Clarification Processes of Orange Prickly Pear Juice (Opuntia spp.) by Microfiltration
Abstract
1. Introduction
2. Materials and Methods
2.1. Orange Pickly Juice (Opuntia spp.)
2.2. Pretreatment of Orange Prickly Pear Juice
2.3. Microfiltration Unit and Filtration Experiments
2.4. Clarification of Orange Prickly Juice by Batch Concentration Mode
2.5. Parameters of the Membrane
2.6. Analytical Measurements
2.7. Statistical Analysis
3. Results and Discussion
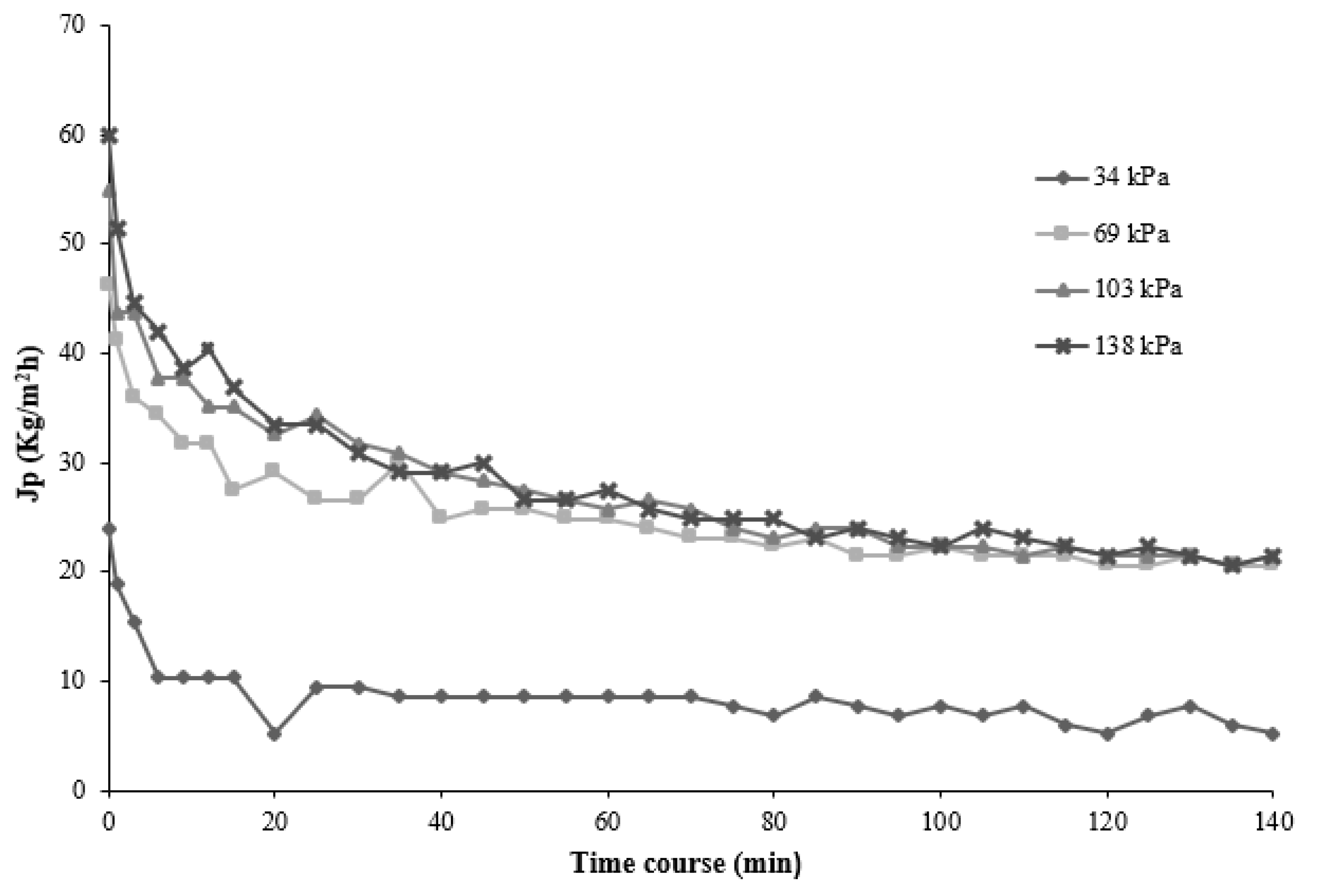
3.1. Effects of the Operating Parameters on the Permeate Flux
3.2. Fouling Index and Cleaning Efficiency
3.3. Influence of Microfiltration on the Physicochemical Properties of Juices
4. Conclusions
Author Contributions
Funding
Acknowledgments
Conflicts of Interest
References
- Jiménez-Aguilar, D.M.; López-Martínez, J.M.; Hernández-Brenes, C.; Gutiérrez-Uribe, J.A.; Welti-Chanes, J. Dietary fiber, phytochemical composition and antioxidant activity of Mexican commercial varieties of cactus pear. J. Food Compos. Anal. 2015, 41, 66–73. [Google Scholar] [CrossRef]
- Abdel-Hameed, E.-S.S.; Nagaty, M.A.; Salman, M.S.; Bazaid, S.A. Phytochemicals, nutritionals and antioxidant properties of two prickly pear cactus cultivars (Opuntia ficus indica Mill.) growing in Taif, KSA. Food Chem. 2014, 160, 31–38. [Google Scholar] [CrossRef]
- Guzmán-Maldonado, S.; Morales-montelongo, A.L.; Mondragón, C.J.; Herrera-Hernández, G.; Guevara-lara, F.; Reynoso-camacho, R. Physicochemical, Nutritional, and Functional Characterization of Fruits Xoconostle (Opuntia matudae) Pears from Central-México Region. J. Food Sci. 2010, 1, 1–8. [Google Scholar] [CrossRef] [PubMed]
- Feugang, J.M.; Konarski, P.; Zou, D.; Stintzing, F.C.; Zou, C. Nutritional and medicinal use of Cactus pear (Opuntia spp.) cladodes and fruits. Front. Biosci. 2006, 2574–2589. [Google Scholar] [CrossRef] [PubMed]
- Chang, S.-F.; Hsieh, C.-L.; Yen, G.-C. The protective effect of Opuntia dillenii Haw fruit against low-density lipoprotein peroxidation and its active compounds. Food Chem. 2008, 106, 569–575. [Google Scholar] [CrossRef]
- Davies, K. Plant Pigments and their Manipulation; Blackwell Publishing: Boca Raton, FL, USA, 2014; p. 14. [Google Scholar]
- García-Cayuela, T.; Gómez-Maqueo, A.; Guajardo-Flores, D.; Welti-Chanes, J.; Cano, M.P. Characterization and quantification of individual betalain and phenolic compounds in Mexican and Spanish prickly pear (Opuntia ficus-indica L. Mill) tissues: A comparative study. J. Food Compos. Anal. 2019, 76, 1–13. [Google Scholar] [CrossRef]
- Stintzing, F.C.; Herbach, M.K.; Mosshammer, M.R.; Carle, R.; Yi, W.; Sellappan, S.; Akoh, C.C.; Bunch, R.; Felker, P. Color, Betalain Pattern, and Antioxidant Properties of Cactus Pear (Opuntia spp.) Clones. J. Agric. Food. Chem. 2005, 53, 442–451. [Google Scholar] [CrossRef]
- Tesoriere, L.; Butera, D.; Allegra, M.; Fazzari, A.M.; Livrea, M.A. Distribution of Betalain Pigments in Red Blood Cells after Consumption of Cactus Pear Fruits and Increased Resistance of the Cells to ex Vivo Induced Oxidative Hemolysis in Humans. J. Agric. Food Chem. 2005, 53, 1266–1270. [Google Scholar] [CrossRef]
- Castellar, R.; Obón, J.M.; Alacid, M.; Fernández-López, J.A. Color Properties and Stability of Betacyanins from Opuntia Fruits. J. Agric. Food Chem. 2003, 51, 2772–2776. [Google Scholar] [CrossRef]
- León-Martínez, F.; Méndez-Lagunas, L.; Rodríguez-Ramírez, J. Spray drying of nopal mucilage (Opuntia ficus-indica): Effects on powder properties and characterization. Carbohydr. Polym. 2010, 81, 864–870. [Google Scholar] [CrossRef]
- Conidi, C.; Cassano, A.; Garcia-Castello, E. Valorization of artichoke wastewaters by integrated membrane process. Water Res. 2014, 48, 363–374. [Google Scholar] [CrossRef] [PubMed]
- Cassano, A.; Tasselli, F.; Conidi, C.; Drioli, E. Ultrafiltration of Clementine mandarin juice by hollow fibre membranes. Desalination 2009, 241, 302–308. [Google Scholar] [CrossRef]
- Castro-Muñoz, R.; Yáñez-Fernández, J. Valorization of Nixtamalization wastewaters (Nejayote) by integrated membrane process. Food Bioprod. Process. 2015, 95, 7–18. [Google Scholar] [CrossRef]
- Chen, V.; Li, H.; Li, D.; Tan, S.; Petrus, H. Cleaning strategies for membrane fouled with protein mixtures. Desalination 2006, 200, 198–200. [Google Scholar] [CrossRef]
- Re, R.; Pellegrini, N.; Proteggente, A.; Pannala, A.; Yang, M.; Rice-Evans, C. Antioxidant activity applying an improved ABTS radical cation decolorization assay. Free Radic. Biol. Med. 1999, 26, 1231–1237. [Google Scholar] [CrossRef]
- Gandía-Herrero, F.; Escribano, J.; García-Carmona, F. Structural implications on color, fluorescence, and antiradical activity in betalains. Planta 2010, 232, 449–460. [Google Scholar] [CrossRef] [PubMed]
- Viloria-Matos, A.; Moreno-Alvarez, M.J.; Hidalgo-Báez, D. Isolation and identification of betacyanin from fruits of Opuntia boldinghii Br. et R. by hptlc. Cienc. Tecnol. Aliment. 2001, 3, 140–143. [Google Scholar] [CrossRef][Green Version]
- Soriano-Santos, J.; Franco-Zavaleta, M.E.; Pelayo-Zaldívar, C.; Armella-Villalpando, M.A.; Yáñez-López, M.L.; Guerrero-Legarreta, I. A partial characterization of the red pigment from the mexican fruit Cactus “JIOTILLA” (Escontria chiotilla [Weber] Britton & Rose). Rev. Mex. Ing. Quim. 2007, 6, 19–25. [Google Scholar]
- Destani, F.; Cassano, A.; Fazio, A.; Vincken, J.-P.; Gabriele, B. Recovery and concentration of phenolic compounds in blood orange juice by membrane operations. J. Food Eng. 2013, 117, 263–271. [Google Scholar] [CrossRef]
- Conidi, C.; Castro-Muñoz, R.; Cassano, A. Membrane-Based Operations in the Fruit Juice Processing Industry: A Review. Beverages 2020, 6, 18. [Google Scholar] [CrossRef]
- Negrão Murakami, A.N.; de Castanho Amboni, R.D.M.; Prudêncio, E.S.; Amante, E.R.; de Zanotta, L.M.; Maraschin, M.; Petrus cunha, J.C.; Francisco Teófilo, R. Concentration of phenolic compounds in aqueous mate (Ilex paraguariensis A. St. Hil) extract through nanofiltration. LWT Food Sci. Technol. 2011, 44, 2211–2216. [Google Scholar] [CrossRef]
- Galanakis, C.M.; Tornberg, E.; Gekas, V. Clarification of high-added value products from olive mill wastewater. J. Food Eng. 2010, 99, 190–197. [Google Scholar] [CrossRef]
- Constenla, D.T.; Lozano, J.E. Hollow Fibre Ultrafiltration of Apple Juice: Macroscopic Approach. LWT 1997, 30, 373–378. [Google Scholar] [CrossRef]
- Cassano, A.; Donato, L.; Drioli, E. Ultrafiltration of kiwifruit juice: Operating parameters, juice quality and membrane fouling. J. Food Eng. 2007, 79, 613–621. [Google Scholar] [CrossRef]
- Riedl, K. Microfiltration of Apple Juice: Membrane Structure and Foulant Morphology Effects on Flux Resistance. Master’s Thesis, The University of Guelph, Guelph, ON, Canada, 1996. [Google Scholar]
- Nilsson, J.L. Protein fouling of uf membranes: Causes and consequences. J. Membr. Sci. 1990, 52, 121–142. [Google Scholar] [CrossRef]
- Gonçalves, F.; Fernandes, C.; De Pinho, M.N. White wine clarification by micro/ultrafiltration: Effect of removed colloids in tartaric stability. Sep. Purif. Technol. 2001, 22, 423–429. [Google Scholar] [CrossRef]
- Kamal, N.; Kochkodan, V.; Zekri, A.; Ahzi, S. Polysulfone Membranes Embedded with Halloysites Nanotubes: Preparation and Properties. Membranes 2019, 10, 2. [Google Scholar] [CrossRef]
- Ulbricht, M.; Ansorge, W.; Danielzik, I.; König, M.; Schuster, O. Fouling in microfiltration of wine: The influence of the membrane polymer on adsorption of polyphenols and polysaccharides. Sep. Purif. Technol. 2009, 68, 335–342. [Google Scholar] [CrossRef]
- Castro-Muñoz, R.; Fíla, V.; Barragán-Huerta, B.E.; Yáñez-Fernández, J.; Piña-Rosas, J.A.; Arboleda-Mejía, J. Processing of Xoconostle fruit (Opuntia joconostle) juice for improving its commercialization using membrane filtration. J. Food Process. Preserv. 2017, 42, e13394. [Google Scholar] [CrossRef]
- Saleh, Z.S.; Stanley, R.; Wibisono, R. Separation and Concentration of Health Compounds by Membrane Filtration. Int. J. Food Eng. 2006, 2, 1–14. [Google Scholar] [CrossRef]
- Rudolph, G.; Schagerlöf, H.; Krogh, K.B.M.; Jönsson, A.-S.; Lipnizki, F. Investigations of Alkaline and Enzymatic Membrane Cleaning of Ultrafiltration Membranes Fouled by Thermomechanical Pulping Process Water. Membranes 2018, 8, 91. [Google Scholar] [CrossRef]
- Mapari, S.S.A.; Meyer, S.A.; Thrane, U. Colorimetric Characterization for Comparative Analysis of Fungal Pigments and Natural Food Colorants. J. Agric. Food Chem. 2006, 54, 7027–7035. [Google Scholar] [CrossRef]
- Cassano, A.; Conidi, C.; Timpone, R.; D’Avella, M.; Drioli, E. A membrane-based process for the clarification and the concentration of the cactus pear juice. J. Food Eng. 2007, 80, 914–921. [Google Scholar] [CrossRef]
- Cassano, A.; Marchio, M.; Drioli, E. Clarification of blood orange juice by ultrafiltration: Analyses of operating parameters, membrane fouling and juice quality. Desalination 2007, 212, 15–27. [Google Scholar] [CrossRef]
- Vaillant, F.; Pérez, A.; Acosta, O.; Dornier, M. Turbidity of pulpy fruit juice: A key factor for predicting cross-flow microfiltration performance. J. Membr. Sci. 2008, 325, 404–412. [Google Scholar] [CrossRef]
- Hernandez, E.; Chen, C.S.; Shaw, P.E.; Carter, R.D.; Barros, S. Ultrafiltration of Orange Juice: Effect on Saluble Solids, Suspended Solids, and Aroma. J. Agric. Food Chem. 1992, 40, 986–988. [Google Scholar] [CrossRef]
- Meija, J.A.A.; Parpinello, G.P.; Versari, A.; Conidi, C.; Cassano, A. Microwave-assisted extraction and membrane-based separation of biophenols from red wine lees. Food Bioprod. Process. 2019, 117, 74–83. [Google Scholar] [CrossRef]
- Carle, R.; Schweiggert, R. Handbook on Natural Pigments in Food and Beverages: Industrial Applications for Improving Food Color; Woodhead Publishing: Cambridge, UK, 2016; pp. 81–99. [Google Scholar]
- Crespo, J.G.; Brazinha, C. Membrane processing: Natural antioxidants from winemaking by-products. Filtr. Sep. 2010, 47, 32–35. [Google Scholar] [CrossRef]
- Kalbasi, A.; Cisneros-Zevallos, L. Fractionation of Monomeric and Polymeric Anthocyanins from Concord Grape (Vitis labrusca L.) Juice by Membrane Ultrafiltration. J. Agric. Food Chem. 2007, 55, 7036–7042. [Google Scholar] [CrossRef]
- Nawaz, H.; Shi, J.; Mittal, G.S.; Kakuda, Y. Extraction of polyphenols from grape seeds and concentration by ultrafiltration. Sep. Purif. Technol. 2006, 48, 176–181. [Google Scholar] [CrossRef]
- Castro-Muñoz, R.; Barragán-Huerta, B.E.; Fíla, V.; Denis, P.C.; Ruby-Figueroa, R. Current Role of Membrane Technology: From the Treatment of Agro-Industrial by-Products up to the Valorization of Valuable Compounds. Waste Biomass Valorization 2017, 9, 513–529. [Google Scholar] [CrossRef]





| Membrane | MF |
|---|---|
| Manufacturer | Amersham Biosciences |
| Membrane type | CFP-1-E-4A |
| Nominal pore size (µm) | 0.1 |
| MWCO (Da) | 1,000,000 |
| Membrane surface area (cm2) | 420 |
| Membrane material | Polysulfone |
| Configuration | Hollow fiber |
| pH operating range | 2 to 13 |
| Temperature range (°C) | Up to 80 °C |
| Membrane Parameters | |
|---|---|
| Kp0 (L/m2·h kPa) | 44.72 |
| Kp1 (L/m2·h kPa) | 30.44 |
| Kp2 (L/m2·h kPa) | 40.78 |
| Fouling index (%) | 31.93 |
| Cleaning efficiency (%) | 91.20 |
| Parameter | Feed | Permeate | Retentate |
|---|---|---|---|
| Antioxidant capacity (TEAC) | 3.71 ± 0.71 a | 2.03 ± 0.13 b | 0.16 ± 0.01 c |
| Content of betalains (mg/100 g wet base) | 5.95 ± 0.05 a | 4.54 ± 0.01 b | 2.46 ± 0.01 c |
| TSS (°Brix) | 11.4 ± 0.23 a | 10.8 ± 0.07 b | 11.4 ± 0.12 a |
| pH | 5.97 ± 0.02 b | 6.72 ± 0.06 a | 5.04 ± 0.19 c |
| Turbidity (NTU) | 164.3 ± 12.4 b | 0.37 ± 0.10 c | >1000 ± 0 a |
| Colorimetry | |||
| L | 28.6 ± 1.78 b | 31.4 ± 0.61 a | 26.7 ± 0.78 b |
| a* | 16.7 ± 5.8 a | 21.5 ± 2.64 a | 5.3 ± 1.50 b |
| b* | 8.36 ± 2.16 b | 13.2 ± 0.92 a | 5.0 ± 0.90 c |
| C | 18.6 ± 6.2 a | 25.2 ± 2.7 a | 7.29 ± 1.69 b |
| H | 26.8 ± 2.02 b | 31.5 ± 1.40 b | 43.5 ± 3.74 a |
| Compounds | Rejection (%) |
|---|---|
| Antioxidant capacity | 45.28 |
| Content of betalains | 23.69 |
| TSS (°Brix) | 5.26 |
| Turbidity | 99.77 |
Publisher’s Note: MDPI stays neutral with regard to jurisdictional claims in published maps and institutional affiliations. |
© 2021 by the authors. Licensee MDPI, Basel, Switzerland. This article is an open access article distributed under the terms and conditions of the Creative Commons Attribution (CC BY) license (https://creativecommons.org/licenses/by/4.0/).
Share and Cite
Mejia, J.A.A.; Yáñez-Fernandez, J. Clarification Processes of Orange Prickly Pear Juice (Opuntia spp.) by Microfiltration. Membranes 2021, 11, 354. https://doi.org/10.3390/membranes11050354
Mejia JAA, Yáñez-Fernandez J. Clarification Processes of Orange Prickly Pear Juice (Opuntia spp.) by Microfiltration. Membranes. 2021; 11(5):354. https://doi.org/10.3390/membranes11050354
Chicago/Turabian StyleMejia, Jaime A. Arboleda, and Jorge Yáñez-Fernandez. 2021. "Clarification Processes of Orange Prickly Pear Juice (Opuntia spp.) by Microfiltration" Membranes 11, no. 5: 354. https://doi.org/10.3390/membranes11050354
APA StyleMejia, J. A. A., & Yáñez-Fernandez, J. (2021). Clarification Processes of Orange Prickly Pear Juice (Opuntia spp.) by Microfiltration. Membranes, 11(5), 354. https://doi.org/10.3390/membranes11050354

