Comparison of the Disease Severity and Outcome of Vaccinated COVID-19 Patients with Unvaccinated Patients in a Specialized COVID-19 Facility: A Retrospective Cohort Study from Karachi, Pakistan
Abstract
:1. Introduction
2. Materials and Methods
3. Results
3.1. Baseline Characteristics
3.2. Comparison of Baseline Characteristics of Unvaccinated COVID-19 Patients with Vaccinated COVID-19 Patients
3.3. Comparison of Outcome of Unvaccinated COVID-19 Patients with Vaccinated Patients
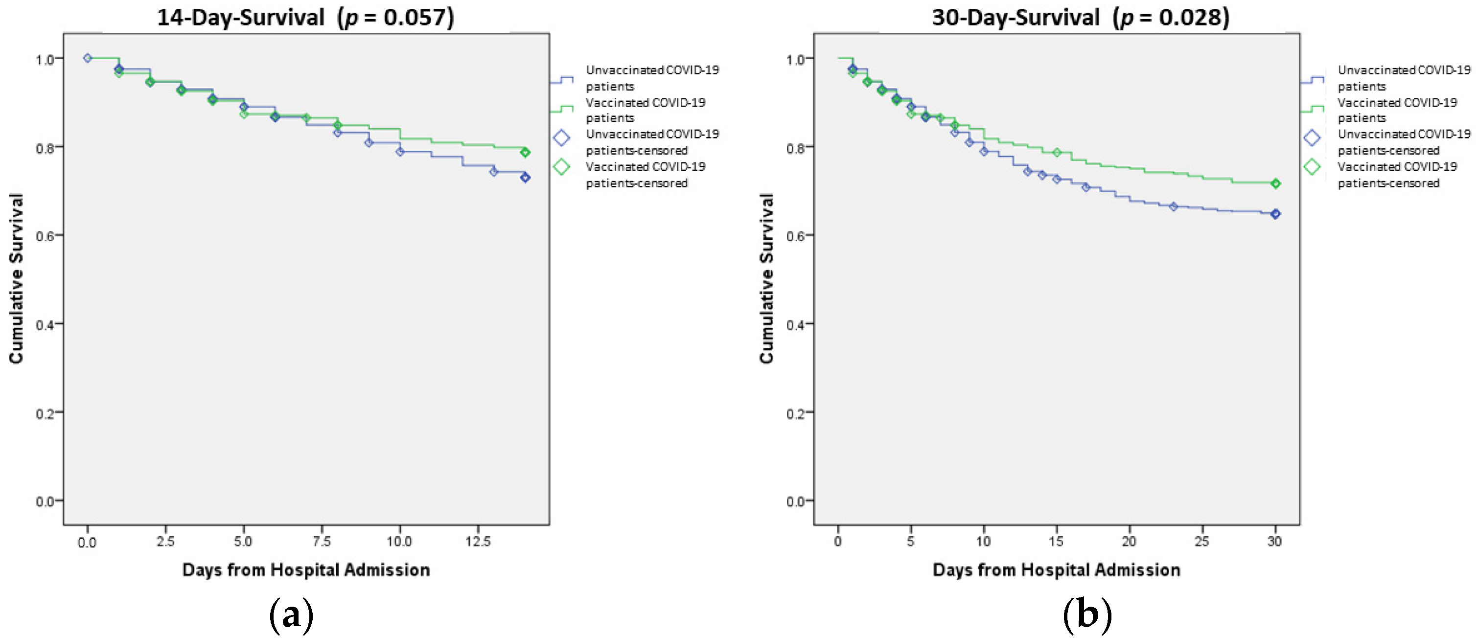
3.4. Survival Analysis
4. Discussion
5. Conclusions
Author Contributions
Funding
Institutional Review Board Statement
Informed Consent Statement
Data Availability Statement
Acknowledgments
Conflicts of Interest
References
- WHO Coronavirus (COVID-19) Dashboard with Vaccination Data. Available online: https://covid19.who.int/ (accessed on 10 April 2023).
- COVID-19 Coronavirus Pandemic. 2023. Available online: https://www.worldometers.info/coronavirus (accessed on 20 April 2023).
- Pakistan Coronavirus Full Vaccination Rate (ycharts.com). Available online: https://ycharts.com/indicators/pakistan_coronavirus_full_vaccination_rate (accessed on 18 June 2023).
- CDC COVID Vaccine Breakthrough Case Investigations Team. COVID-19 Vaccine Breakthrough Infections Reported to CDC—United States, January 1–April 30, 2021. Morb. Mortal. Wkly. Rep. 2021, 70, 792. Available online: https://www.cdc.gov/mmwr/volumes/70/wr/mm7021e3.htm#contribAff (accessed on 14 June 2023).
- Dagan, N.; Barda, N.; Kepten, E.; Miron, O.; Perchik, S.; Katz, M.A.; Lipsitch, M.; Reis, B.; Balicer, R.D. BNT162b2 mRNA COVID-19 Vaccine in a Nationwide Mass Vaccination Setting. N. Engl. J. Med. 2021, 15, 1412–1423. [Google Scholar] [CrossRef] [PubMed]
- Haas, E.J.; Angulo, F.J.; McLaughlin, J.M.; Anis, E.; Singer, S.R.; Khan, F.; Brooks, N.; Smaja, M.; Mircus, G.; Pan, K.; et al. Impact and effectiveness of mRNA BNT162b2 vaccine against SARS-CoV-2 infections and COVID-19 cases, hospitalisations, and deaths following a nationwide vaccination campaign in Israel: An observational study using national surveillance data. Lancet. 2021, 397, 1819–1829. [Google Scholar] [CrossRef]
- Hall, V.J.; Foulkes, S.; Saei, A.; Andrews, N.; Oguti, B.; Charlett, A.; Wellington, E.; Stowe, J.; Gillson, N.; Atti, A.; et al. COVID-19 vaccine coverage in health-care workers in England and effectiveness of BNT162b2 mRNA vaccine against infection (SIREN): A prospective, multicentre, cohort study. Lancet. 2021, 397, 1725–1735. [Google Scholar] [CrossRef] [PubMed]
- Sheikh, A.; McMenamin, J.; Taylor, B.; Robertson, C.; Public Health Scotland and the EAVE II Collaborators. SARS-CoV-2 Delta VOC in Scotland: Demographics, risk of hospital admission, and vaccine effectiveness. Lancet. 2021, 397, 2461–2462. [Google Scholar] [CrossRef] [PubMed]
- Thompson, M.G.; Burgess, J.L.; Naleway, A.L.; Tyner, H.; Yoon, S.K.; Meece, J.; Olsho, L.E.W.; Caban-Martinez, A.J.; Fowlkes, A.L.; Lutrick, K.; et al. Prevention and Attenuation of COVID-19 with the BNT162b2 and mRNA-1273 Vaccines. N. Engl. J. Med. 2021, 385, 320–329. [Google Scholar] [CrossRef] [PubMed]
- Terreri, S.; Piano Mortari, E.; Vinci, M.R.; Russo, C.; Alteri, C.; Albano, C.; Colavita, F.; Gramigna, G.; Agrati, C.; Linardos, G.; et al. Persistent B cell memory after SARS-CoV-2 vaccination is functional during breakthrough infections. Cell Host Microbe 2022, 30, 400–408.e4. [Google Scholar] [CrossRef]
- Ramesh, S.; Govindarajulu, M.; Parise, R.S.; Neel, L.; Shankar, T.; Patel, S.; Lowery, P.; Smith, F.; Dhanasekaran, M.; Moore, T.; et al. Emerging SARS-CoV-2 variants: A review of its mutations, its implications and vaccine efficacy. Vaccines 2021, 19, 1195. [Google Scholar] [CrossRef]
- Amanatidou, E.; Gkiouliava, A.; Pella, E.; Serafidi, M.; Tsilingiris, D.; Vallianou, N.G.; Karampela, I.; Dalamaga, M. Breakthrough infections after COVID-19 vaccination: Insights, perspectives and challenges. Metab. Open 2022, 14, 100180. [Google Scholar] [CrossRef]
- Pakistan Go. National Immunization Management System. Available online: https://nims.nadra.gov.pk/nims/ (accessed on 15 June 2023).
- Pakistan Go. COVID-19 Health Advisory Platform by Ministry of National Health Services Regulations & Coordination. Available online: https://covid.gov.pk/vaccine-details (accessed on 15 June 2023).
- Kamran, K.; Ali, A. Challenges and Strategies for Pakistan in the Third Wave of COVID-19: A Mini Review. Front. Public Health 2021, 9, 690820. [Google Scholar] [CrossRef]
- Umair, M.; Ikram, A.; Rehman, Z.; Haider, S.A.; Ammar, M.; Badar, N.; Ali, Q.; Rana, M.S.; Salman, M. Genomic diversity of SARS-CoV-2 in Pakistan during the fourth wave of pandemic. J. Med. Virol. 2022, 94, 4869–4877. [Google Scholar] [CrossRef] [PubMed]
- Rod, J.E.; Oviedo-Trespalacios, O.; Cortes-Ramirez, J. A brief-review of the risk factors for COVID-19 severity. Rev. Saude Publica 2020, 54, 60. [Google Scholar] [CrossRef] [PubMed]
- Yang, J.; Zheng, Y.; Gou, X.; Pu, K.; Chen, Z.; Guo, Q.; Ji, R.; Wang, H.; Wang, Y.; Zhou, Y. Prevalence of comorbidities and its effects in patients infected with SARS-CoV-2: A systematic review and meta-analysis. Int. J. Infect. Dis. 2020, 94, 91–95. [Google Scholar] [CrossRef]
- Papadokostaki, E.; Tentolouris, N.; Liberopoulos, E. COVID-19 and diabetes: What does the clinician need to know? Prim. Care Diabetes 2020, 14, 558–563. [Google Scholar] [CrossRef] [PubMed]
- Sarfaraz, S.; Shaikh, Q.; Saleem, S.G.; Rahim, A.; Herekar, F.F.; Junejo, S.; Hussain, A. Determinants of in-hospital mortality in COVID-19; a prospective cohort study from Pakistan. PLoS ONE 2021, 16, e0251754. [Google Scholar] [CrossRef] [PubMed]
- Baqi, S.; Naz, A.; Sayeed, M.A.; Khan, S.; Ismail, H.; Kumar, V.; Somjimal, H.; Aneela, J.; Imtiaz, S.; Aftab, S. Clinical Characteristics and Outcome of Patients with Severe COVID-19 Pneumonia at a Public Sector Hospital in Karachi, Pakistan. Cureus 2021, 13, e13107. [Google Scholar] [CrossRef] [PubMed]
- Sattar, B.A. COVID-19 Vaccine Hesitancy in Pakistan 2021. Available online: https://www.ipsos.com/en-pk/ipsos-survey-vaccine-hesitancy-pakistan-9th-march-2021 (accessed on 14 June 2023).
- Pakistan, G.J.I. Coronavirus Attitude Tracker Survey Pakistan: Wave 11 Results. 2021. Available online: https://gallup.com.pk/wp/wp-content/uploads/2021/01/Gallup-Covid-Opinion-Tracker-Wave-9-pdf.pdf (accessed on 16 June 2023).
- Rizwan, W.; Rana, M.N.; Bukhari, M.H.; Mushtaq, A.; Sadiq, M.J.N.S. Reasons of vaccine hesitancy among Pakistanis with available COVID-19 vaccine: The next challenge in the fight against COVID-19. Nat. Sci. 2021, 13, 211–217. [Google Scholar] [CrossRef]
- Pakistan: WHO Coronavirus Disease (COVID-19) Dashboard with Vaccination Data. Available online: https://covid19.who.int/region/emro/country/pk (accessed on 10 June 2023).
- Shahzad, A. Pakistan receives 500,000 doses of Sinopharm’s COVID-19 Vaccine. Reuters. 2021. Available online: https://www.reuters.com/business/healthcare-pharmaceuticals/pakistan-receives-500000-doses-sinopharms-covid-19-vaccine-2021-02-01/ (accessed on 16 June 2023).
- Tracker, C.V. Pakistan-COVID-19 Vaccine Tracker. Available online: https://covid19.trackvaccines.org/country/pakistan/ (accessed on 20 June 2023).
- Papaioannou, O.; Karampitsakos, T.; Tsiri, P.; Sotiropoulou, V.; Koulousousa, E.; Tasiopoulos, P.; Schinas, G.; Katsaras, M.; Zarkadi, E.; Malakounidou, E.; et al. Clinical outcomes in vaccinated and unvaccinated patients with COVID-19: A population-based analysis. Eur. Rev. Med. Pharm. Sci. 2022, 26, 7705–7712. [Google Scholar]
- Ruiz-Giardin, J.M.; Rivilla, M.; Mesa, N.; Morales, A.; Rivas, L.; Izquierdo, A.; Escribá, A.; San Martín, J.V.; Bernal-Bello, D.; Madroñal, E.; et al. Comparative Study of Vaccinated and Unvaccinated Hospitalised Patients: A Retrospective Population Study of 500 Hospitalised Patients with SARS-CoV-2 Infection in a Spanish Population of 220,000 Inhabitants. Viruses 2022, 14, 2284. [Google Scholar] [CrossRef]
- Epaulard, O.; Abgrall, S.; Lefebvre, M.; Faucher, J.F.; Michon, J.; Frentiu, E.; Blanchi, S.; Janssen, C.; Charbonnier, G.; Fresse, A.; et al. Impact of vaccination on the symptoms of hospitalised patients with SARS-CoV-2 Delta variant (B.1.617.1) infection. Clin. Microbiol. Infect. 2022, 28, 1629–1635. [Google Scholar] [CrossRef] [PubMed]
- Balachandran, S.; Moni, M.; Sathyapalan, D.T.; Varghese, P.; Jose, M.P.; Murugan, M.R.; Rajan, C.; Saboo, D.; Nair, S.S.; Varkey, R.A.; et al. A comparison of clinical outcomes between vaccinated and vaccine-naive patients of COVID-19, in four tertiary care hospitals of Kerala, South India. Clin. Epidemiol. Glob. Health 2022, 13, 100971. [Google Scholar] [CrossRef] [PubMed]
- Tenforde, M.W.; Self, W.H.; Adams, K.; Gaglani, M.; Ginde, A.A.; McNeal, T.; Ghamande, S.; Douin, D.J.; Talbot, H.K.; Casey, J.D.; et al. Association between mRNA vaccination and COVID-19 hospitalization and disease severity. JAMA 2021, 20, 2043–2054. [Google Scholar] [CrossRef] [PubMed]
- Zeng, B.; Gao, L.; Zhou, Q.; Yu, K.; Sun, F. Effectiveness of COVID-19 vaccines against SARS-CoV-2 variants of concern: A systematic review and meta-analysis. BMC Med. 2022, 20, 200. [Google Scholar] [CrossRef] [PubMed]



| Parameters | All n = 1407 (%) |
|---|---|
| Age, median (IQR) | 60 (50–70) |
| Male | 812 (57.7) |
| COVID-19 vaccination status | |
| Vaccinated Unvaccinated | 378 (26.86) 1029 (73.13) |
| Comorbidities | 950 (67.5) |
| Hypertension | 675 (48) |
| Diabetes mellitus | 548 (38.9) |
| Ischemic heart disease | 148 (10.5) |
| Chronic kidney disease | 35 (2.5) |
| Disease severity | |
| Mild COVID-19 | 232 (16.5) |
| Moderate COVID-19 | 243 (17.3) |
| Severe COVID-19 | 820 (58.3) |
| Critical COVID-19 | 112 (8) |
| Tocilizumab | 646 (45.9) |
| Steroids | 1286 (91.4) |
| Parameters | Unvaccinated COVID-19 Patients n = 1029 (%) | Vaccinated COVID-19 Patients n = 378 (%) | Odds Ratio [95% CI] | p-Value |
|---|---|---|---|---|
| Age, median (IQR) | 60 (50–68) | 65 (54–72) | 0.57 [0.42 to 0.77] | <0.0001 |
| Male | 598 (58.1) | 214 (56.6) | 1.06 [0.84 to 1.35] | 0.627 |
| Comorbidities | 658 (63.9) | 292 (77.2) | 0.52 [0.39 to 0.68] | <0.0001 |
| Hypertension | 468 (45.5) | 207 (54.8) | 0.69 [0.54 to 0.87] | 0.002 |
| Diabetes mellitus | 382 (37.1) | 166 (43.9) | 0.72 [0.57 to 0.91] | 0.022 |
| Ischemic heart disease | 56 (14.8) | 92 (8.9) | 0.56 [0.39 to 0.81] | 0.002 |
| Chronic kidney disease | 24 (2.3) | 11 (2.9) | 0.79 [0.40 to 1.66] | 0.328 |
| Mild COVID-19 | 147 (14.3) | 85 (22.5) | 0.57 [0.42 to 0.77] | 0.0003 |
| Moderate COVID-19 | 166 (16.1) | 77 (20.4) | 0.75 [0.56 to 1.02] | 0.0673 |
| Severe COVID-19 | 636 (61.8) | 184 (48.7) | 1.70 [1.35 to 2.16] | <0.0001 |
| Critical COVID-19 | 80 (7.8) | 32 (8.5) | 0.91 [0.59 to 1.38] | 0.658 |
| Tocilizumab | 517 (50.2) | 129 (34.1) | 1.95 [1.53 to 2.5] | <0.0001 |
| Steroids | 970 (94.3) | 316 (83.6) | 3.22 [2.2 to 4.7] | <0.0001 |
| Parameters | All n = 1323 (%) | Unvaccinated COVID-19 Patients n = 968 (%) | Vaccinated COVID-19 Patients n = 355 (%) | Relative Risk [95% CI] | p-Value |
|---|---|---|---|---|---|
| Cytokine release sydrome | 419 (31.7) | 330 (34.1) | 89 (25.1) | 1.36 [1.12 to 1.66] | 0.002 |
| Mechanical ventilation | 310 (23.4) | 226 (23.3) | 84 (23.7) | 0.99 [0.79 to 1.23] | 0.942 |
| ICU stay | 538 (40.7) | 398 (41.1) | 140 (39.4) | 1.04 [0.90 to 1.21] | 0.613 |
| Complications | 765 (57.8) | 562 (58.1) | 203 (57.2) | 1.02 [0.92 to 1.13] | 0.802 |
| Disease progression | 685 (51.8) | 507 (52.4) | 178 (50.1) | 1.05 [0.93 to 1.18] | 0.495 |
| Disease progression (n = 685) to death | 457 (66.7) | 354 (69.8) | 103 (57.9) | 1.21 [1.06 to 1.39] | 0.004 |
| Survivors | 855 (64.6) | 605 (62.5) | 250 (70.4) | 0.89 [0.82 to 0.96] | 0.004 |
| Non-survivors | 468 (35.4) | 363 (37.5) | 105 (29.6) |
Disclaimer/Publisher’s Note: The statements, opinions and data contained in all publications are solely those of the individual author(s) and contributor(s) and not of MDPI and/or the editor(s). MDPI and/or the editor(s) disclaim responsibility for any injury to people or property resulting from any ideas, methods, instructions or products referred to in the content. |
© 2023 by the authors. Licensee MDPI, Basel, Switzerland. This article is an open access article distributed under the terms and conditions of the Creative Commons Attribution (CC BY) license (https://creativecommons.org/licenses/by/4.0/).
Share and Cite
Sayeed, M.A.; Shalim, E.; Farooqui, F.; Farman, S.; Khan, M.; Iqbal, A.; Ahmed, I.; Rajput, A.W.; Razzaque, A.; Quraishy, S. Comparison of the Disease Severity and Outcome of Vaccinated COVID-19 Patients with Unvaccinated Patients in a Specialized COVID-19 Facility: A Retrospective Cohort Study from Karachi, Pakistan. Vaccines 2023, 11, 1178. https://doi.org/10.3390/vaccines11071178
Sayeed MA, Shalim E, Farooqui F, Farman S, Khan M, Iqbal A, Ahmed I, Rajput AW, Razzaque A, Quraishy S. Comparison of the Disease Severity and Outcome of Vaccinated COVID-19 Patients with Unvaccinated Patients in a Specialized COVID-19 Facility: A Retrospective Cohort Study from Karachi, Pakistan. Vaccines. 2023; 11(7):1178. https://doi.org/10.3390/vaccines11071178
Chicago/Turabian StyleSayeed, Muneeba Ahsan, Elisha Shalim, Fizza Farooqui, Shaiza Farman, Maheen Khan, Anika Iqbal, Ishfaque Ahmed, Abdul Wahid Rajput, Abdul Razzaque, and Saeed Quraishy. 2023. "Comparison of the Disease Severity and Outcome of Vaccinated COVID-19 Patients with Unvaccinated Patients in a Specialized COVID-19 Facility: A Retrospective Cohort Study from Karachi, Pakistan" Vaccines 11, no. 7: 1178. https://doi.org/10.3390/vaccines11071178
APA StyleSayeed, M. A., Shalim, E., Farooqui, F., Farman, S., Khan, M., Iqbal, A., Ahmed, I., Rajput, A. W., Razzaque, A., & Quraishy, S. (2023). Comparison of the Disease Severity and Outcome of Vaccinated COVID-19 Patients with Unvaccinated Patients in a Specialized COVID-19 Facility: A Retrospective Cohort Study from Karachi, Pakistan. Vaccines, 11(7), 1178. https://doi.org/10.3390/vaccines11071178

