Water Electrolysis Using a Porous IrO2/Ti/IrO2 Catalyst Electrode and Nafion Membranes at Elevated Temperatures
Abstract
1. Introduction
2. Experimental
2.1. Electrodes
2.2. Membranes
2.3. Experimental Setup and Test Procedure
2.4. Electrical Characteristics of the IrO2 Electrodes
2.5. Surface Characteristics of the IrO2 Electrodes
2.6. SAXS
3. Results and Discussion
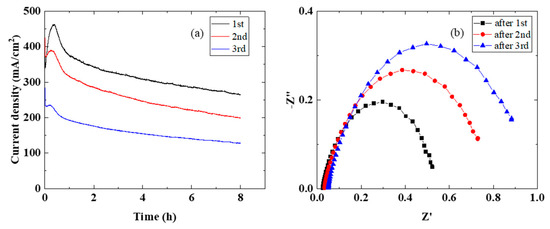
3.1. Characteristics of the Porous IrO2 Catalyst Electrodes
3.2. Elevated Temperature Water Electrolysis
3.3. SAXS Characteristics of PFSA Membranes
3.4. The Relationship between the SAXS Results for Membranes and the MEA Performance Results
4. Conclusions
Author Contributions
Funding
Institutional Review Board Statement
Acknowledgments
Conflicts of Interest
References
- Körner, A.; Tam, C.; Bennett, S.; Gagné, J. Technology Roadmap-Hydrogen and Fuel Cells; International Energy Agency (IEA): Paris, France, 2015. [Google Scholar]
- Blagojević, V.A.; Minić Dejan, G.; Grbović Novaković, J.; Minic Dragica, M. Hydrogen economy: Modern concepts, challenges and perspectives. Hydrog. Energy Chall. Perspect. 2012, 17, 3–28. [Google Scholar] [CrossRef]
- Babic, U.; Suermann, M.; Büchi, F.N.; Gubler, L.; Schmidt, T.J. Critical Review—Identifying Critical Gaps for Polymer Electrolyte Water Electrolysis Development. J. Electrochem. Soc. 2017, 164, F387–F399. [Google Scholar] [CrossRef]
- Carmo, M.; Fritz, D.L.; Mergel, J.; Stolten, D. A comprehensive review on PEM water electrolysis. Int. J. Hydrog. Energy 2013, 38, 4901–4934. [Google Scholar] [CrossRef]
- Choe, S.; Lee, B.S.; Cho, M.K.; Kim, H.J.; Henkensmeier, D.; Yoo, S.J.; Kim, J.Y.; Lee, S.Y.; Park, H.S.; Jang, J.H. Electrodeposited IrO2/Ti electrodes as durable and cost-effective anodes in high-temperature polymer-membrane-electrolyte water electrolyzers. Appl. Catal. B Environ. 2018, 226, 289–294. [Google Scholar] [CrossRef]
- Siracusano, S.; Van Dijk, N.; Payne-Johnson, E.; Baglio, V.; Aricò, A. Nanosized IrOx and IrRuOx electrocatalysts for the O2 evolution reaction in PEM water electrolysers. Appl. Catal. B Environ. 2015, 164, 488–495. [Google Scholar] [CrossRef]
- Antolini, E. Iridium as Catalyst and Cocatalyst for Oxygen Evolution/Reduction in Acidic Polymer Electrolyte Membrane Electrolyzers and Fuel Cells. ACS Catal. 2014, 4, 1426–1440. [Google Scholar] [CrossRef]
- Zhao, S.; Stocks, A.; Rasimick, B.; More, K.; Xu, H. Highly Active, Durable Dispersed Iridium Nanocatalysts for PEM Water Electrolyzers. J. Electrochem. Soc. 2018, 165, F82–F89. [Google Scholar] [CrossRef]
- Rasten, E.; Hagen, G.; Tunold, R. Electrocatalysis in water electrolysis with solid polymer electrolyte. Electrochim. Acta 2003, 48, 3945–3952. [Google Scholar] [CrossRef]
- Seitz, L.C.; Dickens, C.F.; Nishio, K.; Hikita, Y.; Montoya, J.; Doyle, A.; Kirk, C.; Vojvodic, A.; Hwang, H.Y.; Norskov, J.K.; et al. A highly active and stable IrOx/SrIrO3 catalyst for the oxygen evolution reaction. Science 2016, 353, 1011–1014. [Google Scholar] [CrossRef]
- Lettenmeier, P.; Wang, L.; Golla-Schindler, U.; Gazdzicki, P.; Cañas, N.A.; Handl, M.; Hiesgen, R.; Hosseiny, S.S.; Gago, A.S.; Friedrich, K.A. Nanosized IrOx-Ir catalyst with relevant activity for anodes of proton exchange membrane electrolysis produced by a cost-effective procedure. Angew. Chem. Int. Ed. 2016, 55, 742–746. [Google Scholar] [CrossRef]
- Bernt, M.; Gasteiger, H.A. Influence of ionomer content in IrO2/TiO2 electrodes on PEM water electrolyzer performance. J. Electrochem. Soc. 2016, 163, F3179–F3189. [Google Scholar] [CrossRef]
- Babic, U.; Schmidt, T.J.; Gubler, L. Communication—Contribution of Catalyst Layer Proton Transport Resistance to Voltage Loss in Polymer Electrolyte Water Electrolyzers. J. Electrochem. Soc. 2018, 165, J3016–J3018. [Google Scholar] [CrossRef]
- Mandal, M.; Valls, A.; Gangnus, N.; Secanell, M. Analysis of inkjet printed catalyst coated membranes for polymer electrolyte electrolyzers. J. Electrochem. Soc. 2018, 165, F543–F552. [Google Scholar] [CrossRef]
- Bühler, M.; Holzapfel, P.; McLaughlin, D.; Thiele, S. From catalyst coated membranes to porous transport electrode based configurations in PEM water electrolyzers. J. Electrochem. Soc. 2019, 166, F1070–F1078. [Google Scholar] [CrossRef]
- Feng, Q.; Yuan, X.; Liu, G.; Wei, B.; Zhang, Z.; Li, H.; Wang, H. A review of proton exchange membrane water electrolysis on degradation mechanisms and mitigation strategies. J. Power Sources 2017, 366, 33–55. [Google Scholar] [CrossRef]
- Kusoglu, A.; Weber, A.Z. New Insights into Perfluorinated Sulfonic-Acid Ionomers. Chem. Rev. 2017, 117, 987–1104. [Google Scholar] [CrossRef]
- Ito, H.; Maeda, T.; Nakano, A.; Takenaka, H. Properties of Nafion membranes under PEM water electrolysis conditions. Int. J. Hydrog. Energ. 2011, 36, 10527–10540. [Google Scholar] [CrossRef]
- Paidar, M.; Fateev, V.; Bouzek, K. Membrane electrolysis—History, current status and perspective. Electrochim. Acta 2016, 209, 737–756. [Google Scholar] [CrossRef]
- Siracusano, S.; Baglio, V.; Stassi, A.; Merlo, L.; Moukheiber, E.; Arico, A. Performance analysis of short-side-chain Aquivion® perfluorosulfonic acid polymer for proton exchange membrane water electrolysis. J. Membr. Sci. 2014, 466, 1–7. [Google Scholar] [CrossRef]
- Siracusano, S.; Baglio, V.; Van Dijk, N.; Merlo, L.; Aricò, A.S. Enhanced performance and durability of low catalyst loading PEM water electrolyser based on a short-side chain perfluorosulfonic ionomer. Appl. Energy 2017, 192, 477–489. [Google Scholar] [CrossRef]
- Antonucci, V.; Di Blasi, A.; Baglio, V.; Ornelas, R.; Matteucci, F.; Ledesma-García, J.; Arriaga, L.; Aricò, A.S. High temperature operation of a composite membrane-based solid polymer electrolyte water electrolyser. Electrochim. Acta 2008, 53, 7350–7356. [Google Scholar] [CrossRef]
- Aili, D.; Hansen, M.K.; Pan, C.; Li, Q.; Christensen, E.; Jensen, J.O.; Bjerrum, N.J. Phosphoric acid doped membranes based on Nafion®, PBI and their blends-Membrane preparation, characterization and steam electrolysis testing. Int. J. Hydrog. Energy 2011, 36, 6985–6993. [Google Scholar] [CrossRef]
- Mališ, J.; Mazúr, P.; Paidar, M.; Bystron, T.; Bouzek, K. Nafion 117 stability under conditions of PEM water electrolysis at elevated temperature and pressure. Int. J. Hydrog. Energy 2016, 41, 2177–2188. [Google Scholar] [CrossRef]
- Li, H.; Fujigaya, T.; Nakajima, H.; Inada, A.; Ito, K. Optimum structural properties for an anode current collector used in a polymer electrolyte membrane water electrolyzer operated at the boiling point of water. J. Power Sources 2016, 332, 16–23. [Google Scholar] [CrossRef]
- Lee, B.-S.; Park, H.-Y.; Choi, I.; Cho, M.K.; Kim, H.-J.; Yoo, S.J.; Henkensmeier, D.; Kim, J.Y.; Nam, S.W.; Park, S.; et al. Polarization characteristics of a low catalyst loading PEM water electrolyzer operating at elevated temperature. J. Power Sources 2016, 309, 127–134. [Google Scholar] [CrossRef]
- Xu, W.; Scott, K.; Basu, S. Performance of a high temperature polymer electrolyte membrane water electrolyser. J. Power Sources 2011, 196, 8918–8924. [Google Scholar] [CrossRef]
- Xu, J.; Aili, D.; Li, Q.; Christensen, E.; Jensen, J.O.; Zhang, W.; Hansen, M.K.; Liu, G.; Wang, X.; Bjerrum, N.J. Oxygen evolution catalysts on supports with a 3-D ordered array structure and intrinsic proton conductivity for proton exchange membrane stem electrolysis. Energy Environ. Sci. 2014, 7, 820–830. [Google Scholar] [CrossRef]
- Kim, J.-D.; Ohira, A.; Nakao, H. Chemically Crosslinked Sulfonated Polyphenylsulfone (CSPPSU) Membranes for PEM Fuel Cells. Membranes 2020, 10, 31. [Google Scholar] [CrossRef] [PubMed]
- Murakami, Y.; Takasu, Y. Synthesis and application of ultrafine particles of precious metal oxides. Colour Mater. Jpn. 1995, 68, 489–495. [Google Scholar] [CrossRef]
- Arbabi, F.; Kalantarian, A.; Abouatallah, R.; Wang, R.; Wallace, J.S.; Bazylak, A. Feasibility study of using micro-fluidic platforms for visualizing bubble flows in electolyzer gas diffusion layers. J. Power Sources 2014, 258, 142–149. [Google Scholar] [CrossRef]
- Dedigama, I.; Angeli, P.; van Dijk, N.; Millichamp, J.; Tsaoulidis, D.; Shearing, P.R.; Brett, D.J. Current density mapping and optical flow visualisation of a polymer electrolyte membrane water electrolyser. J. Power Sources 2014, 265, 97–103. [Google Scholar] [CrossRef]
- Song, S.; Zhang, H.; Ma, X.; Shao, Z.; Baker, R.T.; Yi, B. Electrochemical investigation of electrocatalysts for the oxygen evolution reaction in PEM water electrolyzers. Int. J. Hydrog. Energy 2008, 33, 4955–4961. [Google Scholar] [CrossRef]
- LaConti, A.; Liu, H.; Mittelsteadt, C.; McDonald, R. Polymer Electrolyte Membrane Degradation Mechanisms in Fuel Cells—Findings Over the Past 30 Years and Comparison with Electrolyzers. ECS Trans. 2006, 1, 199–219. [Google Scholar] [CrossRef]
- Endoh, E. Development of highly durable PFSA membrane and MEA for PEMFC under high temperature and low humidity conditions. ECS Trans. 2008, 16, 1229–1240. [Google Scholar] [CrossRef]
- Alberti, G.; Di Vona, M.L.; Narducci, R. New results on the visco-elastic behaviour of ionomer membranes and relations between T-RH plots and proton conductivity decay of Nafion® 117 in the range 50–140 °C. Int. J. Hydrog. Energy 2012, 37, 6302–6307. [Google Scholar] [CrossRef]
- Casciola, M.; Alberti, G.; Sganappa, M.; Narducci, R. On the decay of Nafion proton conductivity at high temperature and relative humidity. J. Power Sources 2006, 162, 141–145. [Google Scholar] [CrossRef]
- Alberti, G.; Narducci, R.; Sganappa, M. Effects of hydrothermal/thermal treatments on the water-uptake of Nafion membranes and relations with changes of conformation, counter-elastic force and tensile modulus of the matrix. J. Power Sources 2008, 178, 575–583. [Google Scholar] [CrossRef]
- Narducci, R.; Knauth, P.; Chailan, J.-F.; Di Vona, M.L. How to improve Nafion with tailor made annealing. RSC Adv. 2018, 8, 27268–27274. [Google Scholar] [CrossRef]
- Giancola, S.; Arciniegas, R.A.; Fahs, A.; Chailan, J.F.; Di Vona, M.L.; Knauth, P.; Narducci, R. Study of annealed Aquivion® ionomers with the INCA method. Membranes 2019, 9, 134. [Google Scholar] [CrossRef]
- Kwon, O.; Wu, S.; Zhu, D.-M. Configuration Changes of Conducting Channel Network in Nafion Membranes due to Thermal Annealing. J. Phys. Chem. B 2010, 114, 14989–14994. [Google Scholar] [CrossRef]
- De Matos, B.R.; Goulart, C.A.; Santiago, E.I.; Muccillo, R.; Fonseca, F.C. Proton conductivity of perfluorosulfonate ionomers at high temperature and high relative humidity. Appl. Phys. Lett. 2014, 104, 91904. [Google Scholar] [CrossRef]
- Rubatat, L.; Rollet, A.L.; Gebel, G.; Diat, O. Evidence of Elongated Polymeric Aggregates in Nafion. Macromolecules 2002, 35, 4050–4055. [Google Scholar] [CrossRef]
- Kim, M.H.; Glinka, C.J.; Grot, S.A.; Grot, W.G. SANS study of the effects of water vapor sorption on the nanoscale structure of perfluorinated sulfonic acid (NAFION) membranes. Macromolecules 2006, 39, 4775–4787. [Google Scholar] [CrossRef]








| Sample | Sheet Resistance | Volume Resistivity | Conductivity |
|---|---|---|---|
| (ohm/sq.) | (ohm·cm) | (S/cm) | |
| 1 | 1.057 × 10–2 | 5.180 × 10–4 | 1.931 × 10–3 |
| 2 | 6.295 × 10–3 | 3.116 × 10–4 | 3.209 × 10–3 |
| 3 | 7.181 × 10–3 | 3.562 × 10–4 | 2.807 × 10–3 |
| Temp (°C) | Sample | Voltage (V) at 50 mA/cm2 | Current Density (mA/cm2) at 1.8 V |
|---|---|---|---|
| 80 | 1 | 1.57 | 689 |
| 2 | 1.59 | 580 | |
| 3 | 1.61 | 446 | |
| 100 | 1 | 1.55 | 856 |
| 2 | 1.57 | 770 | |
| 3 | 1.58 | 603 | |
| 120 | 1 | 1.54 | 906 |
| 2 | 1.52 | 1010 | |
| 3 | 1.56 | 693 | |
| 150 | 1 | 1.46 | 1319 |
| 2 | 1.45 | 1229 | |
| 3 | 1.50 | 948 |
| Temp. (°C) | Sample | Rs (ohm) | Rct (ohm) | CPE-T (F) | CPE-p |
|---|---|---|---|---|---|
| 80 | 1 | 0.028 | 1.64 | 0.045 | 0.80 |
| 2 | 0.031 | 2.10 | 0.024 | 0.80 | |
| 3 | 0.035 | 2.77 | 0.020 | 0.82 | |
| 100 | 1 | 0.027 | 0.58 | 0.040 | 0.85 |
| 2 | 0.030 | 0.93 | 0.018 | 0.85 | |
| 3 | 0.033 | 1.25 | 0.020 | 0.83 | |
| 120 | 1 | 0.026 | 0.30 | 0.033 | 0.87 |
| 2 | 0.029 | 0.27 | 0.015 | 0.90 | |
| 3 | 0.032 | 0.65 | 0.017 | 0.86 | |
| 150 | 1 | 0.024 | 0.08 | 0.038 | 0.88 |
| 2 | 0.024 | 0.10 | 0.028 | 0.87 | |
| 3 | 0.024 | 0.19 | 0.020 | 0.87 |
Publisher’s Note: MDPI stays neutral with regard to jurisdictional claims in published maps and institutional affiliations. |
© 2021 by the authors. Licensee MDPI, Basel, Switzerland. This article is an open access article distributed under the terms and conditions of the Creative Commons Attribution (CC BY) license (https://creativecommons.org/licenses/by/4.0/).
Share and Cite
Kim, J.-D.; Ohira, A. Water Electrolysis Using a Porous IrO2/Ti/IrO2 Catalyst Electrode and Nafion Membranes at Elevated Temperatures. Membranes 2021, 11, 330. https://doi.org/10.3390/membranes11050330
Kim J-D, Ohira A. Water Electrolysis Using a Porous IrO2/Ti/IrO2 Catalyst Electrode and Nafion Membranes at Elevated Temperatures. Membranes. 2021; 11(5):330. https://doi.org/10.3390/membranes11050330
Chicago/Turabian StyleKim, Je-Deok, and Akihiro Ohira. 2021. "Water Electrolysis Using a Porous IrO2/Ti/IrO2 Catalyst Electrode and Nafion Membranes at Elevated Temperatures" Membranes 11, no. 5: 330. https://doi.org/10.3390/membranes11050330
APA StyleKim, J.-D., & Ohira, A. (2021). Water Electrolysis Using a Porous IrO2/Ti/IrO2 Catalyst Electrode and Nafion Membranes at Elevated Temperatures. Membranes, 11(5), 330. https://doi.org/10.3390/membranes11050330

