COVID-19 Vaccine Hesitancy and Uptake among Minority Populations in Tennessee
Abstract
1. Introduction
2. Methods
3. Results
3.1. Assessment of Confidence Level in COVID-19 Vaccines among Survey Respondents
3.2. Assessment of Education Level, Gender, and Preferred Language of Survey Respondents
3.3. Assessment of Employment and Health Insurance Coverage Status of Survey Respondents
3.4. Assessment of COVID-19 Testing Frequency and Positivity among Survey Respondents
3.5. Assessment of COVID-19 Vaccine Uptake and Reasons for Vaccine Hesitancy
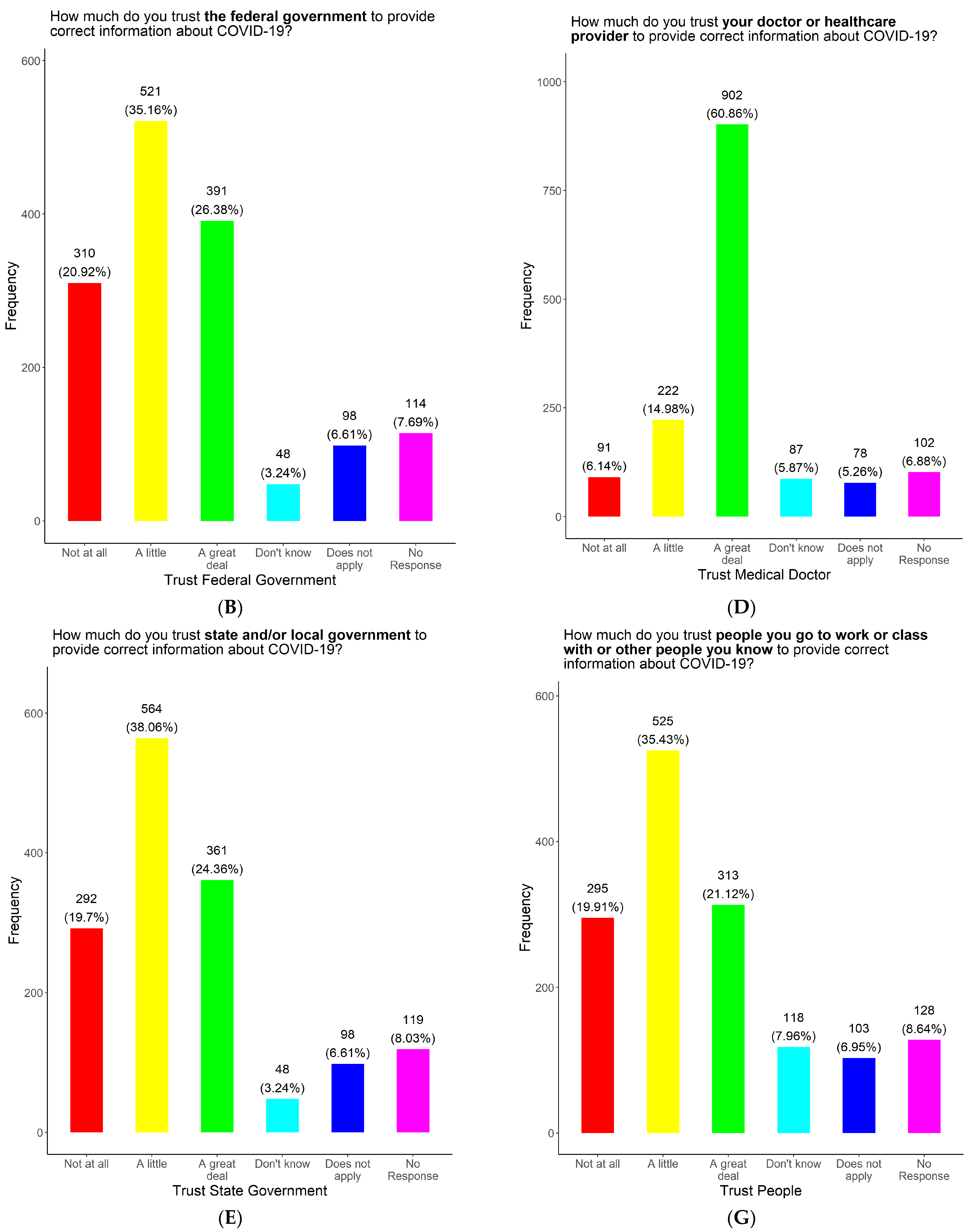
3.6. Assessment of the Level of Trust in COVID-19 Information Sources
4. Conclusions and Discussion
Author Contributions
Funding
Institutional Review Board Statement
Informed Consent Statement
Data Availability Statement
Conflicts of Interest
References
- World Health Organization. Ten Threats to Global Health in 2019. Available online: https://www.who.int/emergencies/ten-threats-to-global-health-in-2019 (accessed on 25 February 2019).
- MacDonald, N.E.; SAGE Working Group on Vaccine Hesitancy. Vaccine hesitancy: Definition, scope and determinants. Vaccine 2015, 33, 4161–4164. [Google Scholar] [CrossRef] [PubMed]
- Coustasse, A.; Kimble, C.; Maxik, K. COVID-19 and Vaccine Hesitancy: A Challenge the United States Must Overcome. J. Ambul. Care Manag. 2021, 44, 71–75. [Google Scholar] [CrossRef] [PubMed]
- Fajar, J.K.; Sallam, M.; Soegiarto, G.; Sugiri, Y.J.; Anshory, M.; Wulandari, L.; Kosasih, S.A.P.; Ilmawan, M.; Kusnaeni, K.; Fikri, M.; et al. Global Prevalence and Potential Influencing Factors of COVID-19 Vaccination Hesitancy: A Meta-Analysis. Vaccines 2022, 10, 1356. [Google Scholar] [CrossRef]
- Truong, J.; Bakshi, S.; Wasim, A.; Ahmad, M.; Majid, U. What factors promote vaccine hesitancy or acceptance during pandemics? A systematic review and thematic analysis. Health Promot. Int. 2022, 37, daab105. [Google Scholar] [CrossRef]
- Soares, P.; Rocha, J.V.; Moniz, M.; Gama, A.; Laires, P.A.; Pedro, A.R.; Dias, S.; Leite, A.; Nunes, C. Factors Associated with COVID-19 Vaccine Hesitancy. Vaccines 2021, 9, 300. [Google Scholar] [CrossRef]
- Chen, J.H.; Shiu, C.S. Race, ethnicity and COVID-19 vaccine concerns: A latent class analysis of data during early phase of vaccination. SSM Popul. Health 2022, 18, 101073. [Google Scholar] [CrossRef]
- Ahiakpa, J.K.; Cosmas, N.T.; Anyiam, F.E.; Enalume, K.O.; Lawan, I.; Gabriel, I.B.; Oforka, C.L.; Dahir, H.G.; Fausat, S.T.; Nwobodo, M.A.; et al. COVID-19 vaccines uptake: Public knowledge, awareness, perception and acceptance among adult Africans. PLoS ONE 2022, 17, e0268230. [Google Scholar] [CrossRef] [PubMed]
- Hildreth, J.E.K.; Alcendor, D.J. Targeting COVID-19 Vaccine Hesitancy in Minority Populations in the US: Implications for Herd Immunity. Vaccines 2021, 9, 489. [Google Scholar] [CrossRef]
- Doherty, I.A.; Pilkington, W.; Brown, L.; Billings, V.; Hoffler, U.; Paulin, L.; Kimbro, K.S.; Baker, B.; Zhang, T.; Locklear, T.; et al. COVID-19 vaccine hesitancy in underserved communities of North Carolina. PLoS ONE 2021, 16, e0248542. [Google Scholar] [CrossRef]
- Aw, J.; Seng, J.J.B.; Seah, S.S.Y.; Low, L.L. COVID-19 Vaccine Hesitancy-A Scoping Review of Literature in High-Income Countries. Vaccines 2021, 9, 900. [Google Scholar] [CrossRef]
- Center for Disease Control and Prevention. Safety of COVID-19 Vaccines. Available online: https://www.cdc.gov/coronavirus/2019-ncov/vaccines/safety/safety-of-vaccines.html (accessed on 23 January 2023).
- Shearn, C.; Krockow, E.M. Reasons for COVID-19 vaccine hesitancy in ethnic minority groups: A systematic review and thematic synthesis of initial attitudes in qualitative research. SSM Qual. Res. Health 2023, 3, 100210. [Google Scholar] [CrossRef] [PubMed]
- Khubchandani, J.; Macias, Y. COVID-19 vaccination hesitancy in Hispanics and African-Americans: A review and recommendations for practice. Brain Behav. Immun. Health 2021, 15, 100277. [Google Scholar] [CrossRef] [PubMed]
- Butler, J.Z.; Carson, M.; Rios-Fetchko, F.; Vargas, R.; Cabrera, A.; Gallegos-Castillo, A.; LeSarre, M.; Liao, M.; Woo, K.; Ellis, R.; et al. COVID-19 vaccination readiness among multiple racial and ethnic groups in the San Francisco Bay Area: A qualitative analysis. PLoS ONE 2022, 17, e0266397. [Google Scholar] [CrossRef]
- Jennings, W.; Stoker, G.; Bunting, H.; Valgarðsson, V.O.; Gaskell, J.; Devine, D.; McKay, L.; Mills, M.C. Lack of Trust, Conspiracy Beliefs, and Social Media Use Predict COVID-19 Vaccine Hesitancy. Vaccines 2021, 9, 593. [Google Scholar] [CrossRef]
- de Figueiredo, A.; Simas, C.; Karafillakis, E.; Paterson, P.; Larson, H.J. Mapping global trends in vaccine confidence and investigating barriers to vaccine uptake: A large-scale retrospective temporal modelling study. Lancet 2020, 396, 898–908. [Google Scholar] [CrossRef]
- Mills, M.; Rahal, C.; Brazel, D.; Yan, J.; Gieysztor, S. COVID-19 Vaccine Deployment: Behaviour, Ethics, Misinformation and Policy Strategies. Lond. R. Soc. Br. Acad. 2020, 1–35. Available online: https://royalsociety.org/-/media/policy/projects/set-c/set-c-vaccine-deployment.pdf?la=en-GB&hash=43073E5429C87FD2674201CA19280A8E (accessed on 14 April 2021).
- Center for Disease Control and Prevention. Stay Up to Date with COVID-19 Vaccines Including Boosters. Available online: https://www.cdc.gov/coronavirus/2019-ncov/vaccines/stay-up-to-date.html (accessed on 25 January 2023).
- IBM Corp. Released 2021. IBM SPSS Statistics for Windows; Version 28.0; IBM Corp.: Armonk, NY, USA, 2021. [Google Scholar]
- R Core Team. R: A Language and Environment for Statistical Computing; R Foundation for Statistical Computing: Vienna, Austria, 2020; Available online: https://www.R-project.org/ (accessed on 3 January 2023).
- The Conversation: 5 Charts Show Why the South Is the Least Healthy Region in the US. Available online: https://theconversation.com/5-charts-show-why-the-south-is-the-least-healthy-region-in-the-us-89729 (accessed on 5 February 2018).
- The Kaiser Family Foundation, State Health Care Snapshots: Tennessee. Available online: https://www.kff.org/statedata/election-state-fact-sheets/tennessee/ (accessed on 15 October 2020).
- Center for Disease Control and Prevention; National Center for Health Statistics. Quarterly Provisional Death Rates for COVID-19. Available online: https://www.cdc.gov/nchs/pressroom/sosmap/covid19_mortality/Provisional_COVD19.htm (accessed on 7 March 2023).
- Death Rates from COVID-19 in the United States as of March 10, 2023, by State (per 100,000 People). Available online: https://www.statista.com/statistics/1109011/coronavirus-covid19-death-rates-us-by-state/ (accessed on 10 March 2023).
- The Tennessean: Why Does Tennessee Have So Many Uninsured People? By Refusing to Expand Medicaid, the State’s Political Leadership Has Made a Decision to Let Lower-Income White, Black and Latino Residents Suffer. Available online: https://www.tennessean.com/story/opinion/2022/04/06/why-does-tennessee-have-so-many-uninsured-people/9484161002/ (accessed on 6 April 2022).
- Cosby, A.G.; McDoom-Echebiri, M.M.; James, W.; Khandekar, H.; Brown, W.; Hanna, H.L. Growth and Persistence of Place-Based Mortality in the United States: The Rural Mortality Penalty. Am. J. Public Health 2019, 109, 155–162. [Google Scholar] [CrossRef] [PubMed]
- Singh, G.K.; Siahpush, M. Widening rural-urban disparities in life expectancy, U.S.; 1969–2009. Am. J. Prev. Med. 2014, 46, e19–e29. [Google Scholar] [CrossRef]
- Conway, B.N.; Han, X.; Munro, H.M.; Gross, A.L.; Shu, X.O.; Hargreaves, M.K.; Zheng, W.; Powers, A.C.; Blot, W.J. The obesity epidemic and rising diabetes incidence in a low-income racially diverse southern US cohort. PLoS ONE 2018, 13, e0190993. [Google Scholar] [CrossRef]
- Artiga, S.; Damico, A. Health and Health Coverage in the South: A Data Update. Available online: https://www.kff.org/racial-equity-and-health-policy/issue-brief/health-and-health-coverage-in-the-south-a-data-update/#:~:text=Southerners%20are%20more%20likely%20to,the%20rest%20of%20the%20country (accessed on 10 February 2016).
- Vasquez Reyes, M. The Disproportional Impact of COVID-19 on African Americans. Health Hum. Rights 2020, 22, 299–307. [Google Scholar]
- Mude, W.; Oguoma, V.M.; Nyanhanda, T.; Mwanri, L.; Njue, C. Racial disparities in COVID-19 pandemic cases, hospitalisations, and deaths: A systematic review and meta-analysis. J. Glob. Health 2021, 11, 05015. [Google Scholar] [CrossRef] [PubMed]
- FEMA. COVID-19 Emergency Declaration. 2020. [3 September 2021]. Available online: https://www.fema.gov/press-release/20210318/covid-19-emergency-declaration (accessed on 14 March 2020).
- 2021 America’s Health Rankings, United Health Foundation. Available online: https://www.americashealthrankings.org/search?q=US+uninsured+rates (accessed on 5 January 2022).
- The Tennessee Health Insurance Marketplace 2022 Guide. Available online: https://www.healthinsurance.org/health-insurance-marketplaces/tennessee/ (accessed on 2 November 2022).
- The Biden-Harris Administration Will End COVID-19 Vaccination Requirements for Federal Employees, Contractors, International Travelers, Head Start Educators, and CMS-Certified Facilities. Available online: https://www.whitehouse.gov/briefing-room/statements-releases/2023/05/01/the-biden-administration-will-end-covid-19-vaccination-requirements-for-federal-employees-contractors-international-travelers-head-start-educators-and-cms-certified-facilities/ (accessed on 1 May 2023).











| Language | |||
|---|---|---|---|
| English | Spanish | ||
| Confidence | Very Confident | 537 (48%) | 97 (9%) |
| Somewhat Confident | 303 (27%) | 43 (4%) | |
| Not too Confident | 62 (6%) | 7 (1%) | |
| Not at all Confident | 63 (6%) | 2 (0%) | |
| COVID Test | |||
|---|---|---|---|
| No | Yes | ||
| Confidence | Very Confident | 87 (8%) | 540 (49%) |
| Somewhat Confident | 60 (5%) | 276 (25%) | |
| Not too Confident | 11 (1%) | 57 (5%) | |
| Not at all Confident | 18 (2%) | 48 (4%) | |
| Race | ||||
|---|---|---|---|---|
| Black | White | Mixed | ||
| Confidence | Very Confident | 419 (46%) | 48 (5%) | 35 (4%) |
| Somewhat Confident | 230 (25%) | 22 (2%) | 34 (4%) | |
| Not too Confident | 46 (5%) | 4 (0%) | 10 (1%) | |
| Not at all Confident | 42 (5%) | 9 (1%) | 7 (1%) | |
| Region | ||||
|---|---|---|---|---|
| West | Central | East | ||
| Vaccine | Have not gotten the vaccine | 69 (6%) | 55 (5%) | 29 (2%) |
| Got a one-dose vaccine | 54 (5%) | 36 (3%) | 16 (1%) | |
| Got first dose of two-dose vaccine | 83 (7%) | 85 (7%) | 30 (3%) | |
| Got both doses of two-dose vaccine | 381 (32%) | 281 (24%) | 74 (6%) | |
| Race | ||||
|---|---|---|---|---|
| Black | White | Mixed | ||
| Vaccine | Have not gotten the vaccine | 108 (10%) | 19 (2%) | 17 (2%) |
| Got a one-dose vaccine | 67 (6%) | 14 (1%) | 9 (1%) | |
| Got first dose of two-dose vaccine | 168 (15%) | 12 (1%) | 29 (3%) | |
| Got both doses of two-dose vaccine | 560 (51%) | 52 (5%) | 47 (4%) | |
| Language | |||
|---|---|---|---|
| English | Spanish | ||
| Vaccine | Have not gotten the vaccine | 151 (11%) | 20 (2%) |
| Got a one-dose vaccine | 97 (7%) | 28 (2%) | |
| Got first dose of two-dose vaccine | 221 (17%) | 16 (1%) | |
| Got both doses of two-dose vaccine | 701 (53%) | 99 (7%) | |
| Insurance | |||
|---|---|---|---|
| No | Yes | ||
| Vaccine | Have not gotten the vaccine | 41 (3%) | 119 (9%) |
| Got a one-dose vaccine | 32 (3%) | 82 (6%) | |
| Got first dose of two-dose vaccine | 37 (3%) | 185 (15%) | |
| Got both doses of two-dose vaccine | 113 (9%) | 653 (52%) | |
| COVID Test | |||
|---|---|---|---|
| No | Yes | ||
| Vaccine | Have not gotten the vaccine | 49 (4%) | 121 (9%) |
| Got a one-dose vaccine | 13 (1%) | 110 (8%%) | |
| Got first dose of two-dose vaccine | 31 (2%) | 207 (16%) | |
| Got both doses of two-dose vaccine | 123 (9%) | 668 (51%) | |
| Sex | |||
|---|---|---|---|
| Male | Female | ||
| Vaccine | Have not gotten the vaccine | 55 (4%) | 114 (9%) |
| Got a one-dose vaccine | 50 (4%) | 74 (6%) | |
| Got first dose of two-dose vaccine | 62 (5%) | 178 (13%) | |
| Got both doses of two-dose vaccine | 173 (13%) | 629 (47%) | |
| Education | |||||||||
|---|---|---|---|---|---|---|---|---|---|
| <HS | Some HS | HS | GED | Some College | Ass. or Tech. | Bachelor | Graduate | ||
| Vaccine | Have not gotten the vaccine | 6 (0%) | 27 (2%) | 42 (3%) | 20 (2%) | 32 (2%) | 14 (1%) | 17 (1%) | 8 (1%) |
| Got a one-dose vaccine | 10 (1%) | 17 (1%) | 33 (3%) | 9 (1%) | 11 (1%) | 6 (0%) | 17 (1%) | 14 (1%) | |
| Got first dose of two-dose vaccine | 9 (1%) | 20 (2%) | 71 (5%) | 11 (1%) | 42 (3%) | 19 (1%) | 35 (3%) | 30 (2%) | |
| Got both doses of two-dose vaccine | 27 (2%) | 46 (4%) | 146 (11%) | 33 (3%) | 145 (11%) | 97 (7%) | 129 (10%) | 158 (12%) | |
Disclaimer/Publisher’s Note: The statements, opinions and data contained in all publications are solely those of the individual author(s) and contributor(s) and not of MDPI and/or the editor(s). MDPI and/or the editor(s) disclaim responsibility for any injury to people or property resulting from any ideas, methods, instructions or products referred to in the content. |
© 2023 by the authors. Licensee MDPI, Basel, Switzerland. This article is an open access article distributed under the terms and conditions of the Creative Commons Attribution (CC BY) license (https://creativecommons.org/licenses/by/4.0/).
Share and Cite
Alcendor, D.J.; Matthews-Juarez, P.; Williams, N.; Wilus, D.; Tabatabai, M.; Hopkins, E.; George, K.; Leon, A.H.; Santiago, R.; Lee, A.; et al. COVID-19 Vaccine Hesitancy and Uptake among Minority Populations in Tennessee. Vaccines 2023, 11, 1073. https://doi.org/10.3390/vaccines11061073
Alcendor DJ, Matthews-Juarez P, Williams N, Wilus D, Tabatabai M, Hopkins E, George K, Leon AH, Santiago R, Lee A, et al. COVID-19 Vaccine Hesitancy and Uptake among Minority Populations in Tennessee. Vaccines. 2023; 11(6):1073. https://doi.org/10.3390/vaccines11061073
Chicago/Turabian StyleAlcendor, Donald J., Patricia Matthews-Juarez, Neely Williams, Derek Wilus, Mohammad Tabatabai, Esarrah Hopkins, Kirstyn George, Ashley H. Leon, Rafael Santiago, Arthur Lee, and et al. 2023. "COVID-19 Vaccine Hesitancy and Uptake among Minority Populations in Tennessee" Vaccines 11, no. 6: 1073. https://doi.org/10.3390/vaccines11061073
APA StyleAlcendor, D. J., Matthews-Juarez, P., Williams, N., Wilus, D., Tabatabai, M., Hopkins, E., George, K., Leon, A. H., Santiago, R., Lee, A., Smoot, D., Hildreth, J. E. K., & Juarez, P. D. (2023). COVID-19 Vaccine Hesitancy and Uptake among Minority Populations in Tennessee. Vaccines, 11(6), 1073. https://doi.org/10.3390/vaccines11061073

