Next Article in Journal
RETRACTED: Sung et al. Expression of SARS-CoV-2 Spike Protein Receptor Binding Domain on Recombinant B. subtilis on Spore Surface: A Potential COVID-19 Oral Vaccine Candidate. Vaccines 2022, 10, 2
Next Article in Special Issue
Brazilian Adults’ Attitudes and Practices Regarding the Mandatory COVID-19 Vaccination and Their Hesitancy towards Childhood Vaccination
Previous Article in Journal
Designing of Peptide Based Multi-Epitope Vaccine Construct against Gallbladder Cancer Using Immunoinformatics and Computational Approaches
Previous Article in Special Issue
Evidence-Based Conceptual Collection of Methods for Spatial Epidemiology and Analysis to Enhance Cancer Surveillance and Public Health
 
 
Font Type:
Arial Georgia Verdana
Font Size:
Aa Aa Aa
Line Spacing:
Column Width:
Background:
Article

Severity and Mortality Predictors of COVID-19 Patients with Thrombotic Events-Evidence from the “COVID-One” Hospital in Albania

1
“Mother Teresa” University Hospital, Dibra Street, 1000 Tirana, Albania
2
Faculty of Medicine, Tirana University of Medicine, 1005 Tirana, Albania
3
School of Medicine, University of Crete, 70013 Heraklion, Greece
4
Department of Healthcare, Faculty of Health, University of Vlora, Kosova Street, 9401 Vlora, Albania
5
Faculty of Nursing, Hellenic Mediterranean University, 71410 Heraklion, Greece
*
Author to whom correspondence should be addressed.
Vaccines 2022, 10(11), 1851; https://doi.org/10.3390/vaccines10111851
Submission received: 30 August 2022 / Revised: 26 October 2022 / Accepted: 27 October 2022 / Published: 31 October 2022
(This article belongs to the Special Issue COVID-19 Vaccination, Role of Vaccines and Global Health)

Abstract

COVID-19 vaccination leads to lower infection, morbidity, and mortality rates. However, COVID-19 infection leads to the development of coagulopathy-related manifestations in the form of both venous and arterial thromboembolism. This study aimed to assess the severity and mortality predictors of COVID-19 patients with thrombotic events in hospitalized patients in Albania. This is a retrospective study conducted in the “Mother Tereza” University Hospital of Tirana. Data were retrieved from the electronic databases of the hospital and only COVID-19 cases admitted to the infectious department during August–December 2020 were selected. Patients who, at admission, had a C-reactive protein (CRP) (mg/L) more than double and a D-dimer (ng/mL) more than triple according to international standards were included in the study. We performed univariate and multivariable logistic regression analysis, calculating unadjusted and adjusted odds ratios (ORs). A p-value < 0.05 was considered statistically significant. The study population included 60 hospitalized persons with a mean age of 64.4 years. Increased lactate dehydrogenase (LDH) (OR = 2.93; 95% CI = 0.82–10.42, p-value = 0.1) and increased creatine kinase (CK) (OR = 2.17; 95% CI = 0.63–7.46, p-value = 0.22) were related with increased probability of death. Moreover, a decreased number of lymphocytes was associated with increased mortality but with no statistical significance (OR = 0.40; 95% CI = 0.11–1.40, p-value = 0.15). The survival rate was higher for patients without comorbidities (p = 0.045). These results could serve as a baseline and as a reference for healthcare personnel who provides services to hospitalized patients with COVID-19. Further studies should take into consideration the vaccination of the population as well as including more hospitals and patients.

1. Introduction

Since December 2019, the globe has faced the COVID-19 pandemic, which started initially in China and since then quickly spread all over the world. As of 25 October 2022, more than 6.5 million deaths and more than 625,248,843 confirmed cases of COVID-19 have been reported globally [1]. A huge discussion has taken place about a possible vaccine for better management of the disease. After the onset of the pandemic, different companies started the development of various vaccines for COVID-19 and at present several vaccines are available for use [2]. These vaccines became a good and effective weapon in the management of the disease for decreasing infection as well as death rates.
European Medicines Agency (EMA) has authorized for use in Europe several vaccines, and their safety and efficacy have been proven [3,4,5]. All available vaccines up to now are reported to prevent severe disease, hospitalization, and death [6]. The efficacies of the BNT162b2 (third dose), NVX-CoV2373, and AZD1222 have been found to be 95.3%, 86.3%, and 64.3%, respectively [7,8,9]. In the unprecedented situation of the COVID-19 pandemic, governments applied mass-vaccination campaigns. At the moment vaccination is available with booster doses that have been mainly applied for the more vulnerable populations.
Despite the fact that new variants of the coronavirus are emerging, the use of authorized COVID-19 vaccines can decrease both morbidity and mortality rates [10,11]. According to a meta-analysis study, side effects after vaccination for cerebrovascular, cardiovascular, and allergic symptoms are low [12]. However, the authors report that cases of thrombosis are more likely in those vaccinated with viral vector vaccines [12]. The fear of thrombosis and other possible side effects were key reasons for not taking a COVID-19 shot. Additionally, other factors that contribute to vaccine hesitancy include demographic factors, beliefs about safety and effectiveness, level of education, beliefs in conspiracy theories, misinformation about the COVID-19 vaccine, etc. [13,14,15,16].
Daily clinical practice has already evidenced that the respiratory system is the most affected by the disease [17]. Acute respiratory distress syndrome is very common in patients with COVID-19 as well as being a major complication of the disease which leads to death [18]. Additionally, the most frequent late complications of COVID-19 disease are reported as lung injuries and venous/arterial thrombosis followed by other health problems [19]. One of the most common characteristics of patients with severe COVID-19 is coagulopathy. Development of coagulopathy-related manifestations in the form of both venous and arterial thromboembolism are also present after COVID-19 infection. Cytokine storm and cellular components contribute to thrombotic complications [20]. In the case of COVID-19, the cytokine storm seems more harmful and with a possible worse outcome, but the role of each cytokine is still not very clear [21].
The finding of biomarkers that can be used as key predictors of the disease has been one of the main tasks of health practitioners and researchers since the onset of the pandemic. High levels of D-dimer and C-reactive protein (CRP) have been reported as important indicators for coagulation dysfunction [22,23]. In general, CRP is considered a good predictor biomarker for the severity of the disease as well as its outcome [24]. A study concluded that both D-dimer and CRP are strongly correlated with higher levels of mortality and more cases of venous thromboembolism in COVID-19 patients [25].
As of 25 October 2022, 331,626 COVID-19 cases and 3592 deaths have been reported in Albania [26]. Recent data show that only 43.97% of Albanians are fully vaccinated [27]. Regardless of COVID-19, ischemic heart diseases and stroke are the two main causes of death in the country [28]. Health policymakers have made significant efforts to establish a preventive culture in Albania in the last few years [29]. However, to our best knowledge, there are no studies in the country that focused on thrombotic events during the COVID-19 pandemic in hospitalized patients. Additionally, a lack of studies in this field existed even before the pandemic situation. Due to the aforementioned, this study aimed to assess the severity and mortality predictors of COVID-19 patients with thrombotic events in hospitalized patients in Albania.

2. Materials and Methods

2.1. Setting

This is a retrospective study conducted in the University Hospital of Tirana “Mother Tereza” during the first phase of the COVID-19 pandemic (1 August–30 December 2020). The hospital is the biggest in Albania with a capacity of more than 1600 beds and around 2500 employees. Annually, it provides healthcare services to thousands of people not only from the capital Tirana but also from other parts of Albania. As the hospital is general, it has other wards including pediatric, emergency, surgery, intensive care unit (ICU), cardiology, anatomopathological laboratory, pathology, radiology wards, etc. This hospital also serves as a setting for medical students to conduct their practice as well as the only one that can conduct their residency after graduation. According to the Albanian Institute of Statistics, in 2020 in Albania, 201,449 were hospitalized while in the two previous years it was more than 275,000 people [30]. The “Mother Tereza” University Hospital of Tirana provides ambulatory services to around 300,000 people, hospitalization services to more than 80,000, and emergency services to more than 260,000 people annually [31].
During the COVID-19 pandemic, the hospital was the epicenter and provided healthcare services to those needed. It was named the COVID-one hospital, and the infectious disease department was reorganized totally in order to provide healthcare services to those diagnosed positive. People with other infectious diseases were transferred to alternative wards or facilities. The hospital hosted not just COVID-19 cases from Tirana City but also from all over the country patients received healthcare services from the hospital. This was because, during the first period of the pandemic, hospitals in the other cities were lacking the facilities and infrastructure. Moreover, the staff was unprepared for this unprecedented situation. The cases transferred to the COVID-one hospital were those that were moderate or serious and for whom receiving healthcare services at home was not effective. Patients were transferred to the COVID-one hospital from other regional hospitals or after communication with the National Emergency call center. After reorganization, the infectious diseases department had a capacity of 120 beds available for COVID-19 cases. On 2 January 2021 (the end date of the study), there were 58,991 total cases, 23,448 active cases, and 1190 deaths in Albania [32].

2.2. Data Extraction

Data extraction was conducted during the period of September–December 2021. Data were retrieved from the electronic databases of the hospital and only COVID-19 cases admitted to the infectious department during the period mentioned above were selected. During that period, 938 patients were admitted to the hospital. All patients admitted with SARS-CoV-2 infection were confirmed by using the standard method of real-time polymerase chain reaction (RT-PCR). In specific cases, additional examinations for confirmation of positive cases were conducted such as chest X-ray and/or computer tomography scan (CT). Data were extracted by two different researchers. They worked together for data extraction based on the criteria set initially. After admission at the hospital, patients undergo a series of health examinations based on their health status and the decision of their doctors or the doctor in charge at the moment of admission. Demographic characteristics (such as gender, age, and place of residence) and health history (such as the existence of chronic conditions, i.e., cardiovascular, diabetes, pulmonary, mental diseases, and malignancies) are recorded in the electronic databases. Additionally, information about days of hospitalization, clinical symptoms (such as temperature, sore throat, weakness, anosmia, anorexia, vomiting, diarrhea, dyspnea, and chest pain), and vital signs (cardiac rate/minute, respiratory rate/minute, blood pressure, and oxygen saturation in arterial blood) are available. Moreover, other information included in the database is the therapy provided (i.e., antibiotics or other kinds of medications provided), imaging (ultrasound, chest X-ray, CT), and laboratory findings (C-reactive protein (CRP) (mg/L), D-dimer (ng/mL)).

2.3. Inclusion and Exclusion Criteria

Initially, all patients admitted (the period August–December 2020) to the infectious disease department were extracted. After patients that at admission had a C-Reactive Protein-CRP (mg/L), more than double, and a D-dimer (ng/mL) more than triple according to international standards were selected. Normal levels of CRP (mg/L) are considered those lower than 10 mg/L [33] while for D-dimer (ng/mL), they are considered those lower than 500 ng/mL [34]. However, normal levels may range between laboratories. We set these two as key criteria since D-dimer is a key element for the prediction of vein thrombosis and mortality in patients with COVID-19 while CRP levels are a good predictor at admission for COVID-19 severity [35,36,37]. Additional inclusion criteria were all patients that manifested in a thrombotic event. We determined the time of the thrombotic event by referring to the day of symptoms onset (according to the patient’s medical history extracted from anamneses taken from patients themselves or from their relatives). Additionally, we divided the vascular accidents into two major groups according to topography: (1: upper limb and 2: lower limb). Patients that did not fulfill all the above criteria (or some data were missing) were excluded from the study. In total, after applying all inclusion/exclusion criteria, 60 patients were included. Moreover, we used the COVID-19 imaging score to evaluate the lung involvement in these patients. We considered three stages of lung involvement. The first stage considered all patients having pulmonary involvement score of 20–40%, the second stage all those with a range of 40–65% of pulmonary tissue affected, and the third stage all patients with more than 65% pulmonary involvement. We used this severity score system due to the fact that was simple, fast, calculated in real time during the CT examination, and did not need additional personnel, but was calculated automatically. Additionally, the hospital had a lack of kits and personnel focusing on this issue. None of the participants were vaccinated as the study finished before the onset of the mass-vaccination program.

2.4. Statistical Analysis

We use absolute numbers and percentages to present categorical variables. Additionally, we used the mean, standard deviation, median, interquartile range, minimum value, and maximum value to present continuous variables. Length of hospitalization and mortality were the dependent variables. The length of hospitalization did not follow a normal distribution and we transformed it into a dichotomous variable using the median as a cut-off point. Since the outcome variables were dichotomous, we used logistic regression analysis to identify the predictors of hospitalization and mortality. According to the Kolmogorov–Smirnov test, continuous variables did not follow the normal distribution. Thus, we used the median value to transform continuous variables into dichotomous variables to achieve a better function of logistic regression models. We performed univariate and multivariable logistic regression analysis, calculating unadjusted and adjusted odds ratios (ORs). Additionally, we calculated 95% confidence intervals (CI) and two-sided p-values. Moreover, we performed a log-rank test to estimate differences in mortality rates according to groups. A p-value < 0.05 was considered statistically significant. Statistical analysis was performed with the Statistical Package for Social Sciences software (IBM Corp. Released 2012. IBM SPSS Statistics for Windows, Version 21.0. Armonk, NY, USA, IBM Corp.).

2.5. Ethical Issues

All ethical issues were strictly followed in the study. No personal data were registered or collected. The study was approved by the Committee of Project Evaluation of the “Mother Teresa” University Hospital with Protocol Number 2425/1 dated 22 September 2021.

3. Results

The study population included 60 hospitalized persons with a mean age of 64.4 years old (standard deviation = 11, minimum age = 29, maximum age = 87). A total of 93.3% (n = 56) of the patients included were of male gender and 6.7% (n = 4) were females (Table 1).
The clinical profile of patients is shown in Table 2. The mortality rate was 61.7% (37/60). The mean length of hospitalization was 9.3 days (standard deviation = 7.7, minimum = 1, maximum = 27), while median length was 8 days (interquartile range = 11). Comorbidity existed among 49 patients (81.7%). The most frequent diseases were hypertension and diabetes mellitus. Among patients, 26.7% were intubated and 26.7% were under C-PAP. As for the COVID-19 stages, 30.0% and 66.7% were at stages two and three, respectively. A total of 61.7% of thrombotic events happened in the lower limb. The most frequent symptoms and signs (Table 3) reported were weakness (96.7%), dyspnea (93.3%), cough (70%), sweating (60%), and myalgia (51.7%). Moreover, a graphic presentation of all indicators between survivors and deceased is presented in Figure 1.
Patients’ medication during their hospitalization is shown in Table 4. The most common pharmaceutical interventions in patients were levofloxacin (100%), heparin (100%), ceftriaxone (93.3%), lopinavir/ritonavir (63.3%), and methylprednisolone (50%). Descriptive statistics for the patients’ diagnostic tests are shown in Table 5. The mean value for ferritin was 2101 ng/mL; for lactate dehydrogenase (LDH), 738 U/L; for creatine kinase CK, 857 U/L; for fibrinogen, 578 mg/dL; for PCR-I, 169 mg/dL; and for D-dimer, 5748 mg/mL.
Univariate and multivariable logistic regression analyses with the length of hospitalization and death as the dependent variables are shown in Table 6. We did not find statistically significant relations in either case. However, we should notice that increased LDH (OR = 2.93; 95% CI = 0.82–10.42, p-value = 0.1) and increased CK (OR = 2.17; 95% CI = 0.63–7.46, p-value = 0.22) were related to an increased probability of death. On the other hand, a decreased number of lymphocytes was associated with increased mortality (OR = 0.40; 95% CI = 0.11–1.40, p-value = 0.15).
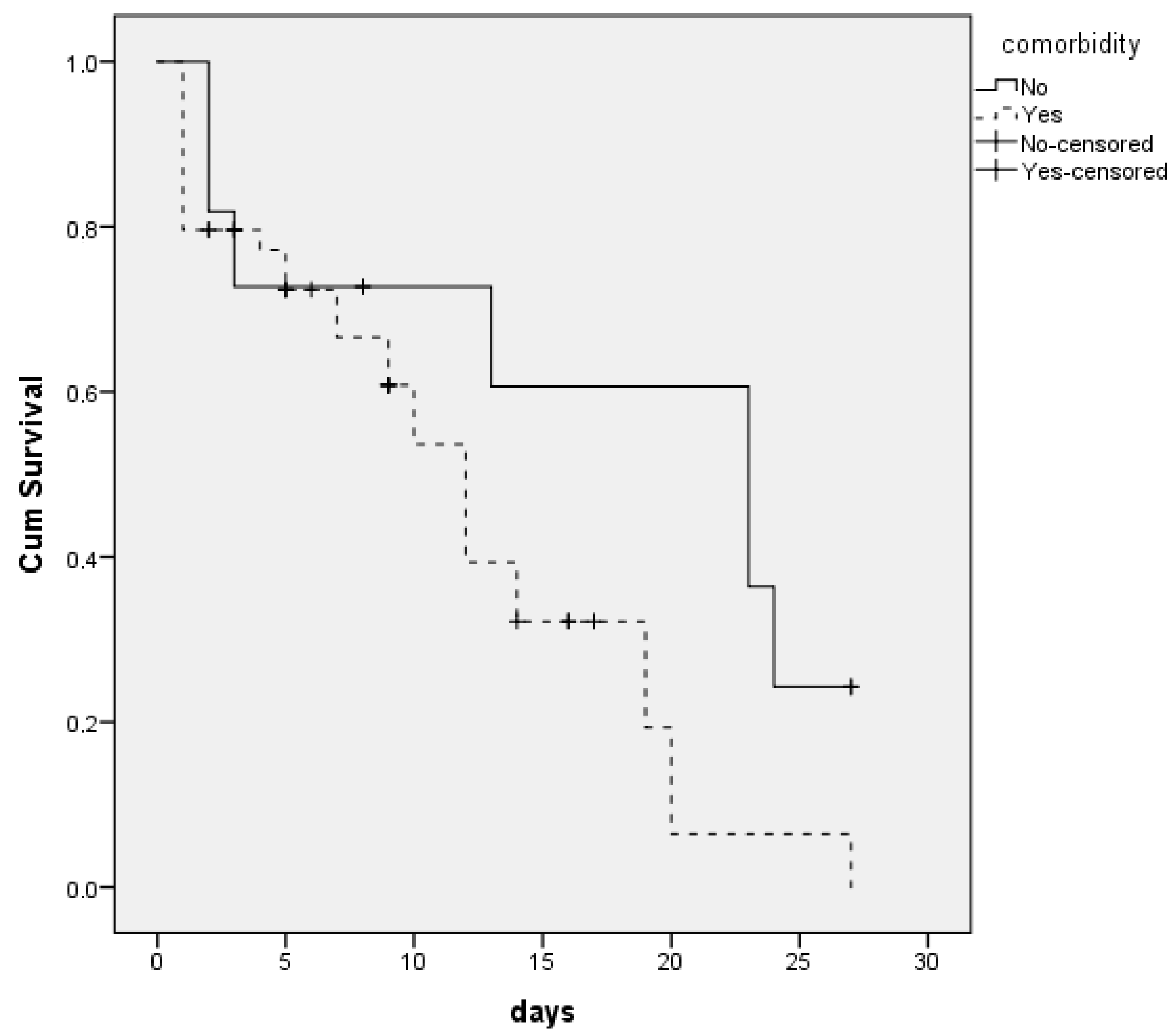
The survival rate was higher for patients without comorbidities (p = 0.045). In particular, the median survival rate for patients without comorbidities was 23 days (95% CI = 9.8–36.2), while for those with comorbidities was 12 days (95% CI = 9.6–14.4), (Figure 2).

4. Discussion

This study aimed to assess the severity and mortality predictors of COVID-19 patients with thrombotic events in hospitalized patients in Albania. Patients admitted to the biggest hospital in the country were selected for this study. From the multivariate analyses, we saw that high levels of LDH and CK were strongly associated with a higher possibility of death. Additionally, lymphopenia was statistically significantly correlated with high mortality rates. However, the presence of comorbidities was an indicator of a lower survival rate. The study results should be considered carefully as, since the first wave of COVID-19, different vaccines have been available which can decrease morbidity and mortality rates. The presence of these vaccines has improved the actual situation globally. In the current study, we did not include vaccinated people, and this should be studied in the future.
Thrombotic events are common in patients suffering from COVID-19 while few cases of thrombotic events have been reported after vaccination [38,39,40,41]. Different studies have focused on the possible association between vaccination for COVID-19 and thrombosis [39,40]. Even though there exists a slightly increased risk of a possible cerebral venous sinus thrombosis after vaccination with ChAdOx1, there is a significant benefit of vaccination for lower morbidity and mortality due to the disease [38]. Moreover, the benefit of vaccination is much higher than the possibility of a thrombotic event [42].
The results of this work are in line with previous studies that assessed COVID-19 severity and LDH levels. A study conducted by Henry et al. (2020), reached the conclusion that high levels of LDH are correlated with a six times higher probability of having a severe disease and 16 times higher mortality [43]. A systematic review and meta-analysis show that high LDH levels are correlated with a high probability of a negative outcome [44]. In a letter to the editor published in 2021, it was suggested that LDH can be used as a prognostic indicator for COVID-19 patients [45]. In the current study, patients with high levels of LDH are around three times more likely to die due to COVID-19 in comparison to those with lower levels. It is clear that healthcare practitioners should use LDH as a key biomarker during the provision of health services.
A study shows that increased levels of CK are strongly associated with more severity and higher mortality rates in COVID-19 patients [46]. A key result that emerged from the above study is that this indicator is independent and not affected by different sociodemographic factors or chronic health conditions. According to Kitbalian et al. (2021), CK levels are strongly correlated with fatal COVID-19 outcomes. Additionally, the authors report that CK should be used as an indicator for clinical outcomes, especially for men and those with diabetes [47]. Based on the current and previous studies we can say that the use of CK as a prognostic factor is important for patients with COVID-19.
Lymphopenia was another factor that was correlated with mortality rates in the current study. A cohort study in Korea reported that lymphopenia can serve as a predictive indicator not only for mortality but also for admission to the intensive care unit and the need for oxygen [48]. Patients with lymphopenia have high mortality rates according to a study conducted in Wuhan, while a review support that lymphopenia is associated with COVID-19 patients [49,50].
In contrast to other studies, in the current work, D-dimer did not show statistical significance with COVID-19 disease severity and/or negative outcomes. A study reports that D-dimer levels during hospital admission can serve as an indicator factor for mortality of the COVID-19 patients [51]. Another study shows that the use of D-dimer at a cut-off level of higher than 1.128 ng/mL is appropriate for predicting hospital mortality due to COVID-19 [52]. However, in the current work, we used different levels of D-dimer (>2425 vs. ≤2425). This, jointly with the low number of samples, most probably is the main factor for these differences. Further studies with a larger sample are strongly recommended.
The use of ferritin as a predictive indicator for patients with COVID-19 differs. According to a study published recently, levels of ferritin can be used as a layer for COVID-19 infection [53]. A study conducted in Israel reports that high levels of ferritin are correlated with COVID-19 severity [54]. The results of the current study did not show any statistically significant correlation between ferritin level and COVID-19 hospitalization and mortality. An Italian study concluded that ferritin is not correlated with disease outcomes in COVID-19 patients [55]. Despite the differences in the conducted studies, it is important for ferritin to be assessed jointly with the other laboratory indicators to guide patients’ treatment.
Different studies support that fibrinogen is a key predictor of COVID-19 severity [56,57]. The current study did not show such statistical significance. Similar to this, we did not find any correlation with gender. Most probably the low number of participants contributed to this result and further studies are needed to confirm or not this. Moreover, the presence of comorbidities was an indicator of a lower survival rate. A systematic review reached the conclusion that comorbidities are a good prognostic factor for patients with COVID-19 [58]. Another systematic review presents that people admitted to the hospital with comorbidities have an increased risk of mortality [59].
Vaccination of the population for COVID-19 should continue. Receiving booster doses is safe and effective for the population and can decrease severe disease [60]. Additionally, healthcare personnel can help significantly to raise awareness of the population for the benefits of vaccination. Working on misperceptions and fake news that circulate especially on social media is another critical issue in the continuous fight against COVID-19. Health policymakers should develop campaigns for the promotion of the safety and effectiveness of vaccines by focusing on different sociodemographic features of those who are skeptics.

Strengths and Limitations

The current study suffers from some limitations. First of all, we used data from only one hospital and the sample size is small. Additionally, the lack of follow-up data is another weak point. Moreover, the retrospective nature of the study is also a limitation. Additionally, the sex ratio is unbalanced, and this is also a limitation of the current study.
However, despite the existence of some limitations, to our best knowledge, this is the first study in Albania that focused on assessing the severity and mortality predictors of COVID-19 patients with thrombotic events in hospitalized patients. Inclusion in the analysis of different factors such as laboratory examinations, health history, clinical symptoms, and imaging is a strong point of this work.

5. Conclusions

Finding key predictors for the severity and mortality of COVID-19 patients has been one of the most significant efforts done by practitioners and researchers in the last two years. Thrombotic events are common in COVID-19 patients and lead to longer hospitalization and mortality. According to the findings of the current study, high levels of LDH and CK are correlated with a higher possibility of mortality for hospitalized patients with COVID-19. The existence of lymphopenia could also be used as a key predictor. The current results could help healthcare personnel who offers services to hospitalized patients with COVID-19. This could help significantly in providing appropriate patient-centered services. Further studies should focus on including more hospitals and patients as well as a follow-up on data collection is strongly recommended. Additionally, a comparison between those vaccinated and non-vaccinated is strongly recommended.

Author Contributions

Conceptualization, N.C.; Methodology, N.C. and E.A.M.; Statistical analysis, E.A.M. and E.P.; Data Extraction, M.Q. and A.S.; Writing—Original Draft Preparation, N.C. and E.A.M.; Writing—Review and Editing, N.C., E.A.M., M.Q., E.M., A.S., A.F., A.K., A.E.P. and E.P. All authors accepted the final version after revisions. All authors have read and agreed to the published version of the manuscript.

Funding

This research received no external funding.

Institutional Review Board Statement

All ethical issues were strictly followed in the study. No personal data were registered or collected. The study was conducted in accordance with the Declaration of Helsinki and approved by the Committee of Project Evaluation of the “Mother Teresa” University Hospital with Protocol Number 2425/1 dated 22 September 2021.

Informed Consent Statement

Patient consent was waived due to the fact that data were retrieved from the electronic databases of the hospital. No personal data were recorded. Additionally, ethical approval was received from the Hospital authorities.

Data Availability Statement

The data presented in this study are available on request from the corresponding author.

Acknowledgments

The authors would like to thank the hospital authorities for approval of using the patient’s database.

Conflicts of Interest

The authors declare no conflict of interest.

References

  1. World Health Organization (WHO). WHO Coronavirus (COVID-19) Dashboard. Available online: https://covid19.who.int/ (accessed on 26 October 2022).
  2. Tregoning, J.S.; Flight, K.E.; Higham, S.L.; Wang, Z.; Pierce, B.F. Progress of the COVID-19 vaccine effort: Viruses, vaccines and variants versus efficacy, effectiveness and escape. Nat. Rev. Immunol. 2021, 21, 626–636. [Google Scholar] [CrossRef]
  3. European Medicines Agency (EMA). COVID-19 Vaccines: Authorized. Available online: https://www.ema.europa.eu/en/human-regulatory/overview/public-health-threats/coronavirus-disease-covid-19/treatments-vaccines/vaccines-covid-19/covid-19-vaccines-authorised (accessed on 30 May 2022).
  4. Xing, K.; Tu, X.Y.; Liu, M.; Liang, Z.W.; Chen, J.N.; Li, J.; Jiang, L.G.; Xing, F.Q.; Jiang, Y. Efficacy and safety of COVID-19 vaccines: A systematic review. Chin. J. Contemp. Pediatr. 2021, 23, 221. [Google Scholar]
  5. Chen, M.; Yuan, Y.; Zhou, Y.; Deng, Z.; Zhao, J.; Feng, F.; Zou, H.; Sun, C. Safety of SARS-CoV-2 vaccines: A systematic review and meta-analysis of randomized controlled trials. Infect. Dis. Poverty 2021, 10, 94. [Google Scholar] [CrossRef]
  6. Fiolet, T.; Kherabi, Y.; MacDonald, C.J.; Ghosn, J.; Peiffer-Smadja, N. Comparing COVID-19 vaccines for their characteristics, efficacy and effectiveness against SARS-CoV-2 and variants of concern: A narrative review. Clin. Microbiol. Infect. 2021, 28, 202–221. [Google Scholar] [CrossRef]
  7. Falsey, A.R.; Sobieszczyk, M.E.; Hirsch, I.; Sproule, S.; Robb, M.L.; Corey, L.; Neuzil, K.M.; Hahn, W.; Hunt, J.; Mulligan, M.J.; et al. Phase 3 safety and efficacy of AZD1222 (ChAdOx1 nCoV-19) COVID-19 vaccine. N. Engl. J. Med. 2021, 385, 2348–2360. [Google Scholar] [CrossRef]
  8. Heath, P.T.; Galiza, E.P.; Baxter, D.N.; Boffito, M.; Browne, D.; Burns, F.; Chadwick, D.R.; Clark, R.; Cosgrove, C.; Galloway, J.; et al. Safety and efficacy of NVX-CoV2373 COVID-19 vaccine. N. Engl. J. Med. 2021, 385, 1172–1183. [Google Scholar] [CrossRef]
  9. Moreira, E.D., Jr.; Kitchin, N.; Xu, X.; Dychter, S.; Lockhart, S.; Gurtman, A.; Perez, J.L.; Zerbini, C.; Dever, M.E.; Jennings, T.W.; et al. Safety and efficacy of a third dose of BNT162b2 COVID-19 vaccine. N. Engl. J. Med. 2022, 386, 1910–1921. [Google Scholar] [CrossRef]
  10. Soraci, L.; Lattanzio, F.; Soraci, G.; Gambuzza, M.E.; Pulvirenti, C.; Cozza, A.; Corsonello, A.; Luciani, F.; Rezza, G. COVID-19 Vaccines: Current and Future Perspectives. Vaccines 2022, 10, 608. [Google Scholar] [CrossRef]
  11. Machado, B.A.S.; Hodel, K.V.S.; Fonseca, L.M.d.S.; Pires, V.C.; Mascarenhas, L.A.B.; da Silva Andrade, L.P.C.; Moret, M.A.; Badaró, R. The Importance of Vaccination in the Context of the COVID-19 Pandemic: A Brief Update Regarding the Use of Vaccines. Vaccines 2022, 10, 591. [Google Scholar] [CrossRef]
  12. Chen, L.; Cai, X.; Zhao, T.; Han, B.; Xie, M.; Cui, J.; Zhang, J.; Wang, C.; Liu, B.; Lu, Q.; et al. Safety of Global SARS-CoV-2 Vaccines, a Meta-Analysis. Vaccines 2022, 10, 596. [Google Scholar] [CrossRef]
  13. Dhanani, L.Y.; Franz, B. A meta-analysis of COVID-19 vaccine attitudes and demographic characteristics in the United States. Public Health 2022, 207, 31–38. [Google Scholar] [CrossRef]
  14. Shakeel, C.S.; Mujeeb, A.; Mirza, M.S.; Chaudhry, B.; Khan, S.J. Global COVID-19 vaccine acceptance: A systematic review of associated social and behavioral factors. Vaccines 2022, 10, 110. [Google Scholar] [CrossRef]
  15. Roy, D.N.; Biswas, M.; Islam, E.; Azam, M.S. Potential factors influencing COVID-19 vaccine acceptance and hesitancy: A systematic review. PLoS ONE 2022, 17, e0265496. [Google Scholar] [CrossRef]
  16. Anakpo, G.; Mishi, S. Hesitancy of COVID-19 vaccines: Rapid systematic review of the measurement, predictors, and preventive strategies. Hum. Vaccines Immunother. 2022, 18, 2074716. [Google Scholar] [CrossRef]
  17. Yang, K.; Wen, G.; Wang, J.; Zhou, S.; Da, W.; Meng, Y.; Xue, Y.; Tao, L. Complication and Sequelae of COVID-19: What Should We Pay Attention to in the Post-Epidemic Era. Front. Immunol. 2021, 12, 711741. [Google Scholar] [CrossRef]
  18. Hussain, M.; Syed, S.K.; Fatima, M.; Shaukat SSaadullah, M.; Alqahtani, A.M.; Alqahtani, T.; Emran, T.B.; Alamri, A.H.; Barkat, M.Q.; Wu, X. Acute Respiratory Distress Syndrome and COVID-19: A Literature Review. J. Inflamm. Res. 2021, 14, 7225. [Google Scholar] [CrossRef]
  19. Seyed Alinaghi, S.; Afsahi, A.M.; Mohsseni Pour, M.; Behnezhad, F.; Salehi, M.A.; Barzegary, A.; Mirzapour, P.; Mehraeen, E.; Dadras, O. Late complications of COVID-19; a systematic review of current evidence. Arch. Acad. Emerg. Med. 2021, 9, e14. [Google Scholar]
  20. Moschonas, I.; Tselepis, A. SARS-CoV-2 infection and thrombotic complications: A narrative review. J. Thromb. Thrombolysis 2021, 52, 111–123. [Google Scholar] [CrossRef]
  21. Ahmad, R.; Haque, M. Surviving the Storm: Cytokine Biosignature in SARS-CoV-2 Severity Prediction. Vaccines 2022, 10, 614. [Google Scholar] [CrossRef]
  22. Sukrisman, L.; Sinto, R. Coagulation profile and correlation between D-dimer, inflammatory markers, and COVID-19 severity in an Indonesian national referral hospital. J. Int. Med. Res. 2021, 49, 03000605211059939. [Google Scholar] [CrossRef] [PubMed]
  23. Sana, A.; Avneesh, M. Identification of hematological and inflammatory parameters associated with disease severity in hospitalized patients of COVID-19. J. Fam. Med. Prim. Care. 2022, 11, 260. [Google Scholar] [CrossRef] [PubMed]
  24. Ahnach, M.; Zbiri, S.; Nejjari, S.; Ousti, F.; Elkettani, C. C-reactive protein as an early predictor of COVID-19 severity. J. Med. Biochem. 2020, 39, 500. [Google Scholar] [CrossRef] [PubMed]
  25. Gonçalves, F.A.R.; Besen, B.A.M.P.; Lima, C.A.D.; Corá, A.P.; Pereira, A.J.R.; Perazzio, S.F.; Gouvea, C.P.; Fonseca, L.A.M.; Trindade, E.M.; Sumita, N.M.; et al. Use and misuse of biomarkers and the role of D-dimer and C-reactive protein in the management of COVID-19: A post-hoc analysis of a prospective cohort study. Clinics 2021, 76, e3547. [Google Scholar] [CrossRef] [PubMed]
  26. World Health Organization (WHO). Albania. Available online: https://covid19.who.int/region/euro/country/al (accessed on 26 October 2022).
  27. Coronavirus (COVID-19) Vaccinations. Available online: https://ourworldindata.org/covid-vaccinations (accessed on 19 August 2022).
  28. Institute for Health Metrics and Evaluation (IHME). Albania. Available online: https://www.healthdata.org/albania (accessed on 30 May 2022).
  29. Sentell, T.L.; Ylli, A.; Pirkle, C.M.; Qirjako, G.; Xinxo, S. Promoting a culture of prevention in Albania: The “Si Je?” program. Prev. Sci. 2021, 22, 29–39. [Google Scholar] [CrossRef]
  30. Institute of Statistics (INSTAT). Available online: http://www.instat.gov.al/al/temat/kushtet-sociale/sh%C3%ABndet%C3%ABsia/ (accessed on 30 April 2022). (In Albanian)
  31. Qendra Spitalore Universitare Nen Tereza (QSUT). Available online: http://www.qsut.gov.al/ (accessed on 9 October 2020). (In Albanian)
  32. Ministry of Health and Social Protection. Available online: https://shendetesia.gov.al/ministria-e-shendetesise-dhe-mbrojtjes-sociale-ju-informon-per-situaten-epidemiologjike-ne-vend-si-dhe-te-dhenat-per-rastet-e-reja-dhe-situaten-ne-spitalet-covid-ne-ditet-e-para-te-vitit-2021/ (accessed on 30 April 2022). (In Albanian)
  33. Mayo Clinic. C-Reactive Protein Test. Available online: https://www.mayoclinic.org/tests-procedures/c-reactive-protein-test/about/pac-20385228 (accessed on 29 April 2022).
  34. Mayo Clinic. Available online: https://www.mayocliniclabs.com/test-catalog/Overview/602174#Clinical-and-Interpretive (accessed on 29 April 2022).
  35. Bounds, E.J.; Kok, S.J. D-Dimer. In StatPearls; StatPearls Publishing: Treasure Island, FL, USA, 2021. [Google Scholar]
  36. Soni, M.; Gopalakrishnan, R.; Vaishya, R.; Prabu, P. D-dimer level is a useful predictor for mortality in patients with COVID-19: Analysis of 483 cases. Diabetes Metab. Syndr. Clin. Res. Rev. 2020, 14, 2245–2249. [Google Scholar] [CrossRef]
  37. Ali, A.M.; Rostam, H.M.; Fatah, M.H.; Noori, C.M.; Ali, K.M.; Tawfeeq, H.M. Serum troponin, D-dimer, and CRP level in severe coronavirus (COVID-19) patients. Immun. Inflamm. Dis. 2022, 10, e582. [Google Scholar] [CrossRef]
  38. Iba, T.; Levy, J.H. Thrombosis and thrombocytopenia in COVID-19 and after COVID-19 vaccination. Trends Cardiovasc. Med. 2022, 32, 249–256. [Google Scholar] [CrossRef]
  39. Higgins, H.; Andrews, N.; Stowe, J.; Amirthalingam, G.; Ramsay, M.; Bahra, G.; Hackett, A.; Breen, K.A.; Desborough, M.; Bahra, G.; et al. Risk of thrombosis with thrombocytopenia syndrome after COVID-19 vaccination prior to the recognition of vaccine-induced thrombocytopenia and thrombosis: A self-controlled case series study in England. Res. Pract. Thromb. Haemost. 2022, 6, e12698. [Google Scholar] [CrossRef]
  40. Kerr, S.; Joy, M.; Torabi, F.; Bedston, S.; Akbari, A.; Agrawal, U.; Beggs, J.; Bradley, D.; Chuter, A.; Docherty, A.B.; et al. First dose ChAdOx1 and BNT162b2 COVID-19 vaccinations and cerebral venous sinus thrombosis: A pooled self-controlled case series study of 11.6 million individuals in England, Scotland, and Wales. PLoS Med. 2022, 19, e1003927. [Google Scholar] [CrossRef]
  41. Hviid, A.; Hansen, J.V.; Thiesson, E.M.; Wohlfahrt, J. Association of AZD1222 and BNT162b2 COVID-19 Vaccination with thromboembolic and thrombocytopenic events in frontline personnel: A retrospective cohort study. Ann. Intern. Med. 2022, 175, 541–546. [Google Scholar] [CrossRef]
  42. Saluja, P.; Gautam, N.; Yadala, S.; Venkata, A.N. Thrombotic thrombocytopenic purpura (TTP) after COVID-19 vaccination: A systematic review of reported cases. Thromb. Res. 2022, 214, 115–121. [Google Scholar] [CrossRef] [PubMed]
  43. Henry, B.M.; Aggarwal, G.; Wong, J.; Benoit, S.; Vikse, J.; Plebani, M.; Lippi, G. Lactate dehydrogenase levels predict coronavirus disease 2019 (COVID-19) severity and mortality: A pooled analysis. Am. J. Emerg. Med. 2020, 38, 1722–1726. [Google Scholar] [CrossRef] [PubMed]
  44. Martha, J.W.; Wibowo, A.; Pranata, R. Prognostic value of elevated lactate dehydrogenase in patients with COVID-19: A systematic review and meta-analysis. Postgrad. Med. J. 2022, 98, 422–427. [Google Scholar] [CrossRef] [PubMed]
  45. Bartziokas, K.; Kostikas, K. Lactate dehydrogenase, COVID-19 and mortality. Med. Clin. 2021, 156, 37. [Google Scholar] [CrossRef]
  46. Akbar, M.R.; Pranata, R.; Wibowo, A.; Lim, M.A.; Sihite, T.A.; Martha, J.W. The prognostic value of elevated creatine kinase to predict poor outcome in patients with COVID-19-A systematic review and meta-analysis. Diabetes Metab. Syndr. Clin. Res. Rev. 2021, 15, 529–534. [Google Scholar] [CrossRef]
  47. Kitbalian, A.; Brovko, M.; Akulkina, L.; Potapov, P.; Moiseev, A.; Schepalina, A.; Yakovleva, A.; Sholomova, V.; Moiseev, S. Association between creatine kinase level and mortality in high-risk patients with COVID-19. Eur. Respir. J. 2021, 58, PA650. [Google Scholar] [CrossRef]
  48. Lee, J.; Park, S.; Kim, T.Y.; Lee, D.G.; Kim, D.W. Lymphopenia as a biological predictor of outcomes in COVID-19 patients: A nationwide cohort study. Cancers 2021, 13, 471. [Google Scholar] [CrossRef]
  49. Fei, J.; Fu, L.; Li, Y.; Xiang, H.-X.; Xiang, Y.; Li, M.-D.; Liu, F.-F.; Xu, D.-X.; Zhao, H. Reduction of lymphocyte at early stage elevates severity and death risk of COVID-19 patients: A hospital-based case-cohort study. MedRxiv 2020. [Google Scholar] [CrossRef]
  50. Gao, Y.D.; Ding, M.; Dong, X.; Zhang, J.; Kursat Azkur, A.; Azkur, D.; Gan, H.; Sun, Y.-L.; Fu, W.; Li, W.; et al. Risk factors for severe and critically ill COVID-19 patients: A review. Allergy 2021, 76, 428–455. [Google Scholar] [CrossRef]
  51. Poudel, A.; Poudel, Y.; Adhikari, A.; Aryal, B.B.; Dangol, D.; Bajracharya, T.; Maharjan, A.; Gautam, R. D-dimer as a biomarker for assessment of COVID-19 prognosis: D-dimer levels on admission and its role in predicting disease outcome in hospitalized patients with COVID-19. PLoS ONE 2021, 16, e0256744. [Google Scholar] [CrossRef]
  52. Chocron, R.; Duceau, B.; Gendron, N.; Ezzouhairi, N.; Khider, L.; Trimaille, A.; Goudot, G.; Weizman, O.; Alsac, J.M.; Pommier, T.; et al. D-dimer at hospital admission for COVID-19 are associated with in-hospital mortality, independent of venous thromboembolism: Insights from a French multicenter cohort study. Arch. Cardiovasc. Dis. 2021, 114, 381–393. [Google Scholar] [CrossRef] [PubMed]
  53. Banchini, F.; Cattaneo, G.M.; Capelli, P. Serum ferritin levels in inflammation: A retrospective comparative analysis between COVID-19 and emergency surgical non-COVID-19 patients. World J. Emerg. Surg. 2021, 16, 9. [Google Scholar] [CrossRef] [PubMed]
  54. Dahan, S.; Segal, G.; Katz, I.; Hellou, T.; Tietel, M.; Bryk, G.; Amital, H.; Shoenfeld, Y.; Dagan, A. Ferritin as a Marker of Severity in COVID-19 Patients: A Fatal Correlation. Isr. Med. Assoc. J. IMAJ 2020, 8, 429–434. [Google Scholar]
  55. Carubbi, F.; Salvati, L.; Alunno, A.; Maggi, F.; Borghi, E.; Mariani, R.; Mai, F.; Paoloni, M.; Ferri, C.; Desideri, G.; et al. Ferritin is associated with the severity of lung involvement but not with worse prognosis in patients with COVID-19: Data from two Italian COVID-19 units. Sci. Rep. 2021, 11, 4863. [Google Scholar] [CrossRef] [PubMed]
  56. Mehrdad, R.; Zahra, K.; Mansouritorghabeh, H. Hemostatic System (Fibrinogen Level, D-Dimer, and FDP) in Severe and Non-Severe Patients With COVID-19: A Systematic Review and Meta-Analysis. Clin. Appl. Thromb./Hemost. 2021, 27, 10760296211010973. [Google Scholar] [CrossRef] [PubMed]
  57. Sui, J.; Noubouossie, D.F.; Gandotra, S.; Cao, L. Elevated plasma fibrinogen is associated with excessive inflammation and disease severity in COVID-19 patients. Front. Cell. Infect. Microbiol. 2021, 11, 712. [Google Scholar] [CrossRef] [PubMed]
  58. Zheng, Z.; Peng, F.; Xu, B.; Zhao, J.; Liu, H.; Peng, J.; Li, Q.; Jiang, C.; Zhou, Y.; Liu, S.; et al. Risk factors of critical & mortal COVID-19 cases: A systematic literature review and meta-analysis. J. Infect. 2020, 81, e16–e25. [Google Scholar]
  59. Pellicori, P.; Doolub, G.; Wong, C.M.; Lee, K.S.; Mangion, K.; Ahmad, M.; Berry, C.; Squire, I.; Lambiase, P.D.; Lyon, A.; et al. COVID-19 and its cardiovascular effects: A systematic review of prevalence studies. Cochrane Database Syst. Rev. 2021, 2022, CD013879. [Google Scholar]
  60. Bar-On, Y.M.; Goldberg, Y.; Mandel, M.; Bodenheimer, O.; Freedman, L.; Kalkstein, N.; Mizrahi, B.; Alroy-Preis, S.; Ash, N.; Milo, R.; et al. Protection of BNT162b2 vaccine booster against COVID-19 in Israel. N. Engl. J. Med. 2021, 7, 1393–1400. [Google Scholar] [CrossRef]
Figure 1. Comparison between survived and dead.
Figure 1. Comparison between survived and dead.
Vaccines 10 01851 g001
Figure 2. Survival curve for patients according to their comorbidities.
Figure 2. Survival curve for patients according to their comorbidities.
Vaccines 10 01851 g002
Table 1. Demographic characteristics of patients.
Table 1. Demographic characteristics of patients.
N%
Gender
Male5693.3
Female46.7
Age Mean 64.4 (SD = 11)
Place of residence
Tirana2643.3
Durres813.3
Vlore35.0
Kavaje35.0
Fier1016.7
Other1016.7
Table 2. Clinical profile of patients.
Table 2. Clinical profile of patients.
N%
Outcome
Alive2338.3
Death3761.7
Comorbidity 4981.7
Hypertension 4981.7
Diabetes mellitus2236.7
Malignancies 23.3
Chronic renal failure11.7
Intubation 1626.7
C-PAP1626.7
COVID-19 stage
Stage 123.3
Stage 21830.0
Stage 34066.7
Thrombotic event
Lower limb3761.7
Upper limb2338.3
Table 3. Symptoms and signs of patients.
Table 3. Symptoms and signs of patients.
Symptoms and SignsN%
Weakness 5896.7
Dyspnea 5693.3
Cough 4270.0
Sweating3660.0
Myalgia 3151.7
Headache 2745.0
Arthralgia2440.0
Chest pain2033.3
Anosmia 1423.3
Anorexia 1423.3
Vomiting 813.3
Diarrhea 711.7
Sore throat1016.7
Table 4. Patients’ medication during their hospitalization.
Table 4. Patients’ medication during their hospitalization.
N%
Levofloksacin60100
Heparin60100
Ceftriakson 5693.3
Lopinavir/ritonavir3863.3
Methylprednisolone 3355.0
Dexamethazone 2745.0
Cefepime1220.0
Albumine humane1016.7
Kabiven813.3
Fresh frozen plasma813.3
Plaquenil 813.3
Azytromicin711.7
Aminoven58.3
Vancomycin 46.7
Imipenem56.7
Tigacil46.7
Avigan46.7
Meropenem35.0
Tocilizumab 35.0
Metrondiazol23.3
Table 5. Descriptive statistics for the patients’ diagnostic tests.
Table 5. Descriptive statistics for the patients’ diagnostic tests.
MeanStandard DeviationMedianMinimum ValueMaximum Value
Ferritin (ng/mL)2101130416497578171
PCR-I (mg/dL)16913013217491
LDH (U/L)7385505112372540
CK (U/L)8572174106169450
Fibrinogen (mg/dL)5781775702741156
D-dimer (mg/mL)574871812425116025,231
Lymphocyte (%)8.85.78221
Table 6. Univariate and multivariable logistic regression analysis with the length of hospitalization (reference: length of hospitalization ≤ 8 days) and death (reference: alive) as the dependent variables.
Table 6. Univariate and multivariable logistic regression analysis with the length of hospitalization (reference: length of hospitalization ≤ 8 days) and death (reference: alive) as the dependent variables.
VariableUnadjusted OR 1
(95% CI)
p-ValueAdjusted OR 1
(95% CI)
p-ValueUnadjusted OR 1
(95% CI)
p-ValueAdjusted OR 1
(95% CI)
p-Value
Gender (males vs. females)0.93 (0.12–7.08)0.95 1.67 (0.22–12.73)0.62
Age (>64 vs. ≤64)0.57 (0.21–1.60)0.29 1.47 (0.51 0 4.24)0.47
Comorbidity (yes vs. no)0.74 (0.19–2.74)0.65 0.90 (0.23–3.50)0.88
COVID-19 stage (3 vs. 1–2)0.91 (0.31–2.65)0.86 1.52 (0.51–4.54)0.45
C-PAP (yes vs. no)3.18 (0.94–10.72)0.06 3.61 (0.90–14.48)3.61
Intubation 2 (yes vs. no)2.19 (0.68–7.10)0.190.91 (0.24–3.43)0.89NCΝC
Thrombotic event (upper limb vs. lower limb)1.28 (0.45–3.64)0.64 0.95 (0.33–2.76)0.92
Ferritin (>1649 vs. ≤1649)0.87 (0.31–2.39)0.78 0.93 (0.33–2.63)0.89
PCR-I 2 (>132 vs. ≤132)0.33 (0.10–1.08)0.070.33 (0.10–1.08)0.071.14 (0.36–3.62)0.83
LDH 2 (>511 vs. ≤511)0.75 (0.27–2.11)0.59 3.43 (1.12–10.47)0.032.93 (0.82–10.42)0.10
CK 2 (>106 vs. ≤106)0.59 (0.20–1.74)0.19 2.81 (0.91–8.67)0.072.17 (0.63–7.46)0.22
Fibrinogen (>570 vs. ≤570)1.20 (0.30–4.82)0.80 0.42 (0.10–1.72)0.23
D-dimer (>2425 vs. ≤2425)1.14 (0.42–3.15)0.80 0.65 (0.23–1.86)0.43
Lymphocyte 2 (>8 vs. ≤8)0.97 (0.34–2.74)0.95 0.29 (0.09–0.85)0.030.40 (0.11–1.40)0.15
1 An odds ratio < 1 indicates a negative association, while an odds ratio > 1 indicates a positive association. 2 In multivariable models, we included independent variables with a p-value less than 0.20 in univariate analysis. CI: confidence interval; NC: non-computable; OR: odds ratio.
Publisher’s Note: MDPI stays neutral with regard to jurisdictional claims in published maps and institutional affiliations.

Share and Cite

MDPI and ACS Style

Como, N.; Mechili, E.A.; Qato, M.; Meta, E.; Strakosha, A.; Fico, A.; Kenga, A.; Patelarou, A.E.; Patelarou, E. Severity and Mortality Predictors of COVID-19 Patients with Thrombotic Events-Evidence from the “COVID-One” Hospital in Albania. Vaccines 2022, 10, 1851. https://doi.org/10.3390/vaccines10111851

AMA Style

Como N, Mechili EA, Qato M, Meta E, Strakosha A, Fico A, Kenga A, Patelarou AE, Patelarou E. Severity and Mortality Predictors of COVID-19 Patients with Thrombotic Events-Evidence from the “COVID-One” Hospital in Albania. Vaccines. 2022; 10(11):1851. https://doi.org/10.3390/vaccines10111851

Chicago/Turabian Style

Como, Najada, Enkeleint A. Mechili, Migena Qato, Esmeralda Meta, Arjana Strakosha, Albana Fico, Albana Kenga, Athina E. Patelarou, and Evridiki Patelarou. 2022. "Severity and Mortality Predictors of COVID-19 Patients with Thrombotic Events-Evidence from the “COVID-One” Hospital in Albania" Vaccines 10, no. 11: 1851. https://doi.org/10.3390/vaccines10111851

APA Style

Como, N., Mechili, E. A., Qato, M., Meta, E., Strakosha, A., Fico, A., Kenga, A., Patelarou, A. E., & Patelarou, E. (2022). Severity and Mortality Predictors of COVID-19 Patients with Thrombotic Events-Evidence from the “COVID-One” Hospital in Albania. Vaccines, 10(11), 1851. https://doi.org/10.3390/vaccines10111851

Note that from the first issue of 2016, this journal uses article numbers instead of page numbers. See further details here.

Article Metrics

Back to TopTop