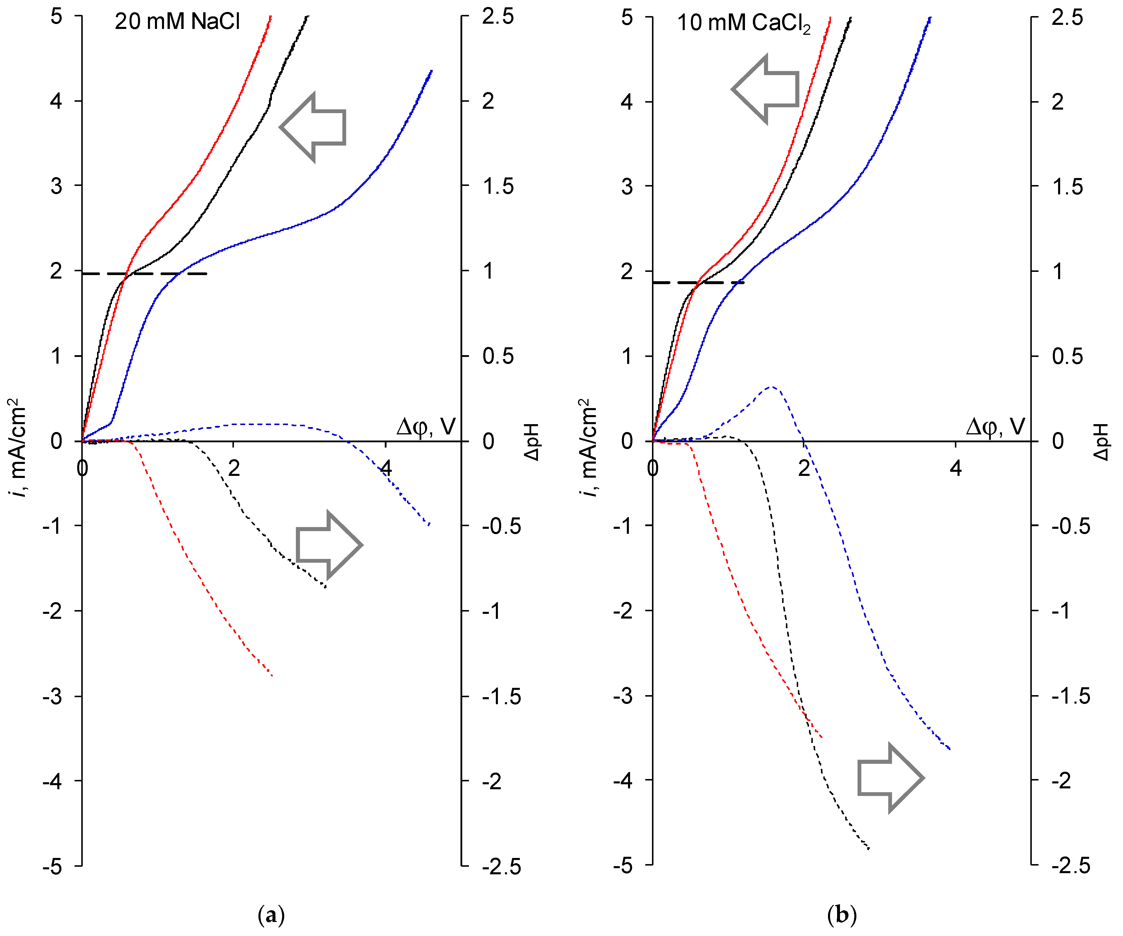
3.2. Voltammetric Curves
3.3. Considerations on the Possible Changes in Composition Based on ATR-FTIR Spectra
4. Conclusions
Author Contributions
Funding
Institutional Review Board Statement
Data Availability Statement
Conflicts of Interest
References
- Decher, G.; Hong, J.D.; Schmitt, J. Buildup of ultrathin multilayer films by a self-assembly process: III. Consecutively alter-nating adsorption of anionic and cationic polyelectrolytes on charged surfaces. Thin Solid Film 1992, 210–211, 831–835. [Google Scholar] [CrossRef]
- Ying, J.; Lin, Y.; Zhang, Y.; Jin, Y.; Matsuyama, H.; Yu, J. Layer-by-layer assembly of cation exchange membrane for highly efficient monovalent ion selectivity. Chem. Eng. J. 2022, 446 Pt 2, 137076. [Google Scholar] [CrossRef]
- Nie, X.-Y.; Sun, S.-Y.; Sun, Z.; Song, X.; Yu, J.-G. Ion-fractionation of lithium ions from magnesium ions by electrodialysis using monovalent selective ion-exchange membranes. Desalination 2017, 403, 128–135. [Google Scholar] [CrossRef]
- Gu, L.; Xie, M.-Y.; Jin, Y.; He, M.; Xing, X.-Y.; Yu, Y.; Wu, Q.-Y. Construction of antifouling membrane surfaces through layer-by-layer self-assembly of lignosulfonate and polyethyleneimine. Polymers 2019, 11, 1782. [Google Scholar] [CrossRef] [PubMed]
- Kotoka, F.; Merino-Garcia, I.; Velizarov, S. Surface modifications of anion exchange membranes for an improved reverse electrodialysis process performance: A review. Membranes 2020, 10, 160. [Google Scholar] [CrossRef] [PubMed]
- Gentile, P.; Carmagnolia, I.; Nardo, T.; Chiono, V. Layer-by-layer assembly for biomedical applications in the last decade. Nanotechnology 2015, 26, 422001. [Google Scholar] [CrossRef]
- Liu, T.; Rui, S.; Li, S. Layer-by-layer self-assembly composite coatings for improved corrosion and wear resistance of Mg alloy for biomedical applications. Coatings 2021, 11, 515. [Google Scholar] [CrossRef]
- Paker, E.S.; Senel, M. Polyelectrolyte multilayers composed of polyethyleneimine grafted chitosan and polyacrylic acid for controlled drug-delivery applications. J. Funct. Biomater. 2022, 13, 131. [Google Scholar] [CrossRef]
- Kirkland, J.J. Porous thin-layer modified glass bead supports for gas liquid chromatography. Anal. Chem. 1965, 37, 1458–1461. [Google Scholar] [CrossRef]
- Chakkarapani, L.D.; Arumugam, S.; Brandl, M. Layer-by-layer sensor architecture of polymers and nanoparticles for electrochemical detection of uric acid in human urine samples. Mater. Today Chem. 2021, 22, 100561. [Google Scholar] [CrossRef]
- Guzmán, E.; Mateos-Maroto, A.; Ruano, M.; Ortega, F.; Rubio, R.G. Layer-by-Layer polyelectrolyte assemblies for encapsulation and release of active compounds. Adv. Colloid Interface Sci. 2017, 249, 290–307. [Google Scholar] [CrossRef] [PubMed]
- Song, G.; Liu, J.; Wang, Q.; Wang, D.; Chu, B.; Li, L.; Xiao, G.; Gong, J.; Zheng, F. Layer-by-layer self-assembly of hollow dextran sulfate/chitosan-coated zein nanoparticles loaded with crocin: Fabrication, structural characterization and potential biological fate. Food Hydrocoll. 2022, 125, 107420. [Google Scholar] [CrossRef]
- Arnon-Rips, H.; Poverenov, E. Improving food products’ quality and storability by using layer by layer edible coatings. Trends Food Sci. Technol. 2018, 75, 81–92. [Google Scholar] [CrossRef]
- White, N.; Misovich, M.; Yaroshchuk, A.; Bruening, M.L. Coating of Nafion membranes with polyelectrolyte multilayers to achieve high monovalent/divalent cation electrodialysis selectivities. ACS Appl. Mater. Interfaces 2015, 7, 6620–6628. [Google Scholar] [CrossRef] [PubMed]
- Du, Y.; Yang, F.; Yu, H.; Cheng, Y.; Guo, Y.; Yao, W.; Xie, Y. Fabrication of novel self-healing edible coating for fruits preservation and its performance maintenance mechanism. Food Chem. 2021, 351, 129284. [Google Scholar] [CrossRef] [PubMed]
- Evdochenko, E.; Kamp, J.; Femmer, R.; Xu, Y.; Nikonenko, V.V.; Wessling, M. Unraveling the effect of charge distribution in a polyelectrolyte multilayer nanofiltration membrane on its ion transport properties. J. Memb. Sci. 2020, 611, 118045. [Google Scholar] [CrossRef]
- Ying, J.; Lin, Y.; Zhang, Y.; Jin, Y.; Li, X.; She, Q.; Matsuyama, H.; Yua, J. Mechanistic insights into the degradation of monovalent selective ion exchange membrane towards long-term application of real salt lake brines. J. Memb. Sci. 2022, 652, 120446. [Google Scholar] [CrossRef]
- Shen, S.; Wang, N.; Jia, J.; Song, D.; Zuo, T.; Liu, K.; Che, Q. Constructing the basal nanofibers suit of layer-by-layer self-assembly membranes as anion exchange membranes. J. Mol. Liq. 2022, 350, 118536. [Google Scholar] [CrossRef]
- Ghalloussi, R.; Garcia-Vasquez, W.; Bellakhal, N.; Larchet, C.; Dammak, L.; Huguet, P.; Grande, D. Ageing of ion-exchange membranes used in electrodialysis: Investigation of static parameters, electrolyte permeability and tensile strength. Sep. Purif. Technol. 2011, 80, 270–275. [Google Scholar] [CrossRef]
- Richardson, J.J.; Björnmalm, M.; Caruso, F. Technology-Driven Layer-by-Layer Assembly of Nanofilms. Science 2015, 348, aaa2491. [Google Scholar] [CrossRef]
- Solonchenko, K.; Rybalkina, O.; Chuprynina, D.; Kirichenko, E.; Kirichenko, K.; Nikonenko, V. Stability of Properties of Layer-by-Layer Coated Membranes under Passage of Electric Current. Polymers 2022, 14, 5172. [Google Scholar] [CrossRef] [PubMed]
- Ghalloussi, R.; Chaabane, L.; Larchet, C.; Dammak, L.; Grande, D. Structural and physicochemical investigation of ageing of ion-exchange membranes in electrodialysis for food industry. Sep. Purif. Technol. 2014, 123, 229–234. [Google Scholar] [CrossRef]
- Doi, S.; Takumi, N.; Kakihana, Y.; Higa, M. Alkali attack on cation-exchange membranes with polyvinyl chloride backing and binder: Comparison with anion-exchange membranes. Membranes 2020, 10, 228. [Google Scholar] [CrossRef] [PubMed]
- Doi, S.; Kinoshita, M.; Yasukawa, M.; Higa, M. Alkali attack on anion exchange membranes with PVC backing and binder: II Prediction of electrical and mechanical performances from simple optical analyses. Membranes 2018, 8, 133. [Google Scholar] [CrossRef]
- Zabolotskii, V.I.; Chermit, R.K.; Sharafan, M.V. Mass transfer mechanism and chemical stability of strongly basic ani-on-exchange membranes under overlimiting current conditions. Rus. J. Electrochem. 2014, 50, 38–45. [Google Scholar] [CrossRef]
- Nikonenko, V.V.; Kovalenko, A.V.; Urtenov, M.K.; Pismenskaya, N.D.; Han, J.; Sistat, P.; Pourcelly, G. Desalination at overlimiting currents: State-of-the-art and perspectives. Desalination 2014, 342, 85–106. [Google Scholar] [CrossRef]
- Bazinet, L.; Geoffroy, T.M. Electrodialytic processes: Market overview, membrane phenomena, recent developments and sustainable strategies. Membranes 2020, 10, 221. [Google Scholar] [CrossRef]
- Gonzalez-Vogel, A.; Rojas, O.J. Exploiting electroconvective vortices in electrodialysis with high-frequency asymmetric bipolar pulses for desalination in overlimiting current regimes. Desalination 2020, 474, 114190. [Google Scholar] [CrossRef]
- Nikonenko, V.V.; Pismenskaya, N.D.; Belova, E.I.; Sistat, P.; Huguet, P.; Pourcelly, G.; Larchet, C. Intensive current transfer in membrane systems: Modelling, mechanisms and application in electrodialysis. Adv. Colloid Interface Sci. 2010, 160, 101–123. [Google Scholar] [CrossRef]
- Persico, M.; Mikhaylin, S.; Doyen, A.; Firdaous, L.; Nikonenko, V.; Pismenskaya, N.; Bazinet, L. Prevention of peptide fouling on ion-exchange membranes during electrodialysis in overlimiting conditions. J. Memb. Sci. 2017, 543, 212–221. [Google Scholar] [CrossRef]
- Chen, B.; Mardle, P.; Holdcroft, S. Probing the effect of ionomer swelling on the stability of anion exchange membrane water electrolyzers. J. Power Sources 2022, 550, 232134. [Google Scholar] [CrossRef]
- Huang, J.; Yu, Z.; Tang, J.; Wang, P.; Tan, Q.; Wang, J.; Lei, X. A review on anion exchange membranes for fuel cells: Anion-exchange polyelectrolytes and synthesis strategies. Int. J. Hydrogen Energy 2022, 47, 27800–27820. [Google Scholar] [CrossRef]
- Ahn, Y.; Kim, D. High energy efficiency and stability of vanadium redox flow battery using pore-filled anion exchange membranes with ultra-low V4+ permeation. J. Ind. Eng. Chem. 2022, 110, 395–404. [Google Scholar] [CrossRef]
- Chu, J.Y.; Lee, K.H.; Kim, A.R.; Yoo, D.J. Improved electrochemical performance of composite anion exchange membranes for fuel cells through cross linking of the polymer chain with functionalized graphene oxide. J. Memb. Sci. 2020, 611, 118385. [Google Scholar] [CrossRef]
- Volodina, E.; Pismenskaya, N.; Nikonenko, V.; Larchet, C.; Pourcelly, G. Ion transfer across ion-exchange membranes with homogeneous and heterogeneous surfaces. J. Colloid Interface Sci. 2005, 285, 247–258. [Google Scholar] [CrossRef]
- Shchekinoazot Innovative Company, Ltd. Monopolar Membranes. (In Russian). Available online: http://www.azotom.ru/monopolyarnye-membrany/ (accessed on 20 November 2022).
- Gubari, M.H.; Zwain, H.M.; Al-Zahiwat, M.M.; Alekseeva, N.V. Characteristics of the MK-40 and MA-40 Membranes for Industrial Wastewater Treatment—A Review. Ecol. Eng. Environ. Technol. 2021, 1, 39–50. [Google Scholar] [CrossRef]
- Pismenskaya, N.; Melnik, N.; Nevakshenova, E.; Nebavskaya, K.; Nikonenko, V. Enhancing ion transfer in overlimiting electrodialysis of dilute solutions by modifying the surface of heterogeneous ion-exchange membranes. Int. J. Chem. Eng. 2012, 2012, 528290. [Google Scholar] [CrossRef]
- Mesić, M.; Klačić, T.; Abram, A.; Bohinc, K.; Kovačević, D. Role of Substrate Type in the Process of Polyelectrolyte Multilayer Formation. Polymers 2022, 14, 2566. [Google Scholar] [CrossRef] [PubMed]
- Kitayama, Y.; Yazaki, Y.; Emoto, J.; Yuba, E.; Harada, A. Programed Thermoresponsive Polymers with Cleavage-Induced Phase Transition. Molecules 2022, 27, 6082. [Google Scholar] [CrossRef]
- Yoshida, K.; Kamijo, T.; Ono, T.; Dairaku, T.; Takahashi, S.; Kashiwagi, Y.; Sato, K. Electrical Stimuli-Responsive Decomposition of Layer-by-Layer Films Composed of Polycations and TEMPO-Modified Poly(acrylic acid). Polymers 2022, 14, 5349. [Google Scholar] [CrossRef] [PubMed]
- Dubrovskii, A.V.; Kim, A.L.; Musin, E.V.; Tikhonenko, S.A. A Study of the Buffer Capacity of Polyelectrolyte Microcapsules Depending on Their Ionic Environment and Incubation Temperature. Int. J. Mol. Sci. 2022, 23, 6608. [Google Scholar] [CrossRef] [PubMed]
- Tedeschi, A.M.; Di Caprio, F.; Piozzi, A.; Pagnanelli, F.; Francolini, I. Sustainable Bioactive Packaging Based on Thermoplastic Starch and Microalgae. Int. J. Mol. Sci. 2022, 23, 178. [Google Scholar] [CrossRef] [PubMed]
- Balatskiy, D.; Tkachenko, I.; Malakhova, I.; Polyakova, N.; Bratskaya, S. Polyethylenimine as a Non-Innocent Ligand for Hexacyanoferrates Immobilization. Molecules 2022, 27, 8489. [Google Scholar] [CrossRef] [PubMed]
- Monteil, C.; Jean, E.; Bar, N.; Villemin, D. Phosphonated Polyethylenimine Maghemite Nanoparticles: A Convenient Support of Palladium for Cross-Coupling Reactions. Organics 2022, 3, 491–501. [Google Scholar] [CrossRef]
- Guimarães, J.R.; Carballares, D.; Rocha-Martin, J.; Tardioli, P.W.; Fernandez-Lafuente, R. Tuning Immobilized Enzyme Features by Combining Solid-Phase Physicochemical Modification and Mineralization. Int. J. Mol. Sci. 2022, 23, 12808. [Google Scholar] [CrossRef]
- Alba, A.; Villaggio, G.; Messina, G.M.L.; Caruso, M.; Federico, C.; Cambria, M.T.; Marletta, G.; Sinatra, F. Cytostatic Effects of Polyethyleneimine Surfaces on the Mesenchymal Stromal Cell Cycle. Polymers 2022, 14, 2643. [Google Scholar] [CrossRef]
- McFerran, A.; McIvor, M.J.; Lemoine, P.; Meenan, B.J.; Acheson, J.G. Biocompatible Nanocomposite Coatings Deposited via Layer-by-Layer Assembly for the Mechanical Reinforcement of Highly Porous Interconnected Tissue-Engineered Scaffolds. Bioengineering 2022, 9, 585. [Google Scholar] [CrossRef]
- McCartin, C.; Dussouillez, C.; Bernhard, C.; Mathieu, E.; Blumberger, J.; Dontenwill, M.; Herold-Mende, C.; Idbaih, A.; Lavalle, P.; Bellemin-Laponnaz, S.; et al. Polyethylenimine, an Autophagy-Inducing Platinum-Carbene-Based Drug Carrier with Potent Toxicity towards Glioblastoma Cancer Stem Cells. Cancers 2022, 14, 5057. [Google Scholar] [CrossRef]
- Akif, F.A.; Mahmoud, M.; Prasad, B.; Richter, P.; Azizullah, A.; Qasim, M.; Anees, M.; Krüger, M.; Gastiger, S.; Burkovski, A.; et al. Polyethylenimine Increases Antibacterial Efficiency of Chlorophyllin. Antibiotics 2022, 11, 1371. [Google Scholar] [CrossRef]
- Abdu, S.; Marti-Calatayud, M.-C.; Wong, J.E.; García-Gabaldon, M.; Wessling, M. Layer-by-layer modification of cation exchange membranes controls ion selectivity and water splitting. ACS Appl. Mater. Interfaces 2014, 6, 1843–1854. [Google Scholar] [CrossRef] [PubMed]
- Cheng, C.; Yaroshchuk, A.; Bruening, M.L. Fundamentals of selective ion transport through multilayer polyelectrolyte membranes. Langmuir 2013, 29, 1885–1892. [Google Scholar] [CrossRef] [PubMed]
- Rijnaarts, T.; Reurink, D.M.; Radmanesh, F.; de Vos, W.M. Layer-by-layer coatings on ion exchange membranes: Effect of multilayer charge and hydration on monovalent ion selectivities. J. Memb. Sci. 2019, 570–571, 513–521. [Google Scholar] [CrossRef]
- Aydogan Gokturk, P.; Sujanani, R.; Qian, J.; Wang, Y.; Katz, L.E.; Freeman, B.D.; Crumlin, E.J. The Donnan potential revealed. Nat. Commun. 2022, 13, 5880. [Google Scholar] [CrossRef] [PubMed]
- Rybalkina, O.; Tsygurina, K.; Sabbatovskiy, K.; Kirichenko, E.; Sobolev, V.; Kirichenko, K. Dependence of electrochemical properties of MK-40 heterogeneous membrane on number of adsorbed layers of polymers. Membranes 2022, 12, 145. [Google Scholar] [CrossRef]
- Newman, J.; Balsara, N.P. Electrochemical Systems, 4th ed.; John Wiley & Sons: Hoboken, NJ, USA, 2021; pp. 327–360. [Google Scholar]
- Filippov, A. Asymmetry of current–voltage characteristics: A bilayer model of a modified ion-exchange membrane. Colloid J. 2016, 78, 397–406. [Google Scholar] [CrossRef]
- Knežević, K.; Reif, D.; Harasek, M.; Krampe, J.; Kreuzinger, N. Assessment of graphical methods for determination of the limiting current density in complex electrodialysis-feed solutions. Membranes 2022, 12, 241. [Google Scholar] [CrossRef]
- Isaacson, M.S.; Sonin, A.A. Sherwood number and friction factor correlations for electrodialysis systems, with application to process optimization. Ind. Eng. Chem. Proc. Des. Dev. 1976, 15, 313–321. [Google Scholar] [CrossRef]
- Titorova, V.D.; Mareev, S.A.; Gorobchenko, A.D.; Gil, V.V.; Nikonenko, V.V.; Sabbatovskii, K.G.; Pismenskaya, N.D. Effect of current-induced coion transfer on the shape of chronopotentiograms of cation-exchange membranes. J. Memb. Sci. 2021, 624, 119036. [Google Scholar] [CrossRef]
- Titorova, V.; Sabbatovskiy, K.; Sarapulova, V.; Kirichenko, E.; Sobolev, V.; Kirichenko, K. Characterization of MK-40 Membrane Modified by Layers of Cation Exchange and Anion Exchange Polyelectrolytes. Membranes 2020, 10, 20. [Google Scholar] [CrossRef]
- Park, J.S.; Choi, J.H.; Yeon, K.H.; Moon, S.H. An approach to fouling characterization of an ion-exchange membrane using current-voltage relation and electrical impedance spectroscopy. J. Colloid Interface Sci. 2006, 294, 129–138. [Google Scholar] [CrossRef]
- Rubinstein, I.; Zaltzman, B.; Pundik, T. Ion-exchange funneling in thin-film coating modification of heterogeneous electrodialysis membranes. Phys. Rev. E 2002, 65, 041507. [Google Scholar] [CrossRef] [PubMed]
- Urtenov, M.K.; Uzdenova, A.M.; Kovalenko, A.V.; Nikonenko, V.V.; Pismenskaya, N.D.; Vasil’eva, V.I.; Sistat, P.; Pourcelly, G. Basic mathematical model of overlimiting transfer enhanced by electroconvection in flow-through electrodialysis membrane cells. J. Memb. Sci. 2013, 447, 190–202. [Google Scholar] [CrossRef]
- Zabolotskii, V.I.; Sheldeshov, N.V.; Melnikov, S.S. Heterogeneous bipolar membranes and their application in electrodialysis. Desalination 2014, 342, 183–203. [Google Scholar] [CrossRef]
- Choi, J.-H.; Moon, S. Structural change of ion-exchange membrane surfaces under high electric fields and its effects on membrane properties. J. Colloid Interface Sci. 2003, 265, 93–100. [Google Scholar] [CrossRef]
- Hwang, U.-S.; Choi, J.-H. Changes in the electrochemical characteristics of a bipolar membrane immersed in high concentration of alkaline solutions. Sep. Purif. Technol. 2006, 48, 16–23. [Google Scholar] [CrossRef]
- Zabolotskii, V.I.; Bugakov, V.V.; Sharafan, M.V.; Chermit, R.K. Transfer of electrolyte ions and water dissociation in anion-exchange membranes under intense current conditions. Russ. J. Electrochem. 2012, 48, 650–659. [Google Scholar] [CrossRef]
- Kishor, R.; Ghoshal, A.K. High molecular weight polyethyleneimine functionalized three dimensional mesoporous silica for regenerable CO2 separation. Chem. Eng. J. 2016, 300, 236–244. [Google Scholar] [CrossRef]







| Property | Value |
|---|---|
| Thickness, mm | 0.3–0.5 |
| Elongation during swelling, %, in length | 8 ± 2 |
| Elongation during swelling, %, in thickness | 30 ± 5 |
| Area resistance, Ohm·cm2, no more than | 10.0 |
| [counterions] transport number, fraction, no less than | 0.8 |
| Ion exchange group | sulfonic (SO3H) |
| Inert filler | polyethylene |
| Reinforcing cloth | polyamide |
| Sample | MK-40 | MK-40-M-PAH | MK-40-M-PEI |
|---|---|---|---|
| Substrate | MK-40 | MK-40 | MK-40 |
| Homogenizing layer | - | LF-4SC | LF-4SC |
| Outer layer | - | PAH | PEI |
| Tested in 20 mM NaCl | + | + | + |
| Tested in 10 mM CaCl2 | + | + | + |
| Layer Thickness | In 20 mM NaCl Solution | In 10 mM CaCl2 Solution |
|---|---|---|
| LF-4SC | 2.4 ± 2 | 2.0 ± 2 |
| PEI | 11.8 ± 4 | 12.0 ± 5 |
| PAH | 2.4 ± 2.5 | 1.6 ± 2 |
Disclaimer/Publisher’s Note: The statements, opinions and data contained in all publications are solely those of the individual author(s) and contributor(s) and not of MDPI and/or the editor(s). MDPI and/or the editor(s) disclaim responsibility for any injury to people or property resulting from any ideas, methods, instructions or products referred to in the content. |
© 2022 by the authors. Licensee MDPI, Basel, Switzerland. This article is an open access article distributed under the terms and conditions of the Creative Commons Attribution (CC BY) license (https://creativecommons.org/licenses/by/4.0/).
Share and Cite
Sarapulova, V.; Nevakshenova, E.; Tsygurina, K.; Ruleva, V.; Kirichenko, A.; Kirichenko, K. Short-Term Stability of Electrochemical Properties of Layer-by-Layer Coated Heterogeneous Ion Exchange Membranes. Membranes 2023, 13, 45. https://doi.org/10.3390/membranes13010045
Sarapulova V, Nevakshenova E, Tsygurina K, Ruleva V, Kirichenko A, Kirichenko K. Short-Term Stability of Electrochemical Properties of Layer-by-Layer Coated Heterogeneous Ion Exchange Membranes. Membranes. 2023; 13(1):45. https://doi.org/10.3390/membranes13010045
Chicago/Turabian StyleSarapulova, Veronika, Ekaterina Nevakshenova, Kseniia Tsygurina, Valentina Ruleva, Anna Kirichenko, and Ksenia Kirichenko. 2023. "Short-Term Stability of Electrochemical Properties of Layer-by-Layer Coated Heterogeneous Ion Exchange Membranes" Membranes 13, no. 1: 45. https://doi.org/10.3390/membranes13010045
APA StyleSarapulova, V., Nevakshenova, E., Tsygurina, K., Ruleva, V., Kirichenko, A., & Kirichenko, K. (2023). Short-Term Stability of Electrochemical Properties of Layer-by-Layer Coated Heterogeneous Ion Exchange Membranes. Membranes, 13(1), 45. https://doi.org/10.3390/membranes13010045

