Electrosynthesis of Electrochromic Polymer Membranes Based on 3,6-Di(2-thienyl)carbazole and Thiophene Derivatives
Abstract
1. Introduction
2. Experimental
2.1. Materials
2.2. Electrochemical Preparation of PDTC, P(DTC-co-BTP), P(DTC-co-BTP2), P(DTC-co-TF), P(DTC-co-TF2) Films
2.3. Assembly of Electrochromic Devices
2.4. Characterizations of Electrodes and Devices
3. Results and Discussion
3.1. Electrochemical Characterization
3.2. Spectroelectrochemical Measurement of Polymers
3.3. Electrochromic Switching of Anodic Polymers
3.4. Spectroelectrochemical Properties of ECDs
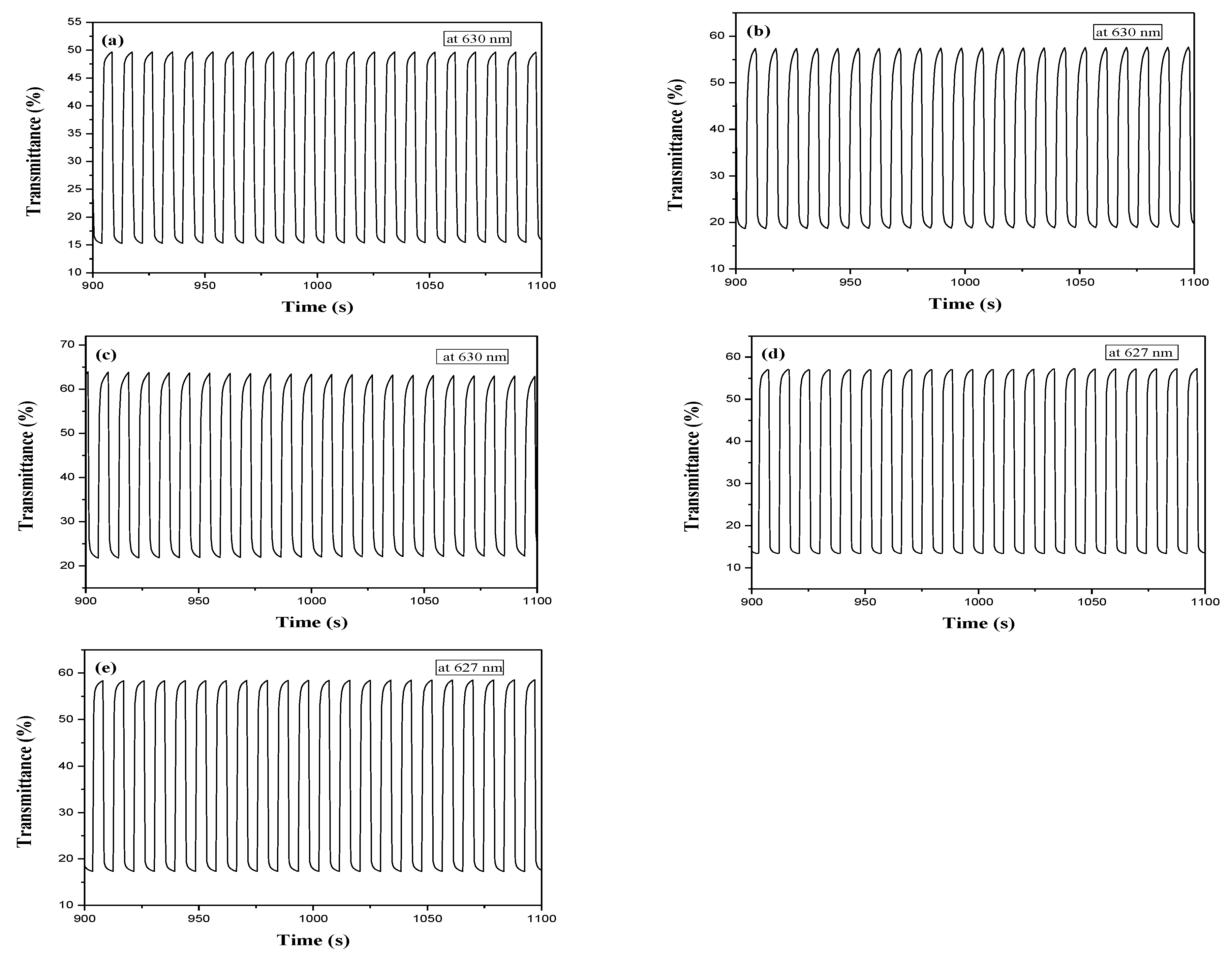
3.5. Colorless-to-Colorful Switching of ECDs
3.6. Optical Memory Influences of ECDs
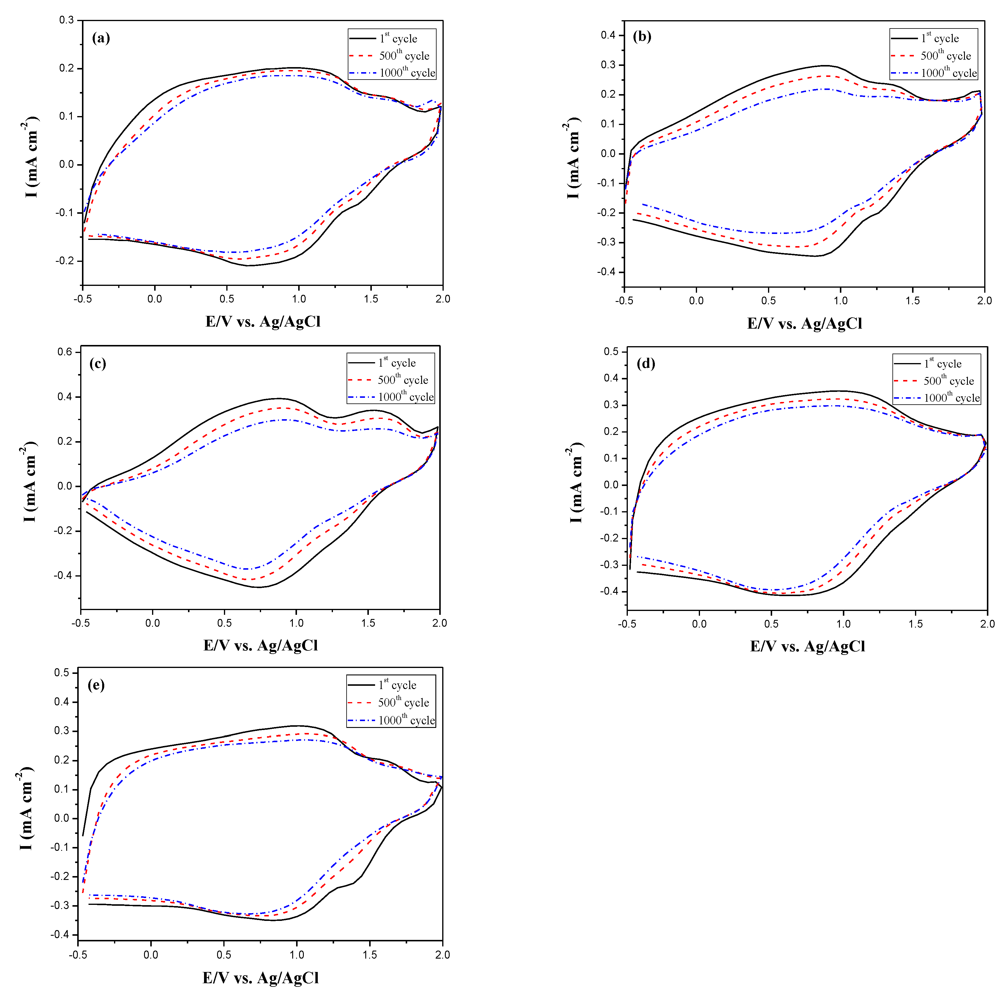
3.7. Redox Stability of ECDs
4. Conclusions
Author Contributions
Funding
Conflicts of Interest
References
- Rosseinsky, D.R.; Mortimer, R.J. Electrochromic systems and the prospects for devices. Adv. Mater. 2001, 13, 783–793. [Google Scholar] [CrossRef]
- Alesanco, Y.; Viñuales, A.; Rodriguez, J.; Tena-Zaera, R. All-in-one gel-based electrochromic devices: Strengths and recent developments. Materials 2018, 11, 414. [Google Scholar] [CrossRef]
- Neo, W.T.; Ye, Q.; Chua, S.-J.; Xu, J. Conjugated polymer-based electrochromics: Materials, device fabrication and application prospects. J. Mater. Chem. C 2016, 4, 7364–7376. [Google Scholar] [CrossRef]
- Mortimer, R.J.; Dyer, A.L.; Reynolds, J.R. Electrochromic organic and polymeric materials for display applications. Displays 2006, 27, 2–18. [Google Scholar] [CrossRef]
- Herranz, D.; Coppola, R.E.; Escudero-Cid, R.; Ochoa-Romero, K.; D’Accorso, N.B.; Pérez-Flores, J.C.; Canales-Vázquez, J.; Palacio, C.; Abuin, G.C.; Ocón, P. Application of crosslinked polybenzimidazole-poly(vinyl benzyl chloride) anion exchange membranes in direct ethanol fuel cells. Membranes 2020, 10, 349. [Google Scholar] [CrossRef] [PubMed]
- Dickinson, E.J.F.; Smith, G. Modelling the proton-conductive membrane in practical polymer electrolyte membrane fuel cell (PEMFC) simulation: A review. Membranes 2020, 10, 310. [Google Scholar] [CrossRef] [PubMed]
- Navarrete, L.; Andrio, A.; Escolástico, S.; Moya, S.; Compañ, V.; Serra, J.M. Protonic conduction of partially-substituted CsH2PO4 and the applicability in electrochemical devices. Membranes 2019, 9, 49. [Google Scholar] [CrossRef] [PubMed]
- Brza, M.; Aziz, S.B.; Saeed, S.R.; Hamsan, M.H.; Majid, S.R.; Abdulwahid, R.T.; Kadir, M.F.Z.; Abdullah, R.M. Energy storage behavior of lithium-ion conducting poly(vinyl alcohol) (PVA): Chitosan(CS)-based polymer blend electrolyte membranes: Preparation, equivalent circuit modeling, ion transport parameters, and dielectric properties. Membranes 2020, 10, 381. [Google Scholar] [CrossRef]
- Lenar, N.; Paczosa-Bator, B.; Piech, R. Optimization of ruthenium dioxide solid contact in ion-selective electrodes. Membranes 2020, 10, 182. [Google Scholar] [CrossRef]
- Mortimer, R.J. Electrochromic materials. Annu. Rev. Mater. Res. 2011, 41, 241–268. [Google Scholar] [CrossRef]
- Guzela, M.; Karatasbz, E.; Ak, M. Synthesis and fluorescence properties of carbazole based asymmetric functionalized star shaped polymer. J. Electrochem. Soc. 2017, 164, H49–H55. [Google Scholar] [CrossRef]
- Hsiao, S.H.; Wu, L.C. Fluorescent and electrochromic polymers from 2,8-di(carbazol-9-yl)dibenzothiophene and its S,S-dioxide derivative. Dye. Pigment. 2016, 134, 51–63. [Google Scholar] [CrossRef]
- Kuo, C.W.; Wu, T.Y.; Huang, M.W. Electrochromic characterizations of copolymers based on 4,4′-bis(N-carbazolyl)-1,1′-biphenyl and indole-6-carboxylic acid and their applications in electrochromic devices. J. Taiwan Inst. Chem. Eng. 2016, 68, 481–488. [Google Scholar] [CrossRef]
- Kuo, C.W.; Wu, T.L.; Lin, Y.C.; Chang, J.K.; Chen, H.R.; Wu, T.Y. Copolymers based on 1,3-bis(carbazol-9-yl)benzene and three 3,4-ethylenedioxythiophene derivatives as potential anodically coloring copolymers in high-contrast electrochromic devices. Polymers 2016, 8, 368. [Google Scholar] [CrossRef]
- Liu, J.; Mi, S.; Xu, Z.; Wu, J.; Zheng, J.; Xu, C. Solution-processable thiophene-based electrochromic polymers bearing trifluoromethyl rather than long side chains. Org. Electron. 2016, 37, 169–177. [Google Scholar] [CrossRef]
- Mo, D.; Zhou, W.; Ma, X.; Xu, J. Facile electrochemical polymerization of 2-(thiophen-2-yl)furan and the enhanced capacitance properties of its polymer in acetonitrile electrolyte containing boron trifluoride diethyl etherate. Electrochim. Acta 2015, 155, 29–37. [Google Scholar] [CrossRef]
- Camurlu, P. Polypyrrole derivatives for electrochromic applications. RSC Adv. 2014, 4, 55832–55845. [Google Scholar] [CrossRef]
- Wu, T.Y.; Li, W.B.; Kuo, C.W.; Chou, C.F.; Liao, J.W.; Chen, H.R.; Tseng, C.G. Study of poly(methyl methacrylate)-based gel electrolyte for electrochromic device. Int. J. Electrochem. Sci. 2013, 8, 10720–10732. [Google Scholar]
- Hsiao, S.-H.; Lu, H.-Y. Electrosynthesis of aromatic poly(amide-amine) films from triphenylamine-based electroactive compounds for electrochromic applications. Polymers 2017, 9, 708. [Google Scholar] [CrossRef]
- Lu, Q.; Cai, W.; Niu, H.; Wang, W.; Bai, X.; Hou, Y. Novel polyamides with 5H-dibenzo[b,f]azepin-5-yl-substituted triphenylamine: Synthesis and visible-NIR electrochromic properties. Polymers 2017, 9, 542. [Google Scholar] [CrossRef]
- Hsiao, S.-H.; Liao, W.-K.; Liou, G.-S. Synthesis and electrochromism of highly organosoluble polyamides and polyimides with bulky trityl-substituted triphenylamine units. Polymers 2017, 9, 511. [Google Scholar] [CrossRef] [PubMed]
- Kuo, C.-W.; Wu, T.-Y.; Fan, S.-C. Applications of poly(indole-6-carboxylic acid-co-2,2’-bithiophene) films in high-contrast electrochromic devices. Coatings 2018, 8, 102. [Google Scholar] [CrossRef]
- Kuo, C.W.; Hsieh, T.H.; Hsieh, C.K.; Liao, J.W.; Wu, T.Y. Electrosynthesis and characterization of four electrochromic polymers based on carbazole and indole-6-carboxylic acid and their applications in high-contrast electrochromic devices. J. Electrochem. Soc. 2014, 161, D782–D790. [Google Scholar] [CrossRef]
- Bekkar, F.; Bettahar, F.; Moreno, I.; Meghabar, R.; Hamadouche, M.; Hernáez, E.; Vilas-Vilela, J.L.; Ruiz-Rubio, L. Polycarbazole and its derivatives: Synthesis and applications. A review of the last 10 years. Polymers 2020, 12, 2227. [Google Scholar] [CrossRef] [PubMed]
- Hsiao, S.H.; Hsueh, J.C. Electrochemical synthesis and electrochromic properties of new conjugated polycarbazoles from di(carbazol-9-yl)-substituted triphenylamine and N-phenylcarbazole derivatives. J. Electroanal. Chem. 2015, 758, 100–110. [Google Scholar] [CrossRef]
- Oral, A.; Koyuncu, S.; Kaya, İ. Polystyrene functionalized carbazole and electrochromic device application. Synth. Met. 2009, 159, 1620–1627. [Google Scholar] [CrossRef]
- Alkan, S.; Cutler, C.A.; Reynolds, J.R. High quality electrochromic polythiophenes via BF3·Et2O electropolymerization. Adv. Funct. Mater. 2003, 13, 331–336. [Google Scholar] [CrossRef]
- Atılgan, N.; Cihaner, A.; Önal, A.M. Electrochromic performance and ion sensitivity of a terthienyl based fluorescent polymer. React. Funct. Polym. 2010, 70, 244–250. [Google Scholar] [CrossRef]
- Kaur, S.; Findlay, N.J.; Kanibolotsky, A.L.; Elmasly, S.E.T.; Skabara, P.J.; Berridge, R.; Wilsonc, C.; Coles, S.J. Electrochromic properties of a poly(dithienylfuran) derivative featuring a redox-active dithiin unit. Polym. Chem. 2012, 3, 2277–2286. [Google Scholar] [CrossRef]
- Zhen, S.J.; Lu, B.Y.; Xu, J.K.; Zhang, S.M.; Li, Y.Z. Poly(mono-, bi- or trifuran): Effect of oligomer chain length on the electropolymerization performances and polymer properties. RSC Adv. 2014, 4, 14001–14012. [Google Scholar] [CrossRef]
- Su, Y.-S.; Wu, T.-Y. Three carbazole-based polymers as potential anodically coloring materials for high-contrast electrochromic devices. Polymers 2017, 9, 284. [Google Scholar] [CrossRef]
- Kuo, C.W.; Chen, B.K.; Li, W.B.; Tseng, L.Y.; Wu, T.Y.; Tseng, C.G.; Chen, H.R.; Huang, Y.C. Effects of supporting electrolytes on spectroelectrochemical and electrochromic properties of polyaniline-poly(styrene sulfonic acid) and poly(ethylenedioxythiophene)-poly(styrene sulfonic acid)-based electrochromic device. J. Chin. Chem. Soc. 2014, 61, 563–570. [Google Scholar] [CrossRef]
- Feng, F.; Kong, L.; Du, H.; Zhao, J.; Zhang, J. Donor-acceptor-type copolymers based on 3,4-propylenedioxy-thiophene and 5,6-difluorobenzotriazole: Synthesis and electrochromic properties. Polymers 2018, 10, 427. [Google Scholar] [CrossRef]
- Kuo, C.W.; Lee, P.Y. Electrosynthesis of copolymers based on 1,3,5-tris(N-carbazolyl)benzene and 2,2’-bithiophene and their applications in electrochromic devices. Polymers 2017, 9, 518. [Google Scholar] [CrossRef] [PubMed]
- Kalay, I.; Yiğit, D.; Güllü, M.; Depci, T.; Toppare, L.; Hacioglu, S.O. Enhancing electrochemical and electrochromic performances of carbazole comprising monomer via copolymerization with 3,4-ethylenedioxythiophene (EDOT). Synth. Met. 2020, 267, 116449. [Google Scholar] [CrossRef]
- Zhang, Y.; Chen, S.; Zhang, Y.; Du, H.; Zhao, J. Design and characterization of new D–A Type electrochromic conjugated copolymers based on indolo [3,2-b]carbazole, isoindigo and thiophene units. Polymers 2019, 110, 1626. [Google Scholar] [CrossRef]
- Xu, J.; Ji, Q.; Kong, L.; Du, H.; Ju, X.; Zhao, J. Soluble electrochromic polymers incorporating benzoselenadiazole and electron donor units (carbazole or fluorene): Synthesis and electronic-optical properties. Polymers 2018, 10, 450. [Google Scholar] [CrossRef] [PubMed]
- Zhang, Y.; Kong, L.; Ju, X.; Du, H.; Zhao, J.; Xie, Y. Synthesis and characterization of novel donor–acceptor type neutral green electrochromic polymers containing an indolo[3,2-b]carbazole donor and diketopyrrolopyrrole acceptor. RSC Adv. 2018, 8, 21252. [Google Scholar] [CrossRef]
- Zheng, R.; Huang, T.; Zhang, Z.; Sun, Z.; Niu, H.; Wang, C.; Wang, W. Novel polyimides containing flexible carbazole blocks with electrochromic and electrofluorescencechromic properties. RSC Adv. 2020, 10, 6992. [Google Scholar] [CrossRef]
- Su, Y.S.; Chang, J.C.; Wu, T.Y. Applications of three dithienylpyrroles-based electrochromic polymers in high-contrast electrochromic devices. Polymers 2017, 9, 114. [Google Scholar] [CrossRef]
- Yang, X.Y.; Liu, C.L.; Guo, J.B.; Wang, L.; Nie, G.M. A free-standing electrochromic material of poly(5,7-bis(2-(3,4-ethylenedioxy)thienyl)-indole) and its application in electrochromic device. J. Polym. Sci. Part A Polym. Chem. 2017, 55, 2356–2364. [Google Scholar] [CrossRef]
- Udum, Y.A.; Hızlıateş, C.G.; Ergün, Y.; Toppare, L. Electrosynthesis and characterization of an electrochromic material containing biscarbazole–oxadiazole units and its application in an electrochromic device. Thin Solid Films 2015, 595, 61–67. [Google Scholar] [CrossRef]
- Kuo, C.W.; Wu, B.W.; Chang, J.K.; Chang, J.C.; Lee, L.T.; Wu, T.Y.; Ho, T.H. Electrochromic devices based on poly(2,6-di(9Hcarbazol-9-yl)pyridine)-type polymer films and PEDOT-PSS. Polymers 2018, 10, 604. [Google Scholar] [CrossRef] [PubMed]
- Kuo, C.-W.; Chang, J.-C.; Lee, P.-Y.; Wu, T.-Y.; Huang, Y.-C. Applications of electrochromic copolymers based on tris(4-carbazoyl-9-ylphenyl)amine and bithiophene derivatives in electrochromic devices. Materials 2018, 11, 1895. [Google Scholar] [CrossRef] [PubMed]
- Kuo, C.W.; Chang, J.K.; Lin, Y.C.; Wu, T.Y.; Lee, P.Y.; Ho, T.H. Poly(tris(4-carbazoyl-9-ylphenyl)amine)/three poly(3,4-ethylenedioxythiophene) derivatives complementary high-contrast electrochromic devices. Polymers 2017, 9, 543. [Google Scholar] [CrossRef] [PubMed]










| Electrodes | Anodic Polymers | Feed Species of Anodic Polymers | Feed Molar Ratio of Anodic Polymers |
|---|---|---|---|
| (a) | PDTC | 2 mM DTC | Neat PDTC |
| (b) | P(DTC-co-BTP) | 2 mM DTC + 2 mM BTP | DTC:BTP = 1:1 |
| (c) | P(DTC-co-BTP2) | 2 mM DTC + 4 mM BTP | DTC:BTP = 1:2 |
| (d) | P(DTC-co-TF) | 2 mM DTC + 2 mM TF | DTC:TF = 1:1 |
| (e) | P(DTC-co-TF2) | 2 mM DTC + 4 mM TF | DTC:TF = 1:2 |
| Films | Potential (V) | L* | a* | b* | x | y | Diagrams |
|---|---|---|---|---|---|---|---|
| (a) | 0.0 | 70.45 | −3.23 | 7.29 | 0.3235 | 0.3493 | ![]() |
| 0.4 | 67.3 | −1.07 | 2.08 | 0.3157 | 0.3351 | ||
| 0.6 | 62.34 | 1.36 | −5.18 | 0.3024 | 0.3144 | ||
| 0.8 | 55.89 | −0.11 | −13.45 | 0.2766 | 0.2913 | ||
| 1.0 | 52.01 | −1.19 | −17.14 | 0.2624 | 0.2794 | ||
| (b) | 0.0 | 75.43 | −2.85 | 11.33 | 0.3321 | 0.3571 | ![]() |
| 0.4 | 72.02 | −0.36 | 5.82 | 0.325 | 0.3429 | ||
| 0.6 | 66.68 | 2.7 | −2.94 | 0.3106 | 0.3195 | ||
| 0.8 | 60.53 | 2.92 | −12.11 | 0.2876 | 0.2947 | ||
| 1.0 | 54.06 | 1.08 | −19.74 | 0.2614 | 0.2721 | ||
| (c) | 0.0 | 95.82 | −13.98 | 44.81 | 0.3683 | 0.4233 | ![]() |
| 0.4 | 92.85 | −11.67 | 40.39 | 0.366 | 0.4154 | ||
| 0.6 | 78.43 | −1.46 | 14.04 | 0.3393 | 0.3609 | ||
| 0.8 | 65.19 | 10.53 | −12.6 | 0.3012 | 0.2899 | ||
| 1.0 | 62.19 | 11.62 | −15.4 | 0.2957 | 0.2810 | ||
| (d) | 0.0 | 93.35 | −12.65 | 41.74 | 0.3665 | 0.4184 | ![]() |
| 0.4 | 90.01 | −9.75 | 35.87 | 0.3627 | 0.4071 | ||
| 0.6 | 76.91 | 0.4 | 11.45 | 0.3375 | 0.354 | ||
| 0.8 | 65.57 | 10.39 | −10.81 | 0.3053 | 0.2944 | ||
| 1.0 | 64.01 | 9.85 | −11.98 | 0.3013 | 0.2914 | ||
| (e) | 0.0 | 93.22 | −11.1 | 39.37 | 0.3651 | 0.4126 | ![]() |
| 0.4 | 90.72 | −8.62 | 34.39 | 0.3616 | 0.4027 | ||
| 0.6 | 80.06 | −0.69 | 14.72 | 0.3415 | 0.3611 | ||
| 0.8 | 67.38 | 10.15 | −10.48 | 0.3059 | 0.296 | ||
| 1.0 | 65.00 | 10.16 | −12.55 | 0.3006 | 0.2902 |
| Electrodes | λ (nm) | Tox | Tred | ΔT | ΔOD | Qd (mC cm−2) | η (cm2 C−1) | τc (s) | τb (s) |
|---|---|---|---|---|---|---|---|---|---|
| PDTC | 860 | 52.8 | 90.7 | 37.9 | 0.24 | 1.87 | 125.8 | 3.1 | 1.2 |
| 550 | 31.9 | 68.4 | 36.5 | 0.33 | 1.85 | 178.4 | 0.9 | 1.9 | |
| P(DTC-co-BTP) | 875 | 23.6 | 85.2 | 61.6 | 0.56 | 3.94 | 141.5 | 3.1 | 1 |
| 550 | 21.9 | 62.1 | 40.2 | 0.45 | 3.41 | 131.9 | 1.4 | 1.7 | |
| P(DTC-co-BTP2) | 855 | 15.5 | 83.9 | 68.4 | 0.73 | 4.6 | 159.4 | 1.9 | 1 |
| 550 | 23.7 | 65.6 | 41.9 | 0.44 | 3.36 | 130.9 | 1.3 | 1.9 | |
| P(DTC-co-TF) | 870 | 21.3 | 88.6 | 67.3 | 0.62 | 3.83 | 161.6 | 3.4 | 1.8 |
| 550 | 25.8 | 59.8 | 34 | 0.36 | 3.65 | 98.6 | 1.3 | 1.8 | |
| P(DTC-co-TF2) | 855 | 26.8 | 82.9 | 56.1 | 0.49 | 3.21 | 152.9 | 3.1 | 1.2 |
| 550 | 27.2 | 57.9 | 30.7 | 0.33 | 3.7 | 89.2 | 1.4 | 1.6 |
| Polymer Films or ECD Configurations | λ (nm) | ΔT (%) | η (cm2 C−1) | References |
|---|---|---|---|---|
| P(PtCz-co-BTP2) | 565 | 34 | - | [35] |
| PITID-2 | 675 | 18 | 172 | [36] |
| P(HoT-BSe-OF) | 860 | 29 | 142 | [37] |
| PDTCZ-2 | 898 | 30.7 | 169 | [38] |
| PI-6D | 568 | 57 | 250 | [39] |
| P(DTC-co-BTP2) | 855 | 68.4 | 159.4 | This work |
| PETI/PEDOT | 600 | 32 | 290 | [41] |
| P(PS-Carb)/PEDOT | 640 | 38 | - | [26] |
| P(BCO)/PEDOT | 620 | 35 | - | [42] |
| P(DiCP-co-CPDTK)/PEDOT-PSS | 635 | 38.2 | 633.8 | [43] |
| P(DTC-co-TF)/PEDOT-PSS | 627 | 43.4 | 496.0 | This work |
| ECDs | Potential (V) | Photographs | L* | a* | b* | x | y | Diagrams |
|---|---|---|---|---|---|---|---|---|
| (a) | −0.5 | ![]() | 73.76 | −5.48 | 13.00 | 0.3314 | 0.3640 | ![]() |
| 0.0 | ![]() | 70.45 | −3.23 | 7.29 | 0.3235 | 0.3493 | ||
| 0.8 | ![]() | 62.34 | 1.36 | −5.18 | 0.3024 | 0.3144 | ||
| 1.2 | ![]() | 55.89 | −0.11 | −13.45 | 0.2766 | 0.2913 | ||
| 1.6 | ![]() | 52.01 | −1.19 | −17.14 | 0.2624 | 0.2794 | ||
| 2.0 | ![]() | 48.40 | −2.02 | −21.74 | 0.2453 | 0.2638 | ||
| (b) | −0.5 | ![]() | 73.29 | −0.24 | 5.87 | 0.3251 | 0.3427 | ![]() |
| 0.0 | ![]() | 70.17 | 2.45 | −0.86 | 0.3180 | 0.3302 | ||
| 0.6 | ![]() | 68.05 | 3.90 | −4.33 | 0.3095 | 0.3154 | ||
| 1.4 | ![]() | 59.39 | 1.73 | −14.33 | 0.2795 | 0.2894 | ||
| 1.8 | ![]() | 56.12 | 1.21 | −17.49 | 0.2688 | 0.2795 | ||
| 2.0 | ![]() | 55.16 | 0.83 | −18.71 | 0.2643 | 0.2759 | ||
| (c) | −0.5 | ![]() | 78.63 | −5.24 | 16.98 | 0.3390 | 0.3708 | ![]() |
| 0.0 | ![]() | 75.43 | −2.85 | 11.33 | 0.3321 | 0.3571 | ||
| 0.8 | ![]() | 66.68 | 2.70 | −2.94 | 0.3106 | 0.3195 | ||
| 1.2 | ![]() | 60.53 | 2.92 | −12.11 | 0.2876 | 0.2947 | ||
| 1.6 | ![]() | 54.06 | 1.08 | −19.74 | 0.2614 | 0.2721 | ||
| 2.0 | ![]() | 52.64 | 0.45 | −21.13 | 0.2555 | 0.2676 | ||
| (d) | −0.5 | ![]() | 75.91 | −4.19 | 14.22 | 0.3358 | 0.3647 | ![]() |
| 0.0 | ![]() | 73.10 | −1.97 | 8.57 | 0.3281 | 0.3506 | ||
| 0.8 | ![]() | 64.62 | 3.02 | −5.16 | 0.3058 | 0.3135 | ||
| 1.2 | ![]() | 57.52 | 1.82 | −14.93 | 0.2772 | 0.2867 | ||
| 1.6 | ![]() | 52.82 | 1.59 | −19.79 | 0.2614 | 0.2706 | ||
| 2.0 | ![]() | 49.75 | 0.79 | −23.37 | 0.2477 | 0.2585 | ||
| (e) | −0.5 | ![]() | 73.57 | −2.28 | 9.72 | 0.3300 | 0.3534 | ![]() |
| 0.0 | ![]() | 71.28 | −0.60 | 4.92 | 0.3227 | 0.3411 | ||
| 0.8 | ![]() | 64.12 | 3.47 | −6.6 | 0.3030 | 0.3094 | ||
| 1.2 | ![]() | 58.17 | 2.20 | −14.48 | 0.2794 | 0.288 | ||
| 1.6 | ![]() | 54.37 | 1.44 | −18.42 | 0.2657 | 0.2756 | ||
| 2.0 | ![]() | 51.95 | 0.55 | −20.23 | 0.2575 | 0.2694 |
| ECDs | Tox | Tred | ΔT | ΔOD | Qd (mC cm−2) | η (cm2∙C−1) | τc/s | τb/s |
|---|---|---|---|---|---|---|---|---|
| PDTC/PEDOT-PSS (630 nm) | 15.4 | 49.7 | 34.3 | 0.509 | 1.21 | 420.7 | 0.9 | 0.7 |
| P(DTC-co-BTP)/PEDOT-PSS (630 nm) | 18.6 | 57.3 | 38.7 | 0.489 | 0.91 | 537.4 | 0.6 | 0.4 |
| P(DTC-co-BTP2)/PEDOT-PSS (630 nm) | 21.9 | 63.5 | 41.6 | 0.462 | 1.16 | 398.3 | 0.9 | 0.5 |
| P(DTC-co-TF)/PEDOT-PSS (627 nm) | 13.5 | 56.9 | 43.4 | 0.625 | 1.26 | 496 | 0.6 | 0.3 |
| P(DTC-co-TF2)/PEDOT-PSS (627 nm) | 17.3 | 58.4 | 41.1 | 0.528 | 1.03 | 512.6 | 0.5 | 0.4 |
Publisher’s Note: MDPI stays neutral with regard to jurisdictional claims in published maps and institutional affiliations. |
© 2021 by the authors. Licensee MDPI, Basel, Switzerland. This article is an open access article distributed under the terms and conditions of the Creative Commons Attribution (CC BY) license (http://creativecommons.org/licenses/by/4.0/).
Share and Cite
Kuo, C.-W.; Chang, J.-C.; Chang, J.-K.; Huang, S.-W.; Lee, P.-Y.; Wu, T.-Y. Electrosynthesis of Electrochromic Polymer Membranes Based on 3,6-Di(2-thienyl)carbazole and Thiophene Derivatives. Membranes 2021, 11, 125. https://doi.org/10.3390/membranes11020125
Kuo C-W, Chang J-C, Chang J-K, Huang S-W, Lee P-Y, Wu T-Y. Electrosynthesis of Electrochromic Polymer Membranes Based on 3,6-Di(2-thienyl)carbazole and Thiophene Derivatives. Membranes. 2021; 11(2):125. https://doi.org/10.3390/membranes11020125
Chicago/Turabian StyleKuo, Chung-Wen, Jui-Cheng Chang, Jeng-Kuei Chang, Sheng-Wei Huang, Pei-Ying Lee, and Tzi-Yi Wu. 2021. "Electrosynthesis of Electrochromic Polymer Membranes Based on 3,6-Di(2-thienyl)carbazole and Thiophene Derivatives" Membranes 11, no. 2: 125. https://doi.org/10.3390/membranes11020125
APA StyleKuo, C.-W., Chang, J.-C., Chang, J.-K., Huang, S.-W., Lee, P.-Y., & Wu, T.-Y. (2021). Electrosynthesis of Electrochromic Polymer Membranes Based on 3,6-Di(2-thienyl)carbazole and Thiophene Derivatives. Membranes, 11(2), 125. https://doi.org/10.3390/membranes11020125









































