Comparison of Nanofiltration with Reverse Osmosis in Reclaiming Tertiary Treated Municipal Wastewater for Irrigation Purposes
Abstract
1. Introduction
2. Materials and Methods
2.1. Feedwater
2.2. Experimental Setup
3. Results and Discussion
3.1. Effect of Feed Pressure on Water Flux and Recovery Rate
3.2. Energy Consumption
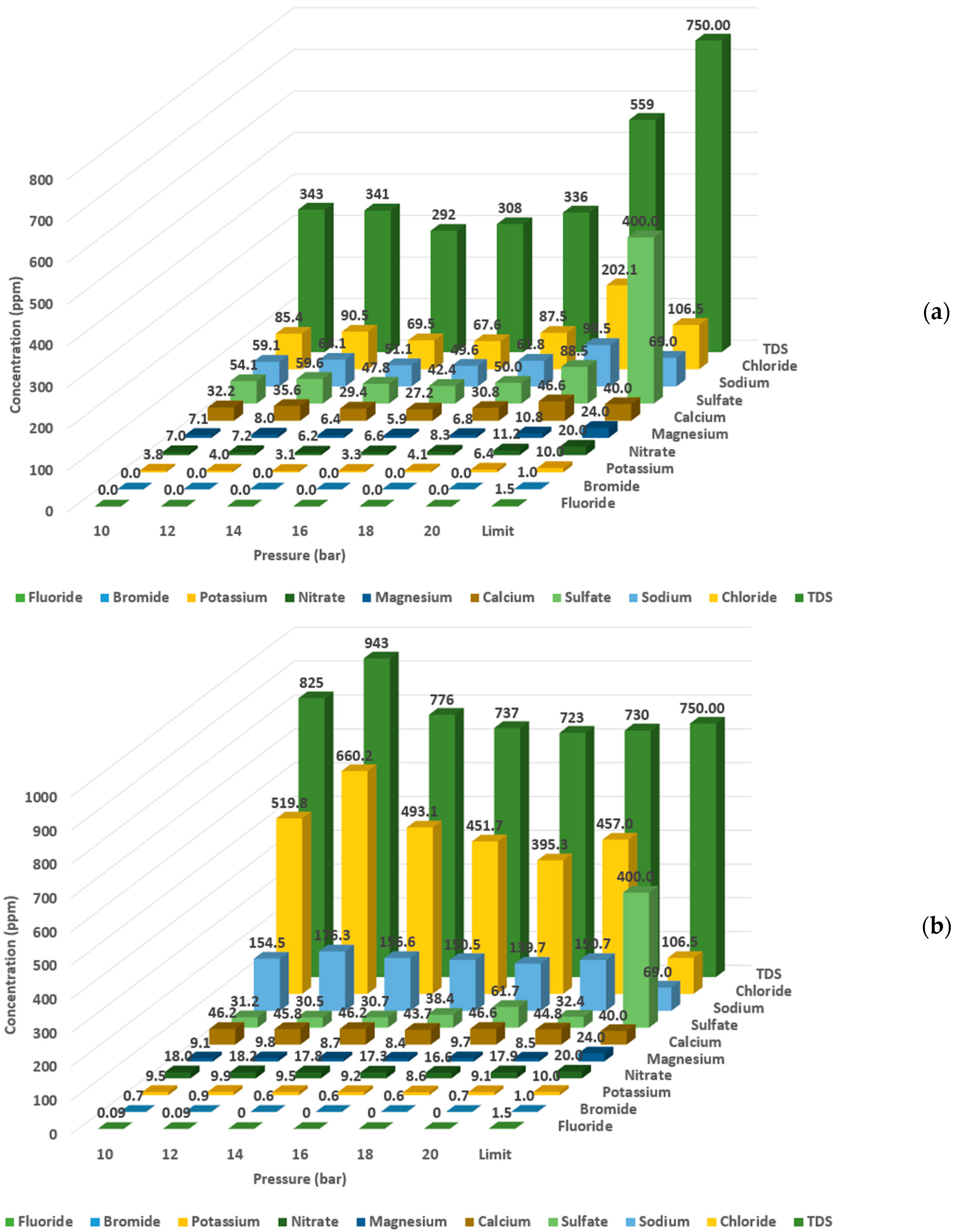
3.3. Product Water Quality
4. Conclusions
Author Contributions
Funding
Data Availability Statement
Acknowledgments
Conflicts of Interest
References
- United Nations. Water. Available online: http://www.un.org/en/sections/issues-depth/water/ (accessed on 29 January 2018).
- Shanmuganathan, S.; Vigneswaran, S.; Nguyen, T.V.; Loganathan, P.; Kandasamy, J. Use of nanofiltration and reverse osmosis in reclaiming micro-filtered biologically treated sewage effluent for irrigation. Desalination 2015, 364, 119–125. [Google Scholar] [CrossRef]
- Li, K.; Wang, J.; Liu, J.; Wei, Y.; Chen, M. Advanced treatment of municipal wastewater by nanofiltration: Operational optimization and membrane fouling analysis. J. Environ. Sci. 2016, 43, 106–117. [Google Scholar] [CrossRef] [PubMed]
- Oron, G.; Gillerman, L.; Bick, A.; Buriakovsky, N.; Manor, Y.; Ben-Yitshak, E.; Katz, L.; Hagin, J. A two stage membrane treatment of secondary effluent for unrestricted reuse and sustainable agricultural production. Desalination 2006, 187, 335–345. [Google Scholar] [CrossRef]
- Mrayed, S.; Sanciolo, P.; Zou, L.; Leslie, G. An alternative membrane treatment process to produce low-salt and high-nutrient recycled water suitable for irrigation purposes. Desalination 2011, 274, 144–149. [Google Scholar] [CrossRef]
- Egea-Corbacho, A.; Ruiz, S.G.; Alonso, J.M.Q. Removal of emerging contaminants from wastewater using nanofiltration for its subsequent reuse: Full–scale pilot plant. J. Clean. Prod. 2019, 214, 514–523. [Google Scholar] [CrossRef]
- Chon, K.; Shon, H.K.; Cho, J. Membrane bioreactor and nanofiltration hybrid system for reclamation of municipal wastewater: Removal of nutrients, organic matter and micropollutants. Bioresour. Technol. 2012, 122, 181–188. [Google Scholar] [CrossRef]
- Gu, J.; Liu, H.; Wang, S.; Zhang, M.; Liu, Y. An innovative anaerobic MBR-reverse osmosis-ion exchange process for energy-efficient reclamation of municipal wastewater to NEWater-like product water. J. Clean. Prod. 2019, 230, 1287–1293. [Google Scholar] [CrossRef]
- Hafiz, M.A.; Hawari, A.H.; Altaee, A. A hybrid forward osmosis/reverse osmosis process for the supply of fertilizing solution from treated wastewater. J. Water Process. Eng. 2019, 32, 100975. [Google Scholar] [CrossRef]
- Liu, M.; Lu, Z.; Chen, Z.; Yu, S.; Gao, C. Comparison of reverse osmosis and nanofiltration membranes in the treatment of biologically treated textile effluent for water reuse. Desalination 2011, 281, 372–378. [Google Scholar] [CrossRef]
- Qi, M.; Yang, Y.; Zhang, X.; Zhang, X.; Wang, M.; Zhang, W.; Lu, X.; Tong, Y. Pollution reduction and operating cost analysis of municipal wastewater treatment in China and implication for future wastewater management. J. Clean. Prod. 2020, 253, 120003. [Google Scholar] [CrossRef]
- Ayres, R.S.; Westcot, D.W. Fao Irrigation and Drainage Paper; Food and Agriculture Organization of the United Nations: Roma, Italy, 1985. [Google Scholar]
- Chen, Z.; Luo, J.; Hang, X.; Wan, Y. Physicochemical characterization of tight nanofiltration membranes for dairy wastewater treatment. J. Membr. Sci. 2018, 547, 51–63. [Google Scholar] [CrossRef]
- Dumée, L.; Lee, J.; Sears, K.; Tardy, B.; Duke, M.; Gray, S.R. Fabrication of thin film composite poly(amide)-carbon-nanotube supported membranes for enhanced performance in osmotically driven desalination systems. J. Membr. Sci. 2013, 427, 422–430. [Google Scholar] [CrossRef]
- Pipich, V.; Dickmann, M.; Frielinghaus, H.; Kasher, R.; Hugenschmidt, C.; Petry, W.; Oren, Y.; Schwahn, D. Morphology of Thin Film Composite Membranes Explored by Small-Angle Neutron Scattering and Positron-Annihilation Lifetime Spectroscopy. Membrance 2020, 10, 48. [Google Scholar] [CrossRef] [PubMed]
- Thabit, M.S.; Hawari, A.H.; Ammar, M.H.; Zaidi, S.; Zaragoza, G.; Altaee, A. Evaluation of forward osmosis as a pretreatment process for multi stage flash seawater desalination. Desalination 2019, 461, 22–29. [Google Scholar] [CrossRef]
- Ortega-Bravo, J.C.; Ruiz, G.; Donoso-Bravo, A.; Reyes-Caniupán, I.E.; Jeison, D. Forward osmosis: Evaluation thin-film-composite membrane for municipal sewage concentration. Chem. Eng. J. 2016, 306, 531–537. [Google Scholar] [CrossRef]
- Jiang, S.; Li, Y.; Ladewig, B.P. A review of reverse osmosis membrane fouling and control strategies. Sci. Total Environ. 2017, 595, 567–583. [Google Scholar] [CrossRef]
- Alkhouzaam, A.; Qiblawey, H. Novel polysulfone ultrafiltration membranes incorporating polydopamine functionalized graphene oxide with enhanced flux and fouling resistance. J. Membr. Sci. 2020, 118900. [Google Scholar] [CrossRef]
- Saini, B.; Sinha, M.K.; Dash, S.K. Mitigation of HA, BSA and oil/water emulsion fouling of PVDF Ultrafiltration Membranes by SiO2-g-PEGMA nanoparticles. J. Water Process. Eng. 2019, 30, 100603. [Google Scholar] [CrossRef]
- Xu, P.; Bellona, C.; Drewes, J.E. Fouling of nanofiltration and reverse osmosis membranes during municipal wastewater reclamation: Membrane autopsy results from pilot-scale investigations. J. Membr. Sci. 2010, 353, 111–121. [Google Scholar] [CrossRef]
- Zou, L.; Zhang, S.; Liu, J.; Cao, Y.; Qian, G.; Cheng, J.; Xu, Z.P. Nitrate removal from groundwater using negatively charged nanofiltration membrane. Environ. Sci. Pollut. Res. 2019, 26, 34197–34204. [Google Scholar] [CrossRef]
- Abdel-Fatah, M.A. Nanofiltration systems and applications in wastewater treatment: Review article. Ain Shams Eng. J. 2018, 9, 3077–3092. [Google Scholar] [CrossRef]
- Jiang, Z.; Karan, S.; Livingston, A.G. Membrane Fouling: Does Microscale Roughness Matter? Ind. Eng. Chem. Res. 2020, 59, 5424–5431. [Google Scholar] [CrossRef]
- Uyanık, I.; Özkan, O.; Koyuncu, I. NF-RO Membrane Performance for Treating the Effluent of an Organized Industrial Zone Wastewater Treatment Plant: Effect of Different UF Types. Water 2017, 9, 506. [Google Scholar] [CrossRef]
- Song, Y.; Li, X.; Li, C.; Li, J.; Dong, Z.; Zhang, M.; Qi, P.; Bai, X.; Jiang, K. Exploring and comparing the roles of Ca2+ and Mg2+ in small-sized natural organics-induced charged nanofiltration membrane fouling. Sep. Purif. Technol. 2020, 251, 117415. [Google Scholar] [CrossRef]
- Shrivastava, A.; Stevens, D. Chapter 2—Energy Efficiency of Reverse Osmosis. In Sustainable Desalination Handbook; Gude, V.G., Ed.; Butterworth-Heinemann: Oxford, UK, 2018; pp. 25–54. [Google Scholar]
- Izadpanah, A.A.; Javidnia, A. The Ability of a Nanofiltration Membrane to Remove Hardness and Ions from Diluted Seawater. Water 2012, 4, 283–294. [Google Scholar] [CrossRef]
- Nagy, E. 10-Nanofiltration. In Basic Equations of the Mass Transport through a Membrane Layer; Nagy, E., Ed.; Elsevier: Oxford, UK, 2012; pp. 249–266. [Google Scholar]
- Emamjomeh, M.M.; Torabi, H.; Mousazadeh, M.; Alijani, M.H.; Gohari, F. Impact of independent and non-independent parameters on various elements’ rejection by nanofiltration employed in groundwater treatment. Appl. Water Sci. 2019, 9, 71. [Google Scholar] [CrossRef]







| Parameter | Value | Max Limit (Irrigation Water) | Standard Testing Method |
|---|---|---|---|
| TDS (ppm) | 1461 ± 5 | 750 | APHA-2540 C/total dissolved solids dried at 180 °C |
| Turbidity (NTU) | 0.2 ± 0.1 | 2 | APHA-2130B/nephelometric |
| Electrical conductivity (mS/cm) | 2.56 ± 0.2 | 0.7 | APHA-2510B/conductivity |
| Dissolved organic carbon (ppm) | 6.67 ± 0.05 | - | Diaphragm electrode method |
| Fluoride (ppm) | 0.27 ± 0.2 | 1.5 | APHA-4110/determination of anions by ion chromatography |
| Chloride (ppm) | 897.5 ± 0.2 | 106.5 | |
| Bromide (ppm) | 0.96 ± 0.2 | 1 | |
| Nitrate (ppm) | 25.84 ± 0.2 | 20 | |
| Sulfate (ppm) | 320.3 ± 0.2 | 400 | |
| Sodium (ppm) | 200.3 ± 0.2 | 69 | APHA-3120/determination of metals by plasma emission spectroscopy |
| Potassium (ppm) | 12.4 ± 0.2 | 10 | |
| Calcium (ppm) | 87.7 ± 0.2 | 40 | |
| Magnesium (ppm) | 21.4 ± 0.2 | 24 | |
| Iron (ppm) | 0.59 ± 0.02 | 5 | ASTM D1068-15/standard test methods for iron in water |
| Boron (ppb) | 158.97 ± 0.1 | 500 | EPA method 200.8 |
| Vanadium (ppb) | 0.11 ± 0.1 | 100 | |
| Manganese (ppb) | 11.54 ± 0.1 | 200 | |
| Cobalt (ppb) | 0.17 ± 0.1 | 50 | |
| Nickel (ppb) | 23.11 ± 0.1 | 200 | |
| Copper (ppb) | 13.08 ± 0.1 | 200 | |
| Zinc (ppb) | 151.58 ± 0.1 | 2000 | |
| Cadmium (ppb) | 0.2 ± 0.1 | 10 | |
| Beryllium (ppb) | 2.02 ± 0.1 | 100 |
| Properties | NF 90 [13] | BW30LE [14,15] |
|---|---|---|
| Contact angle | 72.2° | 63.7° |
| Zeta potential (mV) | −60 | −32 |
| Root mean square roughness (nm) | 61 | 49.7 |
| Molecular weight cut-off (Da) | 200–400 | 100 |
| Thickness (nm) | 293 | 150 |
| Membrane | Weight % | ||||||||||
|---|---|---|---|---|---|---|---|---|---|---|---|
| (C) | (O) | (Na) | (Mg) | (Si) | (P) | (S) | (Cl) | (K) | (Ca) | (Fe) | |
| RO—clean | 87.39 | 9.53 | 0 | 0 | 0 | 0 | 2.98 | 0 | 0 | 0 | 0 |
| RO—tested | 70.64 | 19.45 | 0.5 | 0.08 | 0.22 | 0.66 | 3.32 | 0.3 | 0.05 | 0.75 | 1.79 |
| NF—clean | 89.78 | 6.66 | 0 | 0 | 0 | 0 | 3.56 | 0 | 0 | 0 | 0 |
| NF—tested | 75.2 | 17.28 | 0.26 | 0.05 | 0.08 | 0.53 | 3.94 | 0.1 | 0 | 0.34 | 1.75 |
Publisher’s Note: MDPI stays neutral with regard to jurisdictional claims in published maps and institutional affiliations. |
© 2021 by the authors. Licensee MDPI, Basel, Switzerland. This article is an open access article distributed under the terms and conditions of the Creative Commons Attribution (CC BY) license (http://creativecommons.org/licenses/by/4.0/).
Share and Cite
Hafiz, M.; Hawari, A.H.; Alfahel, R.; Hassan, M.K.; Altaee, A. Comparison of Nanofiltration with Reverse Osmosis in Reclaiming Tertiary Treated Municipal Wastewater for Irrigation Purposes. Membranes 2021, 11, 32. https://doi.org/10.3390/membranes11010032
Hafiz M, Hawari AH, Alfahel R, Hassan MK, Altaee A. Comparison of Nanofiltration with Reverse Osmosis in Reclaiming Tertiary Treated Municipal Wastewater for Irrigation Purposes. Membranes. 2021; 11(1):32. https://doi.org/10.3390/membranes11010032
Chicago/Turabian StyleHafiz, MhdAmmar, Alaa H. Hawari, Radwan Alfahel, Mohammad K. Hassan, and Ali Altaee. 2021. "Comparison of Nanofiltration with Reverse Osmosis in Reclaiming Tertiary Treated Municipal Wastewater for Irrigation Purposes" Membranes 11, no. 1: 32. https://doi.org/10.3390/membranes11010032
APA StyleHafiz, M., Hawari, A. H., Alfahel, R., Hassan, M. K., & Altaee, A. (2021). Comparison of Nanofiltration with Reverse Osmosis in Reclaiming Tertiary Treated Municipal Wastewater for Irrigation Purposes. Membranes, 11(1), 32. https://doi.org/10.3390/membranes11010032

