Removal of Organic Compounds with an Amino Group during the Nanofiltration Process
Abstract
:1. Introduction
2. Methodology
2.1. Materials
2.2. Research Equipment
2.3. Analytical Procedures
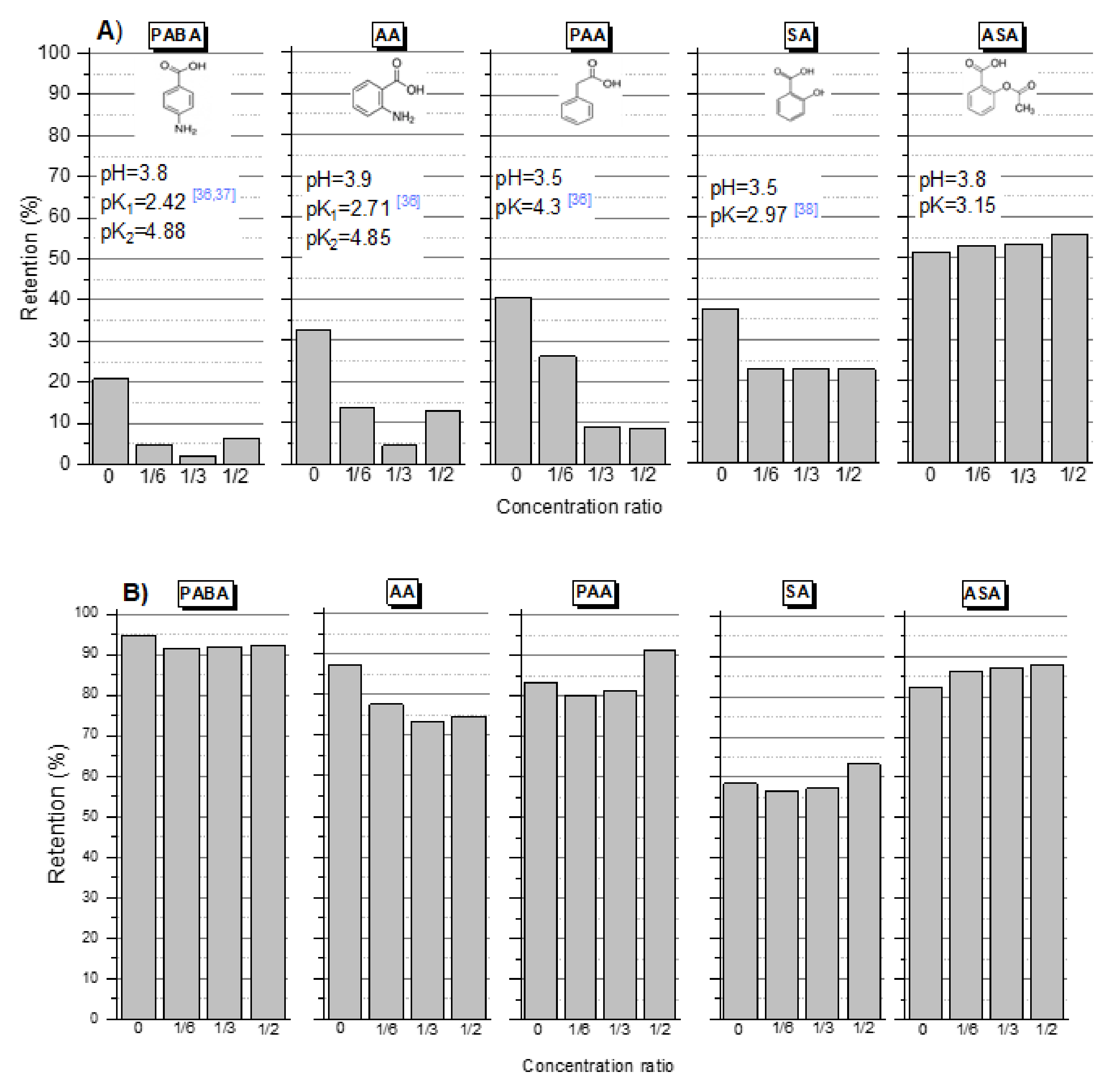
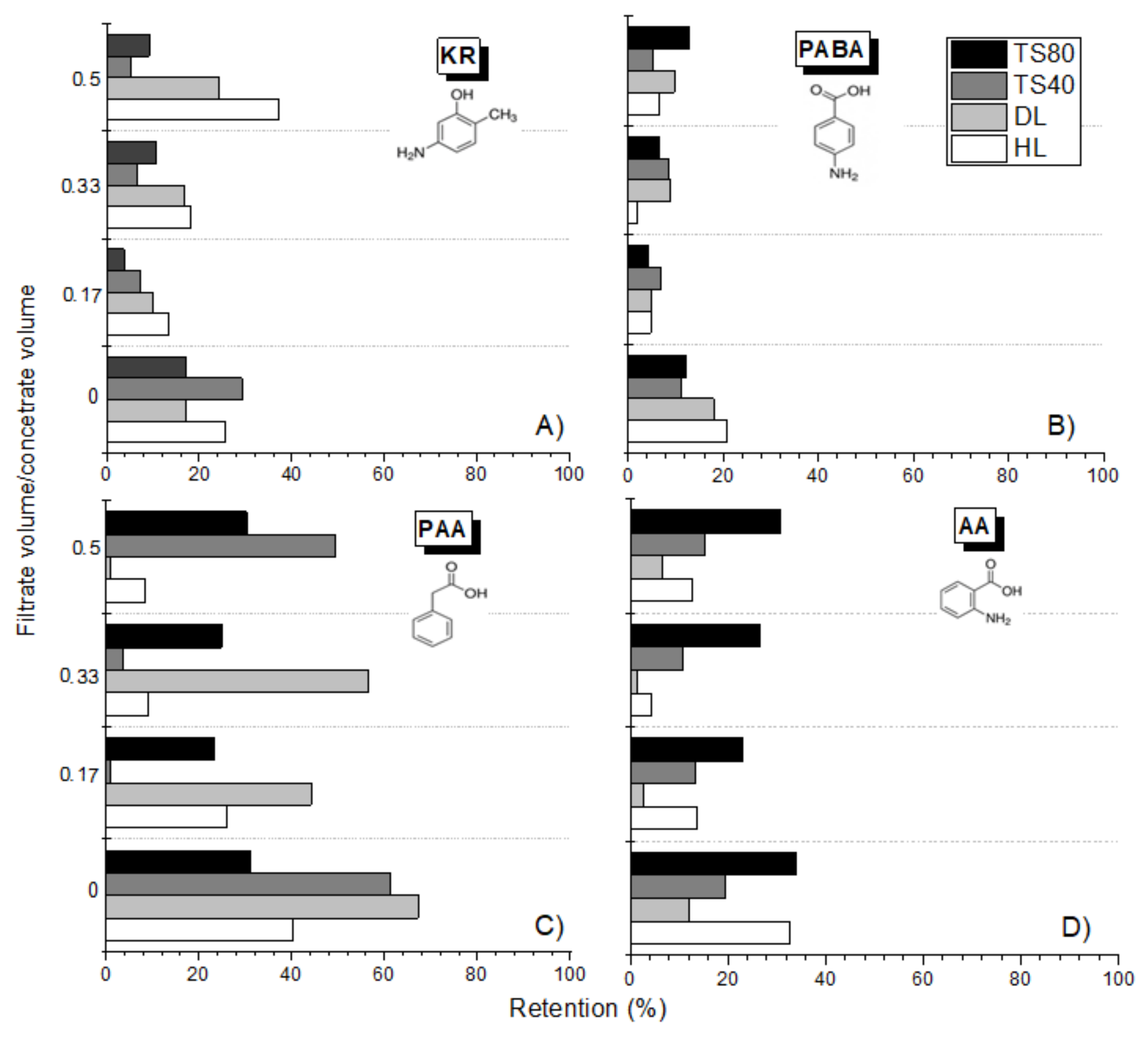
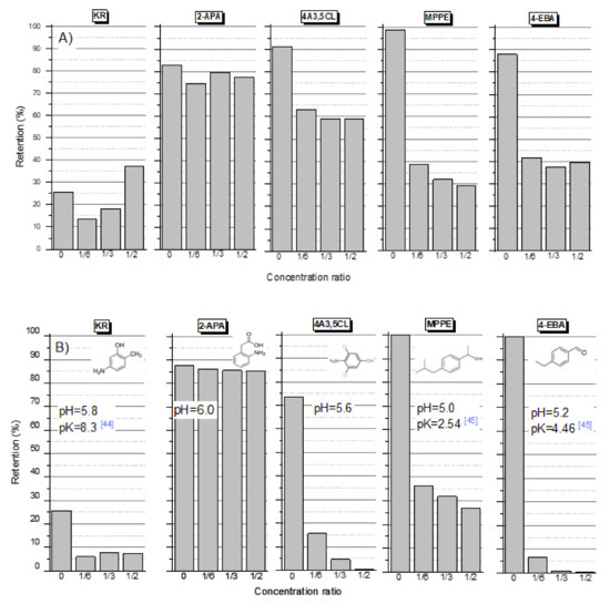
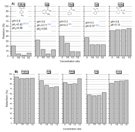
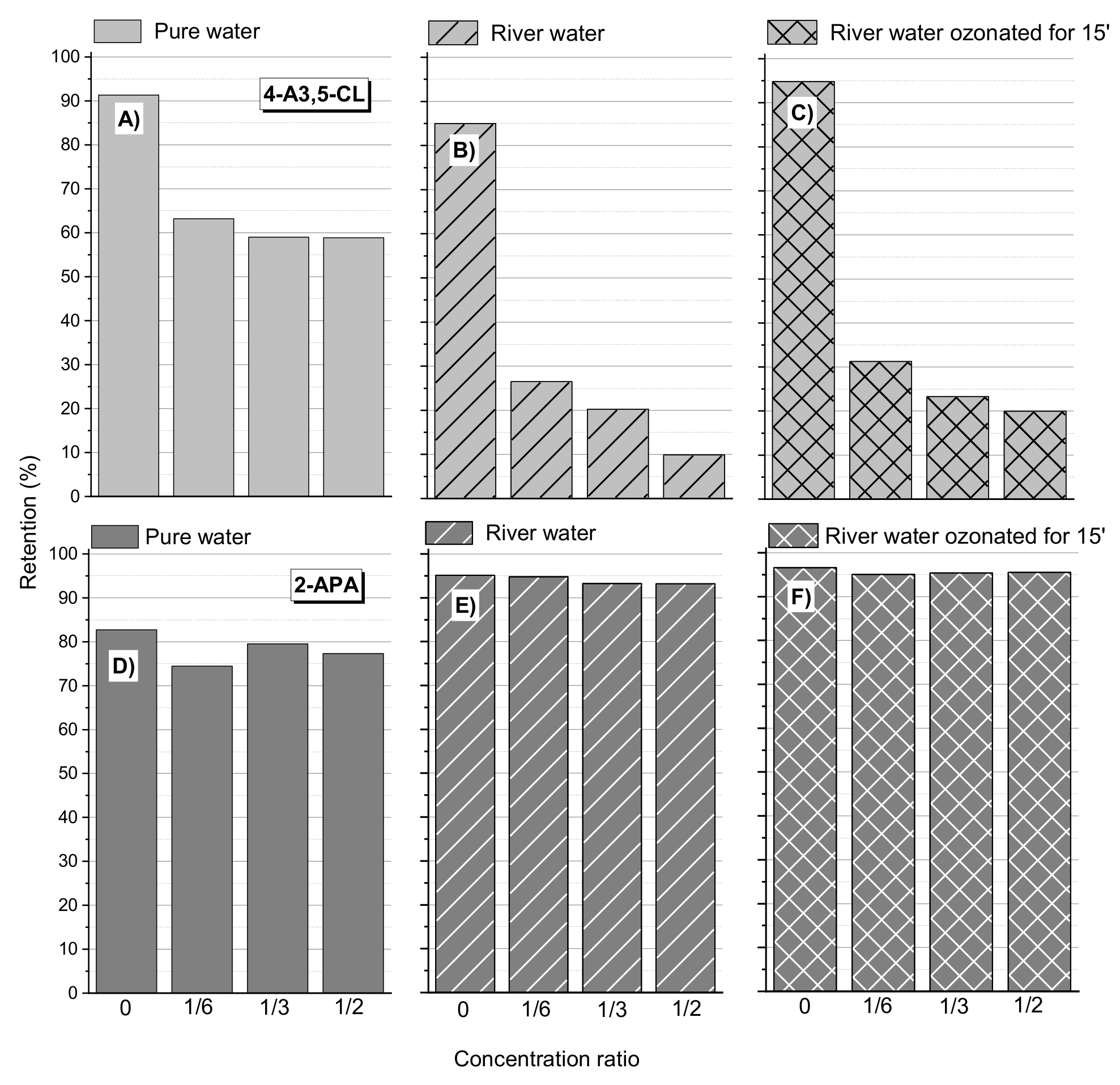
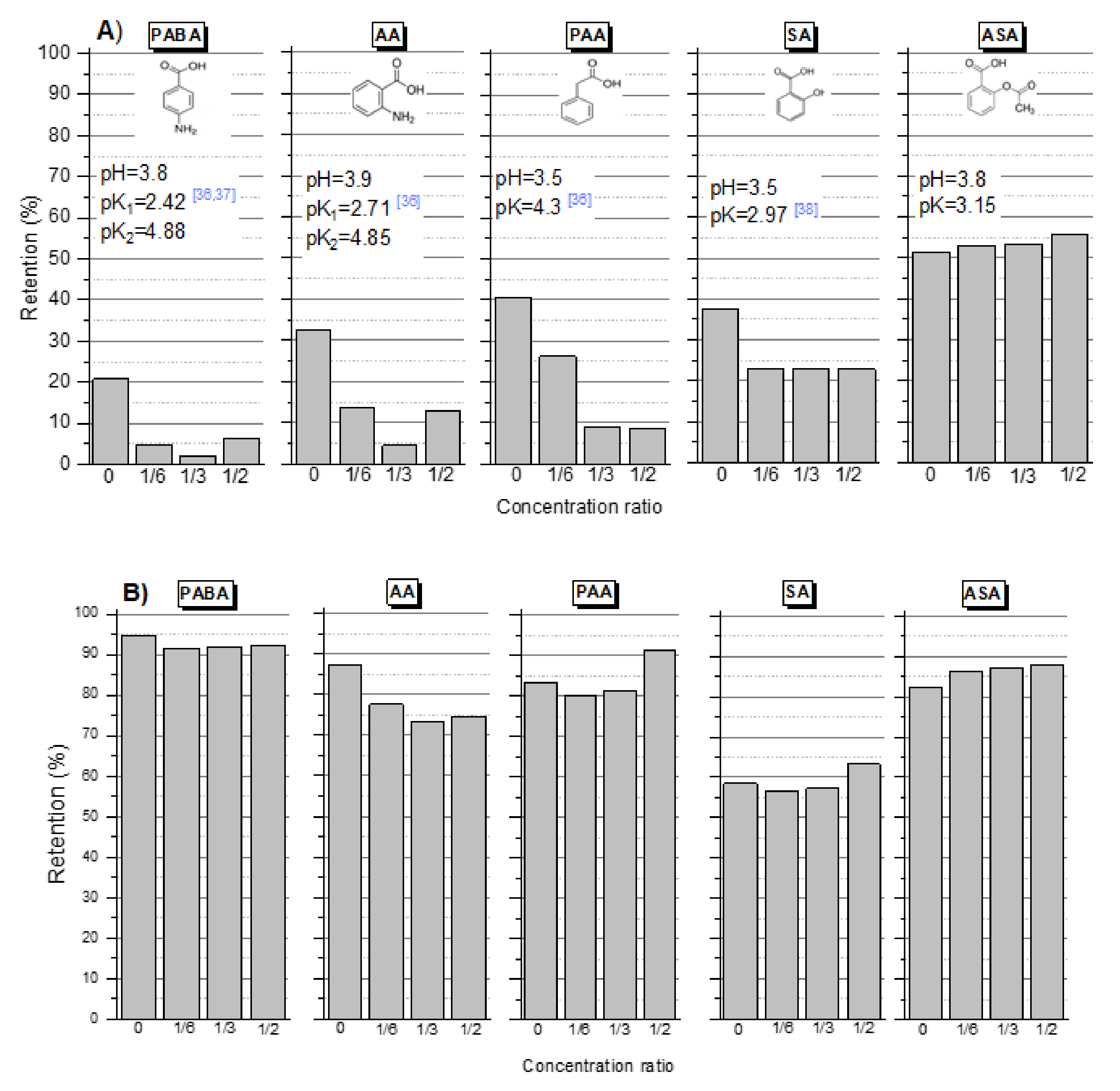
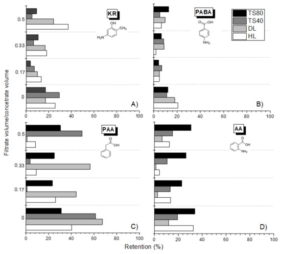
3. Results and Discussion
4. Conclusions
Author Contributions
Funding
Institutional Review Board Statement
Informed Consent Statement
Data Availability Statement
Conflicts of Interest
References
- Krasner, S.W.; Mitch, W.A.; McCurry, D.L.; Hangian, D.; Westerhoff, P. Formation precursors, control, and occurrence of nitrosamines in drinking water: A review. Water Res. 2013, 47, 4433–4450. [Google Scholar] [CrossRef] [PubMed]
- Bei, E.; Shu, Y.; Li, S.; Liao, X.; Wang, J.; Zhang, X.; Chen, C.; Krasner, S. Occurrence of nitrosamines and their precursors in drinking water systems around mainland China. Water Res. 2016, 98, 168–175. [Google Scholar] [CrossRef]
- Leavery-Robak, S.; Sugar, C.A.; Krasner, S.W.; Suffet, I.H. NDMA formation during drinking water treatment: A multivariate analysis of factors influencing formation. Water Res. 2016, 95, 300–309. [Google Scholar] [CrossRef] [PubMed]
- Sgroi, M.; Vagliasindi, F.G.A.; Snyder, S.A.; Roccaro, P. N-nitrosodimethylamine (NDMA) and its precursors in water and wastewater: A review on formation and removal. Chemosphere 2018, 191, 685–703. [Google Scholar] [CrossRef]
- Brüschweiler, B.J.; Küng, S.; Bürgi, D.; Muralt, L.; Nyfeler, E. Identification of non-regulated aromatic amines of toxicological concern which can be cleaved from azo dyes used in clothing textiles. Regul. Toxicol. Pharmacol. 2014, 69, 263–272. [Google Scholar] [CrossRef]
- Brüschweiler, B.J.; Merlot, C. Azo dyes in clothing textiles can be cleaved into a series of mutagenic aromatic amines which are not regulated yet. Regul. Toxicol. Pharmacol. 2017, 88, 214–226. [Google Scholar] [CrossRef]
- Le Roux, J.; Gallard, H.; Croue, J.-P. Chloramination of nitrogenous contaminants (pharmaceuticals and pesticides): NDMA and halogenated DBPs formation. Water Res. 2011, 45, 3164–3174. [Google Scholar] [CrossRef]
- Shen, R.; Andrews, S.A. NDMA formation from amine-based pharmaceuticals: Impact from prechlorination and water matrix. Water Res. 2013, 47, 2446–2457. [Google Scholar] [CrossRef]
- Wang, X.; Zhou, B.; Yang, H.; Wang, X.; Xie, Y. Effect of oxidation on nitro-based pharmaceutical degradation and trichloronitromethane formation. Chemosphere 2016, 146, 154–161. [Google Scholar] [CrossRef] [PubMed]
- Jeon, D.; Kim, J.; Shin, J.; Hidayat, Z.R.; Na, S.; Lee, Y. Transformation of ranitidine during water chlorination and ozonation: Moiety-specific reaction kinetics and elimination efficiency of NDMA formation potential. J. Hazard. Mater. 2016, 318, 802–809. [Google Scholar] [CrossRef] [PubMed]
- Dong, H.; Qiang, Z.; Lian, J.; Qu, J. Degradation of nitro-based pharmaceuticals by UV photolysis: Kinetics and simultaneous reduction on halonitromethans formation potential. Water Res. 2017, 119, 83–90. [Google Scholar] [CrossRef]
- Platzek, T. Risk from exposure to arylamines from consumer products and hair dyes. Front. Biosci. 2010, E2, 1169–1183. [Google Scholar] [CrossRef] [PubMed] [Green Version]
- Neumann, H.-G. Aromatic amines: Mechanisms of carcinogenesis and implications for risk assessment. Front. Biosci. 2010, 15, 1119–1130. [Google Scholar] [CrossRef] [PubMed] [Green Version]
- Samsami, S.; Mohamadi, M.; Sarrafzadeh, M.-H.; Rene, E.R.; Firoozbahr, M. Recent advances in the treatment of dye-containing wastewater from textile industries: Overview and perspectives. Process Saf. Environ. Prot. 2020, 143, 138–163. [Google Scholar] [CrossRef]
- Febrianto, G.; Karisma, D.; Mangindaan, D. Polyetherimide nanofiltration membranes modified by interfacial polymerization for treatment of textile dyes wastewater. In Proceedings of the 3rd Materials Research Society of Indonesia Meeting (MRS-Id 2018), Denpasar, Bali, Indonesia, 31 July–2 August 2018; Volume 622, p. 012019. [Google Scholar] [CrossRef]
- Karisma, D.; Febrianto, G.; Mangindaan, D. Polyetherimide thin film composite (PEI-TFC) membranes for nanofiltration treatment of dyes wastewater. In Proceedings of the 2nd International Conference on Eco Engineering Development 2018 (ICEED 2018), Alam Sutera Tangerang, Indonesia, 5–6 September 2018; Volume 195, p. 012057. [Google Scholar] [CrossRef]
- Chaturvedi, P.; Giri, B.S.; Shukla, P.; Gupta, P. Recent advancement in remediation of synthetic organic antibiotics from environmental matrices: Challenges and perspective. Bioresour. Technol. 2021, 319, 124161. [Google Scholar] [CrossRef]
- Taheran, M.; Brar, S.K.; Verma, M.; Surampalli, R.Y.; Zhang, T.C.; Valero, J.R. Membrane processes for removal of pharmaceutically active compounds (PhACs) from water and wastewater. Sci. Total Environ. 2016, 547, 60–77. [Google Scholar] [CrossRef]
- Yu, X.; Lin, X.; Feng, W.; Li, W. Enhanced catalytic performance of a bio-templated TiO2 UV-Fenton system on the degradation of tetracycline. Appl. Surf. Sci. 2019, 465, 223–231. [Google Scholar] [CrossRef]
- Wang, Y.; Zhang, H.; Zhang, J.; Lu, C.; Huang, Q.; Wu, J.; Liu, F. Degradation of tetracycline in aqueous media by ozonation in an internal loop-lift reactor. J. Hazard. Mater. 2011, 192, 35–43. [Google Scholar] [CrossRef]
- Benitez, F.J.; Acero, J.L.; Real, F.J.; Roldán, G. Ozonation of pharmaceutical compounds: Rate constants and elimination in various water matrices. Chemosphere 2009, 77, 53–59. [Google Scholar] [CrossRef]
- Tizaoui, C.; Grima, N.; Hilal, N. Degradation of the antimicrobial triclocarban (TCC) with ozone. Chem. Eng. Processing Process Intensif. 2011, 50, 637–643. [Google Scholar] [CrossRef]
- Kovács, Z.; Samhaber, W. Contribution of pH dependent osmotic pressure to amino acid transport through nanofiltration membranes. Sep. Purif. Technol. 2008, 61, 243–248. [Google Scholar] [CrossRef]
- Shim, Y.; Chellam, S. Steric and electrostatic interactions govern nanofiltration of amino acids. Biotechnol. Bioeng. 2007, 98, 451–461. [Google Scholar] [CrossRef] [PubMed]
- Bazinet, L.; Firdaous, L. Membrane processes and devices for separation of bioactive peptides. Recent Pat. Biotechnol. 2009, 3, 61–72. [Google Scholar] [CrossRef]
- Vyas, B.B.; Ray, P. Preparation of nanofiltration membranes and relating surface chemistry with potential and topography: Application in separation and desalting of amino acids. Desalination 2015, 362, 104–116. [Google Scholar] [CrossRef]
- Feng, G.; Chu, H.; Dong, B. Fouling effects of algogenic organic matters during nanofiltration of naproxen. Desalination 2014, 350, 69–78. [Google Scholar] [CrossRef]
- Acero, J.L.; Benitez, F.J.; Real, F.J.; Teva, F. Micropollutants removal from retentates generated in ultrafiltration and nanofiltration treatments of municipal secondary effluents by means of coagulation, oxidation, and adsorption processes. Chem. Eng. J. 2016, 289, 48–58. [Google Scholar] [CrossRef]
- Tang, C.Y.; Kwon, Y.; Leckie, J.O. Effect of membrane chemistry and coating layer on physiochemical properties of thin film composite polyamide RO and NF membranes II. Membrane physiochemical properties and their dependence on polyamide and coating layers. Desalination 2009, 242, 168–182. [Google Scholar] [CrossRef]
- Wadekar, S.S.; Vidic, R.D. Influence of Active Layer on Separation Potentials of Nanofiltration Membranes for Inorganic Ions. Environ. Sci. Technol. 2017, 51, 5658–5665. [Google Scholar] [CrossRef]
- Żyłła, R.; Ledakowicz, S.; Boruta, T.; Olak-Kucharczyk, M.; Foszpańczyk, M.; Mrozińska, Z.; Balcerzak, J. Removal of tetracycline oxidation products in the nanofiltration process. Water 2021, 13, 555. [Google Scholar] [CrossRef]
- Xiong, B.; Richard, T.L.; Kumar, M. Integrated acidogenic digestion and carboxylic acid separation by nanofiltration membranes for the lignocellulosic carboxylate platform. J. Membr. Sci. 2015, 489, 275–283. [Google Scholar] [CrossRef]
- Owusu-Agyeman, I.; Reinwald, M.; Jeihanipour, A.; Schäfer, A.I. Removal of fluoride and natural organic matter removal from natural tropical brackish waters by nanofiltration/reverse osmosis with varying water chemistry. Chemosphere 2019, 217, 47–58. [Google Scholar] [CrossRef]
- Zhu, Y.; Galier, S.; Roux-de Balmann, H. Description of the variation of retention versus pH in nanofiltration of organic acids. J. Membr. Sci. 2021, 637, 119588. [Google Scholar] [CrossRef]
- Wang, X.L.; ALYing, A.L.; Wang, W.N. Nanofiltration of l-phenylalanine and l-aspartic acid aqueous solutions. J. Membr. Sci. 2002, 196, 59–67. [Google Scholar] [CrossRef]
- Haynes, W.M. (Ed.) CRC Handbook of Chemistry and Physics, 97th ed.; CRC Press: Boca Raton, FL, USA, 2016; pp. 5–89. ISBN 978-1498754286. [Google Scholar]
- Van de Graaf, B.; Hoefnagel, A.J.; Wepster, B.M. Substituent effects. 7. Microscopic dissociation constants of 4-amino- and 4-(dimethylamino)benzoic acid. J. Org. Chem. 1981, 46, 653–657. [Google Scholar] [CrossRef]
- Minczewski, J.; Marczenko, Z. Chemia Analityczna. T. 1: Podstawy Teoretyczne i Analiza Jakościowa; Wydawnictwo Naukowe PWN: Warszawa, Poland, 2001; p. 55. ISBN 83-01-13499-2. [Google Scholar]
- Al-Amoudi, A.; Williams, P.; Mandale, S.; Lovitt, R.W. Cleaning results of new and fouled nanofiltration membrane characterized by zeta potential and permeability. Sep. Purif. Technol. 2007, 54, 234–240. [Google Scholar] [CrossRef]
- Liu, Y.L.; Wanga, X.-M.; Yang, H.-W.; Xie, Y.F. Quantifying the influence of solute-membrane interactions on adsorption and rejection of pharmaceuticals by NF/RO membranes. J. Membr. Sci. 2018, 551, 37–46. [Google Scholar] [CrossRef]
- Lin, S.-H.; Hsiao, R.-C.; Juang, R.-S. Removal of soluble organics from water by a hybrid process of clay adsorption and membrane filtration. J. Hazard. Mater. 2006, 135, 134–140. [Google Scholar] [CrossRef] [PubMed]
- Sabaté, J.; Pujolà, M.; Labanda, J.; Llorens, J. Influence of pH and operation variables on biogenic amines nanofiltration. Sep. Purif. Technol. 2008, 58, 424–428. [Google Scholar] [CrossRef]
- Kong, F.; Wang, X.; Yang HChen, J.; Guo, C.; Tong Zhang, T.; Xie, Y.F. The role of solubility on the rejection of trace organics by nanofiltration membrane: Exemplified with disinfection by-products. Environ. Sci. Pollut. Res. 2017, 24, 18400–18409. [Google Scholar] [CrossRef] [PubMed]
- Liebert, M.A. Final report on the safety assessment of 4-amino-2-hydroxytoluene. Int. J. Toxicol. 1989, 8, 569–587. [Google Scholar] [CrossRef]
- Olak-Kucharczyk, M.; Foszpańczyk, M.; Żyłła, R.; Ledakowicz, S. Photodegradation and ozonation of ibuprofen derivatives in the water environment: Kinetics approach and assessment of mineralization and biodegradability. Chemosphere 2021, 132742, in press. [Google Scholar] [CrossRef]
- Nghiem, L.D.; Coleman, P.J. NF/RO filtration of the hydrophobic ionogenic compound triclosan: Transport mechanisms and the influence of membrane fouling. Sep. Purif. Technol. 2008, 62, 709–716. [Google Scholar] [CrossRef]
- Lin, Y.H. Molecular weight distribution of organic matter by ozonation and biofiltration. Water Sci. Technol. 2012, 66, 2604. [Google Scholar] [CrossRef] [PubMed]
- Shim YRixey, W.G.; Chellam, S. Influence of sorption on removal of tryptophan and phenylalanine during nanofiltration. J. Membr. Sci. 2008, 323, 99–104. [Google Scholar] [CrossRef]
- Gao, L.; Wang, H.; Zhang, Y.; Wang, M. Nanofiltration Membrane Characterization and Application: Extracting Lithium in Lepidolite Leaching Solution. Membranes 2020, 10, 178. [Google Scholar] [CrossRef]







| Name | Salicylic Acid (SA) | Acetylsalicylic Acid (ASA) | p-Aminobenzoic Acid (PABA) |
|---|---|---|---|
| Chemical structure | ![]() | ![]() | ![]() |
| CAS number | 69-72-7 | 50-78-2 | 150-13-0 |
| Molar mass (g·mol−1) | 138.12 | 180.16 | 137.14 |
| Name | Phenyloacetic Acid (PAA) | 5-Amino-o-kresol (KR) | Anthranilic Acid (AA) |
| Chemical structure | ![]() | ![]() | ![]() |
| CAS number | 103-82-2 | 2835-95-2 | 118-92-3 |
| Molar mass (g·mol−1) | 136.15 | 123.15 | 137.14 |
| Name | 4-Amino-3,5-dichlorofenol (4-A3,5-Cl) Diclofenac oxidation product | 2-Aminophenylacetic acid (2-APA) Diclofenac oxidation product sodium salt | Ibuprofen (IBU) Sodium salt |
| Chemical structure | ![]() | ![]() | ![]() |
| CAS number | 26271-75-0 | 3342-78-7 | 31121-93-4 |
| Molar mass (g·mol−1) | 178.0 | 174.16 | 228.26 |
| Name | 1-hydroxyibuprofen (OH-IBU) Ibuprofen oxidation product | 4-Ethylbenzaldehyde (4-EBA) Ibuprofen oxidation product | 1-(4-isobutyl-phenyl)ethanol (MPPE) Ibuprofen oxidation product |
| Chemical structure | ![]() | ![]() | ![]() |
| CAS number | 53949-53-4 | 4748-78-1 | 40150-92-3 |
| Molar mass (g·mol−1) | 222.28 | 134.18 | 178.27 |
| Characteristic | Type of Membrane | |||
|---|---|---|---|---|
| HL | DL | TS40 | TS80 | |
| polymer | piperazine polyamide [27,28] | modified piperazine polyamide [29] | piperazine polyamide [30] | aromatic polyamide [30] |
| pH range | 3–9 | 2–10 | 2–11 | 2–11 |
| MCWO (Da) | 150–300 | ~150–300 | ~200 | ~150 |
| retention MgSO4/NaCl | 98.0%/n.d. | 98%/n.d. | 90.0%/40–60% | 99.0%/80–90% |
| hydraulic permeability filtrate flux (Lm−2·h−1)/Pressure (MPa) | 66/0.69 | 48/1.52 | 32/0.76 | 32/0.76 |
| manufacturer | GE Osmonics | GE Osmonics | TriSepTM | TriSepTM |
| Parameter | Value | Standard Deviation |
|---|---|---|
| pH | 8.06 | 0.007 |
| conductivity, µS·cm−1 | 570 | 0.71 |
| COD, mg·L−1 | 30.7 | 0.07 |
| TOC, mg·L−1 | 10.2 | 0.14 |
| K+, mg·L−1 | 4.66 | 0.25 |
| PO43−, mg·L−1 | 0.148 | 0.01 |
| SO42−, mg·L−1 | 43 | 1.56 |
| NO3−, mg·L−1 | 1.73 | 0.08 |
| Cl−, mg·L−1 | 31.3 | 1.77 |
| CO2, mg·L−1 | 162 | 2.12 |
Publisher’s Note: MDPI stays neutral with regard to jurisdictional claims in published maps and institutional affiliations. |
© 2021 by the authors. Licensee MDPI, Basel, Switzerland. This article is an open access article distributed under the terms and conditions of the Creative Commons Attribution (CC BY) license (https://creativecommons.org/licenses/by/4.0/).
Share and Cite
Żyłła, R.; Foszpańczyk, M.; Olak-Kucharczyk, M.; Marszałek, J.; Ledakowicz, S. Removal of Organic Compounds with an Amino Group during the Nanofiltration Process. Membranes 2022, 12, 58. https://doi.org/10.3390/membranes12010058
Żyłła R, Foszpańczyk M, Olak-Kucharczyk M, Marszałek J, Ledakowicz S. Removal of Organic Compounds with an Amino Group during the Nanofiltration Process. Membranes. 2022; 12(1):58. https://doi.org/10.3390/membranes12010058
Chicago/Turabian StyleŻyłła, Renata, Magdalena Foszpańczyk, Magdalena Olak-Kucharczyk, Joanna Marszałek, and Stanisław Ledakowicz. 2022. "Removal of Organic Compounds with an Amino Group during the Nanofiltration Process" Membranes 12, no. 1: 58. https://doi.org/10.3390/membranes12010058
APA StyleŻyłła, R., Foszpańczyk, M., Olak-Kucharczyk, M., Marszałek, J., & Ledakowicz, S. (2022). Removal of Organic Compounds with an Amino Group during the Nanofiltration Process. Membranes, 12(1), 58. https://doi.org/10.3390/membranes12010058













