Abstract
Background/Objectives: Vaccine hesitancy is one of the top ten threats to global health. It is necessary to develop appropriate strategies to address vaccine hesitancy. This systematic review aimed to analyze strategies used to improve the acceptance of vaccines, address doubts, and/or increase confidence and motivation in routine vaccination across all age groups. Methods: A systematic review was conducted of the MEDLINE, Dialnet, Scielo, CINAHL, and CENTRAL databases between 2018 and 2023. The inclusion criterion was full-text studies in English or Spanish that improve the degree of acceptance of vaccines and were evaluated by vaccination rate or pre- or postintervention tests. For data extraction, each study was categorized as community education, tailored messages, media, and new technologies. Results: A total of 1938 studies were identified, 38 of which were selected. New technology-based interventions used in the adult population for several vaccines offer broad reach, user interaction, and data accessibility. Tailored message strategies were used mainly among parents to foster strong relationships through respectful and empathetic dialog. Community education programs were targeted mainly at adolescents, emphasizing the use of structured, appropriate and interactive materials. Media campaigns were used as a support strategy for community education and new technology strategies due to their simplicity, wide coverage, and reach. Conclusions: The best strategies for reducing hesitancy are multicomponent interventions with structured and organized educational content based on the reasons for hesitancy and tailored to the target population. Therefore, caution must be taken when applying interventions, given that no single strategy can address this issue.
1. Introduction
In 2019, the World Health Organization (WHO) established a list of the ten main threats to global health, identifying vaccine hesitancy among them [1]. This concept has been redefined as a motivational state of being conflicted about, or opposed to, getting vaccinated [2]. Vaccine hesitancy is not homogeneous; it includes a spectrum of attitudes or sentiments that determines vaccine coverage in a lasting manner [3].
Vaccination has been one of the greatest achievements in public health, improving quality of life and reducing morbidity and mortality [4,5]. However, access and structural barriers that entrench inequalities persist [6,7], and prevent millions of people from benefiting from vaccination [5]. These inequalities also affect the level of uptake of vaccination, which has prompted global efforts to be increased [5]. It is therefore necessary to study the reasons that determine the acceptance or non-acceptance of vaccines. Whist economic and structural causes, as well as information and access to vaccines determine vaccine uptake in disadvantaged settings [6,7], social and behavioural factors need to be investigated as an equity approach.
The behavioral and social drivers (BeSD) model of vaccination are defined as beliefs and experiences specific to vaccination that are potentially modifiable to increase vaccine uptake [2]. This model has four domains and the term vaccine hesitancy is part of the Motivation domain [2,8]. In addition to the Motivation domain, we can find the domains thinking and feeling (cognitive and emotional responses, including, perceived disease risk and vaccine confidence), social processes (social norms), and practical issues (barriers, access, costs) [2,8].
In the last year, increased vaccine hesitancy has led to a decrease in the vaccination rate with an increase in the number of cases of measles in Europe [9], diphtheria in Africa [10], whooping cough in Spain [11], or the increase in anti-vaccine movements in the United States [12,13]. Among those, there is insufficient information and concern about safety [14], the presence of significant gaps and logistical barriers that reduce access to vaccination in low- and middle-income countries and regions [6,7], and the need for communication campaigns and behavioral interventions [12].
Currently, there is a considerable disparity of strategies and systematic reviews, with widely varying interventions depending on the vaccine and the target population groups [15,16]. To address this issue, the WHO Strategic Advisory Group of Experts on Immunization (SAGE) working group [16] developed an analysis which concluded that the most effective interventions were those that use multiple strategies (multi-component interventions) to enhance vaccine uptake, knowledge, and awareness.
In addition, the WHO has made a classification according to the BeSD model [2,17]: For motivation and thinking and feeling domains, to develop dialogue-based interventions and campaigns to inform or educate the public are recommended; for the social processes domain, activities such as positive social messages or recommendations to vaccinate from health workers; and for practical issues domain, is better to implement strategies like reminder for next dose, on-site vaccination at work or reminders [2,17]. Thus, following the SAGE statement, within the BeSD model, the most effective interventions are those that fall under the motivation and thoughts and feelings domains [2,16,17].
Therefore, this systematic review aimed to describe and analyze the different strategies used to improve the degree of acceptance of vaccines, address doubts about vaccination, and/or increase confidence and motivation in routine vaccination across all age groups. Additionally, it aimed to identify the primary population groups targeted by these interventions and to classify the types of interventions employed.
2. Materials and Methods
This study is reported according to the criteria described in the Preferred Reporting Items for Systematic Reviews and Meta-Analyses (PRISMA) 2020 declaration [18] and follows the recommendations of the Cochrane Collaboration Handbook [19]. The checklist of PRISMA reporting guidelines has also been added (Tables S1 and S2). We have registered and published this review on PROSPERO (registration number: CRD42022372461).
2.1. Eligibility Criteria
The study characteristics are based on the Population/Intervention/Comparator/Outcome (PICO) approach [20]. The population [P] addressed was adolescents, university students, parents/caregivers of young children, and adults in general. Interventions [I] included strategies to improve the degree of acceptance of vaccines, addressed doubts about vaccination and/or increased confidence and motivation in routine vaccination. The different strategies used control groups or vaccination rates from previous years as comparators [C]. The outcome [O] was the vaccination rate or a pre/postintervention test.
In the search for vaccination strategies, globally recommended vaccines for all age groups (children, adolescents and adults) were included, such as diphtheria, tetanus, whooping cough, hepatitis B, seasonal influenza, poliomyelitis, Hemophilus influenza type B (Hib), meningococcal, pneumococcal, tuberculosis or bacille Calmette–Guerin (BCG), measles, mumps and rubella (MMR), varicella, human papillomavirus (HPV), oral polio, and yellow fever. Articles conducted in high-income countries (HICs) and lower middle-income countries (LMICs) were included.
The main criteria were quasiexperimental design studies and randomized controlled trials published in the last 5 years (2018 to 2023), with no limit on the country, and full-text in the English or Spanish language. The languages of the articles to be analyzed were included in relation to the research team’s knowledge of them. Also, included articles to improve the degree of acceptance of vaccines, address doubts and hesitancy and/or increase confidence and motivation by assessing the effectiveness of the intervention through vaccination rates or pre/post testing.
Bibliographic reviews or opinion-based articles were excluded, as well as intervention protocols; articles that develop interventions or communication strategies aimed at improving training of healthcare workers (HCWs) to care for patients with vaccine hesitancy; articles analyzing effective education methods in the population without establishing interventions; cross-sectional studies whose objective is to know factors related to rejection or delay vaccination; articles with interventions that do not present methods to measure the level of effectiveness and Coronavirus disease 2019 (COVID-19) vaccine interventions.
2.2. Search Strategy and Selection Process
For a comprehensive search, the keywords “vaccination”, “vaccine”, “vaccine hesitancy”, “education”, “strategies”, and “refusal” were used in combination with the “AND” operator. The literature search was carried out in the MEDLINE, Dialnet, Scielo, CINAHL, and CENTRAL databases. From the keywords, a search string was developed for each database (Table S3). The initial search was conducted on 24-02-2022 with subsequent updates on 20-09-2022 and 07-08-2023.
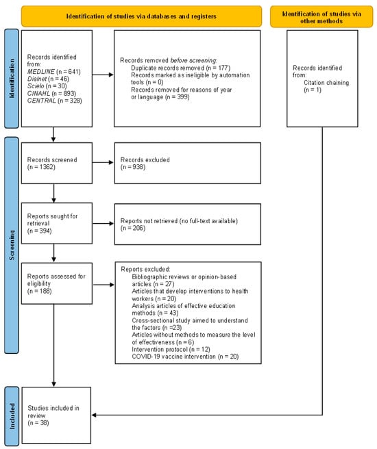
The article selection process was conducted following the PRISMA approach (Figure 1). Two investigators (A.M.-S. and M.P.-F.) reviewed the eligibility of the identified studies using the inclusion and exclusion criteria and examined the title and abstract for subsequent retrieval and analysis of the full text. Disagreements were resolved by consensus or with the involvement of a third investigator (A.D.-F.). The reasons for excluding these articles are detailed in the Table S4.
Figure 1.
Prisma flow diagram of the complete search process.
2.3. Data Extraction
For data extraction and synthesis, we tabulated the data where the following characteristics of the study were included: (A) authors, year of publication, (B) study design, (C) sample size, study population and country, (D) vaccine considered, (E) information about the intervention being studied, such as the type of intervention or its content, (F) method of evaluation of efficacy and (G) study conclusions.
2.4. Synthesis of Results
For the analysis of the results, the data were entered into a spreadsheet and the results were divided, according to the type of intervention, into four subcategories based on the classification in the article by Singh et al. [15] using participants, interventions, comparisons, outcomes, and study design (PICO) strategy [20]:
- Community education: Dissemination of information adapted to specific groups of the population through health workers, mobilizers, and community defenders, proposing an education program with different sessions and activities.
- Tailored message: Establish a personalized and individual message, through a private visit or online.
- Media: Mobilization of information through different campaigns and platforms, such as radio, television, and print media.
- New technologies: Use of the Internet as a means of disseminating information, sharing stories and experiences and promoting the search for truthful information on the Internet.
The subcategories of the classification are not mutually exclusive; thus, the same article may contain more than one type of intervention.
2.5. Quality Assessment and Risk of Bias
Given the wide variability in the types of studies, three different tools were used to assess the risk of bias: (I) NIH quality assessment tool for before–after (pre–post) studies without a control group [21]; (II) the Cochrane risk-of-bias tool for randomized trials (RoB 2) [22]; and (III) the risk of bias in nonrandomized studies of interventions (ROBINS-I) tool [23]. Two reviewers (A.M.-S. and M.P.-F.) independently assessed the risk of bias in the included studies. A third reviewer (A.D.-F.) was consulted to resolve disagreements.
3. Results
The PRISMA diagram with the flow of studies through the review is presented in Figure 1. The search identified 1938 unreviewed articles. After deleting duplicates and those that did not meet the criteria of year of publication or language, 1362 articles were screened using the title and abstract. A total of 938 papers were excluded because the articles did not develop interventions to improve the degree of acceptance of vaccines, and 206 articles were not retrieved because the full text was not found, leaving 188 articles for full-text recovery and review. For the final review, 38 studies were use: 14 were related to community education [24,25,26,27,28,29,30,31,32,33,34,35,36,37], 8 used the tailored message method [38,39,40,41,42,43,44,45], 12 employed media [25,27,29,32,35,37,46,47,48,49,50,51], and 23 involved the intervention of new technologies [25,28,29,30,32,39,41,42,43,44,45,49,51,52,53,54,55,56,57,58,59,60,61]. Table S5 lists the main characteristics of all the studies included in the systematic review.
Regarding the date of publication, 71% of the articles selected were published in the last three years. In addition, 42.1% of the interventions involved general childhood vaccination (diphtheria, tetanus, poliomyelitis, whooping cough, Hemophilus influenzae type b (Hib), pneumo-coccus or MMR), 39.5% of which involved the HPV vaccine, and 18.5% involved the influenza vaccine. All included studies were published in English. Most of the interventions were administered to adolescents (29%) and parents of young children (37%), while only 2 articles [24,55] addressed HCWs. To assess efficacy, 37% of the studies compared vaccination rates before and after the intervention. The remaining 63% relied on pre- and post-intervention questionnaires, of which only five [29,33,47,58,60] were validated or peer-reviewed. Considering the number of types of strategies developed in each article, 22 articles involved a single type of intervention, while 16 articles involved multicomponent interventions. Table 1 shows the division of the strategies according to the number and type of intervention they received.
Table 1.
Strategies and target population of the included studies according to the type of intervention.
3.1. Community Education
Of the thirty-eight articles included, fourteen performed interventions based on community education activities. This type of intervention has been employed in general childhood vaccination contests, including MMR, as well as for HPV vaccination. Consequently, the majority of the analyzed studies have focused on adolescent populations [25,26,27,29,30,32,33,35], with fewer studies conducted among the parents of young children [27,28,37] and university students [31,33].
This type of intervention consisted of the development of structured health education programs designed for one or more sessions. These programs included specific content, personalized activities, and adaptations tailored to the target population [24,25,26,27,29,30,31,32,33,34,35,36,37]. These interventions were typically implemented through in-person sessions conducted primarily at schools [25,26,27,29,30,32,34], hospitals [24,36], and other community centers [28]. Additionally, online platforms such as Webex or Moodle [31] and resources such as mHealth or e-mail [28,33] were used. Commonly, written materials were provided to both the adolescents and parents of young children [25,27,29,35], and audiovisual resources, such as videos [29,30,32], were used to reinforce the knowledge acquired during these educational programs.
The implementation of community education interventions had a positive impact, resulting in an increase in population motivation to encourage their friends and family to get vaccinated [26], an increase in intentions to receive the vaccine, more widespread knowledge about vaccination, vaccination rates, and a reduction in fear [27,28,29,30,31,34,36]. Additionally, a statistically significant increase in knowledge was observed between the period before and after the adoption of the strategies [24,27,31] and between those groups that received tailored and developed interventions increase in the control arm [33]. However, some studies have reported no significant increase in vaccination rates [35].
Several articles [25,32] have employed the use of the CARD system. The comfort–ask–relax–distract (CARD) system is a vaccine delivery framework that integrates evidence-based interventions to reduce stress-related responses and improve the vaccination experience for students receiving vaccinations at school [32]. This system operates through in-class lessons and the use of distracting elements such as games or verbal support provided by classmates [25]. In addition, reminders and brochures with general information on vaccines for parents were included. It has been demonstrated that the CARD reduces stress-related responses in students receiving vaccinations at school, and these responses are positively received by students and public health staff [32].
3.2. Tailored Message
Eight articles [38,39,40,41,42,43,44,45] used interventions based on tailored message methods on adult populations, mainly on future parents or parents whose children were under 16 years of age. More than half of the studies that targeted parents developed interventions for general vaccines administered during childhood and adolescence [32,33,35,37]. The remaining studies have developed interventions for HPV and influenza vaccines in the adult population [40,42,44,45].
These interventions have developed through face-to-face interactions in clinic offices, hospital rooms, community locations, or home visits [38,40]. The remaining articles utilized web-based interventions, creating individually tailored web pages or videos based on information gathered from a baseline survey [39,41,42,43,44,45]. In particular, three articles have employed the MomsTalkShots application [41,42,43]. The MomsTalkShots is an individually tailored educational app that provides algorithmically personalized videos that take into account parents’ specific needs, attitudes, beliefs, and intentions related to vaccines.
When we analyzed the articles concerning the methods used to develop tailored messages, we were able to identify two main approaches: (I) utilizing structured and standardized scripts tailored to address the specific reasons for vaccine hesitancy and the characteristics of the patients [39,40,45]; and (II) employing communication strategies to design messages aimed at achieving persuasive communication and behavioral change, such as motivational interviewing (MI), the elaboration likelihood model (ELM), or the extended parallel processing model (EPPM) [38,41,42,43,44].
The findings from these studies indicate that the implementation of tailored message techniques leads to various positive outcomes. It increased the intention to get vaccinated [38,40,45], improved knowledge levels [41,42] and information-seeking behavior [44], and increased the perceived risk of vaccine-preventable diseases [43]. The lack of statistically significant differences was only found in a few studies [39,40,45].
3.3. Media
The use of the media as an intervention to reduce concerns about vaccination has been identified in twelve articles [25,27,29,32,35,37,46,47,48,49,50,51]. These interventions have mainly focused on the HPV vaccine [27,29,35,46,47,49,50] and, to a lesser extent, on general childhood vaccines [25,32,37,48] and influenza [51]. For this reason, these articles have primarily focused on adolescents, with less emphasis on parents and university students, such as community education articles.
In terms of the nature of the intervention, most of the articles used the printed copy (handout, flyer, leaflet, mail, newspaper article) as the main method of communication [25,27,29,32,35,37,46,47,49,50,51], and only one article used phone calls and short messaging service (SMS) [48]. Other media such as posters (posters, photography, bill-boards) or audio visual media (radio and television) were not used in the interventions analyzed.
Notably, this type of intervention was used in combination with another type of intervention in most of the articles [25,27,29,32,35,37] and with new technologies [25,29,32,49,51]; four articles that used only media intervention were found [46,47,48,50].
Some articles have reported no statistically significant differences after intervention [35,50] or have preferred alternative intervention methods over media-based approaches [37,48,51]. However, this type of strategy results in a significant positive change in beliefs regarding vaccination safety, effectiveness, knowledge, and importance in preventing illness [25,27,29,32,47,49], and it also increases vaccine series initiation and completion rates [46].
3.4. New Technologies
Intervention techniques based on the development of new technologies were identified in twenty-three papers analyzed in this review [25,28,29,30,32,39,41,42,43,44,45,49,51,52,53,54,55,56,57,58,59,60,61]. Given the large number of items in this category, it is necessary to perform an analysis according to the target population:
- Adolescents: Five articles [25,29,30,32,57] focused on school students as a target population. For this group, new technologies, such as the HPV and MMR vaccines, have been used in combination with community education and media interventions and have focused on vaccines for general childhood immunization. Videos are the primary means of message delivery and are accessible both in the classroom and externally through websites or mobile apps.
- Adult population: Out of the 15 articles identified for parents of young children, adults, and HCWs, all of which addressed general childhood vaccination, HPV vaccination and influenza; six of them [39,41,42,43,44,45] integrated tailored message interventions with new technologies. These interventions included the utilization of websites and mobile applications, such as MomsTalkShots, to deliver personalized information through video or messaging.In contrast, the remaining articles [28,53,54,55,56,58,59,60,61] exclusively relied on interventions focused on new technologies. These papers utilized various methods for disseminating information, including social media and applications, such as Facebook, WhatsApp, and HPVcancerFree [54,58,60]; private intranet platforms; and tools, such as hospital intranets, survey platforms or mHealth [28,53,55,59,61]; and email [56]. Information transmission methods include the use of audio visual media such as videos, interactive games (e.g., VR), and vaccine choice experiments [53,55,56,60,61]; the utilization of forums for posting queries and obtaining expert responses [54]; and the publication of written content on webpages, including advertisements, posts, articles, surveys or push messages [28,53,54,55,58,59].
- University students: We found three articles [49,51,52] targeting university students, that focused on HPV and influenza vaccination. They combined new technology with media-based intervention utilizing methods such as video usage and written information distribution, mainly through email and social media.
When examining the results of articles exclusively using new technology-based methods, many have reported an increase in willingness to receive vaccines [52,59,61], a greater impact when information is conveyed through immersive media platforms [53], an increase in vaccination rates [54,55], heightened knowledge and awareness regarding vaccinations, and efforts to counter vaccine misinformation [56,57,58,60].
3.5. Risk of Bias
Of a total of 38 studies, six were assessed with the NIH quality assessment tool for before–after (pre–post) studies without a control group, 8 were evaluated with the ROBINS-I tool, and 24 were assessed with the RoB 2 tool (Tables S6–S9). Of the papers assessed with the ROBINS-I tool, six noted a moderate risk of bias, and two noted serious risk of bias. Whereas studies evaluated with the RoB 2 tool, fifteen reported a low risk of bias, six studies noted some concerns, and three studies reported a high risk of bias.
4. Discussion
This systematic review aimed to describe and analyze different strategies to improve the degree of acceptance of vaccines, address doubts about vaccination, and/or increase confidence and motivation. We found that the most used strategy was new technology-based interventions in single or multicomponent interventions. Tailored message strategies and community education programs also provided several advantages directed mainly at parents and adolescents and media campaigns were used as a support strategy for community education and new technology strategies. The search was focused on interventions that increase vaccination for the motivation and thinking and feeling domains introduced by the BeSD model; however, we identified in some types of interventions, characteristic of other domains (Table 2).
Table 2.
Main population, advantages, and related BeSD domain of each type of intervention.
The analysis of strategies revealed that all the articles employed two distinct methods to assess the effectiveness of interventions:
- Vaccination coverage is employed by several reviews as an effective method of assessment, as it serves as a prime indicator of protection against vaccine-preventable diseases [62]. However, receiving a vaccine does not necessarily eliminate hesitancy, as demonstrated by the findings of Willis et al. in a survey of COVID-19-vaccinated individuals, in which 60% expressed some level of hesitancy after being vaccinated [63]. Compliance with vaccination should not be equated with the absence of hesitancy, as this overlooks ongoing concerns individuals may have before or after vaccination [63,64,65].
- Pre–post surveys are also used to assess interventions. However, our analysis found that most studies relied on self-developed measurement scales, which reduces homogeneity and limits comparability. Five articles [29,33,47,58,60] used validated or peer-reviewed surveys, such as the Parent Attitudes about Childhood Vaccines (PACV) [66] or HPV Adolescent Vaccine Intervention Questionnaire (HAVIQ) [67]. Interventions aimed at improving vaccine acceptance must be tailored to the specific target population, geographic context, and other relevant factors. For this reason, they are not directly comparable, as each one assesses vaccine hesitancy in different populations and for different vaccines.
Our review analyzed interventions targeting the motivation, thinking, and feeling domains of the BeSD model of vaccination. However, we found a large variability of interventions targeting the remaining domains of the BeSD model [2,15]:
- The use of incentives helps during the COVID-19 pandemic to accelerate vaccination [68,69,70]. However, in low- and middle-income countries, monetary incentives can exploit economic vulnerability, intensify doubts, about vaccine safety and governmental authority, and foster resentment among populations who complied with their duty to vaccinate without incentives [69]. In addition, incentives create expectations for compensation in other areas, while persuasion-based interventions are the least effective in reducing vaccine hesitancy [16,69,71].
- Countries like France, Italy, or Portugal have developed compulsory vaccination policies, justified by a favorable balance of risks, scientific evidence, and the reduction in inequalities [72,73]. However, such policies infringe on personal autonomy, provoke backlash, and raise exemption rates [74,75,76]. Our findings align with the Spanish bioethics committee’s recommendations, which advocate for evidence-based educational, communicative, and behavioral strategies [12,77].
- The modern landscape, marked by technological advances and the rise of social media, has driven the development of innovative strategies, such as the use of tools like artificial intelligence and video games, as well as the mobilization of online influencers [78,79,80].
- In our review, there are only two interventions aimed at addressing hesitancy among HCWs. In addition to the interventions we have mentioned, there are strategies aimed at HCWs to improve their awareness and implementation of best immunization practices. These include team discussions and communication training using a “presumptive communication approach” or motivational interviewing [81,82,83], weekly educational flyers [84], and role-playing or virtual reality simulations [85,86,87].
The present study classification method followed the division of Singh et al. [15], but the literature offers other systems. Jarret et al. [16] categorized articles into dialog-based, incentive-based, reminder–recall-based, or multicomponent interventions. Nour [88] classified interventions based on technological, mass marketing, campaigning, or direct communication strategies. MacDonald et al. [89] provided two lists with twelve evidence-informed strategies at the vaccine program and individual patient levels. Some, such as Dubé et al. [90], did not develop this classification because the number of interventions similar enough to be grouped together was low. The variety among the different types of classifications underlines the idea that a large number of interventions can be applied to reduce vaccination concerns.
However, the classification of vaccine interventions does not consider the specific characteristics of each intervention, such as the target population, type of vaccine, reasons for hesitancy, and country. Overcoming vaccine hesitancy is a complex process that necessitates identification, diagnosis, and tailored intervention that addresses cognitive, emotional, and skill-based learning areas with the goal of achieving vaccine literacy [89,91]. Vaccine literacy entails the ability to understand health information and services, empowering individuals with the skills and knowledge needed to make appropriate decisions through effective communication on vaccine efficacy, safety, and potential side effects, and individual protective benefits [92,93].
Consequently, to improve evaluation and facilitate the meaningful comparisons of short- and medium-term impacts, it is necessary to consider the domains of the BeSD model and use validated pre-post intervention surveys designed to measure vaccination hesitancy in various populations and vaccines, such as the Vaccination Confidence Index [94] or the Vaccination Attitudes Examination (VAX) [95]. Our study explores the effectiveness of different interventions that improve vaccine acceptance, addressing the causes and different dimensions behind vaccine hesitancy as an essential prior step for the formulation of public health policies to improve vaccine coverage in a context-sensitive manner [96], which improve trust in healthcare professionals’ interventions [97]. Further research is needed to evaluate the long-term objectives of interventions aimed at reducing vaccine hesitancy, considering vaccination rates in order to track trends within the general population.
Apart from the impossibility of comparing different interventions, one of the main limitations we can find in the review is the lack of literature analyzing different types of populations together with the search of articles only in English and Spanish, which could limit the validity of our results. Other reviews [15,16] have reported the presence of populations whose hesitancy was due to the influence of religious leaders, in which interventions were used in which leaders and health professionals were involved in a coordinated way. However, this reason for hesitancy was not mentioned in any of the articles reviewed and was not analyzed in the review. In addition, the different studies analyzed have been developed in different countries, implying that different cultural contexts may influence the concept of immunization; and there are other factors that may influence hesitancy that were not analyzed in the review, such as educational and socioeconomic level.
Another limitation is the inclusion of five studies assessed as having a high or serious risk of bias. Although this was considered in our analysis, these studies did not have a significant impact on the overall results. Their primary role was to support findings already established by other, more robust studies. As such, their inclusion did not alter the main outcomes or conclusions of our review.
Finally, our review focused on interventions targeting the motivation and thinking and feeling domains of the BeSD model of vaccination, as they seem to be more effective [16]. However, elements of other domains were noted in the interventions, suggesting that future research should consider these for more comprehensive results.
5. Conclusions
Vaccine hesitancy is a serious public health problem that puts many vulnerable people at risk. Studies investigating the factors contributing to low vaccination rates highlight the importance of understanding and addressing the underlying causes, as well as enhancing public health education to increase knowledge about vaccines and reduce hesitancy. Although most of the strategies analyzed had a positive effect, caution should be exercised in drawing general conclusions about the effectiveness of the interventions due to variations between populations, vaccines, and methods of design and evaluation.
Vaccine hesitancy is a complex issue, and no standalone strategy can fully address it. The design of an effective intervention to improve vaccination uptake must include understanding the reasons for hesitancy, developing structured and organized content, tailoring vaccination to the target population and proposing a vaccine, using validated surveys for assessment, and employing different types of interventions to achieve greater effectiveness.
These methods have been shown to enhance trust in healthcare professionals and thus their recommendations. Public health initiatives should take these factors into account to address and reduce vaccine hesitancy more effectively.
Supplementary Materials
The following supporting information can be downloaded at https://www.mdpi.com/article/10.3390/vaccines13060618/s1, Table S1: PRISMA 2020 checklist; Table S2: PRISMA 2020 for abstracts checklist; Table S3: Search strategy; Table S4: List of excluded studies; Table S5: Summary of the characteristics of included studies; Table S6: Classification of articles according to the tool selected for assessing risk of bias; Table S7: Studies assessed with NIH quality assessment tool for before-after (pre–post) study without control group; Table S8: Studies assessed with ROBINS-I tool for non-randomized studies of interventions; Table S9: Studies assessed with RoB 2 tool for in randomized trials.
Author Contributions
Conceptualization, A.M.-S., A.D.-F., and M.P.-F.; methodology, A.M.-S., A.D.-F., and M.P.-F.; formal analysis, A.M.-S., A.D.-F., M.P.-F., A.I.C.-C., B.N.-P., and A.M.P.-S.; resources, A.M.-S., A.D.-F., and M.P.-F.; writing—original draft preparation, A.M.-S., A.D.-F., and M.P.-F.; writing—review and editing, A.D.-F., M.P.-F., A.I.C.-C., B.N.-P., and A.M.P.-S.; supervision, A.D.-F. and M.P.-F. All authors have read and agreed to the published version of the manuscript. The corresponding authors will have full access to the data in the study and have final responsibility for the decision to submit for publication.
Funding
This research received no external funding.
Data Availability Statement
The data presented in this study are available in this article and the Supplementary Materials.
Conflicts of Interest
The authors declare no conflicts of interest. The authors declare that this research was conducted in the absence of any commercial or financial relationships that could be construed as a potential conflict of interest.
Abbreviations
The following abbreviations are used in this manuscript:
| WHO | World Health Organization |
| BeSD | Behavioral and Social Drivers |
| SAGE | Strategic Advisory Group of Experts on Immunization |
| PRISMA | Preferred Reporting Items for Systematic Reviews and Meta-Analyses |
| PICO | Population/Intervention/Comparator/Outcome |
| Hib | Hemophilus influenza type B |
| BCG | Bacille Calmette-Guerin |
| MMR | Measles, Mumps, and Rubella |
| HPV | Human Papillomavirus |
| HICs | High-Income Countries |
| LMICs | Lower Middle-Income Countries |
| COVID-19 | Coronavirus Disease 2019 |
| RoB 2 | Cochrane Risk-of-Bias Tool |
| ROBINS-I | Risk of Bias In Non-randomized Studies of Interventions |
| CARD | Comfort–Ask–Relax–Distract |
| MI | Motivational Interviewing |
| ELM | Elaboration Likelihood Model |
| EPPM | Extended Parallel Processing Model |
| SMS | Short Message Service |
| HCWs | Healthcare Workers |
| PACV | Parent Attitudes about Childhood Vaccines |
| HAVIQ | HPV Adolescent Vaccine Intervention Questionnaire |
| VAX | Vaccination Attitudes Examination |
References
- World Health Organization. Ten Health Issues WHO Will Tackle This Year. Available online: https://www.who.int/news-room/spotlight/ten-threats-to-global-health-in-2019 (accessed on 28 September 2022).
- World Health Organization. Understanding the behavioural and social drivers of vaccine uptake WHO position paper—May 2022. Wkly. Epidemiol. Rec. 2022, 97, 209–224. Available online: https://iris.who.int/handle/10665/354458 (accessed on 10 October 2024).
- Larson, H.J.; Gakidou, E.; Murray, C.J.L. The Vaccine-Hesitant Moment. N. Engl. J. Med. 2022, 387, 58–65. [Google Scholar] [CrossRef] [PubMed]
- Buiga, A.A.M.; Molina, E.M.E.; Martín, G.F. Una revolución que no cesa. Enferm. Docente 2022, 115, 32–37. [Google Scholar]
- World Health Organization. Immunization Coverage. Available online: https://www.who.int/news-room/fact-sheets/detail/immunization-coverage (accessed on 21 October 2024).
- KFF. Latest Data on COVID-19 Vaccinations by Race/Ethnicity. Available online: https://www.kff.org/coronavirus-covid-19/issue-brief/latest-data-on-covid-19-vaccinations-by-race-ethnicity (accessed on 20 October 2024).
- Dimitrova, A.; Carrasco-Escobar, G.; Richardson, R.; Benmarhnia, T. Essential childhood immunization in 43 low- and middle-income countries: Analysis of spatial trends and socioeconomic inequalities in vaccine coverage. PLoS Med. 2023, 20, e1004166. [Google Scholar] [CrossRef]
- Brewer, N.T.; Chapman, G.B.; Rothman, A.J.; Leask, J.; Kempe, A. Increasing Vaccination: Putting Psychological Science Into Action. Psychol. Sci. Public Interest 2017, 18, 149–207. [Google Scholar] [CrossRef]
- World Health Organization. A 30-Fold Rise of Measles Cases in 2023 in the WHO European Region Warrants Urgent Action. Available online: https://www.who.int/europe/news/item/14-12-2023-a-30-fold-rise-of-measles-cases-in-2023-in-the-who-european-region-warrants-urgent-action (accessed on 7 February 2024).
- World Health Organization. Weekly Regional Diphtheria Bulletin 004: 26 Nov 2023. Available online: https://iris.who.int/handle/10665/375044 (accessed on 7 February 2024).
- Newtral. Claves del Brote de Tosferina en Guadalajara que ha Afectado a 137 Personas. Available online: https://www.newtral.es/brote-de-tosferina-en-guadalajara-con-137-afectados/20240202/ (accessed on 7 February 2024).
- Omer, S.B.; Benjamin, R.M.; Brewer, N.T.; Buttenheim, A.M.; Callaghan, T.; Caplan, A.; Carpiano, R.M.; Clinton, C.; DiResta, R.; A Elharake, J.; et al. Promoting COVID-19 vaccine acceptance: Recommendations from the Lancet Commission on Vaccine Refusal, Acceptance, and Demand in the USA. Lancet 2021, 398, 2186–2192. [Google Scholar] [CrossRef]
- Hotez, P.J. COVID19 meets the antivaccine movement. Microbes Infect. 2020, 22, 162–164. [Google Scholar] [CrossRef]
- Reno, C.; Maietti, E.; Fantini, M.P.; Savoia, E.; Manzoli, L.; Montalti, M.; Gori, D. Enhancing COVID-19 Vaccines Acceptance: Results from a Survey on Vaccine Hesitancy in Northern Italy. Vaccines 2021, 9, 378. [Google Scholar] [CrossRef]
- Singh, P.; Dhalaria, P.; Kashyap, S.; Soni, G.K.; Nandi, P.; Ghosh, S.; Mohapatra, M.K.; Rastogi, A.; Prakash, D. Strategies to overcome vaccine hesitancy: A systematic review. Syst. Rev. 2022, 11, 78. [Google Scholar] [CrossRef]
- Jarrett, C.; Wilson, R.; O’Leary, M.; Eckersberger, E.; Larson, H.J.; SAGE Working Group on Vaccine Hesitancy. Strategies for addressing vaccine hesitancy—A systematic review. Vaccines 2015, 33, 4180–4190. [Google Scholar] [CrossRef]
- World Health Organization. Behavioural and Social Drivers of Vaccination: Tools and Practical Guidance for Achieving High Uptake. Available online: https://iris.who.int/handle/10665/354459 (accessed on 20 October 2024).
- Page, M.J.; McKenzie, J.E.; Bossuyt, P.M.; Boutron, I.; Hoffmann, T.C.; Mulrow, C.D.; Shamseer, L.; Tetzlaff, J.M.; Akl, E.A.; Brennan, S.E.; et al. Declaración PRISMA 2020: Una guía actualizada para la publicación de revisiones sistemáticas. Rev. Esp. Cardiol. Engl. Ed. 2021, 74, 790–799. [Google Scholar] [CrossRef] [PubMed]
- Higgins, J.; Thomas, J.; Chandler, J.; Cumpston, M.; Li, T.; Page, M.; Welch, V.A. (Eds.) Cochrane Handbook for Systematic Reviews of Interventions Version 6.3 (Updated February 2022); Cochrane: London, UK, 2022. [Google Scholar]
- Richardson, W.S.; Wilson, M.C.; Nishikawa, J.; Hayward, R.S.A. The well-built clinical question: A key to evidence-based decisions. ACP J. Club. 1995, 123, A12–A13. [Google Scholar] [CrossRef] [PubMed]
- The National Heart, Lung, and Blood Institute, NIH. Study Quality Assessment Tools|NHLBI, NIH. Available online: https://www.nhlbi.nih.gov/health-topics/study-quality-assessment-tools (accessed on 3 March 2023).
- Sterne, J.A.C.; Savović, J.; Page, M.J.; Elbers, R.G.; Blencowe, N.S.; Boutron, I.; Cates, C.J.; Cheng, H.Y.; Corbett, M.S.; Eldridge, S.M.; et al. RoB 2: A revised tool for assessing risk of bias in randomised trials. BMJ 2019, 366, l4898. [Google Scholar] [CrossRef]
- Sterne, J.A.C.; Hernán, M.A.; Reeves, B.C.; Savović, J.; Berkman, N.D.; Viswanathan, M.; Henry, D.; Altman, D.G.; Ansari, M.T.; Boutron, I.; et al. ROBINS-I: A tool for assessing risk of bias in non-randomised studies of interventions. BMJ 2016, 355, i4919. [Google Scholar] [CrossRef]
- Costantino, C.; Restivo, V.; Gaglio, V. Effectiveness of an educational intervention on seasonal influenza vaccination campaign adherence among healthcare workers of the Palermo University Hospital, Italy. Annali di Igiene: Medicina Preventiva e di Comunità 2019, 31, 35–44. [Google Scholar]
- Freedman, T.; Taddio, A.; Alderman, L.; McDowall, T.; Devlaming-Kot, C.; McMurtry, C.M.; MacDonald, N.; Alfieri-Maiolo, A.; Stephens, D.; Wong, H.; et al. The CARDTM System for improving the vaccination experience at school: Results of a small-scale implementation project on student symptoms. Paediatr. Child. Health 2019, 24 (Suppl. 1), S42–S53. [Google Scholar] [CrossRef]
- Blanchard, J.L.; Johnson, C.; McIntyre, M.; Crowcroft, N.S.; McLellan, A. A pre and post intervention study measuring the effect of interactive education on adolescent perceptions of vaccines, vaccine safety and disease risk. J. Public Health 2020, 42, e272–e277. [Google Scholar] [CrossRef] [PubMed]
- Icardi, G.; Costantino, C.; Guido, M.; Zizza, A.; Restivo, V.; Amicizia, D.; Tassinari, F.; Piazza, M.F.; Paganino, C.; Casuccio, A.; et al. Burden and Prevention of HPV. Knowledge, Practices and Attitude Assessment Among Pre-Adolescents and their Parents in Italy. Curr. Pharm. Des. 2020, 26, 326–342. [Google Scholar] [CrossRef]
- Johri, M.; Chandra, D.; Kone, K.G.; Sylvestre, M.-P.; Mathur, A.K.; Harper, S.; Nandi, A. Social and Behavior Change Communication Interventions Delivered Face-to-Face and by a Mobile Phone to Strengthen Vaccination Uptake and Improve Child Health in Rural India: Randomized Pilot Study. JMIR MHealth UHealth 2020, 8, e20356. [Google Scholar] [CrossRef]
- Davies, C.; Marshall, H.S.; Zimet, G.; McCaffery, K.; Brotherton, J.M.L.; Kang, M.; Garland, S.; Kaldor, J.; McGeechan, K.; Skinner, S.R.; et al. Effect of a School-Based Educational Intervention About the Human Papillomavirus Vaccine on Psychosocial Outcomes Among Adolescents. JAMA Netw. Open 2021, 4, e2129057. [Google Scholar] [CrossRef]
- Bethke, N.; Gellert, P.; Knoll, N.; Weber, N.; Seybold, J. A school-based educational on-site vaccination intervention for adolescents in an urban area in Germany: Feasibility and psychometric properties of instruments in a pilot study. BMC Public Health 2022, 22, 60. [Google Scholar] [CrossRef] [PubMed]
- Boccalini, S.; Vannacci, A.; Crescioli, G.; Lombardi, N.; Del Riccio, M.; Albora, G.; Shtylla, J.; Masoni, M.; Guelfi, M.R.; Bonanni, P.; et al. Knowledge of University Students in Health Care Settings on Vaccines and Vaccinations Strategies: Impact Evaluation of a Specific Educational Training Course during the COVID-19 Pandemic Period in Italy. Vaccines 2022, 10, 1085. [Google Scholar] [CrossRef]
- Taddio, A.; Gudzak, V.; Jantzi, M.; Logeman, C.; Bucci, L.M.; MacDonald, N.E.; Moineddin, R. Impact of the CARD (Comfort Ask Relax Distract) system on school-based vaccinations: A cluster randomized trial. Vaccine 2022, 40, 2802–2809. [Google Scholar] [CrossRef] [PubMed]
- Zhang, X.; Chen, H.; Zhou, J.; Huang, Q.; Feng, X.Y.; Li, J. Impact of web-based health education on HPV vaccination uptake among college girl students in Western and Northern China: A follow-up study. BMC Women’s Health 2022, 22, 46. [Google Scholar] [CrossRef]
- Zhang, X.; Liu, C.-R.; Wang, Z.-Z.; Ren, Z.-F.; Feng, X.-X.; Ma, W.; Gao, X.-H.; Zhang, R.; Brown, M.D.; Qiao, Y.-L.; et al. Effect of a school-based educational intervention on HPV and HPV vaccine knowledge and willingness to be vaccinated among Chinese adolescents: A multi-center intervention follow-up study. Vaccine 2020, 38, 3665–3670. [Google Scholar] [CrossRef] [PubMed]
- Davies, C.; Marshall, H.S.; Brotherton, J.M.; McCaffery, K.; Kang, M.; Macartney, K.; Garland, S.M.; Kaldor, J.; Zimet, G.; Skinner, S.R. Complex intervention to promote human papillomavirus (HPV) vaccine uptake in school settings: A cluster-randomized trial. Prev. Med. 2023, 172, 107542. [Google Scholar] [CrossRef]
- Liu, R.; Du, X.; Patel, A.; Di Tanna, G.L.; Zhao, Y.; Wang, Z.; Fan, Y.; Zhang, H.; Yi, Y.; Dong, J.; et al. Cluster randomized trial of influenza vaccination in patients with acute heart failure in China: A mixed-methods feasibility study. PLoS Glob. Public Health 2023, 3, e0001947. [Google Scholar] [CrossRef]
- Songol, A.; Amiri-Farahani, L.; Haghani, S.; Pezaro, S.; Omrani Saravi, S. Comparing the effect of parental education via both lecture and film upon vaccination uptake for children under one year of age: A cluster randomized clinical trial. Vaccine 2023, 41, 1067–1073. [Google Scholar] [CrossRef]
- Gagneur, A.; Lemaître, T.; Gosselin, V.; Farrands, A.; Carrier, N.; Petit, G.; Valiquette, L.; De Wals, P. A postpartum vaccination promotion intervention using motivational interviewing techniques improves short-term vaccine coverage: PromoVac study. BMC Public. Health 2018, 18, 811. [Google Scholar] [CrossRef]
- Glanz, J.M.; Wagner, N.M.; Narwaney, K.J.; Pyrzanowski, J.; Kwan, B.M.; Sevick, C.; Resnicow, K.; Dempsey, A.F. Web-Based Tailored Messaging to Increase Vaccination: A Randomized Clinical Trial. Pediatrics 2020, 146, e20200669. [Google Scholar] [CrossRef]
- Muñoz-Miralles, R.; Nadeu, S.B.; Masoliver, C.S.; Gallego, A.M.; del Canto, J.G.; Peña, J.M.; Esteve, A.M.B. Effectiveness of a brief intervention for acceptance of influenza vaccine in reluctant primary care patients. Gac. Sanit. 2022, 36, 446–451. [Google Scholar] [CrossRef] [PubMed]
- Salmon, D.A.; Limaye, R.J.; Dudley, M.Z.; Oloko, O.K.; Church-Balin, C.; Ellingson, M.K.; Spina, C.I.; Brewer, S.E.; Orenstein, W.A.; Halsey, N.A.; et al. MomsTalkShots: An individually tailored educational application for maternal and infant vaccines. Vaccine 2019, 37, 6478–6485. [Google Scholar] [CrossRef] [PubMed]
- Dudley, M.Z.; Taitel, M.S.; Smith-Ray, R.; Singh, T.; Limaye, R.J.; Salmon, D.A. Effect of educational and financial incentive-based interventions on immunization attitudes, beliefs, intentions and receipt among close contacts of pregnant women. Vaccine 2021, 39, 961–967. [Google Scholar] [CrossRef] [PubMed]
- Dudley, M.Z.; Omer, S.B.; O’leary, S.T.; Limaye, R.J.; Ellingson, M.K.; Spina, C.I.; Brewer, S.E.; Bednarczyk, R.A.; Chamberlain, A.T.; Malik, F.; et al. MomsTalkShots, tailored educational app, improves vaccine attitudes: A randomized controlled trial. BMC Public Health 2022, 22, 2134. [Google Scholar] [CrossRef]
- Reno, J.E.; Dempsey, A.F. Promoting HPV vaccination among Latinx: An application of the extended parallel processing model. J. Behav. Med. 2023, 46, 324–334. [Google Scholar] [CrossRef]
- Reno, J.E.; Sevick, C.; Maertens, J.; Dempsey, A.F. Is tailored messaging more effective? An analysis of a digital health intervention to promote HPV vaccination intent among Latinx. J. Behav. Med. 2023, 46, 335–345. [Google Scholar] [CrossRef]
- Suryadevara, M.; Bonville, C.A.; Cibula, D.A.; Domachowske, J.B. Multi-component cancer prevention awareness program to improve adolescent HPV vaccine uptake. Hum. Vaccines Immunother. 2021, 17, 1052–1058. [Google Scholar] [CrossRef]
- Keselman, A.; Zeyer, A. Tipping the Fencesitters—The Impact of a Minimal Intervention Enhanced with Biological Facts on Swiss Student Teachers’ Perception of HPV Vaccination Safety. Vaccines 2022, 10, 175. [Google Scholar] [CrossRef]
- Ibraheem, R.; Akintola, M.; Abdulkadir, M.; Ameen, H.; Bolarinwa, O.; Adeboye, M. Effects of call reminders, short message services (SMS) reminders, and SMS immunization facts on childhood routine vaccination timing and completion in Ilorin, Nigeria. Afr. Health Sci. 2021, 21, 951–959. [Google Scholar] [CrossRef]
- Takahashi, Y.; Nishida, H.; Ichinose, T.; Miyagawa, Y.; Kido, K.; Hiraike, H.; Ishikawa, H.; Nagasaka, K. Effect of Different Educational Interventions on Knowledge of HPV Vaccination and Cervical Cancer among Young Women: A Preliminary Report. Int. J. Environ. Res. Public Health 2022, 19, 5191. [Google Scholar] [CrossRef]
- Froidevaux, L.; Fiorini-Bernasconi, C.; Campiche, V.; Gehri, M.; Jacto-Guillarmod, M.; Crisinel, P.A. School-based HPV Vaccination: Variation in Inter-school Vaccine Uptake not Influenced by the Introduction of a New Information Brochure. Asian Pac. J. Cancer Prev. 2023, 24, 249–255. [Google Scholar] [CrossRef] [PubMed]
- Mourad, N.; Mourad, L.; Halat, D.H.; Farah, Z.; Hendaus, M.; Trad, I.E.S.; El Akel, M.; Safwan, J.; Rahal, M.; Younes, S. Factors Affecting Influenza Vaccination Uptake and Attitudes among Lebanese University Students: The Impact of Vaccination Promotional Programs and COVID-19 Pandemic. Vaccines 2023, 11, 949. [Google Scholar] [CrossRef] [PubMed]
- Kim, M.; Lee, H.; Kiang, P.; Allison, J. Development and acceptability of a peer-paired, cross-cultural and cross-generational storytelling HPV intervention for Korean American college women. Health Educ. Res. 2019, 34, 483–494. [Google Scholar] [CrossRef]
- Nowak, G.J.; Evans, N.J.; Wojdynski, B.W.; Ahn, S.J.; Len-Rios, M.E.; Carera, K.; Hale, S.; McFalls, D. Using immersive virtual reality to improve the beliefs and intentions of influenza vaccine avoidant 18-to-49-year-olds: Considerations, effects, and lessons learned. Vaccine 2020, 38, 1225–1233. [Google Scholar] [CrossRef] [PubMed]
- Di Mauro, A.; Di Mauro, F.; Greco, C.; Giannico, O.V.; Grosso, F.M.; Baldassarre, M.E.; Capozza, M.; Schettini, F.; Stefanizzi, P.; Laforgia, N. In-hospital and web-based intervention to counteract vaccine hesitancy in very preterm infants’ families: A NICU experience. Ital. J. Pediatr. 2021, 47, 190. [Google Scholar] [CrossRef]
- Lecce, M.; Perrone, P.M.; Bonalumi, F.; Castaldi, S.; Cremonesi, M. 2020-21 Influenza vaccination campaign strategy as a model for the third COVID-19 vaccine dose? Acta Bio-Med. Atenei Parm. 2021, 92 (Suppl. 6), e2021447. [Google Scholar]
- Yousuf, H.; van der Linden, S.; Bredius, L.; van Essen, G.; Sweep, G.; Preminger, Z.; van Gorp, E.; Scherder, E.; Narula, J.; Hofstra, L. A media intervention applying debunking versus non-debunking content to combat vaccine misinformation in elderly in the Netherlands: A digital randomised trial. EClinicalMedicine 2021, 35, 100881. [Google Scholar] [CrossRef]
- Lewin, E.B.; Bellanti, D.M.; Boyd, C.C.; Orenstein, W.A.; Bellanti, J.A. An Exploratory Study of an Online Vaccine Education Program in Middle-School Students to Promote Vaccine Acceptance. J. Sch. Nurs. 2022, 40, 257–265. [Google Scholar] [CrossRef]
- Shegog, R.; Savas, L.S.; Healy, C.M.; Frost, E.L.; Coan, S.P.; Gabay, E.K.; Preston, S.M.; Spinner, S.W.; Wilbur, M.; Becker, E.; et al. AVPCancerFree: Impact of a digital behavior change intervention on parental HPV vaccine –related perceptions and behaviors. Hum. Vaccines Immunother. 2022, 18, 2087430. [Google Scholar] [CrossRef]
- Suzuki, Y.; Sukegawa, A.; Ueda, Y.; Sekine, M.; Enomoto, T.; Miyagi, E. Effect of a Brief Web-Based Educational Intervention on Willingness to Consider Human Papillomavirus Vaccination for Children in Japan: Randomized Controlled Trial. J. Med. Internet Res. 2021, 23, e28355. [Google Scholar] [CrossRef]
- Lubis, T.A.; Gunardi, H.; Herqutanto; Soedjatmiko, S.; Satari, H.I.; Alatas, F.S.; Pulungan, A.B. Educational videos to address vaccine hesitancy in childhood immunization. Vaccine 2022, 40, 5965–5970. [Google Scholar] [CrossRef] [PubMed]
- Suzuki, Y.; Sukegawa, A.; Ueda, Y.; Sekine, M.; Enomoto, T.; Melamed, A.; Wright, J.D.; Miyagi, E. The Effect of a Web-Based Cervical Cancer Survivor’s Story on Parents’ Behavior and Willingness to Consider Human Papillomavirus Vaccination for Daughters: Randomized Controlled Trial. JMIR Public Health Surveill. 2022, 8, e34715. [Google Scholar] [CrossRef] [PubMed]
- Nuffield Trust. Vaccination Coverage for Children and Mothers. Available online: https://www.nuffieldtrust.org.uk/resource/vaccination-coverage-for-children-and-mothers-1 (accessed on 9 February 2023).
- Willis, D.E.; Selig, J.P.; Andersen, J.A.; Hall, S.; Hallgren, E.; Williams, M.; Bryant-Moore, K.; McElfish, P.A. Hesitant but vaccinated: Assessing COVID-19 vaccine hesitancy among the recently vaccinated. J. Behav. Med. 2023, 46, 15–24. [Google Scholar] [CrossRef]
- Bedford, H.; Attwell, K.; Danchin, M.; Marshall, H.; Corben, P.; Leask, J. Vaccine hesitancy, refusal and access barriers: The need for clarity in terminology. Vaccine 2018, 36, 6556–6558. [Google Scholar] [CrossRef]
- Quinn, S.C.; Jamison, A.; Freimuth, V.S.; An, J.; Hancock, G.R.; Musa, D. Exploring racial influences on flu vaccine attitudes and behavior: Results of a national survey of White and African American adults. Vaccine 2017, 35, 1167–1174. [Google Scholar] [CrossRef]
- Opel, D.J.; Mangione-Smith, R.; Taylor, J.A.; Korfiatis, C.; Wiese, C.; Catz, S.; Martin, D.P. Development of a survey to identify vaccine-hesitant parents: The parent attitudes about childhood vaccines survey. Hum. Vaccines 2011, 7, 419–425. [Google Scholar] [CrossRef]
- Forster, A.S.; McBride, K.A.; Davies, C.; Stoney, T.; Marshall, H.; McGeechan, K.; Cooper, S.C.; Skinner, S.R. Development and validation of measures to evaluate adolescents’ knowledge about human papillomavirus (HPV), involvement in HPV vaccine decision-making, self-efficacy to receive the vaccine and fear and anxiety. Public Health 2017, 147, 77–83. [Google Scholar] [CrossRef]
- Dotlic, J.; Jeremic Stojkovic, V.; Cummins, P.; Milic, M.; Gazibara, T. Enhancing COVID-19 vaccination coverage using financial incentives: Arguments to help health providers counterbalance erroneous claims. Epidemiol. Health 2021, 43, e2021081. [Google Scholar] [CrossRef] [PubMed]
- Instituto de bioética Eugenio María de Hostos. Consideraciones Éticas Sobre los Incentivos de Vacunación Contra el COVID-19. Available online: https://www.paho.org/es/documentos/consideraciones-eticas-sobre-incentivos-vacunacion-contra-covid-19-ibemh-13-junio-2021 (accessed on 17 October 2022).
- Holt, E. Serbia begins paying citizens to receive a COVID-19 vaccine. Lancet 2021, 397, 1793. [Google Scholar] [CrossRef]
- Largent, E.A.; Miller, F.G. Problems With Paying People to Be Vaccinated Against COVID-19. JAMA 2021, 325, 534–535. [Google Scholar] [CrossRef]
- ELMUNDO. La Caída en las Tasas de Vacunación Provoca un Fuerte Brote de Sarampión en Europa. Available online: https://www.elmundo.es/ciencia-y-salud/salud/2017/08/05/596e4743468aebb30b8b46a9.html (accessed on 30 September 2022).
- Wilhelm, J.; Calvo, X.; Escobar, C.; Moreno, G.; Véliz, L.; Villena, R.; Villena, R.; Potin, M. Statement from the Immunization Committee of the Chilean Infectious Diseases Society in reference to vaccine refusal and mandatory policy on vaccination. Rev. Chil. Infectol. 2017, 34, 583–586. [Google Scholar] [CrossRef]
- González-Melado, F.J.; Di Pietro, M.L. La vacuna frente a la COVID-19 y la confianza institucional. Enfermedades Infecc. Microbiol. Clín. 2021, 39, 510–515. [Google Scholar] [CrossRef]
- Martínez González, C. Vacunas. Aspectos bioéticos. In Vacunas Algo más que el Calendario Vacunal Cuestiones y Respuestas, 3rd ed.; Hidalgo Vicario, M.I., Montón Álvarez, J.L., Eds.; AEPap–SEPEAP: Madrid, Spain, 2017; pp. 531–537. [Google Scholar]
- Pride, K.R.; Geissler, A.L.; Kolasa, M.S.; Robinson, B.; Van Houten, C.; McClinton, R.; Bryan, K.; Murphy, T. Assessment of Vaccine Exemptions Among Wyoming School Children, 2009 and 2011. J. Sch. Nurs. 2014, 30, 332–339. [Google Scholar] [CrossRef] [PubMed]
- Comité de Bioética de España. Cuestiones Ético-Legales del Rechazo a las Vacunas y Propuestas para un Debate Necesario. Available online: https://repositorio.comillas.edu/xmlui/handle/11531/15097 (accessed on 30 September 2022).
- Zidoun, Y.; Kaladhara, S.; Powell, L.; Nour, R.; Suwaidi, H.A.; Zary, N. Contextual Conversational Agent to Address Vaccine Hesitancy: Protocol for a Design-Based Research Study. JMIR Res. Protoc. 2022, 11, e38043. [Google Scholar] [CrossRef]
- Powell, L.; Nour, R.; Zidoun, Y.; Kaladhara, S.; Suwaidi, H.A.; Zary, N. A Web-Based Public Health Intervention for Addressing Vaccine Misinformation: Protocol for Analyzing Learner Engagement and Impacts on the Hesitancy to Vaccinate. JMIR Res. Protoc. 2022, 11, e38034. [Google Scholar] [CrossRef] [PubMed]
- Young, L.E.; Sidnam-Mauch, E.; Twyman, M.; Wang, L.; Xu, J.J.; Sargent, M.; Valente, T.W.; Ferrara, E.; Fulk, J.; Monge, P. Disrupting the COVID-19 Misinfodemic With Network Interventions: Network Solutions for Network Problems. Am. J. Public Health 2021, 111, 514–519. [Google Scholar] [CrossRef]
- Varman, M.; Sharlin, C.; Fernandez, C.; Vasudevan, J.; Wichman, C. Human Papilloma Virus Vaccination Among Adolescents in a Community Clinic Before and After Intervention. J. Community Health 2018, 43, 455–458. [Google Scholar] [CrossRef] [PubMed]
- Reno, J.E.; O’Leary, S.T.; Pyrzanowski, J.; Lockhart, S.; Thomas, J.; Dempsey, A.F. Evaluation of the Implementation of a Multicomponent Intervention to Improve Health Care Provider Communication About Human Papillomavirus Vaccination. Acad. Pediatr. 2018, 18, 882–888. [Google Scholar] [CrossRef]
- Lockhart, S.; Dempsey, A.F.; Pyrzanowski, J.; O’Leary, S.T.; Barnard, J.G. Provider and Parent Perspectives on Enhanced Communication Tools for Human Papillomavirus Vaccine–Hesitant Parents. Acad. Pediatr. 2018, 18, 776–782. [Google Scholar] [CrossRef]
- Beggs, A.E.; Morrical-Kline, K.A.; Wilhoite, J.E.; Fick, L.B. Effect of an Intervention on Medical Resident Knowledge and Adult Immunization Rates. Fam. Med. 2013, 45, 118–121. [Google Scholar]
- Arnett, M.C.; Evans, M.D.; Stull, C. Dental Hygiene Students’ Perceptions Regarding the Importance of and Confidence with Using Brief Motivational Interviewing during HPV Patient Counseling. J. Dent. Hyg. Online 2022, 96, 50–58. [Google Scholar]
- Real, F.J.; DeBlasio, D.; Beck, A.F.; Ollberding, N.J.; Davis, D.; Cruse, B.; Samaan, Z.; McLinden, D.; Klein, M.D. A Virtual Reality Curriculum for Pediatric Residents Decreases Rates of Influenza Vaccine Refusal. Acad. Pediatr. 2017, 17, 431–435. [Google Scholar] [CrossRef]
- Vyas, D.; Galal, S.M.; Rogan, E.L.; Boyce, E.G. Training Students to Address Vaccine Hesitancy and/or Refusal. Am. J. Pharm. Educ. 2018, 82, 6338. [Google Scholar] [CrossRef]
- Nour, R. A Systematic Review of Methods to Improve Attitudes Towards Childhood Vaccinations. Cureus 2019, 11, e5067. [Google Scholar] [CrossRef]
- MacDonald, N.E.; Butler, R.; Dubé, E. Addressing barriers to vaccine acceptance: An overview. Hum. Vaccines Immunother. 2017, 14, 218–224. [Google Scholar] [CrossRef] [PubMed]
- Dubé, E.; Gagnon, D.; MacDonald, N.E. Strategies intended to address vaccine hesitancy: Review of published reviews. Vaccine 2015, 33, 4191–4203. [Google Scholar] [CrossRef] [PubMed]
- Ministerio de Salud Pública del Ecuador. Manual de Educación y Comunicación para Promoción de la Salud. Manual. Available online: https://www.salud.gob.ec (accessed on 1 March 2023).
- Biasio, L.R. Vaccine literacy is undervalued. Hum. Vaccines Immunother. 2019, 15, 2552–2553. [Google Scholar] [CrossRef]
- Michel, J.P.; Goldberg, J. Education, Healthy Ageing and Vaccine Literacy. J. Nutr. Health Aging 2021, 25, 698–701. [Google Scholar] [CrossRef]
- Larson, H.J.; Schulz, W.S.; Tucker, J.D.; Smith, D.M. Measuring vaccine confidence: Introducing a global vaccine confidence index. PLoS Curr. 2015, 7. [Google Scholar] [CrossRef] [PubMed] [PubMed Central]
- Martin, L.R.; Petrie, K.J. Understanding the Dimensions of Anti-Vaccination Attitudes: The Vaccination Attitudes Examination (VAX) Scale. Ann. Behav. Med. Publ. Soc. Behav. Med. 2017, 51, 652–660. [Google Scholar] [CrossRef]
- Boakye, E.A.; Fedorovich, Y.; White, M.; Vohra, S.; Volle, M.; Osazuwa-Peters, N.; A Gerend, M. Rural-Urban Disparities in HPV Vaccination Coverage Among Adolescents in the Central Part of the State of Illinois, USA. J. Community Health 2023, 48, 24–29. [Google Scholar] [CrossRef] [PubMed]
- Aduse-Poku, I.; Ardon, D.A.; Call, A.B.; Davis, S.C.; Evans, P.; Johanson, S.; Larson, R.J.; Rencher, J.; Woolley, I.A.; Poole, B.D.; et al. Intervention Strategies to Overcome HPV Vaccine Hesitancy Among Hispanic Immigrants in the USA: A Video-Based Approach. Vaccines 2025, 13, 574. [Google Scholar] [CrossRef]
Disclaimer/Publisher’s Note: The statements, opinions and data contained in all publications are solely those of the individual author(s) and contributor(s) and not of MDPI and/or the editor(s). MDPI and/or the editor(s) disclaim responsibility for any injury to people or property resulting from any ideas, methods, instructions or products referred to in the content. |
© 2025 by the authors. Licensee MDPI, Basel, Switzerland. This article is an open access article distributed under the terms and conditions of the Creative Commons Attribution (CC BY) license (https://creativecommons.org/licenses/by/4.0/).
