Time-Dependent Effects of Clinical Interventions on SARS-CoV-2 Immunity in Patients with Lung Cancer
Abstract
1. Introduction
2. Materials and Methods
2.1. Study Design and Participant Data Collection
2.2. Blood Draws and Processing
2.3. SARS-CoV-2 Binding Antibody Assessment
2.4. Statistical Considerations
2.5. Generalized Estimating Equations (GEE)
3. Results
3.1. Patients
3.2. Anti-Spike Antibody Titers over Time
3.3. Model Findings
3.4. Differences by Gender
4. Discussion
5. Conclusions
Supplementary Materials
Author Contributions
Funding
Institutional Review Board Statement
Informed Consent Statement
Data Availability Statement
Conflicts of Interest
References
- Garassino, M.C.; Whisenant, J.G.; Huang, L.-C.; Trama, A.; Torri, V.; Agustoni, F.; Baena, J.; Banna, G.; Berardi, R.; Bettini, A.C.; et al. COVID-19 in patients with thoracic malignancies (TERAVOLT): First results of an international, registry-based, cohort study. Lancet Oncol. 2020, 21, 914–922. [Google Scholar] [CrossRef] [PubMed]
- Lee, L.Y.W.; Cazier, J.-B.; Angelis, V.; Arnold, R.; Bisht, V.; Campton, N.A.; Chackathayil, J.; Cheng, V.W.T.; Curley, H.M.; Fittall, M.W.T.; et al. COVID-19 mortality in patients with cancer on chemotherapy or other anticancer treatments: A prospective cohort study. Lancet 2020, 395, 1919–1926. [Google Scholar] [CrossRef] [PubMed]
- Lièvre, A.; Turpin, A.; Ray-Coquard, I.; Le Malicot, K.; Thariat, J.; Ahle, G.; Neuzillet, C.; Paoletti, X.; Aldabbagh, K.; Michel, P.; et al. Risk factors for Coronavirus Disease 2019 (COVID-19) severity and mortality among solid cancer patients and impact of the disease on anticancer treatment: A French nationwide cohort study (GCO-002 CACOVID-19). Eur. J. Cancer 2020, 141, 62–81. [Google Scholar] [CrossRef] [PubMed]
- Luo, J.; Rizvi, H.; Egger, J.V.; Preeshagul, I.R.; Wolchok, J.D.; Hellmann, M.D. Impact of PD-1 Blockade on Severity of COVID-19 in Patients with Lung Cancers. Cancer Discov. 2020, 10, 1121–1128. [Google Scholar] [CrossRef] [PubMed]
- Tagliamento, M.; Agostinetto, E.; Bruzzone, M.; Ceppi, M.; Saini, K.S.; de Azambuja, E.; Punie, K.; Westphalen, C.B.; Morgan, G.; Pronzato, P.; et al. Mortality in adult patients with solid or hematological malignancies and SARS-CoV-2 infection with a specific focus on lung and breast cancers: A systematic review and meta-analysis. Crit. Rev. Oncol. Hematol. 2021, 163, 103365. [Google Scholar] [CrossRef] [PubMed]
- Mehta, V.; Goel, S.; Kabarriti, R.; Cole, D.; Goldfinger, M.; Acuna-Villaorduna, A.; Pradhan, K.; Thota, R.; Reissman, S.; Sparano, J.A.; et al. Case Fatality Rate of Cancer Patients with COVID-19 in a New York Hospital System. Cancer Discov. 2020, 10, 935–941. [Google Scholar] [CrossRef] [PubMed]
- Rolfo, C.; Meshulami, N.; Russo, A.; Krammer, F.; García-Sastre, A.; Mack, P.C.; Gomez, J.E.; Bhardwaj, N.; Benyounes, A.; Sirera, R.; et al. Lung Cancer and Severe Acute Respiratory Syndrome Coronavirus 2 Infection: Identifying Important Knowledge Gaps for Investigation. J. Thorac. Oncol. 2021, 17, 214–227. [Google Scholar] [CrossRef] [PubMed]
- Kuderer, N.M.; Choueiri, T.K.; Shah, D.P.; Shyr, Y.; Rubinstein, S.M.; Rivera, D.R.; Shete, S.; Hsu, C.-Y.; Desai, A.; de Lima Lopes, G., Jr.; et al. Clinical impact of COVID-19 on patients with cancer (CCC19): A cohort study. Lancet 2020, 395, 1907–1918. [Google Scholar] [CrossRef] [PubMed]
- Zhang, H.; Han, H.; He, T.; Labbe, K.E.; Hernandez, A.V.; Chen, H.; Velcheti, V.; Stebbing, J.; Wong, K.-K. Clinical Characteristics and Outcomes of COVID-19–Infected Cancer Patients: A Systematic Review and Meta-Analysis. JNCI J. Natl. Cancer Inst. 2020, 113, 371–380. [Google Scholar] [CrossRef]
- Mack, P.C.; Gomez, J.E.; Rodilla, A.M.; Carreño, J.M.; Hsu, C.-Y.; Rolfo, C.; Meshulami, N.; Moore, A.; Brody, R.I.; King, J.C.; et al. Longitudinal COVID-19-vaccination-induced antibody responses and Omicron neutralization in patients with lung cancer. Cancer Cell 2022, 40, 575–577. [Google Scholar] [CrossRef]
- Valanparambil, R.M.; Carlisle, J.; Linderman, S.L.; Akthar, A.; Millett, R.L.; Lai, L.; Chang, A.; McCook-Veal, A.A.; Switchenko, J.; Nasti, T.H.; et al. Antibody Response to COVID-19 mRNA Vaccine in Patients with Lung Cancer After Primary Immunization and Booster: Reactivity to the SARS-CoV-2 WT Virus and Omicron Variant. J. Clin. Oncol. 2022, 40, 3808–3816. [Google Scholar] [PubMed]
- Hernandez, A.; Boigues, M.; Felip, E.; Cucurull, M.; Notario, L.; Pous, A.; Torres, P.; Benitez, M.; Rodriguez, M.; Quirant, B.; et al. Immune Response and Effects of COVID-19 Vaccination in Patients with Lung Cancer—COVID Lung Vaccine Study. Cancers 2022, 15, 137. [Google Scholar] [CrossRef] [PubMed]
- Hibino, M.; Uryu, K.; Takeda, T.; Kunimatsu, Y.; Shiotsu, S.; Uchino, J.; Hirai, S.; Yamada, T.; Okada, A.; Hasegawa, Y.; et al. Safety and Immunogenicity of mRNA Vaccines Against Severe Acute Respiratory Syndrome Coronavirus 2 in Patients with Lung Cancer Receiving Immune Checkpoint Inhibitors: A Multicenter Observational Study in Japan. J. Thorac. Oncol. 2022, 17, 1002–1013. [Google Scholar] [CrossRef] [PubMed]
- Stadlbauer, D.; Tan, J.; Jiang, K.; Hernandez, M.M.; Fabre, S.; Amanat, F.; Teo, C.; Arunkumar, G.A.; McMahon, M.; Capuano, C.; et al. Repeated cross-sectional sero-monitoring of SARS-CoV-2 in New York City. Nature 2021, 590, 146–150. [Google Scholar] [CrossRef] [PubMed]
- Amanat, F.; Stadlbauer, D.; Strohmeier, S.; Nguyen, T.H.O.; Chromikova, V.; McMahon, M.; Jiang, K.; Arunkumar, G.A.; Jurczyszak, D.; Polanco, J. A serological assay to detect SARS-CoV-2 seroconversion in humans. Nat. Med. 2020, 26, 1033–1036. [Google Scholar] [CrossRef] [PubMed]
- Stadlbauer, D.; Amanat, F.; Chromikova, V.; Jiang, K.; Strohmeier, S.; Arunkumar, G.A.; Tan, J.; Bhavsar, D.; Capuano, C.; Kirkpatrick, E. SARS-CoV-2 Seroconversion in Humans: A Detailed Protocol for a Serological Assay, Antigen Production, and Test Setup. Curr. Protoc. Microbiol. 2020, 57, e100. [Google Scholar] [CrossRef] [PubMed]
- Żak, M.M.; Stock, A.; Stadlbauer, D.; Zhang, W.; Cummings, K.; Marsiglia, W.; Zargarov, A.; Amanat, F.; Tamayo, M.; Cordon-Cardo, C. Development and characterization of a quantitative ELISA to detect anti-SARS-CoV-2 spike antibodies. Heliyon 2021, 7, e08444. [Google Scholar] [CrossRef] [PubMed]
- Rodilla, A.M.; Valanparambil, R.M.; Mack, P.C.; Hsu, C.Y.; Cagan, J.; Tavolacci, S.C.; Carreño, J.M.; Brody, R.; Moore, A.; King, J.C. Longitudinal nucleocapsid antibody testing reveals undocumented SARS-CoV-2 infections in patients with lung cancer. Cancer Cell 2023, 41, 1838–1840. [Google Scholar] [CrossRef] [PubMed]
- Zeger, S.L.; Liang, K.-Y. Longitudinal Data Analysis for Discrete and Continuous Outcomes. Biometrics 1986, 42, 121–130. [Google Scholar] [CrossRef]
- Pappas, G.; Vokou, D.; Sainis, I.; Halley, J.M. SARS-CoV-2 as a Zooanthroponotic Infection: Spillbacks, Secondary Spillovers, and Their Importance. Microorganisms 2022, 10, 2166. [Google Scholar] [CrossRef]
- Buttiron Webber, T.; Provinciali, N.; Musso, M.; Ugolini, M.; Boitano, M.; Clavarezza, M.; D’Amico, M.; Defferrari, C.; Gozza, A.; Briata, I.M. Predictors of poor seroconversion and adverse events to SARS-CoV-2 mRNA BNT162b2 vaccine in cancer patients on active treatment. Eur. J. Cancer 2021, 159, 105–112. [Google Scholar] [CrossRef] [PubMed]
- Gounant, V.; Ferré, V.M.; Soussi, G.; Charpentier, C.; Flament, H.; Fidouh, N.; Collin, G.; Namour, C.; Assoun, S.; Bizot, A.; et al. Efficacy of Severe Acute Respiratory Syndrome Coronavirus-2 Vaccine in Patients with Thoracic Cancer: A Prospective Study Supporting a Third Dose in Patients with Minimal Serologic Response After Two Vaccine Doses. J. Thorac. Oncol. 2021, 17, 239–251. [Google Scholar] [CrossRef] [PubMed]
- Bowes, C.L.; Naranbhai, V.; St Denis, K.J.; Lam, E.C.; Bertaux, B.; Keane, F.K.; Khandekar, M.J.; Balazs, A.B.; Iafrate, J.A.; Gainor, J.F. Heterogeneous immunogenicity of SARS-CoV-2 vaccines in cancer patients receiving radiotherapy. Radiother. Oncol. 2022, 166, 88–91. [Google Scholar] [CrossRef] [PubMed]
- Trontzas, I.P.; Vathiotis, I.; Economidou, C.; Petridou, I.; Gomatou, G.; Grammoustianou, M.; Tsamis, I.; Syrigos, N.; Anagnostakis, M.; Fyta, E.; et al. Assessment of Seroconversion after SARS-CoV-2 Vaccination in Patients with Lung Cancer. Vaccines 2022, 10, 618. [Google Scholar] [CrossRef]
- Rojas, L.A.; Sethna, Z.; Soares, K.C.; Olcese, C.; Pang, N.; Patterson, E.; Lihm, J.; Ceglia, N.; Guasp, P.; Chu, A.; et al. Personalized RNA neoantigen vaccines stimulate T cells in pancreatic cancer. Nature 2023, 618, 144–150. [Google Scholar] [CrossRef]



| Full Cohort | Analysis Cohort | |
|---|---|---|
| N = 398 | N = 296 | |
| Gender | ||
| Female | 53% (209) | 55% (164) |
| Male | 44% (175) | 45% (132) |
| Missing | 4% (14) | 0% (0) |
| Ethnicity | ||
| Asian | 8% (30) | 8% (25) |
| Black/African American | 20% (79) | 20% (59) |
| Hispanic | 9% (36) | 9% (28) |
| Hawaiian/Pacific islander | 0% (1) | 0% (1) |
| White | 44% (176) | 47% (138) |
| Missing | 19% (76) | 15% (45) |
| Smoking | ||
| Never | 23% (93) | 26% (77) |
| Current or Former | 71% (281) | 74% (218) |
| NA | 6% (24) | 0% (1) |
| Stage | ||
| 1 | 10% (39) | 10% (30) |
| 2 | 7% (28) | 8% (24) |
| 3 | 25% (98) | 27% (79) |
| 4 | 46% (183) | 50% (148) |
| Missing | 13% (50) | 5% (15) |
| Histology | ||
| Adenocarcinoma | 64% (253) | 68% (201) |
| Large cell | 1% (3) | 1% (3) |
| Mixed | 1% (2) | 0% (1) |
| NSCLC NOS | 6% (23) | 7% (21) |
| Other | 1% (5) | 2% (5) |
| Small cell | 8% (31) | 6% (18) |
| Squamous Carcinoma | 15% (58) | 16% (46) |
| Missing | 6% (23) | 0% (1) |
| First vaccine type | ||
| Johnson | 4% (15) | 4% (12) |
| Moderna | 29% (115) | 33% (97) |
| Moderna BA.4/BA.5 | 0% (1) | 1% (1) |
| Pfizer | 56% (221) | 63% (187) |
| Missing | 12% (46) | 0% (0) |
| Age | ||
| Med (IQR) | 68 (61–68) | 69 (62–76) |
| Variable | Time-Dependency | Completeness | Notes |
|---|---|---|---|
| Age | Independent | 100% | Age at time of enrollment |
| Sex | Independent | 100% | |
| Smoking history | Independent | 99.7% | Never vs current/former |
| Ethnicity | Independent | 85% | |
| Cancer stage | Independent | 95% | At time of enrollment |
| Histology | Independent | 99.7% | SCLC and NSCLC sub-histologies |
| Time after full vaccination | Dependent | 100% | The time interval after the patient received a full vaccination |
| Variable Event | Percent (N) | ||
| Steroid use | Dependent; 30 Days | 32.4% | Systemic steroids such as prednisone, methylprednisolone, dexamethasone, hydrocortisone, or other, used long-term (>7 days). |
| Chemotherapy | Dependent; 30 Days | 64.5% | Taxanes, platinum, pemetrexed, gemcitabine, vinorelbine, or other |
| Targeted Therapy | Dependent; 30 Days | 18.6% | Osimertinib, erlotinib, gefitinib, afatinib, dacomitinib, bevacizumab, ramucirumab, crizotinib, alectinib, brigatinib, ceritinib, lorlatinib, entrectinib, selpercatinib, capmatinib, pralsetinib, larotrectinib, cabozantinib, vandetanib, tepotinib, or other |
| Immune therapy | Dependent; 30 Days | 64.5% | Pembrolizumab, nivolumab, atezolizumab, durvalumab, cemiplimab, ipilimumab, or other |
| SARS-CoV-2 Booster | Dependent; 90 Days | 77% | See Supplementary Table S3 |
| Influenza vaccination | Dependent; 90 Days | 100% | Unless administered concurrently with SARS-CoV-2 booster |
| SARS-CoV-2 infection | Dependent; prior to reading | 51.7% | Includes any report of a positive test or anti-N plasma values above the 2000 unit threshold prior to the titer measurement. |
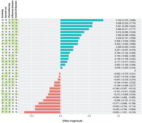
| Variable | Effect Magnitude | p-Value | Confidence Interval |
|---|---|---|---|
| Sex * | 0.111 | 0.270 | −0.086 to 0.309 |
| Smoking history | −0.191 | 0.089 | −4.110 to 0.029 |
| Ethnicity (Black vs. White) | 0.090 | 0.308 | −0.830 to 0.264 |
| Ethnicity (All other vs. White) | 0.117 | 0.233 | 0.075 to 0.309 |
| Cancer stage (III/IV vs. I/II) | −0.154 | 0.090 | −0.333 to 0.024 |
| Histology (adeno vs. non) | −0.057 | 0.619 | −0.280 to 0.166 |
| Steroid use | −0.248 | 0.043 | −0.488 to −0.008 |
| Chemotherapy | −0.186 | 0.033 | −0.358 to −0.015 |
| Targeted Therapy | −0.113 | 0.347 | −0.350 to 0.123 |
| Immune therapy | −0.009 | 0.912 | −0.165 to 0.148 |
| Influenza vax | 0.330 | <0.001 | 0.150 to 0.509 |
| SARS-CoV-2 booster | 0.412 | <0.001 | 0.291 to 0.534 |
| SARS-CoV-2 infection | 0.276 | <0.001 | 0.128 to 0.425 |
Disclaimer/Publisher’s Note: The statements, opinions and data contained in all publications are solely those of the individual author(s) and contributor(s) and not of MDPI and/or the editor(s). MDPI and/or the editor(s) disclaim responsibility for any injury to people or property resulting from any ideas, methods, instructions or products referred to in the content. |
© 2024 by the authors. Licensee MDPI, Basel, Switzerland. This article is an open access article distributed under the terms and conditions of the Creative Commons Attribution (CC BY) license (https://creativecommons.org/licenses/by/4.0/).
Share and Cite
Mack, P.C.; Hsu, C.-Y.; Rodilla, A.M.; Gomez, J.E.; Cagan, J.; Huang, Y.; Tavolacci, S.; Valanparambil, R.M.; Rohs, N.; Brody, R.; et al. Time-Dependent Effects of Clinical Interventions on SARS-CoV-2 Immunity in Patients with Lung Cancer. Vaccines 2024, 12, 713. https://doi.org/10.3390/vaccines12070713
Mack PC, Hsu C-Y, Rodilla AM, Gomez JE, Cagan J, Huang Y, Tavolacci S, Valanparambil RM, Rohs N, Brody R, et al. Time-Dependent Effects of Clinical Interventions on SARS-CoV-2 Immunity in Patients with Lung Cancer. Vaccines. 2024; 12(7):713. https://doi.org/10.3390/vaccines12070713
Chicago/Turabian StyleMack, Philip C., Chih-Yuan Hsu, Ananda M. Rodilla, Jorge E. Gomez, Jazz Cagan, Yuanhui Huang, Sooyun Tavolacci, Rajesh M. Valanparambil, Nicholas Rohs, Rachel Brody, and et al. 2024. "Time-Dependent Effects of Clinical Interventions on SARS-CoV-2 Immunity in Patients with Lung Cancer" Vaccines 12, no. 7: 713. https://doi.org/10.3390/vaccines12070713
APA StyleMack, P. C., Hsu, C.-Y., Rodilla, A. M., Gomez, J. E., Cagan, J., Huang, Y., Tavolacci, S., Valanparambil, R. M., Rohs, N., Brody, R., Nichols, B., Carreño, J. M., Bhalla, S., Rolfo, C., Gerber, D. E., Moore, A., King, J. C., Ahmed, R., Minna, J. D., ... Shyr, Y. (2024). Time-Dependent Effects of Clinical Interventions on SARS-CoV-2 Immunity in Patients with Lung Cancer. Vaccines, 12(7), 713. https://doi.org/10.3390/vaccines12070713

