Immunogenicity Assessment of the SARS-CoV-2 Protein Subunit Recombinant Vaccine (CoV2-IB 0322) in a Substudy of a Phase 3 Trial in Indonesia
Abstract
1. Introduction
2. Materials and Methods
2.1. Study Design and Participants
2.2. Procedures
2.3. Vaccine and Control
2.4. Statistical Analysis
3. Results
3.1. Neutralizing Antibody
3.2. IgG Antibody
3.3. Intracellular Cytokines (ICS)
4. Discussion
5. Conclusions
Author Contributions
Funding
Institutional Review Board Statement
Informed Consent Statement
Data Availability Statement
Acknowledgments
Conflicts of Interest
References
- WHO. Coronavirus (COVID-19) Dashboard [Internet]. Available online: https://covid19.who.int/table (accessed on 3 February 2022).
- Naseer, S.; Khalid, S.; Parveen, S.; Abbass, K.; Song, H.; Achim, M.V. COVID-19 outbreak: Impact on global economy. Front. Public Health 2023, 10, 1009393. [Google Scholar] [CrossRef] [PubMed]
- Laupèze, B.; Del Giudice, G.; Doherty, M.T.; Van der Most, R. Vaccination as a preventative measure contributing to immune fitness. NPJ Vaccines 2021, 6, 93. [Google Scholar] [CrossRef] [PubMed]
- COVID-19 Vaccines with WHO Emergency Use Listing. WHO—Prequalification of Medical Products (IVDs, Medicines, Vaccines and Immunization Devices, Vector Control) [Internet]. Available online: https://extranet.who.int/prequal/vaccines/covid-19-vaccines-who-emergency-use-listing (accessed on 29 January 2024).
- Krammer, F. SARS-CoV-2 vaccines in development. Nature 2020, 586, 516–527. [Google Scholar] [CrossRef]
- Heidary, M.; Kaviar, V.H.; Shirani, M.; Ghanavati, R.; Motahar, M.; Sholeh, M.; Ghahramanpour, H.; Khoshnood, S. A Comprehensive Review of the Protein Subunit Vaccines Against COVID-19. Front. Microbiol. 2022, 13, 927306. [Google Scholar] [CrossRef] [PubMed]
- Satarker, S.; Nampoothiri, M. Structural Proteins in Severe Acute Respiratory Syndrome Coronavirus-2. Arch. Med. Res. 2020, 51, 482–491. [Google Scholar] [CrossRef]
- Harimurti, K.; Jasmin, H.; Sekartini, R.; Aini, M.; Yuniar, I.; Indawati, W.; Wirahmadi, A. Evaluation of Safety and Anti-RBD IgG Sars Cov-2 after Indovac Administration in Depok. Ejournal Kedokt. Indones. 2023, 11, 118–125. [Google Scholar] [CrossRef]
- Ciotti, M.; Ciccozzi, M.; Pieri, M.; Bernardini, S. The COVID-19 pandemic: Viral variants and vaccine efficacy. Crit. Rev. Clin. Lab. Sci. 2022, 59, 66–75. [Google Scholar] [CrossRef] [PubMed]
- Pollet, J.; Chen, W.H.; Strych, U. Recombinant protein vaccines, a proven approach against coronavirus pandemics. Adv. Drug Deliv. Rev. 2021, 170, 71–82. [Google Scholar] [CrossRef]
- Poland, G.A.; Ovsyannikova, I.G.; Kennedy, R.B. SARS-CoV-2 immunity: Review and applications to phase 3 vaccine candidates. Lancet 2020, 396, 1595–1606. [Google Scholar] [CrossRef]
- Mohammed, I.; Nauman, A.; Paul, P.; Ganesan, S.; Chen, K.H.; Jalil, S.M.S.; Jaouni, S.H.; Kawas, H.; Khan, W.A.; Vattoth, A.L.; et al. The efficacy and effectiveness of the COVID-19 vaccines in reducing infection, severity, hospitalization, and mortality: A systematic review. Hum. Vaccin. Immunother. 2022, 18, 2027160. [Google Scholar] [CrossRef]
- Rose, R.; Neumann, F.; Grobe, O.; Lorentz, T.; Fickenscher, H.; Krumbholz, A. Humoral immune response after different SARS-CoV-2 vaccination regimens. BMC Med. 2022, 20, 31. [Google Scholar] [CrossRef]
- Kobashi, Y.; Shimazu, Y.; Kawamura, T.; Nishikawa, Y.; Omata, F.; Kaneko, Y.; Kodama, T.; Tsubokura, M. Factors associated with anti-severe acute respiratory syndrome coronavirus 2 (SARS-CoV-2) spike protein antibody titer and neutralizing activity among healthcare workers following vaccination with the BNT162b2 vaccine. PLoS ONE 2022, 17, e0269917. [Google Scholar] [CrossRef] [PubMed]
- Chia, W.N.; Zhu, F.; Ong, S.W.X.; Young, B.E.; Fong, S.W.; Le Bert, N.; Tan, C.W.; Tiu, C.; Zhang, J.; Tan, S.Y.; et al. Dynamics of SARS-CoV-2 neutralising antibody responses and duration of immunity: A longitudinal study. Lancet Microbe 2021, 2, e240–e249. [Google Scholar] [CrossRef] [PubMed]
- De Vito, D.; Di Ciaula, A.; Palmieri, V.O.; Trerotoli, P.; Larocca, A.M.V.; Montagna, M.T.; Portincasa, P. Reduced COVID-19 mortality linked with early antibodies against SARS-CoV-2, irrespective of age. Eur. J. Intern. Med. 2022, 98, 77–82. [Google Scholar] [CrossRef] [PubMed]
- Garcia-Beltran, W.F.; Lam, E.C.; Astudillo, M.G.; Yang, D.; Miller, T.E.; Feldman, J.; Hauser, B.M.; Caradonna, T.M.; Clayton, K.L.; Nitido, A.D.; et al. COVID-19-neutralizing antibodies predict disease severity and survival. Cell 2021, 184, 476–488.e11. [Google Scholar] [CrossRef] [PubMed]
- Chen, X.; Chen, Z.; Azman, A.S.; Sun, R.; Lu, W.; Zheng, N.; Zhou, J.; Wu, Q.; Deng, X.; Zhao, Z.; et al. Neutralizing Antibodies Against Severe Acute Respiratory Syndrome Coronavirus 2 (SARS-CoV-2) Variants Induced by Natural Infection or Vaccination: A Systematic Review and Pooled Analysis. Clin. Infect Dis. 2021, 74, 734–742. [Google Scholar] [CrossRef] [PubMed]
- Khoury, D.S.; Cromer, D.; Reynaldi, A.; Schlub, T.E.; Wheatley, A.K.; Juno, J.A.; Subbarao, K.; Kent, S.J.; Triccas, J.A.; Davenport, M.P. Neutralizing antibody levels are highly predictive of immune protection from symptomatic SARS-CoV-2 infection. Nat. Med. 2021, 27, 1205–1211. [Google Scholar] [CrossRef]
- Hatzakis, A.; Karabinis, A.; Roussos, S.; Pantazis, N.; Degiannis, D.; Chaidaroglou, A.; Petsios, K.; Pavlopoulou, I.; Tsiodras, S.; Paraskevis, D.; et al. Modelling SARS-CoV-2 Binding Antibody Waning 8 Months after BNT162b2 Vaccination. Vaccines 2022, 10, 285. [Google Scholar] [CrossRef]
- Jacobsen, H.; Sitaras, I.; Katzmarzyk, M.; Cobos Jiménez, V.; Naughton, R.; Higdon, M.M.; Deloria Knoll, M. Systematic review and meta-analysis of the factors affecting waning of post-vaccination neutralizing antibody responses against SARS-CoV-2. NPJ Vaccines 2023, 8, 159. [Google Scholar] [CrossRef]
- Chvatal-Medina, M.; Mendez-Cortina, Y.; Patiño, P.J.; Velilla, P.A.; Rugeles, M.T. Antibody Responses in COVID-19: A Review. Front. Immunol. 2021, 12, 633184. Available online: https://www.frontiersin.org/articles/10.3389/fimmu.2021.633184 (accessed on 29 January 2024). [CrossRef]
- Kodde, C.; Tafelski, S.; Balamitsa, E.; Nachtigall, I.; Bonsignore, M. Factors Influencing Antibody Response to SARS-CoV-2 Vaccination. Vaccines 2023, 11, 451. [Google Scholar] [CrossRef] [PubMed]
- Pollard, A.J.; Bijker, E.M. A guide to vaccinology: From basic principles to new developments. Nat. Rev. Immunol. 2021, 21, 83–100. [Google Scholar] [CrossRef] [PubMed]
- Charles, A.; Janeway, J.; Travers, P.; Walport, M.; Shlomchik, M.J. T Cell-Mediated Immunity. In Immunobiology: The Immune System in Health and Disease 5th Edition [Internet]; Garland Science: New York, NY, USA, 2001. Available online: https://www.ncbi.nlm.nih.gov/books/NBK10762/ (accessed on 29 January 2024).
- Gray, J.I.; Westerhof, L.M.; MacLeod, M.K.L. The roles of resident, central and effector memory CD4 T-cells in protective immunity following infection or vaccination. Immunology 2018, 154, 574–581. [Google Scholar] [CrossRef] [PubMed]
- Wilk, M.M.; Mills, K.H.G. CD4 TRM Cells Following Infection and Immunization: Implications for More Effective Vaccine Design. Front. Immunol. 2018, 9, 398194. Available online: https://www.frontiersin.org/articles/10.3389/fimmu.2018.01860 (accessed on 29 January 2024). [CrossRef] [PubMed]
- Yang, Y.; Miller, H.; Byazrova, M.G.; Cndotti, F.; Benlagha, K.; Camara, N.O.S.; Shi, J.; Forsman, H.; Lee, P.; Yang, L.; et al. The characterization of CD8+ T-cell responses in COVID-19. Emerg. Microbes Infect. 2024, 13, 2287118. [Google Scholar] [CrossRef] [PubMed]
- Bachmann, M.F.; Oxenius, A. Interleukin 2: From immunostimulation to immunoregulation and back again. EMBO Rep. 2007, 8, 1142–1148. [Google Scholar] [CrossRef] [PubMed]
- Lee, A.J.; Ashkar, A.A. The Dual Nature of Type I and Type II Interferons. Front. Immunol. 2018, 9, 403701. Available online: https://www.frontiersin.org/articles/10.3389/fimmu.2018.02061 (accessed on 29 January 2024). [CrossRef] [PubMed]
- Malek, T.R. The Biology of Interleukin-2. Annu. Rev. Immunol. 2008, 26, 453–479. [Google Scholar] [CrossRef]
- Bachmann, M.F.; Wolint, P.; Walton, S.; Schwarz, K.; Oxenius, A. Differential role of IL-2R signaling for CD8+ T cell responses in acute and chronic viral infections. Eur. J. Immunol. 2007, 37, 1502–1512. [Google Scholar] [CrossRef]
- Ghanbari Naeini, L.; Abbasi, L.; Karimi, F.; Kokabian, P.; Abdi Abyaneh, F.; Naderi, D. The Important Role of Interleukin-2 in COVID-19. J. Immunol. Res. 2023, 2023, e7097329. [Google Scholar] [CrossRef]
- Mantus, G.; Nyhoff, L.E.; Edara, V.V.; Zarnitsyna, V.I.; Ciric, C.R.; Flowers, M.W.; Norwood, C.; Ellis, M.; Hussaini, L.; Manning, K.E.; et al. Pre-existing SARS-CoV-2 immunity influences potency, breadth, and durability of the humoral response to SARS-CoV-2 vaccination. Cell Rep. Med. 2022, 3, 100603. [Google Scholar] [CrossRef] [PubMed]
- Wills-Karp, M.; Finkelman, F.D. Untangling the Complex Web of IL-4– and IL-13–Mediated Signaling Pathways. Sci. Signal. 2008, 1, pe55. [Google Scholar] [CrossRef] [PubMed]



| CoV2-IB 0322 Vaccine (n = 60) | COVOVAX™ Vaccine (n = 60) | p | |
|---|---|---|---|
| Mean age/years (SD) | 38.47 (14.49) | 37.52 (13.09) | 0.785 |
| Sex (%) Men Women | 41 (68.3) 19 (31.7) | 29 (48.3) 31 (51.7) | 0.041 |
| BMI median (min–max) | 23.35 (14.14–38.95) | 21.7 (15.32–40.32) | 0.274 |
| Comorbidities (%) Yes No | 9 (15) 51 (85) | 12 (20) 48 (80) | 0.471 |
| Occupation Private employee Entrepreneur Labor Healthcare workers Other Unemployed | 4 (6.7) 5 (8.3) 15 (25) 1 (1.7) 8 (13.3) 27 (45) | 5 (8.3) 8 (13.3) 12 (20) 0 (0) 4 (6.7) 31 (51.7) | 0.587 |
| Time Point | Parameter | CoV2-IB 0322 Vaccine (n = 55) | COVOVAX™ Vaccine (n = 54) | p |
|---|---|---|---|---|
| Before Vaccination (V1) | Seropositive rate (%) | 32 (58.18) | 33 (61.11) | 0.755 |
| GMT (Dilution), 95% CI | 11.05 (7.02–17.39) | 12.85 (7.57–21.83) | 0.785 | |
| GMT (IU/mL), 95% CI | 125.37 (79.89–196.75) | 145.20 (85.96–245.27) | 0.785 | |
| 14 days after 2nd dose (V2a) | Seropositive rate (%) | 47 (85.45) | 54 (100) | 0.004 |
| GMT (Dilution), 95% CI | 187.48 (104.57–336.15) | 291.84 (217.94–390.82) | 0.014 | |
| GMT (IU/mL), 95% CI | 2109.62 (1179.12–3774.41) | 3264.58 (2437.69–4371.96) | 0.014 | |
| 6 months after 2nd dose (V3b) | Seropositive rate (%) | 50 (90.91) | 54 (100) | 0.023 |
| GMT (Dilution), 95% CI | 114.09 (69.29–187.84) | 86.48 (59.15–126.44) | 0.101 | |
| GMT (IU/mL), 95% CI | 1282.33 (780.41–2107.06) | 970.50 (662.85–1420.93) | 0.101 | |
| 12 months after 2nd dose (V4) | Seropositive rate (%) | 47 (85.45) | 52 (96.3) | 0.050 |
| GMT (Dilution), 95% CI | 65.39 (38.31–111.59) | 96.74 (62.98–148.61) | 0.486 | |
| GMT (IU/mL), 95% CI | 736.51 (432.99–1252.81) | 1096.45 (714.99–1681.44) | 0.486 |
| Time Point | Parameter | CoV2-IB 0322 Vaccine (n = 55) | COVOVAX™ Vaccine (n = 54) | p |
|---|---|---|---|---|
| Before Vaccination (V1) | Seropositive rate (%) | 41 (74.55) | 43 (79.63) | 0.528 |
| IgG (AU/mL), 95% CI | 249.67 (148.53–419.68) | 280.18 (168.87–464.85) | 0.841 | |
| IgG (BAU/mL), 95% CI | 35.45 (21.09–59.59) | 39.78 (23.98–66.00) | 0.841 | |
| 14 days after 2nd dose (V2a) | Seropositive rate (%) | 55 (100) | 54 (100) | N/A (a) |
| IgG (AU/mL), 95% CI | 16,344.46 (10,536.68–25,353.48) | 18,447.30 (15,460.51–22,011.10) | 0.014 | |
| IgG (BAU/mL), 95% CI | 2320.93 (1496.22–3600.20) | 2619.52 (2195.39–3125.58) | 0.014 | |
| 6 months after 2nd dose (V3b) | Seropositive rate (%) | 54 (98.18) | 54 (100) | 0.023 |
| IgG (AU/mL), 95% CI | 8252.78 (5269.71–12,924.49) | 3156.47 (2378.51–4188.88) | <0.001 | |
| IgG (BAU/mL), 95% CI | 1171.88 (748.28–1835.28) | 448.22 (337.75–594.82) | <0.001 | |
| 12 months after 2nd dose (V4) | Seropositive rate (%) | 51 (92.73) | 54 (100) | 0.043 |
| IgG (AU/mL), 95% CI | 3613.01 (2229.86–5854.11) | 2678.50 (1948.96–3681.12) | 0.015 | |
| IgG (BAU/mL), 95% CI | 513.03 (316.62–831.28) | 380.35 (276.75–522.72) | 0.015 |
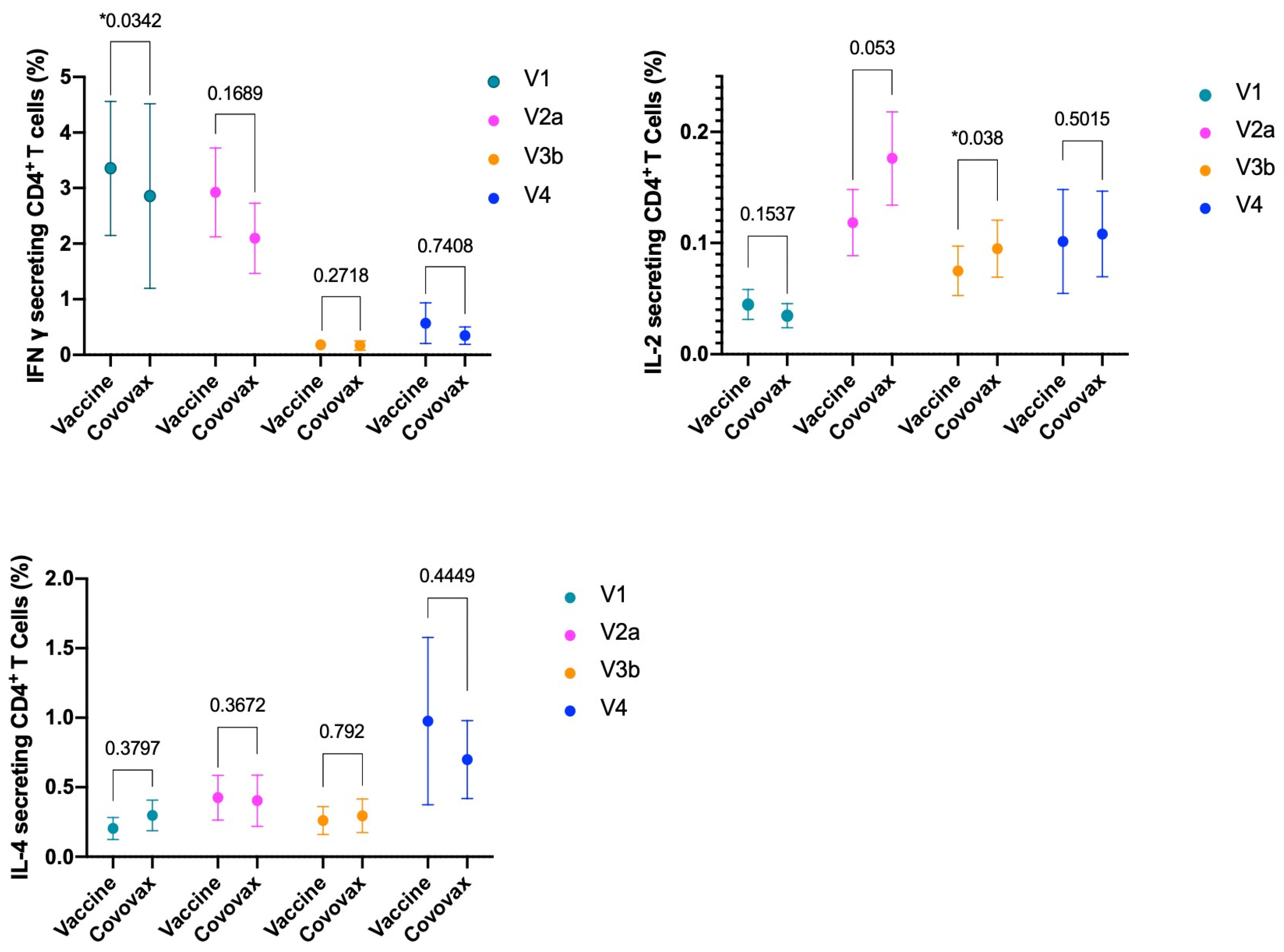
| Parameter | Time Point | CoV2-IB 0322 Vaccine | COVOVAX™ Vaccine | p |
|---|---|---|---|---|
| % IFNγ/CD4 | Before Vaccination (V1) | |||
| n | 52 | 52 | ||
| Mean, 95% CI | 3.33 (2.14–4.51) | 2.86 (1.20–4.52) | 0.034 | |
| 14 days after 2nd dose (V2a) | ||||
| n | 52 | 52 | ||
| Mean, 95% CI | 2.87 (2.07–3.66) | 2.10 (1.47–2.73) | 0.169 | |
| 6 months after 2nd dose (V3b) | ||||
| n | 54 | 53 | ||
| Mean, 95% CI | 0.18 (0.09–0.27) | 0.17 (0.09–0.25) | 0.272 | |
| 12 months after 2nd dose (V4) | ||||
| n | 54 | 53 | ||
| Mean, 95% CI | 0.57 (0.21–0.93) | 0.35 (0.19–0.50) | 0.741 | |
| % IL-2/CD4 | Before Vaccination (V1) | |||
| n | 52 | 52 | ||
| Mean, 95% CI | 0.033 (0.031–0.058) | 0.029 (0.023–0.046) | 0.034 | |
| 14 days after 2nd dose (V2a) | ||||
| n | 52 | 52 | ||
| Mean, 95% CI | 0.118 (0.089–0.148) | 0.176 (0.134–0.218) | 0.053 | |
| 6 months after 2nd dose (V3b) | ||||
| n | 54 | 53 | ||
| Mean, 95% CI | 0.075 (0.053–0.097) | 0.095 (0.069–0.12) | 0.038 | |
| 12 months after 2nd dose (V4) | ||||
| n | 54 | 53 | ||
| Mean, 95% CI | 0.10 (0.055–0.150) | 0.11 (0.070–0.150) | 0.501 | |
| % IL-4/CD4 | Before Vaccination (V1) | |||
| n | 52 | 52 | ||
| Mean, 95% CI | 0.204 (0.125–0.283) | 0.297 (0.187–0.407) | 0.380 | |
| 14 days after 2nd dose (V2a) | ||||
| n | 52 | 52 | ||
| Mean, 95% CI | 0.425 (0.264–0.586) | 0.404 (0.220–0.588) | 0.367 | |
| 6 months after 2nd dose (V3b) | ||||
| n | 54 | 53 | ||
| Mean, 95% CI | 0.261 (0.161–0.361) | 0.295 (0.174–0.415) | 0.792 | |
| 12 months after 2nd dose (V4) | ||||
| n | 54 | 53 | ||
| Mean, 95% CI | 0.975 (0.374–1.580) | 0.699 (0.419–0.980) | 0.445 | |
| % IFNγ/CD8 | Before Vaccination (V1) | |||
| n | 52 | 52 | ||
| Mean, 95% CI | 1.98 (1.17–2.79) | 1.49 (0.70–2.29) | 0.068 | |
| 14 days after 2nd dose (V2a) | ||||
| n | 52 | 52 | ||
| Mean, 95% CI | 2.50 (1.83–3.16) | 1.82 (1.22–2.42) | 0.102 | |
| 6 months after 2nd dose (V3b) | ||||
| n | 54 | 53 | ||
| Mean, 95% CI | 0.29 (0.11–0.48) | 0.25 (0.09–0.41) | 0.820 | |
| 12 months after 2nd dose (V4) | ||||
| n | 54 | 53 | ||
| Mean, 95% CI | 0.69 (0.01–1.37) | 0.30 (0.19–0.42) | 0.470 | |
| % IL-2/CD8 | Before Vaccination (V1) | |||
| n | 52 | 52 | ||
| Mean, 95% CI | 0.011 (0.005–0.017) | 0.014 (0.006–0.207) | 0.301 | |
| 14 days after 2nd dose (V2a) | ||||
| n | 52 | 52 | ||
| Mean, 95% CI | 0.327 (0.244–0.898) | 0.399 (0.329–1.127) | 0.536 | |
| 6 months after 2nd dose (V3b) | ||||
| n | 54 | 53 | ||
| Mean, 95% CI | 0.054 (0.018–0.089) | 0.097 (0.051–0.142) | 0.536 | |
| 12 months after 2nd dose (V4) | ||||
| n | 54 | 53 | ||
| Mean, 95% CI | 0.088 (0.054–0.123) | 0.105 (0.060–0.150) | 0.394 |
Disclaimer/Publisher’s Note: The statements, opinions and data contained in all publications are solely those of the individual author(s) and contributor(s) and not of MDPI and/or the editor(s). MDPI and/or the editor(s) disclaim responsibility for any injury to people or property resulting from any ideas, methods, instructions or products referred to in the content. |
© 2024 by the authors. Licensee MDPI, Basel, Switzerland. This article is an open access article distributed under the terms and conditions of the Creative Commons Attribution (CC BY) license (https://creativecommons.org/licenses/by/4.0/).
Share and Cite
Shakinah, S.; Aini, M.H.; Sekartini, R.; Soedjatmiko; Medise, B.E.; Gunardi, H.; Yuniar, I.; Indawati, W.; Koesnoe, S.; Harimurti, K.; et al. Immunogenicity Assessment of the SARS-CoV-2 Protein Subunit Recombinant Vaccine (CoV2-IB 0322) in a Substudy of a Phase 3 Trial in Indonesia. Vaccines 2024, 12, 371. https://doi.org/10.3390/vaccines12040371
Shakinah S, Aini MH, Sekartini R, Soedjatmiko, Medise BE, Gunardi H, Yuniar I, Indawati W, Koesnoe S, Harimurti K, et al. Immunogenicity Assessment of the SARS-CoV-2 Protein Subunit Recombinant Vaccine (CoV2-IB 0322) in a Substudy of a Phase 3 Trial in Indonesia. Vaccines. 2024; 12(4):371. https://doi.org/10.3390/vaccines12040371
Chicago/Turabian StyleShakinah, Sharifah, Muhammad Hafiz Aini, Rini Sekartini, Soedjatmiko, Bernie Endyarni Medise, Hartono Gunardi, Irene Yuniar, Wahyuni Indawati, Sukamto Koesnoe, Kuntjoro Harimurti, and et al. 2024. "Immunogenicity Assessment of the SARS-CoV-2 Protein Subunit Recombinant Vaccine (CoV2-IB 0322) in a Substudy of a Phase 3 Trial in Indonesia" Vaccines 12, no. 4: 371. https://doi.org/10.3390/vaccines12040371
APA StyleShakinah, S., Aini, M. H., Sekartini, R., Soedjatmiko, Medise, B. E., Gunardi, H., Yuniar, I., Indawati, W., Koesnoe, S., Harimurti, K., Maria, S., Wirahmadi, A., Sari, R. M., Setyaningsih, L., & Surachman, F. (2024). Immunogenicity Assessment of the SARS-CoV-2 Protein Subunit Recombinant Vaccine (CoV2-IB 0322) in a Substudy of a Phase 3 Trial in Indonesia. Vaccines, 12(4), 371. https://doi.org/10.3390/vaccines12040371

