Statistical Simulation, a Tool for the Process Optimization of Oily Wastewater by Crossflow Ultrafiltration
Abstract
:1. Introduction
- Variations in initial oil concentration (Coil), feed temperature values (T), and transmembrane pressure (ΔP) were investigated.
- COD and stabilized permeate flux were determined to obtain the optimal separation conditions.
- Statistical analysis of the data was carried out to obtain a suitable mathematical model of the process.
- Finally, it was found that the model fitted well with the experimental results. The influence of the different factors on the COD retention and the permeate flux was discussed.
2. Materials and Methods
2.1. Oily Wastewater Collection
2.2. Ultrafiltration Process
2.3. Analytical Methods
2.4. Experimental Design Methodology
2.5. Investigation of the Fouling Mechanism
3. Results and Discussion
3.1. UF Experiments
3.2. COD Removal Response
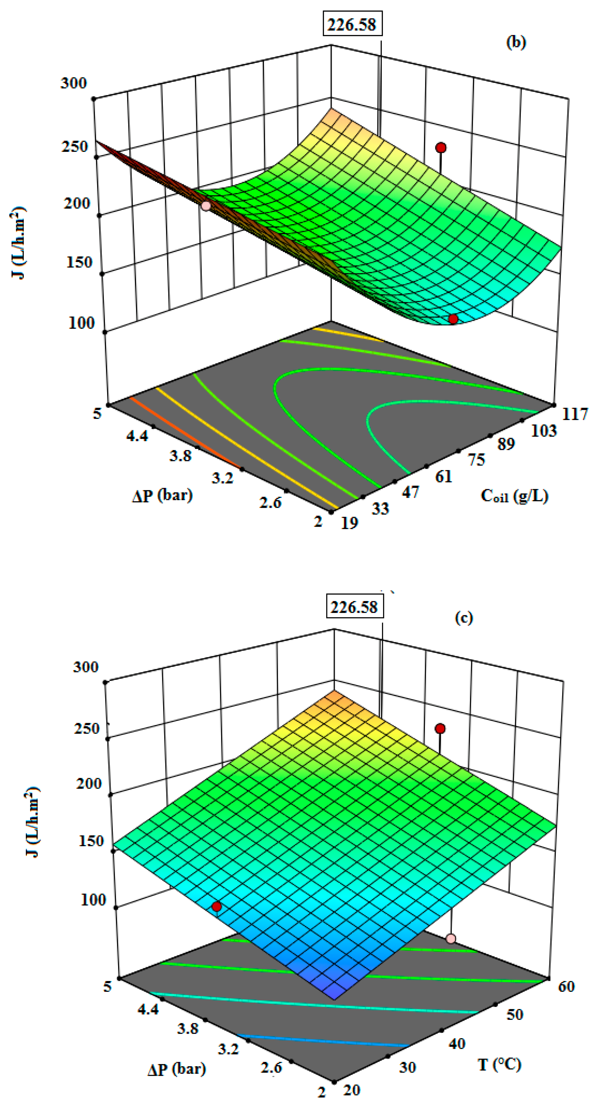
3.3. Permeate Flux Response
3.4. Optimization of COD Removal and Permeate Flux
3.5. Effect of Concentration
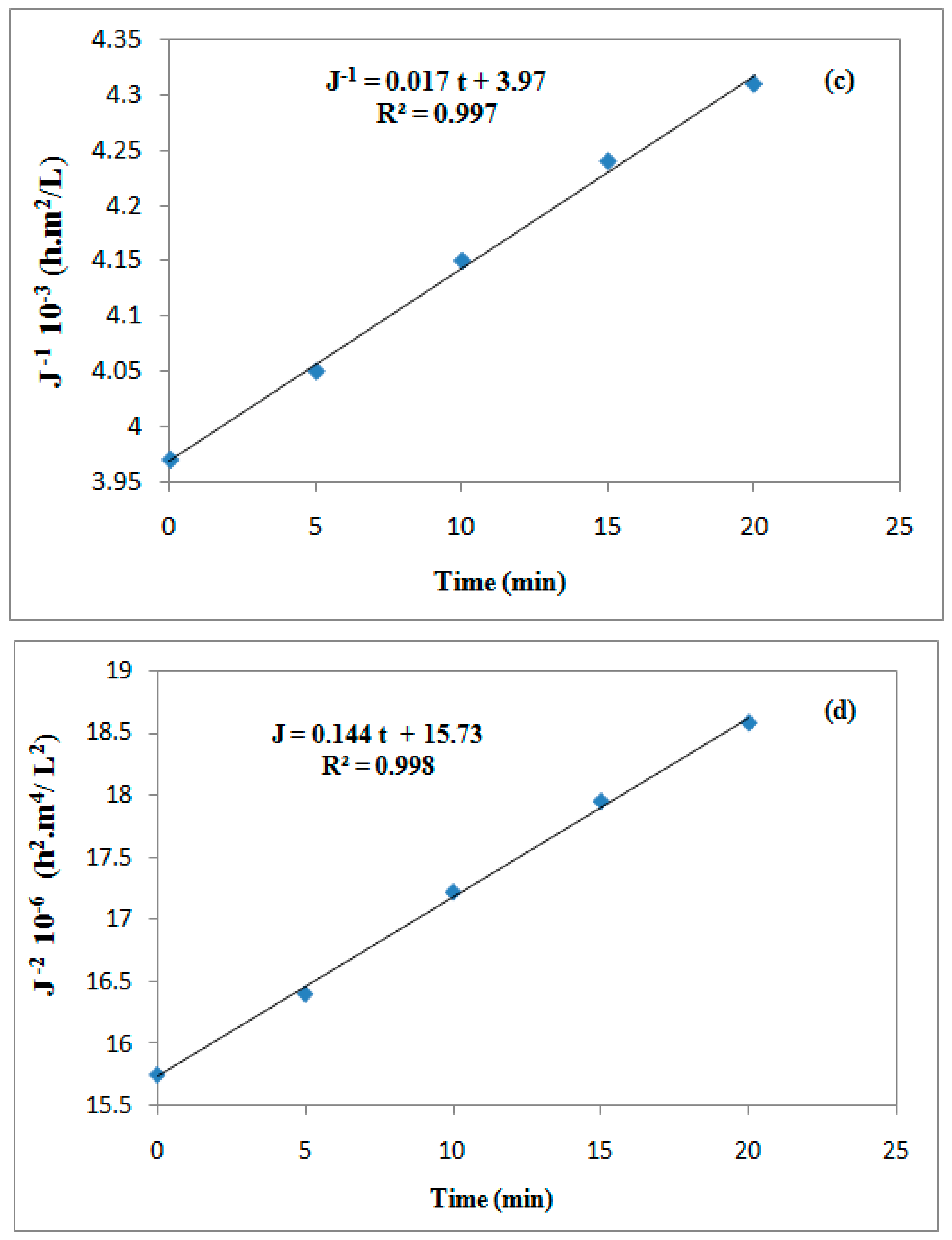
3.6. Application of the Hermia Model
3.7. Cleaning Study
4. Conclusions
Author Contributions
Funding
Institutional Review Board Statement
Informed Consent Statement
Data Availability Statement
Conflicts of Interest
References
- Cai, Q.; Zhu, Z.; Chen, B.; Zhang, B. Oil-in-water emulsion breaking marine bacteria for demulsifying oily wastewater. Water Res. 2019, 149, 292–301. [Google Scholar] [CrossRef] [PubMed]
- Yang, Q.; Xu, R.; Wu, P.; He, J.; Liu, C.; Jiang, W. Three-step treatment of real complex, variable high-COD rolling wastewater by rational adjustment of acidification, adsorption, and photocatalysis using big data analysis. Sep. Purif. Technol. 2021, 270, 118865. [Google Scholar] [CrossRef]
- Chen, R.; Liao, X.; Ge, Q. A novel multinuclear zinc complex Zn-Bet-Tf2N for electroplating wastewater treatment using forward osmosis technique. Chem. Eng. J. 2021, 404, 126569. [Google Scholar] [CrossRef]
- Yan, F.L.; Wang, Y.; Wang, W.H.; Zhao, J.X.; Feng, L.L.; Li, J.J.; Zhao, J.C. Application of biochars obtained through the pyrolysis of Lemna minor in the treatment of Ni-electroplating wastewater. J. Water Process Eng. 2020, 37, 101464. [Google Scholar] [CrossRef]
- Kralj, A.K. The re-usages of wastewater within industry: The positive impact of contaminants. J. Clean. Prod. 2015, 95, 124–130. [Google Scholar] [CrossRef]
- Azimi, A.; Azari, A.; Rezakazemi, M.; Ansarpour, M. Removal of Heavy Metals from Industrial Wastewaters: A Review. ChemBioEng Rev. 2017, 4, 37–59. [Google Scholar] [CrossRef]
- Huang, S.; Ras, R.H.A.; Tian, X. Antifouling membranes for oily wastewater treatment: Interplay between wetting and membrane fouling. Curr. Opin. Colloid Interface Sci. 2018, 36, 90–109. [Google Scholar] [CrossRef] [Green Version]
- Tomczak, W.; Gryta, M. Application of ultrafiltration ceramic membrane for separation of oily wastewater generated by maritime transportation. Sep. Purif. Technol. 2021, 26, 1118259. [Google Scholar] [CrossRef]
- Zhu, X.; Dudchenko, A.; Gu, X.; Jassby, D. Surfactant-stabilized oil separation from water using ultrafiltration and nanofiltration. J. Membr. Sci. 2017, 529, 159–169. [Google Scholar] [CrossRef]
- Agarwal, A.; Samanta, A.; Nandi, B.K.; Mandal, A. Synthesis, characterization and performance studies of kaolin-fly ash-based membranes for microfiltration of oily waste water. J. Pet. Sci. Eng. 2020, 194, 107475. [Google Scholar] [CrossRef]
- Martínez-Quiroz, M.; López-Maldonado, E.A.; Ochoa-Terán, A.; Pina-Luis, G.E.; Oropeza-Guzman, M.T. Modification of chitosan with carbamoyl benzoic acids for testing its coagulant-flocculant and binding capacities in removal of metallic ions typically contained in plating wastewater. Chem. Eng. J. 2018, 332, 749–756. [Google Scholar] [CrossRef]
- Hahladakis, J.; Smaragdaki, E.; Vasilaki, G.; Gidarakos, E. Use of sediment quality guidelines and pollution indicators for the assessment of heavy metal and PAH contamination in Greek surficial sea and lake sediments. Environ. Monit. Assess. 2013, 185, 2843–2853. [Google Scholar] [CrossRef]
- Mehdipour, S.; Vatanpour, V.; Kariminia, H.R. Influence of ion interaction on lead removal by a polyamide nanofiltration membrane. Desalination 2015, 362, 84–92. [Google Scholar] [CrossRef]
- Wang, G.; Chang, Q.; Han, X.; Zhang, M. Removal of Cr(VI) from aqueous solution by flocculant with the capacity of reduction and chelation. J. Hazard. Mater. 2013, 248–249, 115–121. [Google Scholar] [CrossRef]
- Sudarsan, J.S.; Deeptha, V.T.; Maurya, D.; Goel, M.; Kumar, K.R.; Das, A. Study on treatment of electroplating wastewater using constructed wetland. Nat. Environ. Pollut. Technol. 2015, 14, 95–100. [Google Scholar]
- Zhao, S.; Chen, Z.; Shen, J.; Kang, J.; Qu, Y.; Wang, B.; Wang, X.; Yuan, L. Response surface methodology investigation into optimization of the removal condition and mechanism of Cr by Na2SO3/CaO. J. Environ. Manag. 2017, 202, 38–45. [Google Scholar] [CrossRef] [PubMed]
- Carolin, C.F.; Kumar, P.S.; Saravanan, A.; Joshiba, G.J.; Naushad, M. Efficient techniques for the removal of toxic heavy metals from aquatic environment: A. review. J. Environ. Chem. Eng. 2017, 5, 2782–2799. [Google Scholar] [CrossRef]
- Xiong, Z.; Cao, J.; Yang, D.; Lai, B.; Yang, P. Coagulation-flocculation as pre-treatment for micro-scale Fe/Cu/O3 process (CF-mFe/Cu/O3) treatment of the coating wastewater from automobile manufacturing. Chemosphere 2017, 166, 343–351. [Google Scholar] [CrossRef]
- Gupta, V.K.; Ali, I. Environmental Water; Elsevier: Amsterdam, The Netherlands, 2013; Chapter 1. [Google Scholar]
- Merzouk, B.; Yakoubi, M.; Zongo, I.; Leclerc, J.P.; Paternotte, G.; Pontvianne, S.; Lapicque, F. Effect of modification of textile wastewater composition on electrocoagulation efficiency. Desalination 2011, 275, 181–186. [Google Scholar] [CrossRef]
- Kurniawan, T.A.; Chan, G.Y.; Lo, W.H.; Babel, S. Physico-chemical treatment techniques for wastewater laden with heavy metals. Chem. Eng. J. 2006, 118, 83–98. [Google Scholar] [CrossRef]
- Ergaieg, K.; Miled, T.B. Full-scale hybrid constructed wetlands monitoring for decentralized tertiary treatment of municipal wastewater. Arab. J. Geosci. 2021, 14, 1407. [Google Scholar] [CrossRef]
- Cambiella, A.; Benito, J.M.; Pazos, C.; Coca, J. Centrifugal separation efficiency in the treatment of waste emulsified oils. Chem. Eng. Res. Des. 2006, 84, 69–76. [Google Scholar] [CrossRef]
- Perdigón-Melón, J.A.; Carbajo, J.B.; Petre, A.L.; Rosal, R.; García-Calvo, E. Coagulation–Fenton coupled treatment for ecotoxicity reduction in highly polluted industrial wastewater. J. Hazard. Mater. 2010, 181, 127–132. [Google Scholar] [CrossRef]
- Shi, W.; Ren, H.; Huang, X.; Li, M.; Tang, Y.; Guo, F. Low cost red mud modified graphitic carbon nitride for the removal of organic pollutants in wastewater by the synergistic effect of adsorption and photocatalysis. Sep. Purif. Technol. 2020, 237, 116477. [Google Scholar] [CrossRef]
- Linares-Hernandez, I.; Barrera-Diaz, C.; Bilyeu, B.; Juarez-Garciarojas, P.; Campos-Medina, E. A combined electrocoagulation–electrooxidation treatment for industrial wastewater. J. Hazard. Mater. 2010, 175, 688–694. [Google Scholar] [CrossRef] [PubMed]
- Cai, Q.Q.; Wu, M.Y.; Li, R.; Deng, S.H.; Lee, B.C.Y.; Ong, S.L.; Hu, J.Y. Potential of combined advanced oxidation—Biological process for cost-effective organic matters removal in reverse osmosis concentrate produced from industrial wastewater reclamation: Screening of AOP pre-treatment technologies. Chem. Eng. J. 2020, 389, 123419. [Google Scholar] [CrossRef]
- Wu, P.; Jiang, L.Y.; He, Z.; Song, Y. Treatment of metallurgical industry wastewater for organic contaminant removal in China: Status, challenges, and perspectives. Environ. Sci. Water Res. Technol. 2017, 3, 1015–1031. [Google Scholar] [CrossRef]
- Kaner, P.; Rubakh, E.; Kim, D.H.; Asatekin, A. Zwitterion-containing polymer additives for fouling resistant ultrafiltration membranes. J. Membr. Sci. 2017, 533, 141–159. [Google Scholar] [CrossRef] [Green Version]
- Mustafa, G.; Wyns, K.; Buekenhoudt, A.; Meynen, V. Antifouling grafting of ceramic membranes validated in a variety of challenging wastewaters. Water Res. 2016, 104, 242–253. [Google Scholar] [CrossRef]
- Gohari, R.J.; Korminouri, F.; Lau, W.J.; Ismail, A.F.; Matsuura, T.; Chowdhury, M.N.K. A novel superhydrophilic PSf/HAO nanocomposite ultrafiltration membrane for efficient separation of oil/water emulsion. Sep. Purif. Technol. 2015, 150, 13–20. [Google Scholar] [CrossRef]
- Susan, L.Y.; Ismail, S.; Ooi, B.S.; Mustapa, H. Surface morphology of pvdf membrane and its fouling phenomenon by crude oil emulsion. J. Water Process. Eng. 2017, 15, 55–61. [Google Scholar] [CrossRef]
- Muppalla, R.; Jewrajka, S.K.; Reddy, A.V.R. Fouling resistant nanofiltration membranes for the separation of oil-water emulsion and micropollutants from water. Sep. Purif. Technol. 2015, 143, 125–134. [Google Scholar] [CrossRef]
- Wei, Z.; Hou, J.; Zhu, Z. High-aluminum fly ash recycling for fabrication of cost-effective ceramic membrane supports. J. Alloy. Compd. 2016, 683, 474–480. [Google Scholar] [CrossRef]
- Priastomo, Y.; Setiawan, H.R.; Kurniawan, Y.S.; Ohto, K. Simultaneous removal of lead(II), chromium(III), and copper(II) heavy metal ions through an adsorption process using C-phenylcalix[4]pyrogallolarene material. J. Environ. Chem. Eng. 2020, 8, 103971. [Google Scholar]
- Sadeghi, M.H.; Tofighy, M.A.; Mohammadi, T. One-dimensional graphene for efficient aqueous heavy metal adsorption: Rapid removal of arsenic and mercury ions by graphene oxide nanoribbons (GONRs). Chemosphere 2020, 253, 126647. [Google Scholar] [CrossRef]
- Aloulou, W.; Aloulou, H.; Khemakhem, M.; Duplay, J.; Daramola, M.O.; Amar, R.B. Synthesis and characterization of clay-based ultrafiltration membranes supported on natural zeolite for removal of heavy metals from wastewater. Environ. Technol. Innov. 2020, 18, 100794. [Google Scholar] [CrossRef]
- Hosseini, S.M.; Alibakhshi, H.; Jashni, E.; Parvizian, F.; Shen, J.N.; Taheri, M.; Ebrahimi, M.; Rafiei, N. A novel layer-by-layer heterogeneous cation exchange membrane for heavy metal ions removal from water. J. Hazard. Mater. 2020, 381, 120884. [Google Scholar] [CrossRef] [PubMed]
- Sun, Y.; Zhou, S.; Pan, S.Y.; Zhu, S.; Yu, Y.; Zheng, H. Performance evaluation and optimization of flocculation process for removing heavy metal. Chem. Eng. J. 2020, 385, 123911. [Google Scholar] [CrossRef]
- Tavakoli, O.; Goodarzi, V.; Saeb, M.R.; Mahmoodi, N.M.; Borja, R. Competitive removal of heavy metal ions from squid oil under isothermal condition by CR11 chelate ion exchanger. J. Hazard. Mater. 2017, 334, 256–266. [Google Scholar] [CrossRef]
- Ya, V.; Martin, N.; Chou, Y.H.; Chen, Y.M.; Choo, K.H.; Chen, S.S.; Li, C.W. Electrochemical treatment for simultaneous removal of heavy metals and organics from surface finishing wastewater using sacrificial iron anode. J. Taiwan Inst. Chem. Eng. 2018, 83, 107–144. [Google Scholar] [CrossRef]
- Sun, J.; Liu, L.; Yang, F. A WO3/PPy/ACF modified electrode in electrochemical system for simultaneous removal of heavy metal ion Cu2+ and organic acid. J. Hazard. Mater. 2020, 394, 122534. [Google Scholar] [CrossRef] [PubMed]
- Tran, T.K.; Chiu, K.F.; Lin, C.Y.; Leu, H.J. Electrochemical treatment of wastewater: Selectivity of the heavy metals removal process. Int. J. Hydrogen Energy 2017, 42, 27741–27748. [Google Scholar] [CrossRef]
- Hubadillah, S.K.; Othman, M.H.D.; Harun, Z.; Ismail, A.F.; Rahman, M.A.; Jaafar, J. A novel green ceramic hollow fiber membrane (CHFM) derived from rice husk ash as combined adsorbent-separator for efficient heavy metals removal. Ceram. Int. 2017, 43, 4716–4720. [Google Scholar] [CrossRef]
- Le, N.L.; Nunes, S.P. Materials and membrane technologies for water and energy sustainability. Sustain. Mater. Technol. 2016, 7, 1–28. [Google Scholar] [CrossRef] [Green Version]
- Gunst, R.F.; Myers, R.H.; Montgomery, D.C. Response Surface Methodology: Process and Product Optimization Using Designed Experiments. Technometrics 1996, 38, 285. [Google Scholar] [CrossRef]
- Suresh, K.; Pugazhenthi, G.; Uppaluri, R. Fly ash based ceramic microfiltration membranes for oil-water emulsion treatment: Parametric optimization using response surface methodology. J. Water Process Eng. 2016, 13, 27–43. [Google Scholar] [CrossRef]
- Belgada, A.; Charik, F.Z.; Achiou, B.; Kambuyi, T.N.; Younssi, S.A.; Beniazza, R.; Dani, A.; Benhid, R.; Ouammou, M. Optimization of phosphate/kaolinite microfiltration membrane using Box–Behnken design for treatment of industrial wastewater. J. Environ. Chem. Eng. 2021, 9, 104972. [Google Scholar] [CrossRef]
- Aloulou, W.; Aloulou, H.; Ben Amar, R. Low-cost composite ultrafiltration membrane made from TiO2 and nanocomposite clay materials over zeolite support for oily wastewater purification and heavy metals removal. Desal. Water Treat. 2022, 246, 166–173. [Google Scholar] [CrossRef]
- Bousbih, S.; Belhadj Ammar, R.; Ben Amar, R.; Dammak, L.; Darragi, F.; Selmane, E. Synthesis and Evaluation of Asymmetric Mesoporous PTFE/Clay Composite Membranes for Textile Wastewater Treatment. Membranes 2021, 11, 850. [Google Scholar] [CrossRef]
- Myers, R.H.; Montgomery, C.M. Response Surfaces Methodology: Process and Product Optimization Using Designed Experiments; John Wiley and Sons: New York, NY, USA, 1995. [Google Scholar]
- Martí-Calatayud, M.C.; Vincent-Vela, M.C.; Alvarez-Blanco, S.; Lora-García, J.; Berganti~nos-Rodríguez, E. Analysis and optimization of the influence of operating conditions in the ultrafiltration of macromolecules using a response surface methodological approach. Chem. Eng. J. 2010, 156, 337–346. [Google Scholar] [CrossRef]
- Hermia, J. Constant pressure blocking filtration laws-application to power-law non-newtonian fluids. Trans. Inst. Chem. Eng. 1982, 60, 183–187. [Google Scholar]
- Salahi, A.; Abbasi, M.; Mohammadi, T. Permeate flux decline during UF of oily wastewater: Experimental and modeling. Desalination 2010, 251, 153–160. [Google Scholar] [CrossRef]
- Abbasi, M.; Sebzari, M.R.; Salahi, A.; Mirza, B. Modeling of membrane fouling and flux decline in microfiltration of oily wastewater using ceramic membranes. Chem. Eng. Commun. 2012, 199, 78–93. [Google Scholar] [CrossRef]
- Masoudnia, K.; Raisi, A.; Aroujalian, A.; Fathizadeh, M. Treatment of oily wastewaters using the microfiltration process: Effect of operating parameters and membrane fouling study. Sep. Sci. Technol. 2013, 48, 1544–1555. [Google Scholar] [CrossRef]
- Rajasekhar, T.; Trinadh, M.; Babu, P.V.; Sainath, A.V.S.; Reddy, A.V.R. Oil–water emulsion separation using ultrafiltration membranes based on novel blends of poly (vinylidene fluoride) and amphiphilic tri-block copolymer containing carboxylic acid functional group. J. Membr. Sci. 2015, 481, 82–93. [Google Scholar] [CrossRef]
- Veréb, G.; Kovacs, I.; Zakar, M.; Kertész, S.; Hodúr, C.; László, Z. Matrix effect in case of purification of oily waters by membrane separation combined with pre-ozonation. Environ. Sci. Pollut. Res. 2018, 25, 34976–34984. [Google Scholar] [CrossRef]
- Adou, K.E.; Briton, B.G.H.; Ehouman, A.D.; Adouby, K.; Drogui, P. Modelling COD Removal from Slaughterhouse Wastewater by Electrocoagulation Using Response Surface Methodology. J. Chem. Eng. 2021, 9, 154–161. [Google Scholar] [CrossRef]
- Joglekar, A.M.; May, A.T. Product excellence through design of experiments. Cereal Foods World 1987, 32, 8. [Google Scholar]
- Raji, Y.O.; Othman, M.H.D.; Nordin, N.A.H.S.M.; Adam, M.R.; Said, K.A.M.; Abdulyekeen, K.A.; Ismail, A.F.; Rahman, M.A.; Jaafar, J.; Abu Bakar, S. Optimization of a High-Performance Poly(Diallyl Dimethylammonium Chloride)-Alumina-Perfluorooctanoate Intercalated Ultrafiltration Membrane for Treating Emulsified Oily Wastewater via Response Surface Methodology Approach. Membranes 2021, 11, 956. [Google Scholar] [CrossRef]
- Sheikhi, M.; Arzani, M.; Mahdavi, H.R.; Mohammadi, T. Kaolinitic Clay-Based Ceramic Microfiltration Membrane for Oily Wastewater Treatment: Assessment of Coagulant Addition. Ceram. Int. 2019, 45, 17826–17836. [Google Scholar] [CrossRef]
- Sadeghian, M.; Sadeghi, M.; Hesampour, M.; Moheb, A. Application of Response Surface Methodology (RSM) to Optimize Operating Conditions during Ultrafiltration of Oil-in-Water Emulsion. Desalination Water Treat. 2015, 55, 615–623. [Google Scholar] [CrossRef]
- Yi, X.S.; Shi, W.X.; Yu, S.L.; Ma, C.; Sun, N.; Wang, S.; Jin, L.M.; Sun, L.P. Optimization of Complex Conditions by Response Surface Methodology for APAM–Oil/Water Emulsion Removal from Aqua Solutions Using Nano-Sized TiO2/Al2O3 PVDF Ultrafiltration Membrane. J. Hazard. Mater. 2011, 193, 37–44. [Google Scholar] [CrossRef]
- Milić, J.; Petrinić, I.; Goršek, A.; Simonič, M. Ultrafiltration of Oil-in-Water Emulsion by Using Ceramic Membrane: Taguchi Experimental Design Approach. Open Chem. 2014, 12, 242–249. [Google Scholar] [CrossRef]
- Bayat, A.; Mahdavi, H.R.; Kazemimoghaddam, M.; Mohammadi, T. Preparation and Characterization of γ-Alumina Ceramic Ultrafiltration Membranes for Pretreatment of Oily Wastewater. Desalination Water Treat. 2016, 57, 24322–24332. [Google Scholar] [CrossRef]
- Aloulou, H.; Aloulou, W.; Daramola, M.O.; Ben Amar, R. Silane-grafted sand membrane for the treatment of oily wastewater via air gap membrane distillation: Study of the efficiency in comparison with microfiltration and ultrafiltration ceramic membranes. Mater. Chem. Phys. 2021, 261, 124186. [Google Scholar] [CrossRef]
- Carbonell-Alcaina, C.; Corbatón-Báguena, M.J.; Álvarez-Blanco, S.; Bes-Piá, M.A.; Mendoza-Roca, J.A.; Pastor-Alcañiz, L. Determination of fouling mechanisms in polymeric ultrafiltration membranes using residual brines from table olive storage wastewaters as feed. J. Food Eng. 2016, 187, 14–23. [Google Scholar] [CrossRef]
- Ghalami Choobar, B.; Alaei Shahmirzadi, M.A.; Kargari, A.; Manouchehri, M. Fouling mechanism identification and analysis in microfiltration of laundry wastewater. J. Environ. Chem. Eng. 2019, 7, 103030. [Google Scholar] [CrossRef]
- Ng, C.Y.; Mohammad, A.W.; Ng, L.Y.; Jahim, J.M. Membrane fouling mechanisms during ultrafiltration of skimmed coconut milk. J. Food Eng. 2014, 142, 190–200. [Google Scholar] [CrossRef]
- Tahri, N.; Masmoudi, G.; Ellouze, E.; Jrad, A.; Drogui, P.; Ben Amar, R. Coupling microfiltration and nanofiltration processes for the treatment at source of dyeing-containing effluent. J. Clean. Prod. 2012, 33, 226. [Google Scholar] [CrossRef]














| Parameters | Unity | Sample 1 | Sample 2 | Sample 3 |
|---|---|---|---|---|
| pH | - | 7.14 ± 0.2 | 8.12 ± 0.2 | 6.9 ± 0.2 |
| Conductivity | mS/cm | 4.66 ± 0.4 | 4.11 ± 0.4 | 3.33 ± 0.4 |
| Turbidity | NTU | 3610 ± 100 | >6000 ± 100 | >6000 ± 100 |
| COD | mg/L | 1125 ± 200 | 4950 ± 200 | 8175 ± 200 |
| Oil contents | g/L | 19 ± 1 | 68 ± 1 | 117 ± 1 |
| Copper | mg/L | 2.63 ± 0.02 | 2.74 ± 0.02 | 4.1 ± 0.02 |
| Lead | mg/L | 16 ± 0.02 | 43.8 ± 0.02 | 21.5 ± 0.02 |
| Zinc | mg/L | 3.6 ± 0.02 | 2.5 ± 0.02 | 10.4 ± 0.02 |
| Nickel | mg/L | <0.1 ± 0.001 | <0.1 ± 0.001 | <0.1 ± 0.001 |
| Chromium | mg/L | <0.02 ± 0.001 | <0.02 ± 0.001 | <0.02 ± 0.001 |
| Input Factors | Variables | Factor Levels | ||
|---|---|---|---|---|
| −1 | 0 | 1 | ||
| Coil (g/L) | X1 | 19 | 68 | 117 |
| T (°C) | X2 | 20 | 40 | 60 |
| ΔP (bar) | X3 | 2 | 3.5 | 7 |
| Run | Input Factors | Responses | |||
|---|---|---|---|---|---|
| Coil (g/L) | T (°C) | ΔP (bar) | R COD (%) | Permeate Flux (L/ h·m²) | |
| 1 | 68 | 20 | 5 | 93 | 120 |
| 2 | 19 | 60 | 3.5 | 95 | 242 |
| 3 | 68 | 20 | 2 | 91 | 102 |
| 4 | 117 | 40 | 2 | 94 | 112 |
| 5 | 117 | 60 | 3.5 | 97 | 232 |
| 6 | 19 | 40 | 2 | 92 | 211 |
| 7 | 68 | 40 | 3.5 | 97 | 130 |
| 8 | 68 | 60 | 5 | 96 | 180 |
| 9 | 117 | 20 | 3.5 | 92 | 140 |
| 10 | 19 | 20 | 3.5 | 91 | 170 |
| 11 | 19 | 40 | 5 | 93 | 258 |
| 12 | 68 | 60 | 2 | 95 | 150 |
| 13 | 117 | 40 | 5 | 95 | 193 |
| Fouling Mechanism | N | Linearized Form | Schematic Diagram | |
|---|---|---|---|---|
| Complete pore blocking | 2 | (6) | ![]() | |
| Standard pore blocking | 1.5 | (7) | ![]() | |
| Intermediate pore blocking | 1 | (8) | ![]() | |
| Cake filtration | 0 | (9) | ![]() | |
| b0 | b1 | b2 | b3 | b12 | b13 | b23 | b11 | b22 | b33 | |
|---|---|---|---|---|---|---|---|---|---|---|
| R(COD) | 97 | 0.875 | 2 | 0.625 | 0.25 | 1.6992 10−17 | −0.25 | −1.75 | −1.5 | −1.75 |
| p-values | 0.0158 | 0.0015 | 0.0385 | 0.3910 | 1.0000 | 0.3910 | 0.0132 | 0.0201 | 0.0132 | |
| Permeate Flux | 136.4 | −25.5 | 34 | 22 | 5 | 8.5 | 3 | 58.35 | ||
| p-values | 0.0354 | 0.0124 | 0.0566 | 0.7080 | 0.5300 | 0.8213 | 0.0097 |
| UF Membrane Material | Experimental Design Method | Optimal Factors | Responses | References |
|---|---|---|---|---|
| TiO2 | BBD | -Initial oil concentration: 117 g/L -Temperature: 60 °C -Transmembrane Pressure: 3.5 bar | -COD removal: 97% -Permeate flux: 232 L/h·m2 | This work |
| Nanocomposite | CCD | -Transmembrane pressure: 3 bar -pH: 9.0 -Feed concentration: 600 ppm | -Water flux: 152 L/h·m2 -Oil rejection: 98.72% | [61] |
| Mullite | BBD | -pH: 7.2 -Feed concentration: 921 mg/L -Coagulant concentration: 207 mg/L | -Water flux: 123.85 L/h·m2 -Oil rejection: 97.31% | [62] |
| Hollow fiber polyvinylidene fluoride | CCD | -Transmembrane pressure: 1 bar -Velocity 3 m/s | -Permeate flux: 50 L/h·m2 -Turbidity removal: 79% -COD removal: 77% | [63] |
| Anionic polyacrylamide (APAM) | CCRD | -C APAM and Coil: <50 mg/L -pH < 4 -Transmembrane pressure: <0.075 MPa | -Minimum relative flux J/J0 = 4% | [64] |
| Al2O3–ZrO2 | Taguchi method | -Transmembrane pressure: =5 bar -pH = 7 -Oil concentration: 0.5% v/v | -Permeate flux: 55.441 L/h·m2 | [65] |
| γ-Al2O3 | BBD | -Feed temperature: 35 °C -Transmembrane pressure: 5 bar -Crossflow velocity CFV: 0.735 m/s | -Permeate flux: 112.7 kg/h·m2 | [66] |
Publisher’s Note: MDPI stays neutral with regard to jurisdictional claims in published maps and institutional affiliations. |
© 2022 by the authors. Licensee MDPI, Basel, Switzerland. This article is an open access article distributed under the terms and conditions of the Creative Commons Attribution (CC BY) license (https://creativecommons.org/licenses/by/4.0/).
Share and Cite
Aloulou, H.; Attia, A.; Aloulou, W.; Chakraborty, S.; Baklouti, L.; Dammak, L.; Amar, R.B. Statistical Simulation, a Tool for the Process Optimization of Oily Wastewater by Crossflow Ultrafiltration. Membranes 2022, 12, 676. https://doi.org/10.3390/membranes12070676
Aloulou H, Attia A, Aloulou W, Chakraborty S, Baklouti L, Dammak L, Amar RB. Statistical Simulation, a Tool for the Process Optimization of Oily Wastewater by Crossflow Ultrafiltration. Membranes. 2022; 12(7):676. https://doi.org/10.3390/membranes12070676
Chicago/Turabian StyleAloulou, Hajer, Afef Attia, Wala Aloulou, Sudip Chakraborty, Lassaad Baklouti, Lasaad Dammak, and Raja Ben Amar. 2022. "Statistical Simulation, a Tool for the Process Optimization of Oily Wastewater by Crossflow Ultrafiltration" Membranes 12, no. 7: 676. https://doi.org/10.3390/membranes12070676
APA StyleAloulou, H., Attia, A., Aloulou, W., Chakraborty, S., Baklouti, L., Dammak, L., & Amar, R. B. (2022). Statistical Simulation, a Tool for the Process Optimization of Oily Wastewater by Crossflow Ultrafiltration. Membranes, 12(7), 676. https://doi.org/10.3390/membranes12070676





