Mitigating of Thin-Film Composite PTMSP Membrane Aging by Introduction of Porous Rigid and Soft Branched Polymeric Additives
Abstract
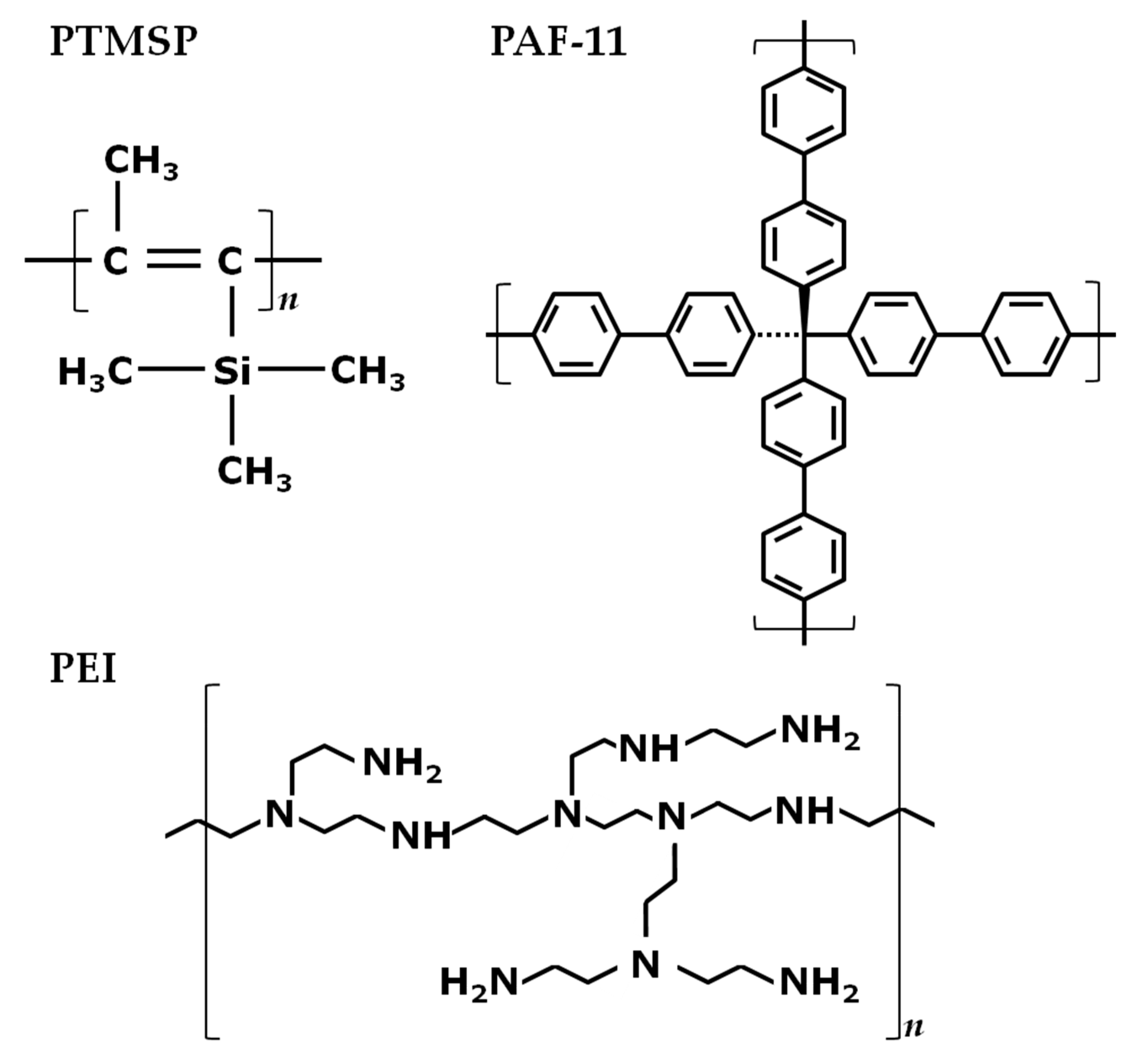
1. Introduction
2. Materials and Methods
2.1. Membrane Preparation
2.2. Characterization
2.2.1. Gas Permeability
2.2.2. Nitrogen Adsorption
2.2.3. Carbon Dioxide Exposure
2.2.4. Helium Pycnometry
2.2.5. Scanning Electron Microscopy (SEM)
2.2.6. Solvent Exposure
2.2.7. Processing of Gas-Permeability Experimental Data
3. Results
3.1. Structure and Morphology
3.2. Aging of PTMSP-Based TFC Membranes
3.3. N2 Adsorption
4. Conclusions
Author Contributions
Funding
Institutional Review Board Statement
Informed Consent Statement
Data Availability Statement
Acknowledgments
Conflicts of Interest
References
- Alqaheem, Y.; Alomair, A.; Vinoba, M.; Pérez, A. Polymeric gas-separation membranes for petroleum refining. Int. J. Polym. Sci. 2017, 2017, 4250927. [Google Scholar] [CrossRef]
- Alent’ev, A.Y.; Volkov, A.V.; Vorotyntsev, I.V.; Maksimov, A.L.; Yaroslavtsev, A.B. Membrane technologies for decarbonization. Membr. Membr. Technol. 2021, 3, 255–273. [Google Scholar] [CrossRef]
- Liu, M.; Nothling, M.D.; Zhang, S.; Fu, Q.; Qiao, G.G. Thin film composite membranes for postcombustion carbon capture: Polymers and beyond. Prog. Polym. Sci. 2022, 126, 101504. [Google Scholar] [CrossRef]
- Kárászová, M.; Zach, B.; Petrusová, Z.; Červenka, V.; Bobák, M.; Šyc, M.; Izák, P. Post-combustion carbon capture by membrane separation, Review. Sep. Purif. Technol. 2020, 238, 116448. [Google Scholar] [CrossRef]
- Merkel, T.C.; Lin, H.; Wei, X.; Baker, R. Power plant post-combustion carbon dioxide capture: An opportunity for membranes. J. Membr. Sci. 2010, 359, 126–139. [Google Scholar] [CrossRef]
- White, L.S.; Wei, X.; Pande, S.; Wu, T.; Merkel, T.C. Extended flue gas trials with a membrane-based pilot plant at a one-ton-per-day carbon capture rate. J. Membr. Sci. 2015, 496, 48–57. [Google Scholar] [CrossRef]
- White, L.S.; Amo, K.D.; Wu, T.; Merkel, T.C. Extended field trials of Polaris sweep modules for carbon capture. J. Membr. Sci. 2017, 542, 217–225. [Google Scholar] [CrossRef]
- Brinkmann, T.; Lillepärg, J.; Notzke, H.; Pohlmann, J.; Shishatskiy, S.; Wind, J.; Wolff, T. Development of CO2 selective poly (ethylene oxide)-based membranes: From laboratory to pilot plant scale. Engineering 2017, 3, 485–493. [Google Scholar] [CrossRef]
- Polotskaya, G.; Putintseva, M.; Pulyalina, A.; Gofman, I.; Toikka, A. Impact of endometallofullerene on P84 copolyimide transport and thermomechanical properties. Polymers 2018, 10, 1108. [Google Scholar] [CrossRef]
- Pulyalina, A.; Rostovtseva, V.; Minich, I.; Silyukov, O.; Toikka, M.; Saprykina, N.; Polotskaya, G. Specific structure and properties of composite membranes based on the Torlon®(polyamide-imide)/layered perovskite oxide. Symmetry 2020, 12, 1142. [Google Scholar] [CrossRef]
- Iulianelli, A.; Drioli, E. Membrane engineering: Latest advancements in gas separation and pre-treatment processes, petrochemical industry and refinery, and future perspectives in emerging applications. Fuel Process. Technol. 2020, 206, 106464. [Google Scholar] [CrossRef]
- Hutchinson, J.M. Physical aging of polymers. Prog. Polym. Sci. 1995, 20, 703–760. [Google Scholar] [CrossRef]
- Ahmad, M.Z.; Castro-Muñoz, R.; Budd, P.M. Boosting gas separation performance and suppressing the physical aging of polymers of intrinsic microporosity (PIM-1) by nanomaterial blending. Nanoscale 2020, 12, 23333–23370. [Google Scholar] [CrossRef] [PubMed]
- Galizia, M.; Chi, W.S.; Smith, Z.P.; Merkel, T.C.; Baker, R.W.; Freeman, B.D. 50th anniversary perspective: Polymers and mixed matrix membranes for gas and vapor separation: A review and prospective opportunities. Macromolecules 2017, 50, 7809–7843. [Google Scholar] [CrossRef]
- Tiwari, R.R.; Smith, Z.P.; Lin, H.; Freeman, B.D.; Paul, D.R. Gas permeation in thin films of “high free-volume” glassy perfluoropolymers: Part I. Physical aging. Polymer 2014, 55, 5788–5800. [Google Scholar] [CrossRef]
- Kamble, A.R.; Patel, C.M.; Murthy, Z.V.P. A review on the recent advances in mixed matrix membranes for gas separation processes. Renew. Sustain. Energy Rev. 2021, 145, 111062. [Google Scholar] [CrossRef]
- Castro-Munoz, R.; Fila, V.; Dung, C.T. Mixed matrix membranes based on PIMs for gas permeation: Principles, synthesis, and current status. Chem. Eng. Commun. 2017, 204, 295–309. [Google Scholar] [CrossRef]
- Shao, L.; Samseth, J.; Hägg, M.B. Crosslinking and stabilization of nanoparticle filled PMP nanocomposite membranes for gas separations. J. Membr. Sci. 2009, 326, 285–292. [Google Scholar] [CrossRef]
- Shao, L.; Samseth, J.; Hägg, M.B. Crosslinking and stabilization of nanoparticle filled poly (1-trimethylsilyl-1-propyne) nanocomposite membranes for gas separations. J. Appl. Polym. Sci. 2009, 113, 3078–3088. [Google Scholar] [CrossRef]
- Olivieri, L.; Ligi, S.; De Angelis, M.G.; Cucca, G.; Pettinau, A. Effect of graphene and graphene oxide nanoplatelets on the gas permselectivity and aging behavior of poly (trimethylsilyl propyne)(PTMSP). Ind. Eng. Chem. Res. 2015, 54, 11199–11211. [Google Scholar] [CrossRef]
- Jia, J.; Baker, G.L. Cross-linking of poly [1-(trimethylsilyl)-1-propyne] membranes using bis (aryl azides). J. Polym. Sci. B Polym. Phys. 1998, 36, 959–968. [Google Scholar] [CrossRef]
- Lau, C.H.; Nguyen, P.T.; Hill, M.R.; Thornton, A.W.; Konstas, K.; Doherty, C.M.; Mulder, R.J.; Bourgeois, L.; Liu, A.C.Y.; Sprouster, D.J.; et al. Ending Aging in Super Glassy Polymer Membranes. Angew. Chem. 2014, 53, 5322–5326. [Google Scholar] [CrossRef] [PubMed]
- Lau, C.H.; Konstas, K.; Doherty, C.M.; Kanehashi, S.; Ozcelik, B.; Kentish, S.E.; Hill, M.R. Tailoring Physical Aging in Super Glassy Polymers with Functionalized Porous Aromatic Frameworks for CO2 Capture. Chem. Mater. 2015, 27, 4756–4762. [Google Scholar] [CrossRef]
- Lau, C.H.; Konstas, K.; Thornton, A.W.; Liu, A.C.; Mudie, S.; Kennedy, D.F.; Hill, M.R. Gas-Separation Membranes Loaded with Porous Aromatic Frameworks that Improve with Age. Angew. Chem. Int. Ed. 2015, 54, 2669–2673. [Google Scholar] [CrossRef]
- Kitchin, M.; Teo, J.; Konstas, K.; Lau, C.H.; Sumby, C.J.; Thornton, A.W.; Doonan, C.J.; Hill, M.R. AIMs: A new strategy to control physical aging and gas transport in mixed-matrix membranes. J. Mater. Chem. A 2015, 3, 15241–15247. [Google Scholar] [CrossRef]
- Volkov, A.V.; Bakhtin, D.S.; Kulikov, L.A.; Terenina, M.V.; Golubev, G.S.; Bondarenko, G.N.; Legkov, S.A.; Shandryuk, G.A.; Volkov, V.V.; Khotimskiy, V.S.; et al. Stabilization of gas transport properties of PTMSP with porous aromatic framework: Effect of annealing. J. Membr. Sci. 2016, 517, 80–90. [Google Scholar] [CrossRef]
- Yin, H.; Chapala, P.; Bermeshev, M.; Schönhals, A.; Böhning, M. Molecular mobility and physical aging of a highly permeable glassy Polynorbornene as revealed by dielectric spectroscopy. ACS Macro Lett. 2017, 6, 813–818. [Google Scholar] [CrossRef]
- Kelman, S.D.; Rowe, B.W.; Bielawski, C.W.; Pas, S.J.; Hill, A.J.; Paul, D.R.; Freeman, B. Crosslinking poly [1-(trimethylsilyl)-1-propyne] and its effect on physical stability. J. Membr. Sci. 2008, 320, 123–134. [Google Scholar] [CrossRef]
- Alentiev, A.Y.; Starannikova, L.E.; Nikiforov, R.Y.; Bezgin, D.A.; Ponomarev, I.I.; Volkova, Y.A.; Blagodatskikh, I.V.; Yampolskii, Y.P. The Synthesis and Gas Transport Properties of PIM-1 Polybenzodioxane Modified with Benzanilide. Membr. Membr. Technol. 2020, 2, 203–209. [Google Scholar] [CrossRef]
- Starannikova, L.; Khodzhaeva, V.; Yampolskii, Y. Mechanism of aging of poly[1-(trimethylsilyl)-1-propyne] and its effect on gas permeability. J. Membr. Sci. 2004, 244, 183–191. [Google Scholar] [CrossRef]
- Bazhenov, S.D.; Borisov, I.L.; Bakhtin, D.S.; Rybakova, A.N.; Khotimskiy, V.S.; Molchanov, S.P.; Volkov, V.V. High-permeance crosslinked PTMSP thin-film composite membranes as supports for CO2 selective layer formation. Green Energy Environ. 2016, 1, 235–245. [Google Scholar] [CrossRef]
- Lau, C.H.; Mulet, X.; Konstas, K.; Doherty, C.M.; Sani, M.A.; Separovic, F.; Hill, M.R.; Wood, C.D. Hypercrosslinked Additives for Ageless Gas-Separation Membranes. Angew. Chem. Int. Ed. 2016, 55, 1998–2001. [Google Scholar] [CrossRef] [PubMed]
- Liu, J.; Xiao, Y.; Liao, K.S.; Chung, T.S. Highly permeable and aging resistant 3D architecture from polymers of intrinsic microporosity incorporated with beta-cyclodextrin. J. Membr. Sci. 2017, 523, 92–102. [Google Scholar] [CrossRef]
- Yavari, M.; Le, T.; Lin, H. Physical aging of glassy perfluoropolymers in thin film composite membranes. Part I. Gas transport properties. J. Membr. Sci. 2017, 525, 387–398. [Google Scholar] [CrossRef]
- Bakhtin, D.S.; Kulikov, L.A.; Legkov, S.A.; Khotimskiy, V.S.; Levin, I.S.; Borisov, I.L.; Maksimov, A.L.; Volkov, V.V.; Karakhanov, E.A.; Volkov, A.V. Aging of thin-film composite membranes based on PTMSP loaded with porous aromatic frameworks. J. Membr. Sci. 2018, 554, 211–220. [Google Scholar] [CrossRef]
- Bakhtin, D.S.; Kulikov, L.A.; Bondarenko, G.N.; Vasilevskii, V.P.; Maksimov, A.L.; Volkov, A.V. Stabilization of Gas Transport Properties of Composite Membranes with a Thin PTMSP Selective Layer by Adding Porous Aromatic Framework Nanoparticles and Simultaneous Polymer Crosslinking. Petrol. Chem. 2018, 58, 790–796. [Google Scholar] [CrossRef]
- Liu, M.; Nothling, M.D.; Webley, P.A.; Jin, J.; Fu, Q.; Qiao, G.G. High-throughput CO2 capture using PIM-1@ MOF based thin film composite membranes. Chem. Eng. J. 2020, 396, 125328. [Google Scholar] [CrossRef]
- Bakhtin, D.S.; Kulikov, L.A.; Maksimov, A.L.; Volkov, A.V. Composite Membranes Based on the Poly(1-trimethylsylyl-1-propine): Influence of the Porous Aromatic Frameworks Produced from the Friedel-Crafts Reaction and Introduced into the Polymer Matrix. Russ. J. Appl. Chem. 2020, 93, 252–257. [Google Scholar] [CrossRef]
- Bakhtin, D.; Bazhenov, S.; Polevaya, V.; Grushevenko, E.; Makaev, S.; Karpacheva, G.; Volkov, A. Aging of Thin-Film Composite Membranes Based on Crosslinked PTMSP/PEI Loaded with Highly Porous Carbon Nanoparticles of Infrared Pyrolyzed Polyacrylonitrile. Membranes 2020, 10, 419. [Google Scholar] [CrossRef]
- Bakhtin, D.S.; Malakhov, A.O.; Polevaya, V.G.; Kulikov, L.A.; Grekhov, A.M.; Bazhenov, S.D.; Volkov, A.V. Behavior of Polytrimethylsilylpropyne-Based Composite Membranes in the Course of Continuous and Intermittent Gas Permeability Measurements. Russ. J. Appl. Chem. 2021, 94, 616–623. [Google Scholar] [CrossRef]
- Bhavsar, R.S.; Mitra, T.; Adams, D.J.; Cooper, A.I.; Budd, P.M. Ultrahigh-permeance PIM-1 based thin film nanocomposite membranes on PAN supports for CO2 separation. J. Membr. Sci. 2018, 564, 878–886. [Google Scholar] [CrossRef]
- Borisov, I.; Bakhtin, D.; Luque-Alled, J.M.; Rybakova, A.; Makarova, V.; Foster, A.B.; Volkov, V.; Volkov, A. Synergistic enhancement of gas selectivity in thin film composite membranes of PIM-1. J. Mater. Chem. A 2019, 7, 6417–6430. [Google Scholar] [CrossRef]
- Ogieglo, W.; Puspasari, T.; Ma, X.; Pinnau, I. Sub-100 nm carbon molecular sieve membranes from a polymer of intrinsic microporosity precursor: Physical aging and near-equilibrium gas separation properties. J. Membr. Sci. 2020, 597, 117752. [Google Scholar] [CrossRef]
- Fan, S.T.; Tan, M.; Liu, W.T.; Li, B.J.; Zhang, S. MOF-layer composite polyurethane membrane increasing both selectivity and permeability: Pushing commercial rubbery polymer membranes to be attractive for CO2 separation. Sep. Purif. Technol. 2022, 297, 121452. [Google Scholar] [CrossRef]
- Maximov, A.; Zolotukhina, A.; Kulikov, L.; Kardasheva, Y.; Karakhanov, E. Ruthenium catalysts based on mesoporous aromatic frameworks for the hydrogenation of arenes. Reac. Kinet. Mech. Cat. 2016, 117, 729–743. [Google Scholar] [CrossRef]
- Dibrov, G.A.; Volkov, V.V.; Vasilevsky, V.P.; Shutova, A.A.; Bazhenov, S.D.; Khotimsky, V.S.; Volkov, A.V. Robust high-permeance PTMSP composite membranes for CO2 membrane gas desorption at elevated temperatures and pressures. J. Membr. Sci. 2014, 470, 439–450. [Google Scholar] [CrossRef]
- Golubev, G.; Bakhtin, D.; Makaev, S.; Borisov, I.; Volkov, A. Hybrid Microporous Polymeric Materials with Outstanding Permeability and Increased Gas Transport Stability: PTMSP Aging Prevention by Sorption of the Polymerization Catalyst on HCPS. Polymers 2021, 13, 1922. [Google Scholar] [CrossRef]
- Gregg, S.J.; Sing, K.S.W. Adsorption, Surface Area and Porosity, 2nd ed.; Chapter 2; Academic Press: New York, NY, USA, 1982. [Google Scholar]
- Angell, C.A.; Ngai, K.L.; McKenna, G.B.; McMillan, P.F.; Martin, S.W. Relaxation in glassforming liquids and amorphous solids. J. Appl. Phys. 2000, 88, 3113–3157. [Google Scholar] [CrossRef]
- Brunacci, A.; Cowie, J.M.G.; Ferguson, R.; McEwen, I.J. Enthalpy relaxation in glassy polystyrenes: 1. Polymer 1997, 38, 865–870. [Google Scholar] [CrossRef]
- Cowie, J.M.G.; Ferguson, R. Physical Aging Studies in Poly(viny1 methyl ether). 1. Enthalpy Relaxation as a Function of Aging Temperature. Macromolecules 1989, 22, 2307–2312. [Google Scholar] [CrossRef]
- Robeson, L.M.; Burgoyne, W.F.; Langsam, M.; Savoca, A.C.; Tien, C.F. High performance polymers for membrane separation. Polymer 1994, 35, 4970–4978. [Google Scholar] [CrossRef]
- Dorkenoo, K.D.; Pfromm, P.H. Accelerated physical aging of thin poly [1-(trimethylsilyl)-1-propyne] films. Macromolecules 2000, 33, 3747–3751. [Google Scholar] [CrossRef]
- Nagai, K.; Masuda, T.; Nakagawa, T.; Freeman, B.D.; Pinnau, I. Poly[1-(trimethylsilyl)-1-propyne] and related polymers: Synthesis, properties and functions. Prog. Polym. Sci. 2001, 26, 721–798. [Google Scholar] [CrossRef]
- Hill, A.J.; Pas, S.J.; Bastow, T.J.; Burgar, M.I.; Nagai, K.; Toy, L.G.; Freeman, B.D. Influence of methanol conditioning and physical aging on carbon spin-lattice relaxation times of poly(1-trimethylsilyl-1-propyne). J. Membr. Sci. 2004, 243, 37–44. [Google Scholar] [CrossRef]
- Yuan, Y.; Sun, F.; Ren, H.; Jing, X.; Wang, W.; Ma, H.; Zhao, H.; Zhu, G. Targeted synthesis of a porous aromatic framework with a high adsorption capacity for organic molecules. J. Mater. Chem. 2011, 21, 13498–13502. [Google Scholar] [CrossRef]
- Tian, Y.; Zhu, G. Porous Aromatic Frameworks (PAFs). Chem. Rev. 2020, 120, 8934–8986. [Google Scholar] [CrossRef]
- Kocherlakota, L.S.; Knorr, D.B., Jr.; Foster, L.; Overney, R.M. Enhanced gas transport properties and molecular mobilities in nano-constrained poly[1-(trimethylsilyl)-1-propyne] membranes. Polymer 2012, 53, 2394–2401. [Google Scholar] [CrossRef]
- Cangialosi, D.; Alegría, A.; Colmenero, J. Effect of nanostructure on the thermal glass transition and physical aging in polymer materials. Prog. Polym. Sci. 2016, 54–55, 128–147. [Google Scholar] [CrossRef]
- Priestley, R.D. Physical aging of confined glasses. Soft Matter. 2009, 5, 919–926. [Google Scholar] [CrossRef]








| Membrane | Q(0) (m3 (STP)/m2 h bar) | τ (days) | β | qeq | ||||
|---|---|---|---|---|---|---|---|---|
| N2 | CO2 | N2 | CO2 | N2 | CO2 | N2 | CO2 | |
| PTMSP | 19.4 | 75.1 | 53.7 | 83.3 | 0.56 | 0.55 | 0.04 | 0.07 |
| M0 | 13.7 | 56.9 | 82.4 | 145.4 | 0.53 | 0.49 | 0.07 | 0.15 |
| M20 | 30.1 | 94.4 | 100.9 | 136.4 | 0.54 | 0.53 | 0.17 | 0.31 |
| M30 | 39.0 | 110.5 | 103.4 | 150.9 | 0.52 | 0.51 | 0.13 | 0.31 |
| Selective Layer | Selective Layer Thickness, μm | CO2 Permeance of Fresh As-Cast Membrane, GPU | Aging Time (Ambient Conditions) | CO2 Permeance Q/Q0, % | Reference |
|---|---|---|---|---|---|
| PTMSP | 1.7 | 1700 | >600 days | 8.5 | [35] |
| 6.8 | 6500 | 5.5 | |||
| PIM-1/C-HCP | 2.0 | 11,500 | 100 days | 81 | [41] |
| PIM-1 | 0.3 | 8000 | 90 days | 3.7 | [42] |
| PIM-1 | 0.7 | 4300 | 56 days | 11 | [39] |
| PIM-1/MOF-74-Ni | 5000 | 24 | |||
| PIM-1/NH2-UiO-66 | 7500 | 12 | |||
| PTMSP + PEI | 1.2 | 15,100 | >425 days | 23 | [39] |
| PTMSP + PEI + 10% IR-PAN-a | 1.8 | 23,700 | 17 | ||
| PTMSP + PEI + 20% IR-PAN-a | 24,700 | 26 | |||
| PTMSP + PEI + 30% IR-PAN-a | 24,100 | 22 | |||
| PTMSP + PEI + 10% IR-PAN-aM | 1.0 | 20,900 | 30 | ||
| PTMSP + PEI + 20% IR-PAN-aM | 24,500 | 27 | |||
| PTMSP + PEI + 30% IR-PAN-aM | 25,100 | 27 | |||
| Carbon molecular sieves (PDMS pyrolysis) precursor | 0.087 | 239 | 45 days | 9.6 | [43] |
| Carbon molecular sieves (PDMS pyrolysis) 500 °C | 0.069 | 294 | 9.9 | ||
| Carbon molecular sieves (PDMS pyrolysis) 600 °C | 0.082 | 320 | 0.9 | ||
| Carbon molecular sieves (PDMS pyrolysis) 700 °C | 0.072 | 8 | 17.5 | ||
| PU/PIM-1 | 30 | 11 | 60 days | 82 | [44] |
| PTMSP | 1.0 | 27,700 | 450 days | 14 | this work |
| PRMSP + PEI | 1.1 | 21,000 | 30 | ||
| PTMSP + PEI + 20% PAF-11 | 1.0 | 34,400 | 42 | ||
| PTMSP + PEI + 30% PAF-11 | 1.1 | 40,600 | 43 |
| Sample | SBET (m2/g) | KH (mol/g) | ρsk (g/cm3) | f (%) |
|---|---|---|---|---|
| PTMSP | 816 (589) | 5.3 (2.3) | 1.007 (0.997) | 22.8 (17.1) |
| M0 | 829 (648) | 4.2 (3.3) | 0.985 (1.011) | 22.7 (19.0) |
| M20 | 787 (747) | 4.3 (4.2) | 1.039 (0.934) | 22.7 (20.0) |
| M30 | 839 (764) | 4.0 (4.2) | 1.005 (0.956) | 23.2 (20.8) |
| PAF-11 | 542 (-) | 12.0 (-) | 1.185 (-) | 18.7 (-) |
Disclaimer/Publisher’s Note: The statements, opinions and data contained in all publications are solely those of the individual author(s) and contributor(s) and not of MDPI and/or the editor(s). MDPI and/or the editor(s) disclaim responsibility for any injury to people or property resulting from any ideas, methods, instructions or products referred to in the content. |
© 2022 by the authors. Licensee MDPI, Basel, Switzerland. This article is an open access article distributed under the terms and conditions of the Creative Commons Attribution (CC BY) license (https://creativecommons.org/licenses/by/4.0/).
Share and Cite
Bakhtin, D.S.; Malakhov, A.O.; Volkov, A.V.; Kulikov, L.A.; Petrova, I.V.; Borisov, I.L.; Bazhenov, S.D. Mitigating of Thin-Film Composite PTMSP Membrane Aging by Introduction of Porous Rigid and Soft Branched Polymeric Additives. Membranes 2023, 13, 21. https://doi.org/10.3390/membranes13010021
Bakhtin DS, Malakhov AO, Volkov AV, Kulikov LA, Petrova IV, Borisov IL, Bazhenov SD. Mitigating of Thin-Film Composite PTMSP Membrane Aging by Introduction of Porous Rigid and Soft Branched Polymeric Additives. Membranes. 2023; 13(1):21. https://doi.org/10.3390/membranes13010021
Chicago/Turabian StyleBakhtin, Danila S., Alexander O. Malakhov, Alexey V. Volkov, Leonid A. Kulikov, Inna V. Petrova, Ilya L. Borisov, and Stepan D. Bazhenov. 2023. "Mitigating of Thin-Film Composite PTMSP Membrane Aging by Introduction of Porous Rigid and Soft Branched Polymeric Additives" Membranes 13, no. 1: 21. https://doi.org/10.3390/membranes13010021
APA StyleBakhtin, D. S., Malakhov, A. O., Volkov, A. V., Kulikov, L. A., Petrova, I. V., Borisov, I. L., & Bazhenov, S. D. (2023). Mitigating of Thin-Film Composite PTMSP Membrane Aging by Introduction of Porous Rigid and Soft Branched Polymeric Additives. Membranes, 13(1), 21. https://doi.org/10.3390/membranes13010021

