The Potential Impact of a Single-Dose HPV Vaccination Schedule on Cervical Cancer Outcomes in Kenya: A Mathematical Modelling and Health Economic Analysis
Abstract
1. Introduction
2. Methods
2.1. Model Description
2.2. Modelled Scenarios
2.3. Epidemiologic Outcomes
2.4. Costs and Economic Outcomes
2.5. Cost Sensitivity Analysis
| Key Model Inputs | Inputs | ||
| HPV routine vaccination | |||
| 1–2 | ||
| Beta distribution (α = 10.76 and β = 0.15) to reflect 100% (95% CI 88.4, 100) [32] | ||
| Beta distribution (α = 49.7 and β = 1.6) to reflect 97.5% (95% CI 90.0, 99.4) [10] | ||
| Linear scale-up of coverage from 0–16% between 2019–2020, and then 16–31% between 2020–2023 [7] | ||
| 31% (current two-dose coverage), 50%, 70%, 77%, 90% [7] | ||
| 70%, 77% (current one-dose coverage), 90% [7] | ||
| Lifetime efficacy; combinations of EP 20, 25, 30 years and WP 10, 20 years | ||
| Lifetime efficacy a [18,31] | ||
| Additional vaccination strategies | Vaccination for all boys and girls by age 10 (90% coverage), age 11–19 catch-up of girls (46% coverage), age 11–24 catch-up of girls (33% coverage) | ||
| Cervical cancer screening | Screening with VIA, triage with colposcopy, and treatment with cryotherapy [35,44,45] | ||
| Costs b | Estimate (Range) [Source] | Costs, continued b | Estimate (Range) [Source] |
| HPV Vaccine | Vaccine delivery | ||
| 4.5 (4.5–4.5) [9,39] |
| 4.97 (3.98–5.98) [46] |
| 5 (4–6) [9,39] | Screening & Treatment | |
| 3 (2–4) [9,47] |
| 5 (5–5) [46] |
| 10 (8–12) [9,48] |
| 33.92 (27.00–40.79) [48] |
| Syringes |
| 50.56 (50.56–50.56) [46] | |
| 0.07 (0.06–0.08) [9,40] | Cervical Cancer | |
| 5 (4–6) [9,39] |
| 36.19 (36.19–36.19) [46] |
| 3 (2–4) [9] |
| 493.6 (493.6–493.6) [49] |
| 10 (8–12) [9] |
| 1279.10 (1021.23–1532.69) [9] |
| Safety boxes |
| 391.31 (311.84, 469.44) [46] | |
| 1.3 (1.3–1.3) [9,40] |
| 6447.33 (5174.22–7746.97) [9] |
| Total number of syringes per safety box | 100 [9] |
| 5086.06 (4087.13–6113.59) [46] |
| 0.0103 (0.0103–0.0103) [9] |
| 5086.05 (4084.71–6096.59) [9] |
| 5 (4–6) [9] | Disability Weights | |
| 3 (2–4) [9,47] |
| 0.288 (0.193–0.399) [37,48] |
| 10 (8–12) [9,48] |
| 0.451 (0.307–0.600) [37,48] |
| 0.540 (0.377–0.687) [37,48] | ||
3. Results
3.1. Assuming Single-Dose Lifelong Efficacy
3.2. Assuming Waning Efficacy for Single-Dose Scenarios
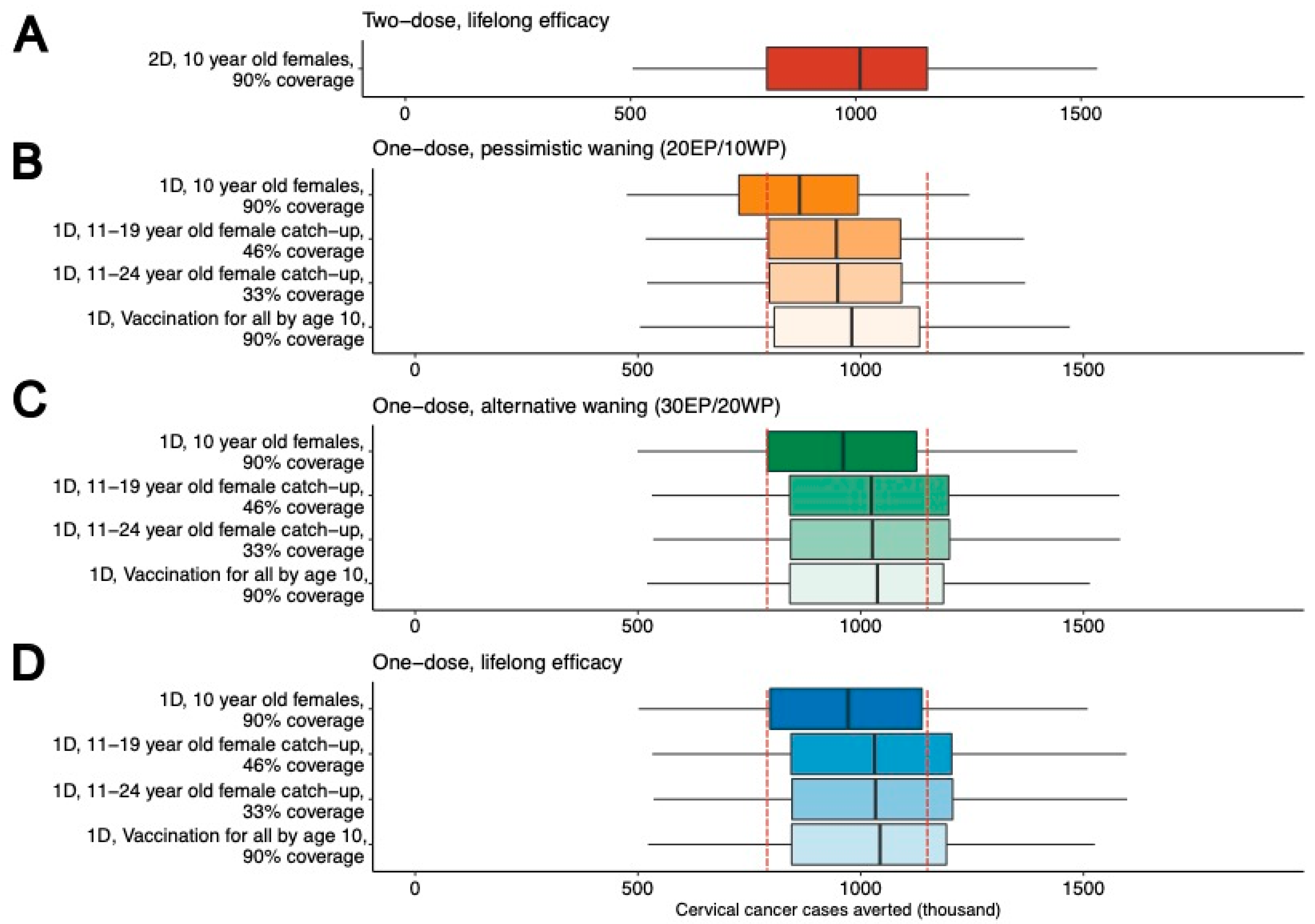
3.3. Assessing the Impact of Supplemental Vaccination Strategies
3.4. Sensitivity Analyses
4. Discussion
5. Conclusions
Supplementary Materials
Author Contributions
Funding
Institutional Review Board Statement
Informed Consent Statement
Data Availability Statement
Acknowledgments
Conflicts of Interest
References
- Bruni, L.; Albero, G.; Serrano, B.; Mena, M.; Collado, J.J.; Gómez, D.; Muñoz, J.; Bosch, F.X.; de Sanjosé, S. Human Papillomavirus and Related Diseases in the World. ICO/IARC Information Centre on HPV and Cancer (HPV Information Centre): Lyon, France, 2023. [Google Scholar]
- Kenya, Human Papillomavirus and Related Cancers, Fact Sheet 2023. Available online: https://hpvcentre.net/statistics/reports/KEN_FS.pdf?t=1730391205129 (accessed on 4 October 2023).
- Arbyn, M.; Xu, L.; Simoens, C.; Martin-Hirsch, P.P. Prophylactic vaccination against human papillomaviruses to prevent cervical cancer and its precursors. Cochrane Database Syst. Rev. 2018, 5, Cd009069. [Google Scholar] [CrossRef] [PubMed]
- Walboomers, J.M.; Meijer, C.J. Do HPV-negative cervical carcinomas exist? J. Pathol. 1997, 181, 253–254. [Google Scholar] [CrossRef]
- Walboomers, J.M.; Jacobs, M.V.; Manos, M.M.; Bosch, F.X.; Kummer, J.A.; Shah, K.V.; Snijders, P.J.; Peto, J.; Meijer, C.J.; Muñoz, N. Human papillomavirus is a necessary cause of invasive cervical cancer worldwide. J. Pathol. 1999, 189, 12–19. [Google Scholar] [CrossRef]
- WHO. Global Strategy to Accelerate the Elimination of Cervical Cancer as a Public Health Problem; WHO: Geneva, Switzerland, 2020. [Google Scholar]
- Karanja-Chege, C.M. HPV Vaccination in Kenya: The Challenges Faced and Strategies to Increase Uptake. Front. Public Health 2022, 10, 802947. [Google Scholar] [CrossRef]
- Optimizing Access to HPV Vaccination in Kenya by Using Data Triangulation in DHIS2 to Identify Coverage Gaps. Available online: https://dhis2.org/kenya-hpv-vaccination/ (accessed on 7 September 2023).
- Mwenda, V.; Jalang’o, R.; Miano, C.; Bor, J.P.; Nyangasi, M.; Mecca, L.; Were, V.; Kariithi, E.; Pecenka, C.; Schuind, A.; et al. Impact, cost-effectiveness, and budget implications of HPV vaccination in Kenya: A modelling study. Vaccine 2023, 41, 4228–4238. [Google Scholar] [CrossRef]
- Barnabas, R.V.; Brown, E.R.; Onono, M.A.; Bukusi, E.A.; Njoroge, B.; Winer, R.L.; Galloway, D.A.; Pinder, L.F.; Donnell, D.; Wakhungu, I.N.; et al. Durability of single-dose HPV vaccination in young Kenyan women: Randomized controlled trial 3-year results. Nat. Med. 2023, 29, 3224–3232. [Google Scholar] [CrossRef]
- Watson-Jones, D.; Changalucha, J.; Whitworth, H.; Pinto, L.; Mutani, P.; Indangasi, J.; Kemp, T.; Hashim, R.; Kamala, B.; Wiggins, R.; et al. Immunogenicity and safety of one-dose human papillomavirus vaccine compared with two or three doses in Tanzanian girls (DoRIS): An open-label, randomised, non-inferiority trial. Lancet Glob. Health 2022, 10, e1473–e1484. [Google Scholar] [CrossRef] [PubMed]
- Setiawan, D.; Nurulita, N.A.; Khoirunnisa, S.M.; Postma, M.J. The clinical effectiveness of one-dose vaccination with an HPV vaccine: A meta-analysis of 902,368 vaccinated women. PLoS ONE 2024, 19, e0290808. [Google Scholar] [CrossRef]
- Basu, P.; Malvi, S.G.; Joshi, S.; Bhatla, N.; Muwonge, R.; Lucas, E.; Verma, Y.; Esmy, P.O.; Poli, U.R.R.; Shah, A.; et al. Vaccine efficacy against persistent human papillomavirus (HPV) 16/18 infection at 10 years after one, two, and three doses of quadrivalent HPV vaccine in girls in India: A multicentre, prospective, cohort study. Lancet Oncol. 2021, 22, 1518–1529. [Google Scholar] [CrossRef]
- Kreimer, A.R.; Sampson, J.N.; Porras, C.; Schiller, J.T.; Kemp, T.; Herrero, R.; Wagner, S.; Boland, J.; Schussler, J.; Lowy, D.R.; et al. Evaluation of Durability of a Single Dose of the Bivalent HPV Vaccine: The CVT Trial. J. Natl. Cancer Inst. 2020, 112, 1038–1046. [Google Scholar] [CrossRef]
- Kreimer, A.R.; Struyf, F.; Del Rosario-Raymundo, M.R.; Hildesheim, A.; Skinner, S.R.; Wacholder, S.; Garland, S.M.; Herrero, R.; David, M.P.; Wheeler, C.M.; et al. Efficacy of fewer than three doses of an HPV-16/18 AS04-adjuvanted vaccine: Combined analysis of data from the Costa Rica Vaccine and PATRICIA Trials. Lancet Oncol. 2015, 16, 775–786. [Google Scholar] [CrossRef] [PubMed]
- Safaeian, M.; Sampson, J.N.; Pan, Y.; Porras, C.; Kemp, T.J.; Herrero, R.; Quint, W.; van Doorn, L.J.; Schussler, J.; Lowy, D.R.; et al. Durability of Protection Afforded by Fewer Doses of the HPV16/18 Vaccine: The CVT Trial. J. Natl. Cancer Inst. 2018, 110, 205–212. [Google Scholar] [CrossRef] [PubMed]
- Burger, E.A.; Laprise, J.F.; Sy, S.; Regan, M.C.; Prem, K.; Jit, M.; Brisson, M.; Kim, J.J. Now or later: Health impacts of delaying single-dose HPV vaccine implementation in a high-burden setting. Int. J. Cancer 2022, 151, 1804–1809. [Google Scholar] [CrossRef]
- Burger, E.A.; Campos, N.G.; Sy, S.; Regan, C.; Kim, J.J. Health and economic benefits of single-dose HPV vaccination in a Gavi-eligible country. Vaccine 2018, 36, 4823–4829. [Google Scholar] [CrossRef] [PubMed]
- Bénard, É.; Drolet, M.; Laprise, J.F.; Gingras, G.; Jit, M.; Boily, M.C.; Bloem, P.; Brisson, M. Potential population-level effectiveness of one-dose HPV vaccination in low-income and middle-income countries: A mathematical modelling analysis. Lancet Public Health 2023, 8, e788–e799. [Google Scholar] [CrossRef]
- Prem, K.; Choi, Y.H.; Bénard, É.; Burger, E.A.; Hadley, L.; Laprise, J.F.; Regan, M.C.; Drolet, M.; Sy, S.; Abbas, K.; et al. Global impact and cost-effectiveness of one-dose versus two-dose human papillomavirus vaccination schedules: A comparative modelling analysis. BMC Med. 2023, 21, 313. [Google Scholar] [CrossRef]
- De Carvalho, T.M.; Man, I.; Georges, D.; Saraswati, L.R.; Bhandari, P.; Kataria, I.; Siddiqui, M.; Muwonge, R.; Lucas, E.; Sankaranarayanan, R.; et al. Health and economic effects of introducing single-dose or two-dose human papillomavirus vaccination in India. BMJ Glob. Health 2023, 8, e012580. [Google Scholar] [CrossRef]
- Palmer, T.J.; Kavanagh, K.; Cuschieri, K.; Cameron, R.; Graham, C.; Wilson, A.; Roy, K. Invasive cervical cancer incidence following bivalent human papillomavirus vaccination: A population-based observational study of age at immunization, dose, and deprivation. J. Natl. Cancer Inst. 2024, 116, 857–865. [Google Scholar] [CrossRef]
- WHO. Human. Papillomavirus Vaccines: WHO Position Paper, December 2022; WHO: Geneva, Switzerland, 2022. [Google Scholar]
- Africa Immunization Advisory Group Urges Single-Dose HPV Vaccine Adoption to Advance Vaccination Efforts. Available online: https://www.afro.who.int/news/africa-immunization-advisory-group-urges-single-dose-hpv-vaccine-adoption-advance-vaccination (accessed on 27 March 2024).
- Romero, B. Durability of HPV-16/18 Antibodies 16 Years After a Single Dose of the Bivalent HPV Vaccine: The Costa Rica HPV Vaccine Trial. In Proceedings of the 35th International Papillomavirus Conference, Washington, DC, USA, 21 April 2023. [Google Scholar]
- Liu, G.; Mugo, N.R.; Bayer, C.; Rao, D.W.; Onono, M.; Mgodi, N.M.; Chirenje, Z.M.; Njoroge, B.W.; Tan, N.; Bukusi, E.A.; et al. Impact of catch-up human papillomavirus vaccination on cervical cancer incidence in Kenya: A mathematical modeling evaluation of HPV vaccination strategies in the context of moderate HIV prevalence. EClinicalMedicine 2022, 45, 101306. [Google Scholar] [CrossRef]
- Rao, D.W.; Bayer, C.J.; Liu, G.; Chikandiwa, A.; Sharma, M.; Hathaway, C.L.; Tan, N.; Mugo, N.; Barnabas, R.V. Modelling cervical cancer elimination using single-visit screening and treatment strategies in the context of high HIV prevalence: Estimates for KwaZulu-Natal, South Africa. J. Int. AIDS Soc. 2022, 25, e26021. [Google Scholar] [CrossRef]
- Mboumba Bouassa, R.S.; Prazuck, T.; Lethu, T.; Meye, J.F.; Bélec, L. Cervical cancer in sub-Saharan Africa: An emerging and preventable disease associated with oncogenic human papillomavirus. Med. Sante Trop. 2017, 27, 16–22. [Google Scholar] [CrossRef] [PubMed]
- Stelzle, D.; Tanaka, L.F.; Lee, K.K.; Ibrahim Khalil, A.; Baussano, I.; Shah, A.S.V.; McAllister, D.A.; Gottlieb, S.L.; Klug, S.J.; Winkler, A.S.; et al. Estimates of the global burden of cervical cancer associated with HIV. Lancet Glob. Health 2021, 9, e161–e169. [Google Scholar] [CrossRef] [PubMed]
- UNAIDS Data; Joint United Nations Programme on HIV/AIDS: Geneva, Switzerland, 2020.
- Daniels, V.; Saxena, K.; Patterson-Lomba, O.; Gomez-Lievano, A.; Saah, A.; Luxembourg, A.; Velicer, C.; Chen, Y.-T.; Elbasha, E. Modeling the health and economic implications of adopting a 1-dose 9-valent human papillomavirus vaccination regimen in a high-income country setting: An analysis in the United Kingdom. Vaccine 2022, 40, 2173–2183. [Google Scholar] [CrossRef] [PubMed]
- Kjaer, S.K.; Sigurdsson, K.; Iversen, O.E.; Hernandez-Avila, M.; Wheeler, C.M.; Perez, G.; Brown, D.R.; Koutsky, L.A.; Tay, E.H.; García, P.; et al. A pooled analysis of continued prophylactic efficacy of quadrivalent human papillomavirus (Types 6/11/16/18) vaccine against high-grade cervical and external genital lesions. Cancer Prev. Res. 2009, 2, 868–878. [Google Scholar] [CrossRef] [PubMed]
- Mwenda, V.; Mburu, W.; Bor, J.P.; Nyangasi, M.; Arbyn, M.; Weyers, S.; Tummers, P.; Temmerman, M. Cervical cancer programme, Kenya, 2011-2020: Lessons to guide elimination as a public health problem. Ecancermedicalscience 2022, 16, 1442. [Google Scholar] [CrossRef]
- World Health Organization. Human papillomavirus vaccines: WHO position paper (2022 update). World Health Organ. Wkly. Epidemiol. Rec. 2022, 97, 645–672. [Google Scholar]
- Kemper, K.E.; McGrath, C.J.; Eckert, L.O.; Kinuthia, J.; Singa, B.; Langat, A.; Drake, A.L. Correlates of cervical cancer screening among women living with HIV in Kenya: A cross-sectional study. Int. J. Gynecol. Obstet. 2022, 156, 151–158. [Google Scholar] [CrossRef]
- Ahmad, O.B.; Boschi Pinto, C.; Lopez, A.; Murray, C.; Lozano, R.; Inoue, M. Age Standardization of Rates: A New WHO Standard; World Health Organization: Geneva, Switzerland, 2001; No. 31. [Google Scholar]
- Global Burden of Disease Study 2019 (GBD 2019) Disability Weights. Available online: http://ghdx.healthdata.org/record/ihme-data/gbd-2019-disability-weights (accessed on 20 February 2024).
- Life Tables by Country: Kenya. Available online: https://apps.who.int/gho/data/view.main.60850?lang=en (accessed on 15 February 2024).
- Gavi Secretariat and Partners. Gavi-Supported HPV Vaccines Profiles to Support Country Decision Making. Available online: https://www.gavi.org/sites/default/files/document/2022/Gavi-HPV-vaccines-profile-Jan_2022_0.pdf (accessed on 29 June 2024).
- Syringe and Safety Box Bundles Price Data. Available online: https://www.unicef.org/supply/documents/syringe-and-safety-box-bundles-price-data (accessed on 20 February 2024).
- Neumann, P.J.; Sanders, G.D.; Russell, L.B.; Siegel, J.E.; Ganiats, T.G. Cost-Effectiveness in Health and Medicine; Oxford University Press: Oxford, UK, 2016; p. 536. [Google Scholar]
- Canfell, K.; Kim, J.J.; Kulasingam, S.; Berkhof, J.; Barnabas, R.; Bogaards, J.A.; Campos, N.; Jennett, C.; Sharma, M.; Simms, K.T.; et al. HPV-FRAME: A consensus statement and quality framework for modelled evaluations of HPV-related cancer control. Papillomavirus Res. 2019, 8, 100184. [Google Scholar] [CrossRef]
- Husereau, D.; Drummond, M.; Augustovski, F.; de Bekker-Grob, E.; Briggs, A.H.; Carswell, C.; Caulley, L.; Chaiyakunapruk, N.; Greenberg, D.; Loder, E.; et al. Consolidated Health Economic Evaluation Reporting Standards 2022 (CHEERS 2022) Statement: Updated Reporting Guidance for Health Economic Evaluations. Value Health 2022, 25, 3–9. [Google Scholar] [CrossRef]
- Khozaim, K.; Orang’o, E.; Christoffersen-Deb, A.; Itsura, P.; Oguda, J.; Muliro, H.; Ndiema, J.; Mwangi, G.; Strother, M.; Cu-Uvin, S.; et al. Successes and challenges of establishing a cervical cancer screening and treatment program in western Kenya. Int. J. Gynaecol. Obstet. 2014, 124, 12–18. [Google Scholar] [CrossRef]
- Gakidou, E.; Nordhagen, S.; Obermeyer, Z. Coverage of cervical cancer screening in 57 countries: Low average levels and large inequalities. PLoS Med. 2008, 5, e132. [Google Scholar] [CrossRef] [PubMed]
- Mensah, J.; Korir, J.; Nugent, R.; Hutchinson, B. Combating Noncommunicable Diseases in Kenya; World Bank Group: Washington, DC, USA, 2020. [Google Scholar]
- Handling Fees. Available online: https://www.unicef.org/supply/handling-fees (accessed on 20 February 2024).
- Vodicka, E.; Nonvignon, J.; Antwi-Agyei, K.O.; Bawa, J.; Clark, A.; Pecenka, C.; LaMontagne, D.S. The projected cost-effectiveness and budget impact of HPV vaccine introduction in Ghana. Vaccine 2022, 40 (Suppl. S1), A85–A93. [Google Scholar] [CrossRef] [PubMed]
- Atieno, O.M.; Opanga, S.; Martin, A.; Kurdi, A.; Godman, B. Pilot study assessing the direct medical cost of treating patients with cancer in Kenya; findings and implications for the future. J. Med. Econ. 2018, 21, 878–887. [Google Scholar] [CrossRef] [PubMed]
- Umutesi, G.; Weiner, B.J.; Oluoch, L.; Bukusi, E.A.; Onono, M.; Njoroge, B.; Mecca, L.; Ngure, K.; Mugo, N.R.; Barnabas, R.V. Acceptability of Single-dose HPV Vaccination Schedule Among Healthcare Providers in Kenya: A Mixed-Methods Study. J. Natl. Cancer Inst. 2024, 2024, 358–370. [Google Scholar] [CrossRef]




| Dose and Durability | Coverage | Additional Strategy c | Cervical Cancer Incidence, per 100,000 a | Percent Reduction in Incidence | Cumulative Cancer Cases Averted | Number of Vaccines (Millions) | Number of Vaccines to Avert 1 Cervical Cancer Case (Thousands) | Year Elimination Threshold Reached b |
|---|---|---|---|---|---|---|---|---|
| One-dose, lifelong efficacy scenarios | ||||||||
| No vaccination | 0% | 26.0 (12.3–39.2) | Reference | Reference | 0.0 (0.0–0.0) | Reference | X (X–X) | |
| Two-dose | 31% | 14.6 (5.6–23.8) | 33.4 (20.0–51.9) | 460,516 (273,506–637,270) | 77.1 (69.7–79.4) | 16.0 (11.9–28.0) | X (X–X) | |
| 50% | 9.1 (3.0–15.8) | 51.5 (36.4–73.7) | 705,734 (396,958–1,003,420) | 125.7 (113.7–129.6) | 17.0 (12.3–31.5) | X (2093–X) | ||
| 70% | 4.9 (1.8–9.1) | 66.4 (50.0–85.1) | 900,106 (471,208–1,317,820) | 177 (160.0–182.5) | 18.7 (13.2–37.4) | X (2080–X) | ||
| 77% | 3.9 (1.7–7.3) | 70.4 (53.8–86.7) | 949,784 (485,919–1,406,610) | 194.9 (176.2–201.0) | 19.6 (13.6–39.9) | 2117 (2078–X) | ||
| 90% | 2.9 (1.6–4.9) | 73.1 (59.7–88.8) | 1,009,341 (504,392–1,536,007) | 228.2 (206.4–235.3) | 21.4 (14.6–45.0) | 2094 (2076–X) | ||
| One-dose, lifelong efficacy | 70% | 5.2 (1.8–9.9) | 62.7 (46.5–83.7) | 851,996 (466,220–1,281,876) | 88.5 (80.0–91.2) | 9.9 (6.8–18.9) | X (2081–X) | |
| 77% | 4.1 (1.7–8.0) | 67.1 (50.5–86.1) | 899,829 (481,815–1,372,771) | 97.5 (88.1–100.5) | 10.2 (7.0–20.1) | X (2079–X) | ||
| 90% | 3.1 (1.6–5.3) | 72.5 (56.9–88.5) | 971,797 (501,399–1,509,509) | 114.1 (103.2–117.6) | 11.0 (7.4–22.7) | 2096 (2076–X) | ||
| One-dose, waning efficacy scenarios | ||||||||
| One-dose, 20 EP/20 WP | 90% | 3.7 (1.6–7.8) | 66.7 (49.5–87.2) | 908,713 (486,397–1,360,152) | 114.1 (103.2–117.6) | 11.8 (8.3–23.4) | 2112 (2078–X) | |
| One-dose, 25 EP/20 WP | 90% | 3.3 (1.6–6.2) | 70.7 (53.4–87.9) | 940,727 (494,742–1,444,153) | 114.1 (103.2–117.6) | 11.3 (7.8–23.0) | 2101 (2077–X) | |
| One-dose, 30 EP/20 WP | 90% | 3.1 (1.6–5.6) | 72.1 (55.7–88.4) | 960,471 (498,985–1,485,883) | 114.1 (103.2–117.6) | 11.1 (7.6–22.8) | 2098 (2076–X) | |
| One-dose, 20 EP/10 WP | 90% | 4.6 (1.7–10.2) | 61.5 (44.8–85.9) | 862,768 (474,837–1,243,891) | 114.1 (103.2–117.6) | 12.6 (9.0–23.9) | X (2080–X) | |
| One-dose, 25 EP/10 WP | 90% | 3.5 (1.6–7.1) | 68.3 (51.0–87.4) | 922,133 (490,080–1,394,175) | 114.1 (103.2–117.6) | 11.6 (8.1–23.2) | 2106 (2078–X) | |
| One-dose, 30 EP/10 WP | 90% | 3.2 (1.6–5.8) | 71.8 (54.8–88.2) | 952,911 (497,402–1,469,637) | 114.1 (103.2–117.6) | 11.2 (7.6–22.8) | 2099 (2076–X) | |
| One-dose, using cost savings to invest in an additional vaccination strategy, lifelong and waning efficacy scenarios | ||||||||
| One-dose, lifelong efficacy | 46% | CU girls age 11–19 | 3.0 (1.6–5.3) | 75.7 (63.6–88.7) | 1,031,065 (532,160–1,596,335) | 114.1 (103.2–117.7) | 10.3 (7.0–21.3) | 2092 (2072–X) |
| 33% | CU girls age 11–24 | 3.0 (1.6–5.3) | 75.6 (63.2–88.6) | 1,033,237 (535,074–1,598,068) | 114.1 (103.2–117.7) | 10.3 (7.0–21.2) | 2093 (2072–X) | |
| 90% | Vaccination for all by age 10 | 2.7 (1.6–3.8) | 76.3 (66.6–90.2) | 1,058,653 (526,325–1,656,407) | 221.9 (200.7–228.8) | 19.7 (13.2–42.0) | 2085 (2072–2105) | |
| One-dose, 30 EP/20 WP | 46% | CU girls age 11–19 | 3.1 (1.6–5.6) | 75.5 (63.0–88.5) | 1,024,003 (531,228–1,580,671) | 114.1 (103.2–117.7) | 10.4 (7.1–21.4) | 2094 (2072–X) |
| 33% | CU girls age 11–24 | 3.1 (1.6–5.6) | 75.4 (62.6–88.5) | 1,026,159 (534,146–1,582,341) | 114.1 (103.2–117.7) | 10.4 (7.1–21.3) | 2094 (2072–X) | |
| 90% | Vaccination for all by age 10 | 2.7 (1.6–3.8) | 75.9 (65.5–90.1) | 1,052,968 (524,145–1,643,371) | 221.9 (200.7–228.8) | 19.8 (13.3–42.1) | 2086 (2073–2107) | |
| One-dose, 20 EP/10 WP | 46% | CU girls age 11–19 | 4.5 (1.7–10.1) | 66.3 (54.0–86.3) | 945,419 (517,625–1,366,675) | 114.1 (103.2–117.7) | 11.5 (8.2–21.9) | X (2075–X) |
| 33% | CU girls age 11–24 | 4.5 (1.7–10.1) | 66.2 (53.8–86.3) | 948,401 (520,579–1,369,248) | 114.1 (103.2–117.7) | 11.5 (8.2–21.8) | X (2075–X) | |
| 90% | Vaccination for all by age 10 | 3.0 (1.6–5.6) | 72.4 (55.5–88.7) | 979,871 (504,294–1,469,412) | 221.9 (200.7–228.8) | 21.2 (14.9–43.8) | 2098 (2076–X) | |
| Possible Scenario | One-Dose Durability | Strategy | Total Cost (Million 2023 USD); Median (90% CI) a | Total DALYs (Thousand); Median (90% CI) a | Incremental Cost (Million 2023 USD); Median (90% CI) a | DALYs Averted (Thousand); Median (90% CI) a | ICER ($ per DALY Averted); Median (90% CI) b |
|---|---|---|---|---|---|---|---|
| Vaccination of girls by age 10 only | Lifelong | No vaccination | 414.46 (230.62–606.00) | 6467.38 (3526.16–9180.60) | - | - | - |
| 1-dose, 70% coverage | 532.50 (411.14–676.31) | 4689.55 (2634.16–6757.53) | 122.38 (70.8–181.01) | 1625.58 (892–2423.09) | 74.60 (29.41–203.58) | ||
| 1-dose, 77% coverage | 546.33 (433.32–687.94) | 4569.15 (2592.00–6568.43) | 16.84 (11.63–22.18) | 111.46 (42.16–189.1) | 142.78 (61.72–527.97) | ||
| 2-dose, 31% coverage c | 553.82 (403.54–730.33) | 5573.07 (3039.92–8036.84) | - | - | Dominated | ||
| 1-dose, 90% coverage | 581.87 (475.74–713.27) | 4413.62 (2531.41–6270.33) | 34.14 (25.33–42.58) | 171.73 (60.6–298.11) | 197.44 (85.15–702.24) | ||
| 2-dose, 50% coverage c | 650.86 (522.48–814.85) | 5052.00 (2791.19–7317.65) | - | - | Dominated | ||
| 2-dose, 70% coverage c | 769.83 (654.07–912.34) | 4645.83 (2620.47–6680.84) | - | - | Dominated | ||
| 2-dose, 77% coverage c | 809.38 (701.45–948.99) | 4541.81 (2579.57–6493.85) | - | - | Dominated | ||
| 2-dose, 90% coverage c | 885.85 (790.65–1021.16) | 4391.11 (2520.83–6205.23) | 313.33 (284–325.23) | 49.64 (6.16–115.54) | 6508.80 (2527.55–51,541.03) | ||
| Alternative waning (30 EP/20 WP) | 1-dose, 70% coverage | 534.73 (411.73–680.77) | 4712.72 (2640.58–6805.54) | 124.02 (75.71–181.1) | 1604.99 (885.57–2375.06) | 76.43 (31.67–205.15) | |
| 1-dose, 77% coverage | 548.46 (433.87–692.20) | 4590.55 (2598.04–6614.31) | 16.71 (11.42–22.14) | 112.74 (42.55–191.24) | 140.23 (59.94–522.43) | ||
| 1-dose, 90% coverage | 583.35 (476.25–716.95) | 4430.33 (2536.90–6310.30) | 33.9 (24.76–42.49) | 174.06 (61.14–304.01) | 191.95 (81.65–695.31) | ||
| 2-dose, 90% coverage | 885.85 (790.65–1021.16) | 4391.11 (2520.83–6205.23) | 312.05 (283.11–324.95) | 68.63 (15.86–146.08) | 4736.59 (2053.19–20,027.37) | ||
| Pessimistic waning (20 EP/10 WP) | 1-dose, 70% coverage | 552.53 (417.44–714.83) | 4949.92 (2713.50–7235.11) | 141.85 (120.03–187) | 1370.93 (807.36–1827.14) | 102.11 (66.41–232.15) | |
| 1-dose, 77% coverage | 566.41 (439.30–726.91) | 4824.51 (2667.34–7051.80) | 16.58 (13.32–23.97) | 115.94 (46.16–183.31) | 137.18 (66.12–475.72) | ||
| 1-dose, 90% coverage | 598.16 (481.21–751.26) | 4624.61 (2600.13–6741.83) | 32.67 (24.36–41.91) | 184.17 (67.21–309.98) | 168.55 (78.8–626.06) | ||
| 2-dose, 90% coverage | 885.85 (790.65–1021.16) | 4391.11 (2520.83–6205.23) | 291.13 (257.27–316.5) | 276.02 (79.3–536.6) | 1087.49 (503.03–3908.66) | ||
| Vaccination of girls by age 10 + additional vaccination strategies | Lifelong | 1-dose, 70% coverage | 532.50 (411.14–676.31) | 4689.55 (2634.16–6757.53) | 128.92 (99.49–183.61) | 1579.44 (839.55–2061.36) | 85.11 (48.29–236.32) |
| 1-dose, 11–24 YO catch-up of girls d | 580.44 (482.29–701.29) | 4108.85 (2356.00–5833.02) | 58.75 (39.37–135.52) | 603.47 (278.16–3347.58) | 78.73 (28.64–256.28) | ||
| 1-dose, 11–19 YO catch-up of girls e | 582.19 (483.80–703.48) | 4138.94 (2378.70–5864.55) | - | - | Dominated | ||
| 1-dose, Vaccination for all by age 10 f | 862.35 (771.21–983.84) | 4203.98 (2438.65–5868.82) | 279.07 (279.07–279.07) | 120.51 (120.51–120.51) | Weakly Dominated | ||
| Alternative waning (30 EP/20 WP) | 1-dose, 70% coverage | 534.73 (411.73–680.77) | 4712.72 (2640.58–6805.54) | 142.54 (112.35–192.57) | 1402.52 (720.28–1889.22) | 97.89 (59.68–348.11) | |
| 1-dose, 11–24 YO catch-up of girls d | 581.05 (482.42–703.09) | 4115.01 (2357.46–5852.30) | 69.23 (44.66–159.32) | 636.39 (283.12–3328.31) | 75.47 (29.35–250.21) | ||
| 1-dose, 11–19 YO catch-up of girls e | 582.80 (483.94–705.29) | 4145.09 (2380.17–5883.79) | - | - | Dominated | ||
| 1-dose, Vaccination for all by age 10 f | 863.94 (771.74–986.70) | 4219.35 (2444.50–5900.54) | 279.81 (279.81–279.81) | 110.68 (110.68–110.68) | Weakly Dominated | ||
| Pessimistic waning (20 EP/10 WP) | 1-dose, 70% coverage | 534.73 (411.73–680.77) | 4712.72 (2640.58–6805.54) | - | - | - | |
| 1-dose, 11–24 YO catch-up of girls d | 590.69 (484.67–729.11) | 4233.94 (2385.33–6174.27) | 182.22 (126.04–254.05) | 2066.75 (1140.82–3006.33) | 86.16 (41.12–223.31) | ||
| 1-dose, 11–19 YO catch-up of girls e | 592.52 (486.23–731.61) | 4265.01 (2408.43–6209.01) | - | - | Dominated | ||
| 1-dose, Vaccination for all by age 10 f | 879.21 (776.54–1016.81) | 4387.00 (2505.77–6278.66) | 285.63 (285.63–285.63) | 30.59 (30.59–30.59) | Weakly Dominated |
Disclaimer/Publisher’s Note: The statements, opinions and data contained in all publications are solely those of the individual author(s) and contributor(s) and not of MDPI and/or the editor(s). MDPI and/or the editor(s) disclaim responsibility for any injury to people or property resulting from any ideas, methods, instructions or products referred to in the content. |
© 2024 by the authors. Licensee MDPI, Basel, Switzerland. This article is an open access article distributed under the terms and conditions of the Creative Commons Attribution (CC BY) license (https://creativecommons.org/licenses/by/4.0/).
Share and Cite
Umutesi, G.; Hathaway, C.L.; Heitner, J.; Jackson, R.; Miano, C.W.; Mugambi, W.; Khalayi, L.; Mwenda, V.; Oluoch, L.; Nyangasi, M.; et al. The Potential Impact of a Single-Dose HPV Vaccination Schedule on Cervical Cancer Outcomes in Kenya: A Mathematical Modelling and Health Economic Analysis. Vaccines 2024, 12, 1248. https://doi.org/10.3390/vaccines12111248
Umutesi G, Hathaway CL, Heitner J, Jackson R, Miano CW, Mugambi W, Khalayi L, Mwenda V, Oluoch L, Nyangasi M, et al. The Potential Impact of a Single-Dose HPV Vaccination Schedule on Cervical Cancer Outcomes in Kenya: A Mathematical Modelling and Health Economic Analysis. Vaccines. 2024; 12(11):1248. https://doi.org/10.3390/vaccines12111248
Chicago/Turabian StyleUmutesi, Grace, Christine L. Hathaway, Jesse Heitner, Rachel Jackson, Christine W. Miano, Wesley Mugambi, Lydiah Khalayi, Valerian Mwenda, Lynda Oluoch, Mary Nyangasi, and et al. 2024. "The Potential Impact of a Single-Dose HPV Vaccination Schedule on Cervical Cancer Outcomes in Kenya: A Mathematical Modelling and Health Economic Analysis" Vaccines 12, no. 11: 1248. https://doi.org/10.3390/vaccines12111248
APA StyleUmutesi, G., Hathaway, C. L., Heitner, J., Jackson, R., Miano, C. W., Mugambi, W., Khalayi, L., Mwenda, V., Oluoch, L., Nyangasi, M., Jalang’o, R., Mugo, N. R., & Barnabas, R. V. (2024). The Potential Impact of a Single-Dose HPV Vaccination Schedule on Cervical Cancer Outcomes in Kenya: A Mathematical Modelling and Health Economic Analysis. Vaccines, 12(11), 1248. https://doi.org/10.3390/vaccines12111248

