Preclinical Immunogenicity Evaluation of a DTacP-sIPV/Hib Combination Vaccine in Rodent Models Under Varying Formulations and Immunization Schedules
Abstract
1. Introduction
2. Materials and Methods
2.1. Animals
2.2. Vaccine Preparation
2.3. Grouping and Vaccination
2.3.1. Study on the Immunogenicity and Immune Persistence of DTacP-sIPV/Hib Combination Vaccine in NIH Mice
2.3.2. Study on the Immunogenicity of DTacP-sIPV/Hib Combination Vaccine in Wistar Rats
2.4. Serological Assays
2.5. Statistical Analysis
3. Results
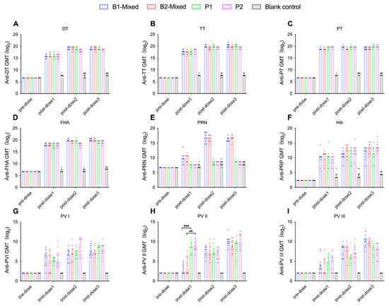
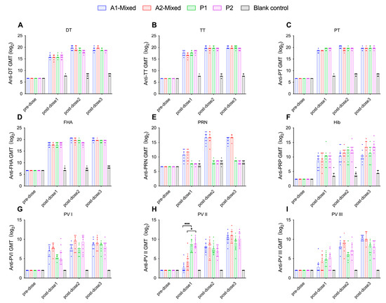
3.1. Study on the Immunogenicity and Immune Persistence of DTacP-sIPV/Hib Combination Vaccine in NIH Mice
Candidate DTacP-sIPV/Hib Vaccine Demonstrates Robust Immune Persistence in NIH Mice with Booster-Dependent PRN Antibody Recovery
3.2. Study on the Immunogenicity of DTacP-sIPV/Hib Combination Vaccine in Wistar Rats
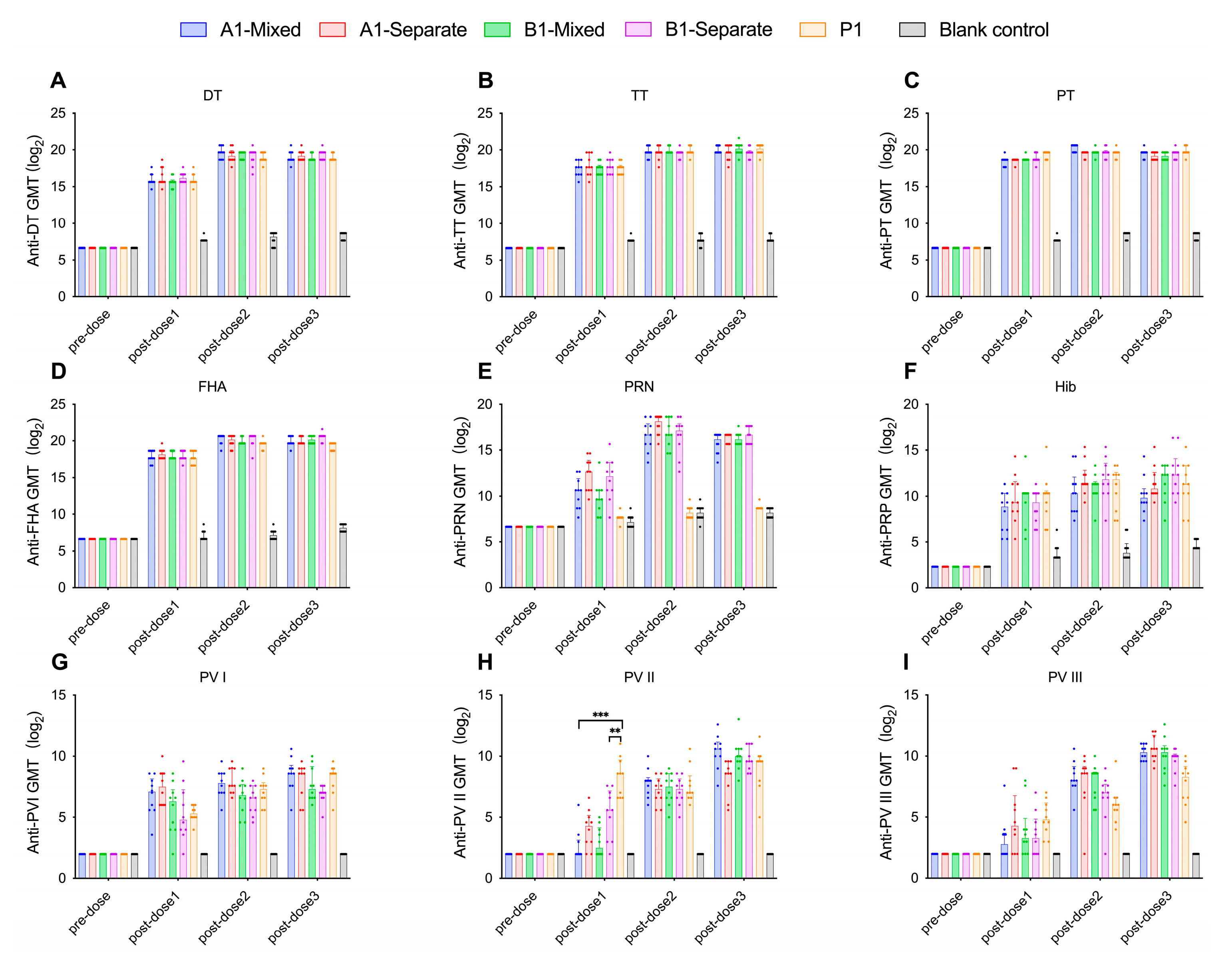
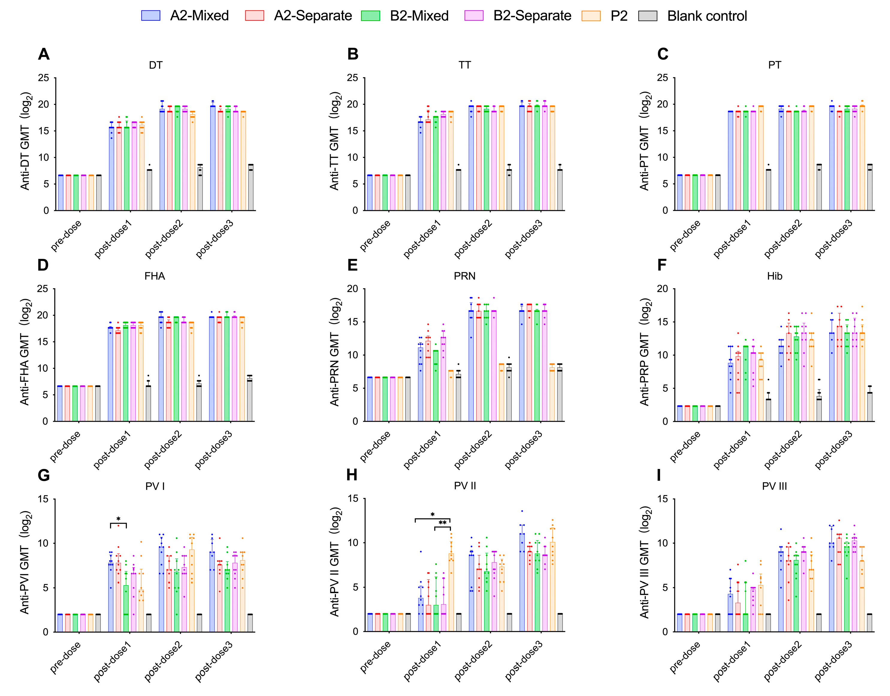
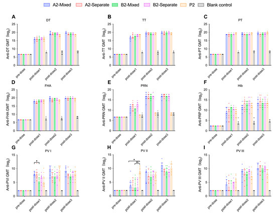
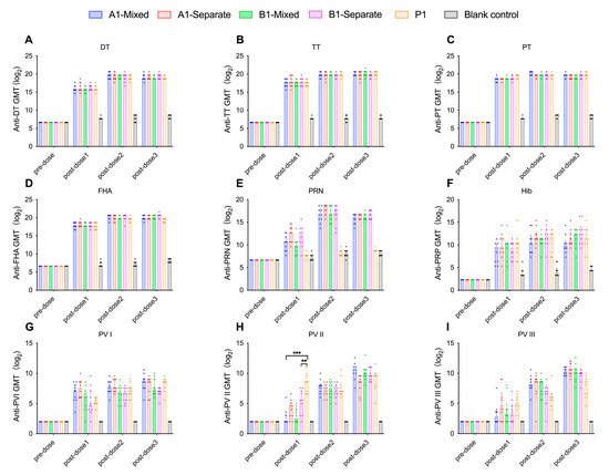
3.2.1. All Experimental Groups Achieved 100% Seroconversion Following Three-Dose Primary Immunization in Wistar Rats
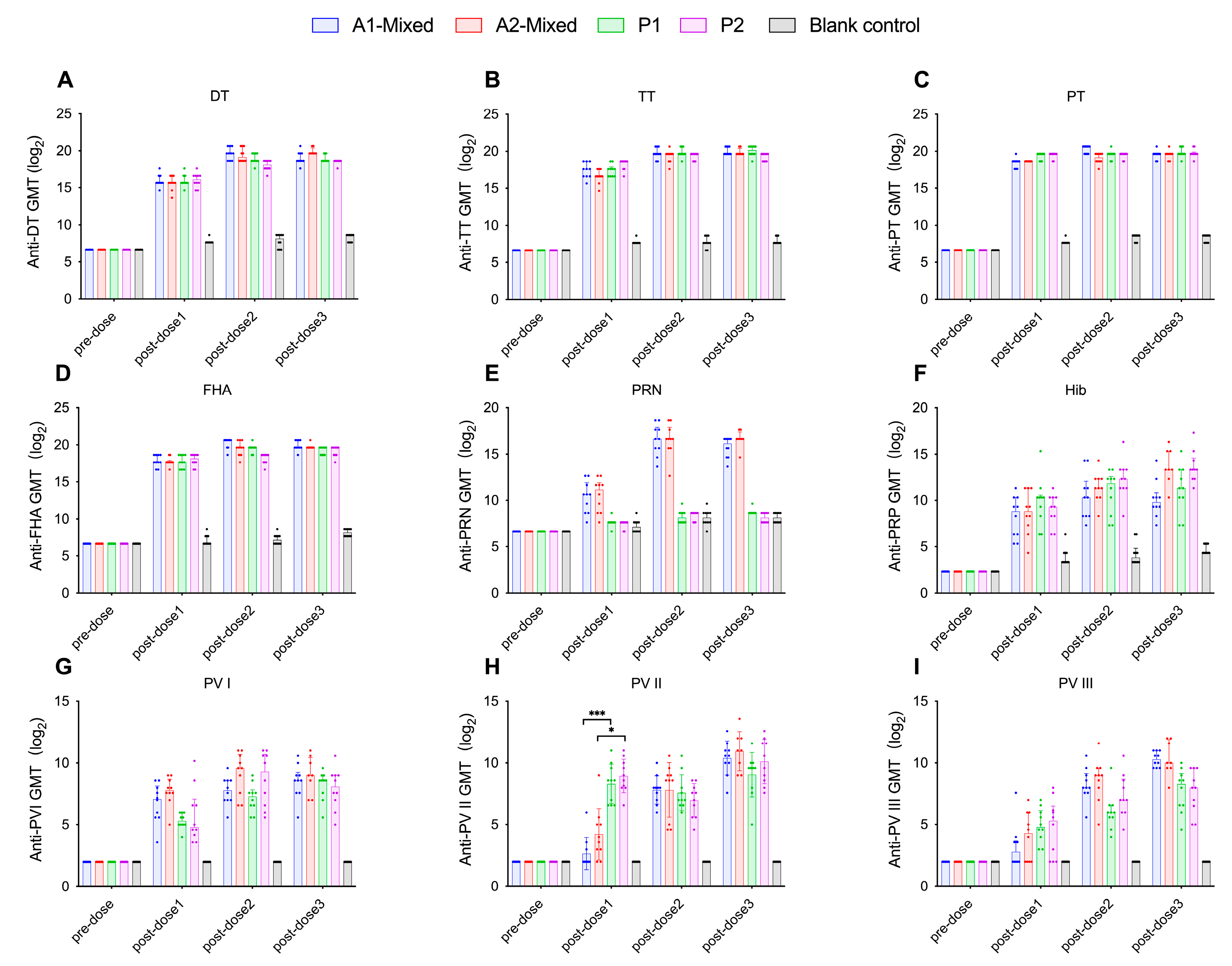
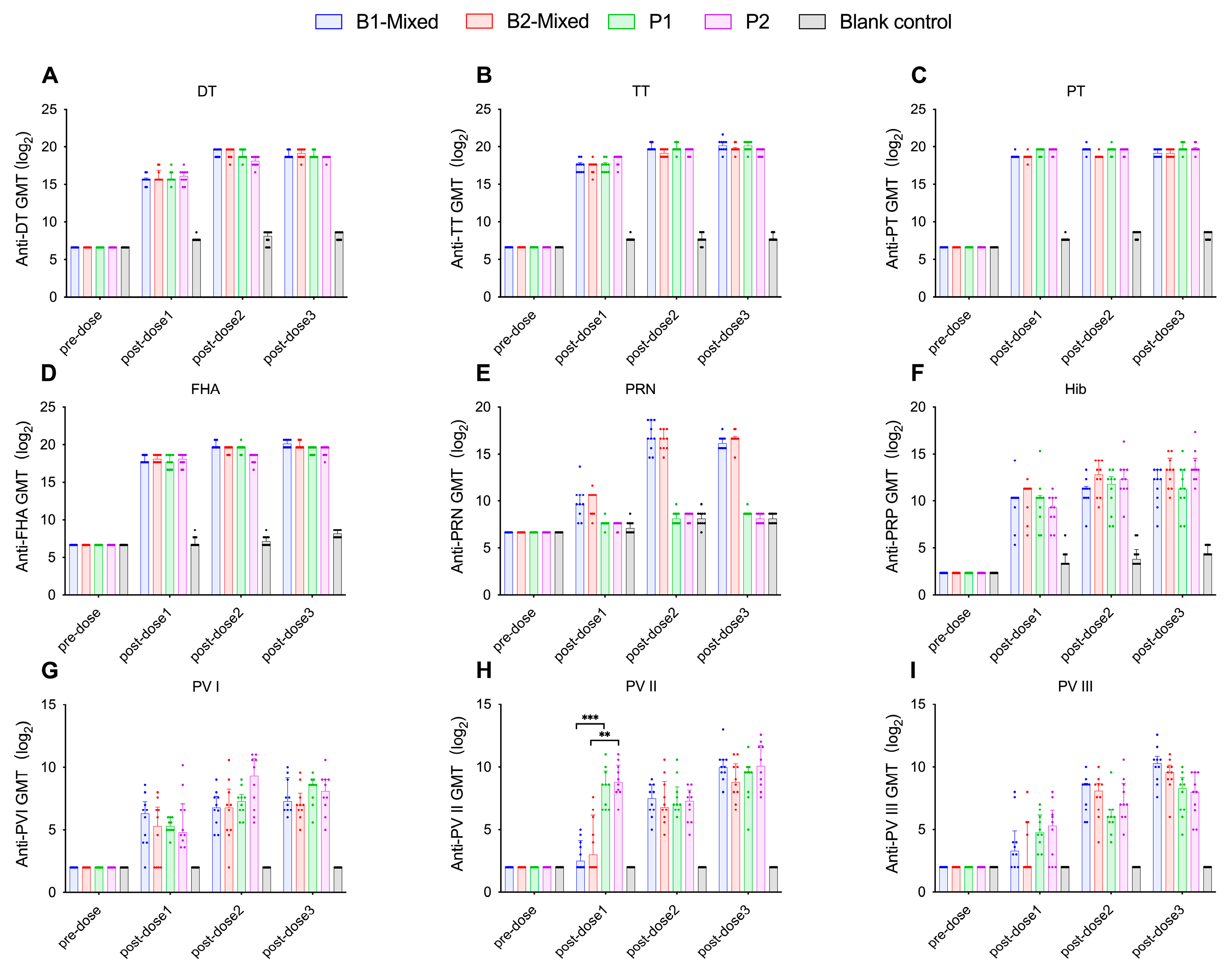
3.2.2. Formulation A Induces Higher PV Type I Neutralizing Antibody Levels and Seroconversion Rates in Wistar Rats


3.2.3. Neither Immunization Schedule nor Administration Method Significantly Affects Antigen-Specific Antibody Levels in Either Formulation
3.2.4. Preliminary Safety Evaluation via Body Weight Monitoring Indicates No Detectable Impact on Growth
4. Discussion
5. Conclusions
Author Contributions
Funding
Institutional Review Board Statement
Informed Consent Statement
Data Availability Statement
Acknowledgments
Conflicts of Interest
Abbreviations
| DTaP | Diphtheria, Tetanus, and acellular Pertussis vaccine |
| DTP | Diphtheria, Tetanus, and Pertussis vaccine |
| aP | acellular Pertussis vaccine |
| acP | acellular component Pertussis vaccine |
| Hib | Haemophilus influenzae type b |
| IPV | Inactivated Poliovirus Vaccine |
| sIPV | Sabin strain Inactivated Poliovirus Vaccine |
| wIPV | Wild strain Inactivated Poliovirus Vaccine (Salk strain) |
| DTacP-sIPV/Hib | Diphtheria, Tetanus, acellular component Pertussis, Sabin strain Inactivated Poliovirus and Haemophilus influenzae type b combination vaccine |
| DTacP-wIPV/Hib | Diphtheria, Tetanus, acellular component Pertussis, wild strain Inactivated Poliovirus and Haemophilus influenzae type b combination vaccine |
| HBV | Hepatitis B Virus vaccine |
| NIP | National Immunization Program |
| IMBCAMS | Institute of Medical Biology, Chinese Academy of Medical Sciences |
| NIH | National Institutes of Health (mouse strain) |
| SPF | Specific Pathogen-Free |
| IM | Intramuscular |
| IP | Intraperitoneal |
| ELISA | Enzyme-Linked Immunosorbent Assay |
| ANOVA | Analysis of variance |
| GMT | Geometric Mean Titer |
| GMC | Geometric mean concentration |
| SD | Standard Deviation |
| CIs | Confidence intervals |
| IQR | Interquartile range |
| DT | Diphtheria Toxoid |
| TT | Tetanus Toxoid |
| PT | Pertussis Toxin |
| FHA | Filamentous Hemagglutinin |
| PRN | Pertactin |
| PRP | Polyribosylribitol Phosphate |
| OD | Optical density |
References
- Mallet, E.; Fabre, P.; Pines, E.; Salomon, H.; Staub, T.; Schodel, F.; Mendelman, P.; Hessel, L.; Chryssomalis, G.; Vidor, E.; et al. Immunogenicity and safety of a new liquid hexavalent combined vaccine compared with separate administration of reference licensed vaccines in infants. Pediatr Infect Dis J 2000, 19, 1119–1127. [Google Scholar] [CrossRef]
- Schmitt, H.J.; Knuf, M.; Ortiz, E.; Sänger, R.; Uwamwezi, M.C.; Kaufhold, A. Primary vaccination of infants with diphtheria-tetanus-acellular pertussis-hepatitis B virus- inactivated polio virus and Haemophilus influenzae type b vaccines given as either separate or mixed injections. J. Pediatr 2000, 137, 304–312. [Google Scholar] [CrossRef]
- Montero, D.A.; Vidal, R.M.; Velasco, J.; Carreño, L.J.; Torres, J.P.; Benachi, O.M.; Tovar-Rosero, Y.Y.; Oñate, A.A.; O’Ryan, M. Two centuries of vaccination: Historical and conceptual approach and future perspectives. Front. Public Heal. 2024, 11, 1326154. [Google Scholar] [CrossRef]
- National Immunization Program for Children and Immunization Guidelines (2021 Edition). Available online: https://www.nhc.gov.cn/jkj/c100063/202103/c37c8bf6f00f446c8fa84f3134ac2360.shtml (accessed on 1 September 2025).
- Domenech de Cellès, M.; Rohani, P. Pertussis vaccines, epidemiology and evolution. Nat. Rev. Microbiol. 2024, 22, 722–735. [Google Scholar] [CrossRef]
- Decker, M.D.; Edwards, K.M. Pertussis (Whooping Cough). J Infect. Dis. 2021, 224, S310–S320. [Google Scholar] [CrossRef]
- Liu, Y.; Yu, D.; Wang, K.; Ye, Q. Global resurgence of pertussis: A perspective from China. J. Infect. 2024, 89, 106289. [Google Scholar] [CrossRef]
- Esposito, S.; Stefanelli, P.; Fry, N.K.; Fedele, G.; He, Q.; Paterson, P.; Tan, T.; Knuf, M.; Rodrigo, C.; Weil Olivier, C.; et al. Pertussis Prevention: Reasons for Resurgence, and Differences in the Current Acellular Pertussis Vaccines. Front. Immunol. 2019, 10, 1344. [Google Scholar] [CrossRef]
- Overview of the National Notifiable Infectious Disease Epidemic Situation in 2023. Available online: https://www.chinacdc.cn/jksj/jksj01/202410/t20241010_301346.html (accessed on 1 September 2025).
- Chinese Center for Disease Control and Prevention. Pertussis Epidemiology. Available online: https://www.chinacdc.cn/jkyj/mygh02/jbzt/xjxcrb/brk/202409/t20240925_300996.html (accessed on 1 September 2025).
- Li, S.; Fu, H.; Yu, S.; Zhao, Y.; Liu, T.; Wang, L.; Zhang, N.; Wang, W.; Yang, B.; He, P.; et al. Nonclinical safety and immunogenicity assessment of a combined DTacP vaccine in animal models. J. Appl. Toxicol. 2024, 44, 1689–1699. [Google Scholar] [CrossRef] [PubMed]
- Wu, C.; Wang, X.; Zhou, Y.; Zhu, X.; Ma, Y.; Wei, W.; Zhang, Y. Development and Implementation of a Single Radial Diffusion Technique for Quality Control of Acellular Pertussis Vaccines. Vaccines 2025, 13, 116. [Google Scholar] [CrossRef] [PubMed]
- Li, L.; Liang, H.; Song, Y.; Zhang, Z.; An, J.; Li, N.; Sun, H.; Bao, Y.; Mao, L.; Ding, L.; et al. Coverage of the Combined DTaP-IPV/Hib Vaccine Among Children Aged 2–18 Months–9 PLADs, China, 2019–2021. China CDC Wkly. 2024, 6, 418–423. [Google Scholar] [CrossRef] [PubMed]
- Deshpande, J.M.; Nadkarni, S.S.; Siddiqui, Z.A. Detection of MEF-1 laboratory reference strain of poliovirus type 2 in children with poliomyelitis in India in 2002 & 2003. Indian J. Med. Res. 2003, 118, 217–223. [Google Scholar] [PubMed]
- Duizer, E.; Rutjes, S.; de Roda Husman, A.M.; Schijven, J. Risk assessment, risk management and risk-based monitoring following a reported accidental release of poliovirus in Belgium, September to November 2014. Euro Surveill. 2016, 21, 30169. [Google Scholar] [CrossRef]
- Bakker, W.A.; Thomassen, Y.E.; van’t Oever, A.G.; Westdijk, J.; van Oijen, M.G.; Sundermann, L.C.; van’t Veld, P.; Sleeman, E.; van Nimwegen, F.W.; Hamidi, A.; et al. Inactivated polio vaccine development for technology transfer using attenuated Sabin poliovirus strains to shift from Salk-IPV to Sabin-IPV. Vaccine 2011, 29, 7188–7196. [Google Scholar] [CrossRef] [PubMed]
- Notice on Adjustments to the Immunization Schedule for DTP and DT Vaccines Under the National Immunization Program in Chinese. Available online: https://www.gov.cn/zhengce/zhengceku/202412/content_6994724.htm (accessed on 1 September 2025).
- Plotkin, S.A.; Liese, J.; Madhi, S.A.; Ortiz, E. A DTaP-IPV//PRP∼T vaccine (Pentaxim): A review of 16 years’ clinical experience. Expert Rev. Vaccines 2011, 10, 981–1005. [Google Scholar] [CrossRef] [PubMed]
- Wang, X.; Gao, N.; Wen, J.; Li, J.; Ma, Y.; Sun, M.; Liang, J.; Shi, L. Immunogenicity of a Candidate DTacP-sIPV Combined Vaccine and Its Protection Efficacy against Pertussis in a Rhesus Macaque Model. Vaccines 2021, 10, 47. [Google Scholar] [CrossRef] [PubMed]
- Jubelt, B.; Lipton, H. Lansing poliovirus infection in mice: Antibody demonstrable by enzyme-linked immunosorbent assay (ELISA) and immunoprecipitation but not by neutralization. J. Neuroimmunol. 1987, 14, 109–121. [Google Scholar] [CrossRef]
- World Health Organization. Polio laboratory manual, 2004. World Health Organization. Available online: https://iris.who.int/handle/10665/68762 (accessed on 1 September 2025).
- Liu, Y.; Chen, J.; Yao, N.; Hu, X.; Yu, N.; Wang, Q.; Xu, J. Pertussis epidemiological surveillance and immunization history in children under five years in a megacity in China from 2019 to 2023. Hum. Vaccines Immunother. 2025, 21, 2460273. [Google Scholar] [CrossRef]
- Westdijk, J.; Brugmans, D.; Martin, J.; van’t Oever, A.; Bakker, W.A.; Levels, L.; Kersten, G. Characterization and standardization of Sabin based inactivated polio vaccine: Proposal for a new antigen unit for inactivated polio vaccines. Vaccine 2011, 29, 3390–3397. [Google Scholar] [CrossRef]
- Sun, M.; Ma, Y.; Xu, Y.; Yang, H.; Shi, L.; Che, Y.; Liao, G.; Jiang, S.; Zhang, S.; Li, Q. Dynamic profiles of neutralizing antibody responses elicited in rhesus monkeys immunized with a combined tetravalent DTaP-Sabin IPV candidate vaccine. Vaccine 2014, 32, 1100–1106. [Google Scholar] [CrossRef]
- Shimizu, H. Development and introduction of inactivated poliovirus vaccines derived from Sabin strains in Japan. Vaccine 2016, 34, 1975–1985. [Google Scholar] [CrossRef]
- Okada, K.; Miyazaki, C.; Kino, Y.; Ozaki, T.; Hirose, M.; Ueda, K. Phase II and III Clinical Studies of Diphtheria-Tetanus-Acellular Pertussis Vaccine Containing Inactivated Polio Vaccine Derived from Sabin Strains (DTaP-sIPV). J. Infect. Dis. 2013, 208, 275–283. [Google Scholar] [CrossRef] [PubMed][Green Version]
- Nakano, T.; Sumino, S.; Takanami, Y.; Mitsuya, N.; Nakatome, K. A phase 2 study of a combined diphtheria-tetanus-acellular pertussis vaccine with a Sabin-derived inactivated poliovirus vaccine in children. Hum. Vaccines Immunother. 2018, 14, 2940–2949. [Google Scholar] [CrossRef] [PubMed]










| Vaccine | DTacP-sIPV/Hib (Low-Dose) | DTacP-sIPV/Hib (High-Dose) | DTacP-wIPV/Hib (Pentaxim®) |
|---|---|---|---|
| PT (μg/dose) | 25 | 25 | 25 |
| FHA (μg/dose) | 25 | 25 | 25 |
| PRN (μg/dose) | 8 | 8 | - |
| DT (Lf/dose) | 12.5 | 12.5 | 15 |
| TT (Lf/dose) | 3.5 | 3.5 | 5 |
| IPV I (DU/dose) | 30 | 30 | 40 |
| IPV II (DU/dose) | 32 | 32 | 8 |
| IPV III (DU/dose) | 45 | 45 | 32 |
| PRP (μg/dose) | 10 | 15 | 10 |
| Al(OH)3 (mg/dose) | 0.725 | 0.725 | 0.91 |
| Vaccine | DTacP-sIPV/Hib Formulation A | DTacP-sIPV/Hib Formulation B | DTacP-wIPV/Hib (Pentaxim®) | Normal Saline |
|---|---|---|---|---|
| PT (μg/dose) | 25 | 25 | 25 | / |
| FHA (μg/dose) | 25 | 25 | 25 | / |
| PRN (μg/dose) | 8 | 8 | / | / |
| DT (Lf/dose) | 12.5 | 12.5 | 15 | / |
| TT (Lf/dose) | 3.5 | 3.5 | 5 | / |
| PRP (μg/dose) | 10 | 10 | 10 | / |
| IPV I (DU/dose) | 30 | 15 | 40 | / |
| IPV II (DU/dose) | 32 | 45 | 8 | / |
| IPV III (DU/dose) | 45 | 45 | 32 | / |
| Al(OH)3 (mg/dose) | 0.725 | 0.725 | 0.91 | / |
| Group | Name | Vaccine | Immunization Schedule | Administration |
|---|---|---|---|---|
| Group 1 | A1-Mixed | DTacP-sIPV/Hib Formulation A | 1-month interval | Mixed Injection |
| Group 2 | A1-Separate | DTacP-sIPV/Hib Formulation A | 1-month interval | Separate Injection |
| Group 3 | B1-Mixed | DTacP-sIPV/Hib Formulation B | 1-month interval | Mixed Injection |
| Group 4 | B1-Separate | DTacP-sIPV/Hib Formulation B | 1-month interval | Separate Injection |
| Group 5 | P1 | DTacP-wIPV/Hib (Pentaxim®) | 1-month interval | Mixed Injection |
| Group 6 | Blank control | Normal Saline | 1-month interval | / |
| Group 7 | A2-Mixed | DTacP-sIPV/Hib Formulation A | 2-month interval | Mixed Injection |
| Group 8 | A2-Separate | DTacP-sIPV/Hib Formulation A | 2-month interval | Separate Injection |
| Group 9 | B1-Mixed | DTacP-sIPV/Hib Formulation B | 2-month interval | Mixed Injection |
| Group 10 | B1-Separate | DTacP-sIPV/Hib Formulation B | 2-month interval | Separate Injection |
| Group 11 | P2 | DTacP-wIPV/Hib (Pentaxim®) | 2-month interval | Mixed Injection |
Disclaimer/Publisher’s Note: The statements, opinions and data contained in all publications are solely those of the individual author(s) and contributor(s) and not of MDPI and/or the editor(s). MDPI and/or the editor(s) disclaim responsibility for any injury to people or property resulting from any ideas, methods, instructions or products referred to in the content. |
© 2025 by the authors. Licensee MDPI, Basel, Switzerland. This article is an open access article distributed under the terms and conditions of the Creative Commons Attribution (CC BY) license (https://creativecommons.org/licenses/by/4.0/).
Share and Cite
Fu, Y.; Huang, W.; Cai, L.; Ma, Y.; Gu, Q.; Ji, Q.; Li, J.; Gao, N.; Wang, X.; Ji, G.; et al. Preclinical Immunogenicity Evaluation of a DTacP-sIPV/Hib Combination Vaccine in Rodent Models Under Varying Formulations and Immunization Schedules. Vaccines 2025, 13, 993. https://doi.org/10.3390/vaccines13100993
Fu Y, Huang W, Cai L, Ma Y, Gu Q, Ji Q, Li J, Gao N, Wang X, Ji G, et al. Preclinical Immunogenicity Evaluation of a DTacP-sIPV/Hib Combination Vaccine in Rodent Models Under Varying Formulations and Immunization Schedules. Vaccines. 2025; 13(10):993. https://doi.org/10.3390/vaccines13100993
Chicago/Turabian StyleFu, Yixian, Wei Huang, Lukui Cai, Yan Ma, Qin Gu, Qiuyan Ji, Jingyan Li, Na Gao, Xiaoyu Wang, Guang Ji, and et al. 2025. "Preclinical Immunogenicity Evaluation of a DTacP-sIPV/Hib Combination Vaccine in Rodent Models Under Varying Formulations and Immunization Schedules" Vaccines 13, no. 10: 993. https://doi.org/10.3390/vaccines13100993
APA StyleFu, Y., Huang, W., Cai, L., Ma, Y., Gu, Q., Ji, Q., Li, J., Gao, N., Wang, X., Ji, G., Wen, J., Hu, W., Liao, H., Ping, L., Fu, Y., Liao, G., Yang, L., Ouyang, S., Wang, M., ... Yang, J. (2025). Preclinical Immunogenicity Evaluation of a DTacP-sIPV/Hib Combination Vaccine in Rodent Models Under Varying Formulations and Immunization Schedules. Vaccines, 13(10), 993. https://doi.org/10.3390/vaccines13100993

