Immune Responses to HBV Vaccine in People Living with HIV (PLWHs) Who Achieved Successful Treatment: A Prospective Cohort Study
Abstract
1. Introduction
2. Materials and Methods
2.1. Study Design and Population
2.2. Total HIV DNA Determination
2.3. Lymphocyte Subsets Phenotyping
2.4. Human IFN-r and TNF-a ELISpot Assay
2.5. Ethics Statement
2.6. Statistical Analysis
3. Results
3.1. Characteristics of the Patients
3.2. The Dynamics of Lymphocyte Subsets and HIV RNA Levels after Receiving HBV Vaccination
3.3. HBsAb Levels at Weeks 12
3.4. Persistence of Seroprotection following HBV Vaccination
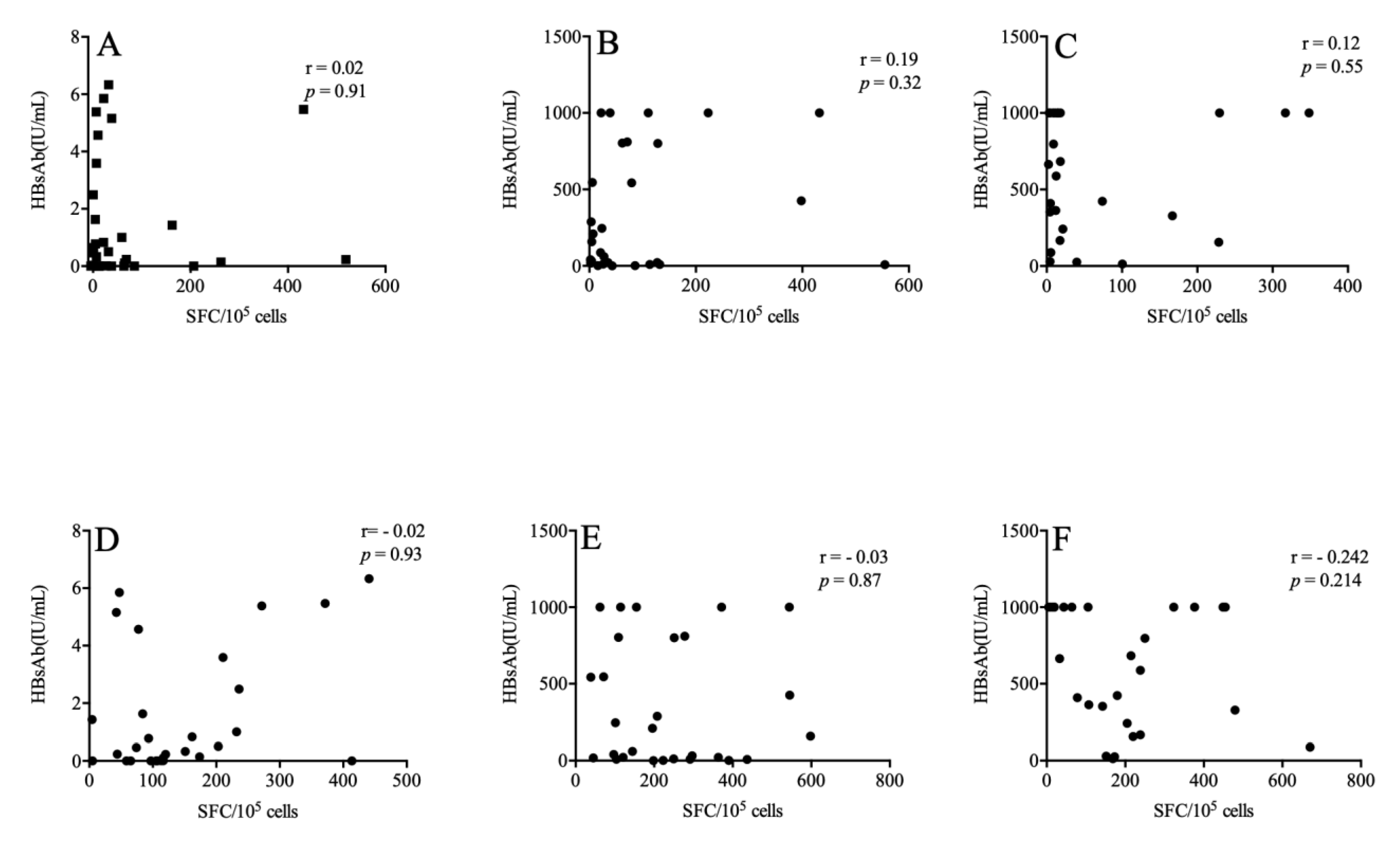
3.5. The Changes in HBsAg-Specific T-Cell Responses during Follow-Up
3.6. Total HIV DNA Levels after Receiving HBV Vaccination
4. Discussion
5. Conclusions
Supplementary Materials
Author Contributions
Funding
Institutional Review Board Statement
Informed Consent Statement
Data Availability Statement
Acknowledgments
Conflicts of Interest
References
- Bollinger, R.C.; Thio, C.L.; Sulkowski, M.S.; McKenzie-White, J.; Thomas, D.L.; Flexner, C. Addressing the global burden of hepatitis B virus while developing long-acting injectables for the prevention and treatment of HIV. Lancet. HIV 2020, 7, e443–e448. [Google Scholar] [CrossRef] [PubMed]
- Singh, K.P.; Crane, M.; Audsley, J.; Avihingsanon, A.; Sasadeusz, J.; Lewin, S.R. HIV-hepatitis B virus coinfection: Epidemiology, pathogenesis, and treatment. AIDS 2017, 31, 2035–2052. [Google Scholar] [CrossRef] [PubMed]
- Maini, M.K.; Peppa, D. Shared immunotherapeutic approaches in HIV and hepatitis B virus: Combine and conquer. Curr. Opin. HIV AIDS 2020, 15, 157–164. [Google Scholar] [CrossRef]
- Audsley, J.; Avihingsanon, A.; Littlejohn, M.; Bowden, S.; Matthews, G.V.; Fairley, C.K.; Lewin, S.R.; Sasadeusz, J. Long-Term TDF-Inclusive ART and Progressive Rates of HBsAg Loss in HIV-HBV Coinfection-Lessons for Functional HBV Cure? JAIDS J. Acquir. Immune Defic. Syndr. 2020, 84, 527–533. [Google Scholar] [CrossRef]
- Heuft, M.M.; Houba, S.M.; van den Berk, G.E.; Smissaert van de Haere, T.; van Dam, A.P.; Dijksman, L.M.; Regez, R.M.; Brinkman, K. Protective effect of hepatitis B virus-active antiretroviral therapy against primary hepatitis B virus infection. AIDS 2014, 28, 999–1005. [Google Scholar] [CrossRef] [PubMed]
- De Vito, A.; Botta, A.; Berruti, M.; Castelli, V.; Lai, V.; Cassol, C.; Lanari, A.; Stella, G.; Shallvari, A.; Bezenchek, A.; et al. Could Long-Acting Cabotegravir-Rilpivirine Be the Future for All People Living with HIV? Response Based on Genotype Resistance Test from a Multicenter Italian Cohort. J. Pers. Med. 2022, 12, 188. [Google Scholar] [CrossRef]
- Schillie, S.; Vellozzi, C.; Reingold, A.; Harris, A.; Haber, P.; Ward, J.W.; Nelson, N.P. Prevention of Hepatitis B Virus Infection in the United States: Recommendations of the Advisory Committee on Immunization Practices. MMWR Recomm. Rep. Morb. Mortal. Wkly. Report. Recomm. Rep. 2018, 67, 1–31. [Google Scholar] [CrossRef]
- Leroux-Roels, G.; Abraham, B.; Fourneau, M.; de Clercq, N.; Safary, A. A comparison of two commercial recombinant vaccines for hepatitis B in adolescents. Vaccine 2000, 19, 937–942. [Google Scholar] [CrossRef]
- Van den Ende, C.; Marano, C.; van Ahee, A.; Bunge, E.M.; de Moerlooze, L. The immunogenicity and safety of GSK’s recombinant hepatitis B vaccine in adults: A systematic review of 30 years of experience. Expert Rev. Vaccines 2017, 16, 811–832. [Google Scholar] [CrossRef]
- Farooq, P.D.; Sherman, K.E. Hepatitis B Vaccination and Waning Hepatitis B Immunity in Persons Living with HIV. Curr. HIV AIDS Rep. 2019, 16, 395–403. [Google Scholar] [CrossRef]
- Kernéis, S.; Launay, O.; Turbelin, C.; Batteux, F.; Hanslik, T.; Boëlle, P.Y. Long-term immune responses to vaccination in HIV-infected patients: A systematic review and meta-analysis. Clin. Infect. Dis. Off. Publ. Infect. Dis. Soc. Am. 2014, 58, 1130–1139. [Google Scholar] [CrossRef] [PubMed]
- Lopes, V.B.; Hassing, R.J.; de Vries-Sluijs, T.E.; El Barzouhi, A.; Hansen, B.E.; Schutten, M.; de Man, R.A.; van der Ende, M.E. Long-term response rates of successful hepatitis B vaccination in HIV-infected patients. Vaccine 2013, 31, 1040–1044. [Google Scholar] [CrossRef]
- Tian, Y.; Hua, W.; Wu, Y.; Zhang, T.; Wang, W.; Wu, H.; Guo, C.; Huang, X. Immune Response to Hepatitis B Virus Vaccine Among People Living With HIV: A Meta-Analysis. Front. Immunol. 2021, 12, 745541. [Google Scholar] [CrossRef] [PubMed]
- Lee, J.H.; Hong, S.; Im, J.H.; Lee, J.S.; Baek, J.H.; Kwon, H.Y. Systematic review and meta-analysis of immune response of double dose of hepatitis B vaccination in HIV-infected patients. Vaccine 2020, 38, 3995–4000. [Google Scholar] [CrossRef]
- Zhu, C.L.; Liu, P.; Chen, T.; Ni, Z.; Lu, L.L.; Huang, F.; Lu, J.; Sun, Z.; Qu, C. Presence of immune memory and immunity to hepatitis B virus in adults after neonatal hepatitis B vaccination. Vaccine 2011, 29, 7835–7841. [Google Scholar] [CrossRef] [PubMed]
- Simons, B.C.; Spradling, P.R.; Bruden, D.J.; Zanis, C.; Case, S.; Choromanski, T.L.; Apodaca, M.; Brogdon, H.D.; Dwyer, G.; Snowball, M.; et al. A Longitudinal Hepatitis B Vaccine Cohort Demonstrates Long-lasting Hepatitis B Virus (HBV) Cellular Immunity Despite Loss of Antibody Against HBV Surface Antigen. J. Infect. Dis. 2016, 214, 273–280. [Google Scholar] [CrossRef]
- Chawansuntati, K.; Chaiklang, K.; Chaiwarith, R.; Praparattanapan, J.; Supparatpinyo, K.; Wipasa, J. Hepatitis B Vaccination Induced TNF-α- and IL-2-Producing T Cell Responses in HIV- Healthy Individuals Higher than in HIV+ Individuals Who Received the Same Vaccination Regimen. J. Immunol. Res. 2018, 2018, 8350862. [Google Scholar] [CrossRef]
- Avettand-Fènoël, V.; Hocqueloux, L.; Ghosn, J.; Cheret, A.; Frange, P.; Melard, A.; Viard, J.P.; Rouzioux, C. Total HIV-1 DNA, a Marker of Viral Reservoir Dynamics with Clinical Implications. Clin. Microbiol. Rev. 2016, 29, 859–880. [Google Scholar] [CrossRef]
- Bekele, Y.; Graham, R.L.; Soeria-Atmadja, S.; Nasi, A.; Zazzi, M.; Vicenti, I.; Naver, L.; Nilsson, A.; Chiodi, F. Hepatitis B Virus Vaccination in HIV-1-Infected Young Adults: A Tool to Reduce the Size of HIV-1 Reservoirs? Front. Immunol. 2017, 8, 1966. [Google Scholar] [CrossRef]
- Kong, Y.; Tian, Y.; Hao, Y.; Chong, X.; Xiao, J.; Yang, D.; Song, C.; Han, J.; Dai, G.; Zhang, F.; et al. Two types of poor immunological responder showing distinct responses to long-term HAART. Int. J. Infect. Dis. IJID Off. Publ. Int. Soc. Infect. Dis. 2019, 86, 178–187. [Google Scholar] [CrossRef]
- Yue, Y.; Li, Y.; Cui, Y.; Wang, N.; Huang, Y.; Cao, W.; Han, Y.; Zhu, T.; Lyu, W.; Xie, J.; et al. Therapeutic prediction of HIV-1 DNA decay: A multicenter longitudinal cohort study. BMC Infect. Dis. 2021, 21, 592. [Google Scholar] [CrossRef] [PubMed]
- Xu, L.; Liu, Y.; Song, X.; Li, Y.; Han, Y.; Zhu, T.; Cao, W.; Li, T. Naïve CD4(+) cell counts significantly decay and high HIV RNA levels contribute to immunological progression in long-term non-progressors infected with HIV by blood products: A cohort study. BMC Immunol. 2021, 22, 36. [Google Scholar] [CrossRef] [PubMed]
- Landrum, M.L.; Huppler Hullsiek, K.; Ganesan, A.; Weintrob, A.C.; Crum-Cianflone, N.F.; Barthel, R.V.; Peel, S.; Agan, B.K. Hepatitis B vaccine responses in a large U.S. military cohort of HIV-infected individuals: Another benefit of HAART in those with preserved CD4 count. Vaccine 2009, 27, 4731–4738. [Google Scholar] [CrossRef]
- Hirano, T.; Kadowaki, Y.; Matsunaga, T.; Yoshinaga, K.; Kawano, T.; Moriyama, M.; Suzuki, M. Interaction Between Regulatory T Cells and Antibody-Producing B Cells for Immune Responses at the Upper Respiratory Mucosa Against Nontypeable Haemophilus influenzae: In Vitro Assay Model. Ann. Otol. Rhinol. Laryngol. 2019, 128, 45s–51s. [Google Scholar] [CrossRef]
- La Fauci, V.; Riso, R.; Facciolà, A.; Ceccio, C.; Lo Giudice, D.; Calimeri, S.; Squeri, R. Response to anti-HBV vaccine and 10-year follow-up of antibody levels in healthcare workers. Public Health 2016, 139, 198–202. [Google Scholar] [CrossRef]
- Nicolini, L.A.; Magne, F.; Signori, A.; di Biagio, A.; Sticchi, L.; Paganino, C.; Durando, P.; Viscoli, C. Hepatitis B Virus Vaccination in HIV: Immunogenicity and Persistence of Seroprotection up to 7 Years Following a Primary Immunization Course. AIDS Res. Hum. Retrovir. 2018, 34, 922–928. [Google Scholar] [CrossRef]
- Cruciani, M.; Mengoli, C.; Serpelloni, G.; Lanza, A.; Gomma, M.; Nardi, S.; Rimondo, C.; Bricolo, F.; Consolaro, S.; Trevisan, M.; et al. Serologic response to hepatitis B vaccine with high dose and increasing number of injections in HIV infected adult patients. Vaccine 2009, 27, 17–22. [Google Scholar] [CrossRef]
- Rey, D.; Piroth, L.; Wendling, M.J.; Miailhes, P.; Michel, M.L.; Dufour, C.; Haour, G.; Sogni, P.; Rohel, A.; Ajana, F.; et al. Safety and immunogenicity of double-dose versus standard-dose hepatitis B revaccination in non-responding adults with HIV-1 (ANRS HB04 B-BOOST): A multicentre, open-label, randomised controlled trial. Lancet. Infect. Dis. 2015, 15, 1283–1291. [Google Scholar] [CrossRef]
- Abzug, M.J.; Warshaw, M.; Rosenblatt, H.M.; Levin, M.J.; Nachman, S.A.; Pelton, S.I.; Borkowsky, W.; Fenton, T. Immunogenicity and immunologic memory after hepatitis B virus booster vaccination in HIV-infected children receiving highly active antiretroviral therapy. J. Infect. Dis. 2009, 200, 935–946. [Google Scholar] [CrossRef] [PubMed]
- Bauer, T.; Jilg, W. Hepatitis B surface antigen-specific T and B cell memory in individuals who had lost protective antibodies after hepatitis B vaccination. Vaccine 2006, 24, 572–577. [Google Scholar] [CrossRef]
- Günthard, H.F.; Wong, J.K.; Spina, C.A.; Ignacio, C.; Kwok, S.; Christopherson, C.; Hwang, J.; Haubrich, R.; Havlir, D.; Richman, D.D. Effect of influenza vaccination on viral replication and immune response in persons infected with human immunodeficiency virus receiving potent antiretroviral therapy. J. Infect. Dis. 2000, 181, 522–531. [Google Scholar] [CrossRef] [PubMed]



| Variables | N = 32 |
|---|---|
| Sex, n (%) | |
| Men | 29 (90.6) |
| Age (years, median (IQR)) | 36 (30–50) |
| Transmission route, n (%) | |
| Homosexual | 24 (75.0) |
| Heterosexual | 3 (9.38) |
| Bi-sexual | 1 (3.13) |
| Blood | 4 (12.5) |
| Weeks of cART initiation (median (IQR)) | 72 (44–93) |
| cART regimen, n (%)NRTIs+NNRTIs | 23 (71.9) |
| NRTIs+PIs | 4 (12.5) |
| NRTIs+INSTIs | 4 (12.5) |
| NRTIs+PIs+INSTIs | 1 (3.1) |
| HBsAb titer (IU/mL, median (IQR)) | 0.40 (0.0–2.28) |
| ALT (U/L, median (IQR)) | 25.5 (16.8–35.0) |
| AST (U/L, median (IQR)) | 24.0 (21.0–30.5) |
| TBil (µmol/L, median (IQR)) | 8.8 (6.8–11.9) |
| GGT (U/L, median (IQR)) | 32.5 (25.8–43.3) |
| ALP (U/L, median (IQR)) | 93 (76–107) |
| Cr(µmol/L, median (IQR)) | 82 (70.8–89.8) |
| Patient 1 | Patient 2 | Patient 3 | |
|---|---|---|---|
| Age | 35 | 42 | 58 |
| Gender | Men | Men | Men |
| nadir CD4 count | 273 | 383 | 236 |
| type of ART regimen | 3TC+TDF+EFV | 3TC+TDF+RAL | 3TC+TDF+EFV |
| Weeks of cART initiation (median (IQR)) | 272 | 176 | 360 |
| HBsAb at week 12 | 22.04 | 209.18 | 18.13 |
| Variables | N = 29 |
|---|---|
| Age (years, median (IQR)) | 35 (30–49) |
| Sex, n (%) | |
| Men | 26 |
| cART regimen, n (%) | |
| NRTIs+NNRTIs | 21 |
| NRTIs+PIs | 4 |
| NRTIs+INSTIs | 3 |
| NRTIs+PIs+INSTIs | 1 |
| Weeks of cART initiation (median (IQR)) | 288 (150–382) |
| HBsAb at week 12 | 201.5 (13.8–808.5) |
Disclaimer/Publisher’s Note: The statements, opinions and data contained in all publications are solely those of the individual author(s) and contributor(s) and not of MDPI and/or the editor(s). MDPI and/or the editor(s) disclaim responsibility for any injury to people or property resulting from any ideas, methods, instructions or products referred to in the content. |
© 2023 by the authors. Licensee MDPI, Basel, Switzerland. This article is an open access article distributed under the terms and conditions of the Creative Commons Attribution (CC BY) license (https://creativecommons.org/licenses/by/4.0/).
Share and Cite
Xu, L.; Zhang, L.; Kang, S.; Li, X.; Lu, L.; Liu, X.; Song, X.; Li, Y.; Li, X.; Lyu, W.; et al. Immune Responses to HBV Vaccine in People Living with HIV (PLWHs) Who Achieved Successful Treatment: A Prospective Cohort Study. Vaccines 2023, 11, 400. https://doi.org/10.3390/vaccines11020400
Xu L, Zhang L, Kang S, Li X, Lu L, Liu X, Song X, Li Y, Li X, Lyu W, et al. Immune Responses to HBV Vaccine in People Living with HIV (PLWHs) Who Achieved Successful Treatment: A Prospective Cohort Study. Vaccines. 2023; 11(2):400. https://doi.org/10.3390/vaccines11020400
Chicago/Turabian StyleXu, Ling, Li Zhang, Shuang Kang, Xiaodi Li, Lianfeng Lu, Xiaosheng Liu, Xiaojing Song, Yanling Li, Xiaoxia Li, Wei Lyu, and et al. 2023. "Immune Responses to HBV Vaccine in People Living with HIV (PLWHs) Who Achieved Successful Treatment: A Prospective Cohort Study" Vaccines 11, no. 2: 400. https://doi.org/10.3390/vaccines11020400
APA StyleXu, L., Zhang, L., Kang, S., Li, X., Lu, L., Liu, X., Song, X., Li, Y., Li, X., Lyu, W., Cao, W., Liu, Z., & Li, T. (2023). Immune Responses to HBV Vaccine in People Living with HIV (PLWHs) Who Achieved Successful Treatment: A Prospective Cohort Study. Vaccines, 11(2), 400. https://doi.org/10.3390/vaccines11020400
