Inapparent Tick-Borne Orthoflavivirus Infection in Macaca fascicularis: A Model for Antiviral Drug and Vaccine Research
Abstract
1. Introduction
2. Materials and Methods
2.1. Animals
2.2. Cells and Viruses
2.3. Vaccination and Virus Challenge
2.4. Plaque Assay and Neutralization Test (PRNT50)
2.5. Measurement of IFN-α
2.6. Sample Preparation for Virus Detection in Organs and Blood
2.7. RNA Quantification (qRT-PCR)
2.8. Viremia Detection
2.9. Blood Analysis
2.10. ELISA Based on Recombinant Proteins
2.11. Behavioral and Cognitive Tests
2.11.1. Battery of Tests #1 “Tool Use and Properties”
- Procedure: “Three Cups” Test: the experimenter placed a platform in front of the primate’s enclosure and arranged three identical cups in a row. The experimenter randomly placed a treat into one of the cups in a way that the primate could fully observe it. The test was considered successful if the subject chose the cup with the treat on the first attempt. The test lasted for 3 min. This test was necessary to train the subject in object manipulation on the platform, gradually increasing the complexity of the tasks.
- “Tool Use: Pulling a Cloth with a Treat” Test: The experimenter set up the platform in front of the primate’s enclosure and placed a piece of cloth (30 cm × 15 cm) onto it, with an edible treat positioned on top of the cloth in a way that the primate could reach the cloth but could not reach the treat directly with its paw. The primate had to use a tool (the cloth) to obtain the treat, demonstrating the ability to manipulate objects outside the enclosure and understanding the spatial relationship between objects. The test lasted for 3 min.
- “Tool Properties: Pulling a Thread with a Treat” Test: The experimenter placed a single thread (15 cm) on a platform, and the treat was tied to the far end of the thread, out of reach of the subject. The subject was required to use the tool (thread) to reach the treat, thereby demonstrating the ability to manipulate objects outside the enclosure. The test lasted for 3 min.
- “Tool Properties: A Whole and a Cut Thread with Treats” Test: The experimenter set up a barrier and placed two threads (15 cm) on the platform, one of which was cut in half. Both threads were identical in length, color, and material. The treat was attached to the far end of the threads, out of reach of the primate. After removing the barrier, the subject could only retrieve the treat by pulling the intact thread, thereby demonstrating the ability to manipulate objects outside the enclosure and understanding the properties of objects. If the subject initially pulled the cut thread, the test was stopped. The test lasted for 3 min.
2.11.2. Battery of Tests #2 “Memory”
- Procedures
- “Spatial Memory: 3 Upside Down Cups and 1 Treat” Test: Three identical cups were arranged upside down in a row on a platform in front of the tested subject’s cage. The experimenter then presented a treat to the subject and placed it under one of the three cups (randomly chosen), allowing the subject to fully observe the process. If the subject initially chose an empty cup, it was not allowed to make any further choices. The response was considered correct when the subject selected the cup with the treat on the first attempt, thus demonstrating spatial memory abilities and focus on the target object.
- “Sticker Cup” Test: Three inverted cups were arranged in a row on a platform in front of the subject’s cage, with one cup marked with a white sticker. The experimenter then presented a treat to the subject and placed it under the cup with the sticker, allowing the primate to fully observe the treat. If the primate initially chose a cup without the sticker, it was not allowed to make further choices. The response was considered correct when the primate selected the cup with the sticker on the first attempt. During the training process, it was necessary to establish an association between the sticker and the treat in the subject’s mind. During the training period, subjects were given the opportunity to take the test and acquire skills over approximately 8 days at various intervals, with 3 attempts each day.
- “Memory and Association: Sticker Cup and a Barrier” Test: The subject was offered this test only if it had successfully completed the “Sticker Cup” test. The experimenter set up a barrier in front of the tested subject’s cage that completely covered the view of the subject. Then experimenter placed three upside-down cups in a row on the platform, one of which was marked with a white sticker, and a treat was placed under the cup with the sticker. The barrier was removed, and the subject was allowed to make a choice. Based on the experience gained from previous tests, the subject was expected to form and consolidate an association between the treat and the cup with the sticker. If the subject initially chose the cup without the sticker, it was not allowed to make further choices. The response was considered correct when the subject chose the cup with the sticker on the first attempt, thus demonstrating a consolidated memory of the object.
2.11.3. Test #3 “The Box”
2.11.4. Test #4 “Reaction to a New Object”
2.11.5. Test #5 “Tiredness”
2.12. Statistical Analysis
3. Results
3.1. Preexisting Antibodies to Orthoflaviviruses in Intact Animals
3.2. Systemic Indicators of Inflammation and Immune Response during the Infection
3.3. Humoral Immune Response Dynamics
3.4. Cross-Reactivity of Antibodies
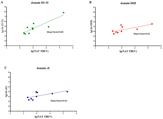
3.5. Specificity of Antibodies to the Domains of the TBEV E Protein
3.6. Viral Load in Blood and Organs of Infected Animals
3.7. Behavioral and Cognitive Tests Results
3.7.1. Battery of Tests #1 “Tool Use and Properties”
3.7.2. Battery of Tests #2 “Memory”
3.7.3. Test #3 “The Box”
3.7.4. Test #4 “Reaction to a New Object”
3.7.5. Test #5 “Tiredness”
4. Discussion
Supplementary Materials
Author Contributions
Funding
Institutional Review Board Statement
Informed Consent Statement
Data Availability Statement
Conflicts of Interest
References
- Zerbini, F.M.; Siddell, S.G.; Lefkowitz, E.J.; Mushegian, A.R.; Adriaenssens, E.M.; Alfenas-Zerbini, P.; Dempsey, D.M.; Dutilh, B.E.; García, M.L.; Hendrickson, R.C.; et al. Changes to Virus Taxonomy and the ICTV Statutes Ratified by the International Committee on Taxonomy of Viruses (2023). Arch. Virol. 2023, 168, 175. [Google Scholar] [CrossRef]
- Ruzek, D.; Avšič Županc, T.; Borde, J.; Chrdle, A.; Eyer, L.; Karganova, G.; Kholodilov, I.; Knap, N.; Kozlovskaya, L.; Matveev, A.; et al. Tick-Borne Encephalitis in Europe and Russia: Review of Pathogenesis, Clinical Features, Therapy, and Vaccines. Antivir. Res. 2019, 164, 23–51. [Google Scholar] [CrossRef]
- Kemenesi, G.; Bányai, K. Tick-Borne Flaviviruses, with a Focus on Powassan Virus. Clin. Microbiol. Rev. 2019, 32, 10–1128. [Google Scholar] [CrossRef] [PubMed]
- Chernokhaeva, L.L.; Kholodilov, I.S.; Pakskina, N.D. Current Distribution Area of Tick-Borne Encephalitis in the Russian Federation. Med. Virol. 2016, 30, 6–22. [Google Scholar]
- Andaev, E.I.; Nikitin, A.Y.; Tolmacheva, M.I.; Zarva, I.D.; Yatsmenko, E.V.; Matveeva, V.A.; Sidorova, E.A.; Kolesnikova, V.Y.; Balakhonov, S.V. Epidemiological Situation on Tick-Borne Viral Encephalitis in the Russian Federation in 2022 and Forecast of Its Development for 2023. Probl. Part. Danger. Infect. 2023, 2, 6–16. [Google Scholar] [CrossRef]
- Dobler, G.; Erber, W.; Bröker, M.; Schmitt, H.J. TBE-Epidemiology by Country—An Overview; The TBE Bo.; Global Health Press: Singapore, 2022. [Google Scholar]
- Maikova, G.B.; Chernokhaeva, L.L.; Vorovltch, M.F.; Rogova, Y.V.; Karganova, G.G. Вакцины На Оснoве Дальневoстoчнoгo и Еврoпейскoгo Штаммoв Индуцируют Нейтрализующие Антитела Кo Всем Известным Пoдтипам Вируса Клещевoгo Энцефалита [Vaccines Based on the Far-Eastern and European Strains Induce the Neutralizing Antibodies against All Know]. Probl. Virol. 2016, 61, 135–139. [Google Scholar] [CrossRef] [PubMed]
- Gritsun, T.S.; Lashkevich, V.A.; Gould, E.A. Tick-Borne Encephalitis. Antivir. Res. 2003, 57, 129–146. [Google Scholar] [CrossRef]
- Růžek, D.; Dobler, G.; Mantke, O.D. Tick-Borne Encephalitis: Pathogenesis and Clinical Implications. Travel Med. Infect. Dis. 2010, 8, 223–232. [Google Scholar] [CrossRef] [PubMed]
- Bogovič, P.; Lotrič-Furlan, S.; Avšič-Županc, T.; Korva, M.; Kastrin, A.; Lusa, L.; Strle, K.; Strle, F. Comparison of Clinical, Laboratory and Immune Characteristics of the Monophasic and Biphasic Course of Tick-Borne Encephalitis. Microorganisms 2021, 9, 796. [Google Scholar] [CrossRef] [PubMed]
- Erber, W.; Schmitt, H.J. Self-Reported Tick-Borne Encephalitis (TBE) Vaccination Coverage in Europe: Results from a Cross-Sectional Study. Ticks Tick-Borne Dis. 2018, 9, 768–777. [Google Scholar] [CrossRef]
- Shcherbinina, M.S.; Barkhaleva, O.A.; Dorokhova, O.S.; Movsesyants, A.A. Effectiveness of Specific Prevention of Tick-Borne Encephalitis. Bioprep. Prev. Diagn. Treat. 2020, 20, 174–186. [Google Scholar] [CrossRef]
- Romanenko, V.V.; Yesyunina, M.; Kilyachina, A.S. Опыт Реализации Прoграммы Массoвoй Иммунизации Населения Прoтив Клещевoгo Энцефалита в Свердлoвскoй Области [Experience in Implementing the Mass Immunization Program against Tick-Borne Encephalitis in the Sverdlovsk Region]. Vopr. Virusol. 2007, 52, 22–25. [Google Scholar]
- Domnich, A.; Panatto, D.; Klementievna Arbuzova, E.; Signori, A.; Avio, U.; Gasparini, R.; Amicizia, D. Immunogenicity against Far Eastern and Siberian Subtypes of Tick-Borne Encephalitis (TBE) Virus Elicited by the Currently Available Vaccines Based on the European Subtype: Systematic Review and Meta-Analysis. Hum. Vaccines Immunother. 2014, 10, 2819–2833. [Google Scholar] [CrossRef]
- McLean, D.M.; Donohue, W.L. Powassan Virus: Isolation of Virus from a Fatal Case of Encephalitis. Can. Med. Assoc. J. 1959, 80, 708. [Google Scholar]
- Goldfield, M.; Austin, S.M.; Black, H.C.; Taylor, B.F.; Altman, R. A Non-Fatal Human Case of Powassan Virus Encephalitis. Am. J. Trop. Med. Hyg. 1973, 22, 78–81. [Google Scholar] [CrossRef]
- Leonova, G.N.; Kondratov, I.G.; Ternovoi, V.A.; Romanova, E.V.; Protopopova, E.V.; Chausov, E.V.; Pavlenko, E.V.; Ryabchikova, E.I.; Belikov, S.I.; Loktev, V.B. Characterization of Powassan Viruses from Far Eastern Russia. Arch. Virol. 2009, 154, 811–820. [Google Scholar] [CrossRef]
- Hassett, E.M.; Thangamani, S.; Evans, S.; Azar, S.R. Ecology of Powassan Virus in the United States. Microorganisms 2021, 9, 2317. [Google Scholar] [CrossRef] [PubMed]
- Leonova, G.N.; Sorokina, M.N.; Krugliak, S.P. The Clinico-Epidemiological Characteristics of Powassan Encephalitis in the Southern Soviet Far East. Zhurnal Mikrobiol. Epidemiol. Immunobiol. 1991, 3, 35–39. [Google Scholar]
- Charrel, R.N.; Attoui, H.; Butenko, A.M.; Clegg, J.C.; Deubel, V.; Frolova, T.V.; Gould, E.A.; Gritsun, T.S.; Heinz, F.X.; Labuda, M.; et al. Tick-Borne Virus Diseases of Human Interest in Europe. Clin. Microbiol. Infect. 2004, 10, 1040–1055. [Google Scholar] [CrossRef] [PubMed]
- Campbell, O.; Krause, P.J. The Emergence of Human Powassan Virus Infection in North America. Ticks Tick-Borne. Dis. 2020, 11, 101540. [Google Scholar] [CrossRef] [PubMed]
- Hermance, M.E.; Thangamani, S. Powassan Virus: An Emerging Arbovirus of Public Health Concern in North America. Vector Borne Zoonotic Dis. 2017, 17, 453. [Google Scholar] [CrossRef] [PubMed]
- Ebel, G.D. Update on Powassan Virus: Emergence of a North American Tick-Borne Flavivirus. Annu. Rev. Entomol. 2009, 55, 95–110. [Google Scholar] [CrossRef] [PubMed]
- Mclean, D.M.; Lachlan, W.; Macpherson, M.R.C.V.S.; Walker, S.J.; Funk, G. Powassan Virus: Surveys of Human and Animal Sera. Am. J. Public Health Nations Health 1960, 50, 1539–1544. [Google Scholar] [CrossRef] [PubMed]
- Chernokhaeva, L.L.; Rogova, Y.V.; Vorovitch, M.F.; Romanova, L.I.; Kozlovskaya, L.I.; Maikova, G.B.; Kholodilov, I.S.; Karganova, G.G. Protective Immunity Spectrum Induced by Immunization with a Vaccine from the TBEV Strain Sofjin. Vaccine 2016, 34, 2354–2361. [Google Scholar] [CrossRef] [PubMed]
- Leonova, G.N.; Isachkova, L.M.; Baranov, N.I.; Krugliak, S.P. Рoль Вируса Пoвассана в Этиoлoгическoй Структуре Клещевoгo Энцефалита в Примoрскoм Крае [Role of Powassan Virus in the Etiological Structure of Tick-Borne Encephalitis in the Primorsky Kray]. Vopr. Virusol. 1980, 2, 173–176. [Google Scholar]
- Barkhash, A.V.; Babenko, V.N.; Kobzev, V.F.; Romaschenko, A.G.; Voevoda, M.I. Polymorphism of 2′-5′-Oligoadenylate Synthetase (OAS) Genes, Associated with Predisposition to Severe Forms of Tick-Borne Encephalitis, in Human Populations of North Eurasia. Mol. Biol. 2010, 44, 875. [Google Scholar] [CrossRef] [PubMed]
- Barkhash, A.V.; Perelygin, A.A.; Babenko, V.N.; Brinton, M.A.; Voevoda, M.I. Single Nucleotide Polymorphism in the Promoter Region of the CD209 Gene Is Associated with Human Predisposition to Severe Forms of Tick-Borne Encephalitis. Antivir. Res. 2011, 93, 64–68. [Google Scholar] [CrossRef]
- Barkhash, A.V.; Babenko, V.N.; Voevoda, M.I.; Romaschenko, A.G. Association of IL28B and IL10 Gene Polymorphism with Predisposition to Tick-Borne Encephalitis in a Russian Population. Ticks Tick-Borne Dis. 2016, 7, 808–812. [Google Scholar] [CrossRef]
- Yudin, N.S.; Barkhash, A.V.; Maksimov, V.N.; Ignatieva, E.V.; Romaschenko, A.G. Human Genetic Predisposition to Diseases Caused by Viruses from Flaviviridae Family. Mol. Biol. 2018, 52, 190–209. [Google Scholar] [CrossRef]
- Shevtsova, A.S.; Motuzova, O.V.; Kuragina, V.M.; Akhmatova, N.K.; Gmyl, L.V.; Kondrat’eva, Y.I.; Kozlovskaya, L.I.; Rogova, Y.V.; Litov, A.G.; Romanova, L.I.; et al. Lethal Experimental Tick-Borne Encephalitis Infection: Influence of Two Strains with Similar Virulence on the Immune Response. Front. Microbiol. 2017, 7, 2172. [Google Scholar] [CrossRef]
- Shapoval, A.N. Tick-Borne Encephalomyelitis; Мedicine: Moscow, Russia, 1980. [Google Scholar]
- Conde, J.N.; Silva, E.M.; Barbosa, A.S.; Mohana-Borges, R. The Complement System in Flavivirus Infections. Front. Microbiol. 2017, 8, 213. [Google Scholar] [CrossRef]
- Morrison, J.; Aguirre, S.; Fernandez-Sesma, A. Innate Immunity Evasion by Dengue Virus. Viruses 2012, 4, 397–413. [Google Scholar] [CrossRef] [PubMed]
- Lindqvist, R.; Upadhyay, A.; Överby, A.K. Tick-Borne Flaviviruses and the Type I Interferon Response. Viruses 2018, 10, 340. [Google Scholar] [CrossRef] [PubMed]
- A. Pen’evskaia, N.; Rudakov, N.V. Efficiency of Use of Immunoglobulin Preparations for the Postexposure Prevention of Tick-Borne Encephalitis in Russia (a Review of Semi-Centennial Experience). Med. Parazitol. 2010, 1, 53–59. [Google Scholar]
- Osolodkin, D.I.; Kozlovskaya, L.I.; Dueva, E.V.; Dotsenko, V.V.; Rogova, Y.V.; Frolov, K.A.; Krivokolysko, S.G.; Romanova, E.G.; Morozov, A.S.; Karganova, G.G.; et al. Inhibitors of Tick-Borne Flavivirus Reproduction from Structure-Based Virtual Screening. ACS Med. Chem. Lett. 2013, 4, 869–874. [Google Scholar] [CrossRef]
- Vasilenko, D.A.; Dueva, E.V.; Kozlovskaya, L.I.; Zefirov, N.A.; Grishin, Y.K.; Butov, G.M.; Palyulin, V.A.; Kuznetsova, T.S.; Karganova, G.G.; Zefirova, O.N.; et al. Tick-Borne Flavivirus Reproduction Inhibitors Based on Isoxazole Core Linked with Adamantane. Bioorganic Chem. 2019, 87, 629–637. [Google Scholar] [CrossRef] [PubMed]
- Shukla, R.; Ramasamy, V.; Shanmugam, R.K.; Ahuja, R.; Khanna, N. Antibody-Dependent Enhancement: A Challenge for Developing a Safe Dengue Vaccine. Front. Cell. Infect. Microbiol. 2020, 10, 572681. [Google Scholar] [CrossRef]
- De Alwis, R.; Williams, K.L.; Schmid, M.A.; Lai, C.Y.; Patel, B.; Smith, S.A.; Crowe, J.E.; Wang, W.K.; Harris, E.; De Silva, A.M. Dengue Viruses Are Enhanced by Distinct Populations of Serotype Cross-Reactive Antibodies in Human Immune Sera. PLoS Pathog. 2014, 10, 1004386. [Google Scholar] [CrossRef]
- George, J.; Valiant, W.G.; Mattapallil, M.J.; Walker, M.; Huang, Y.J.S.; Vanlandingham, D.L.; Misamore, J.; Greenhouse, J.; Weiss, D.E.; Verthelyi, D.; et al. Prior Exposure to Zika Virus Significantly Enhances Peak Dengue-2 Viremia in Rhesus Macaques. Sci. Rep. 2017, 7, 1–10. [Google Scholar] [CrossRef]
- Chan, K.R.; Wang, X.; Saron, W.A.A.; Gan, E.S.; Tan, H.C.; Mok, D.Z.L.; Zhang, S.L.X.; Lee, Y.H.; Liang, C.; Wijaya, L.; et al. Cross-Reactive Antibodies Enhance Live Attenuated Virus Infection for Increased Immunogenicity. Nat. Microbiol. 2016, 1, 16164. [Google Scholar] [CrossRef] [PubMed]
- Kuzmenko, Y.V.; Starodubova, E.S.; Shevtsova, A.S.; Chernokhaeva, L.L.; Latanova, A.A.; Preobrazhenskaia, O.V.; Timofeev, A.V.; Karganova, G.G.; Karpov, V.L. Intracellular Degradation and Localization of NS1 of Tick-Borne Encephalitis Virus Affect Its Protective Properties. J. Gen. Virol. 2017, 98, 50–55. [Google Scholar] [CrossRef]
- Nagata, N.; Iwata-Yoshikawa, N.; Hayasaka, D.; Sato, Y.; Kojima, A.; Kariwa, H.; Takashima, I.; Takasaki, T.; Kurane, I.; Sata, T.; et al. The Pathogenesis of 3 Neurotropic Flaviviruses in a Mouse Model Depends on the Route of Neuroinvasion After Viremia. J. Neuropathol. Exp. Neurol. 2015, 74, 250–260. [Google Scholar] [CrossRef]
- Santos, R.I.; Hermance, M.E.; Reynolds, E.S.; Thangamani, S. Salivary Gland Extract from the Deer Tick, Ixodes Scapularis, Facilitates Neuroinvasion by Powassan Virus in BALB/c Mice. Sci. Rep. 2021, 11, 20873. [Google Scholar] [CrossRef]
- Slon Campos, J.L.; Mongkolsapaya, J.; Screaton, G.R. The Immune Response against Flaviviruses. Nat. Immunol. 2018, 19, 1189–1198. [Google Scholar] [CrossRef] [PubMed]
- Wahala, W.M.P.B.; de Silva, A.M. The Human Antibody Response to Dengue Virus Infection. Viruses 2011, 3, 2374–2395. [Google Scholar] [CrossRef]
- Rey, F.A.; Stiasny, K.; Vaney, M.; Dellarole, M.; Heinz, F.X. The Bright and the Dark Side of Human Antibody Responses to Flaviviruses: Lessons for Vaccine Design. EMBO Rep. 2018, 19, 206–224. [Google Scholar] [CrossRef] [PubMed]
- Frolova, M.P.; Isachkova, L.M.; Shestopalova, N.M.; Pogodina, V.V. Experimental Encephalitis in Monkeys Caused by the Powassan Virus. Neurosci. Behav. Physiol. 1985, 15, 62–69. [Google Scholar] [CrossRef] [PubMed]
- Hambleton, P.; Stephenson, J.R.; Baskerville, A.; Wiblin, C.N. Pathogenesis and Immune Response of Vaccinated and Unvaccinated Rhesus Monkeys to Tick-Borne Encephalitis Virus. Infect. Immun. 1983, 40, 995–1003. [Google Scholar] [CrossRef] [PubMed]
- Maximova, O.A.; Faucette, L.J.; Ward, J.M.; Murphy, B.R.; Pletnev, A.G. Cellular Inflammatory Response to Flaviviruses in the Central Nervous System of a Primate Host. J. Histochem. Cytochem. 2009, 57, 973–989. [Google Scholar] [CrossRef] [PubMed]
- Süss, J.; Gelpi, E.; Klaus, C.; Bagon, A.; Liebler-Tenorio, E.M.; Budka, H.; Stark, B.; Müller, W.; Hotzel, H. Tickborne Encephalitis in Naturally Exposed Monkey (Macaca sylvanus). Emerg. Infect. Dis. 2007, 13, 905. [Google Scholar] [CrossRef]
- Pripuzova, N.S.; Gmyl, L.V.; Romanova, L.I.; Tereshkina, N.V.; Rogova, Y.V.; Terekhina, L.L.; Kozlovskaya, L.I.; Vorovitch, M.F.; Grishina, K.G.; Timofeev, A.V.; et al. Exploring of Primate Models of Tick-Borne Flaviviruses Infection for Evaluation of Vaccines and Drugs Efficacy. PLoS ONE 2013, 8, e61094. [Google Scholar] [CrossRef] [PubMed]
- Pogodina, V.V.; Frolova, M.P.; Malenko, G.V.; Fokina, G.I.; Levina, L.S.; Mamonenko, L.L.; Koreshkova, G.V.; Ralf, N.M. Persistence of Tick-Borne Encephalitis Virus in Infected Monkeys. Acta Virol. 1981, 25, 337–343. [Google Scholar] [PubMed]
- Fares-Gusmao, R.; Coelho Rocha, B.; Sippert, E.; Lanteri, M.C.; Áñez, G.; Rios, M. Differential Pattern of Soluble Immune Markers in Asymptomatic Dengue, West Nile and Zika Virus Infections. Sci. Rep. 2019, 9, 17172. [Google Scholar] [CrossRef]
- Suckling, A.J.; Bateaian, S.; Webb, H.E. A New Method for Monitoring Subclinical Virus Infections of the Central Nervous System in Mice. Br. J. Exp. Pathol. 1975, 56, 287. [Google Scholar] [PubMed]
- Suckling, A.; Webb, H.; Chew-Lim, M.; Oaten, S. Effect of an Inapparent Viral Encephalitis on the Levels of Lysosomal Glycosidases in Mouse Brain. J. Neurol. Sci. 1976, 29, 109–116. [Google Scholar] [CrossRef] [PubMed]
- Dantzer, R.; O’Connor, J.C.; Freund, G.G.; Johnson, R.W.; Kelley, K.W. From Inflammation to Sickness and Depression: When the Immune System Subjugates the Brain. Nat. Rev. Neurosci. 2008, 9, 46. [Google Scholar] [CrossRef]
- Shattuck, E.C.; Muehlenbein, M.P. Human Sickness Behavior: Ultimate and Proximate Explanations. Am. J. Phys. Anthropol. 2015, 157, 1–18. [Google Scholar] [CrossRef]
- Tuchynskaya, K.; Volok, V.; Illarionova, V.; Okhezin, E.; Polienko, A.; Belova, O.; Rogova, A.; Chernokhaeva, L.; Karganova, G. Experimental Assessment of Possible Factors Associated with Tick-Borne Encephalitis Vaccine Failure. Microorganisms 2021, 9, 1172. [Google Scholar] [CrossRef]
- Reed, L.J.; Muench, H. A Simple Method of Estimating Fifty per Cent Endpoints. Am. J. Epidemiol. 1938, 27, 493–497. [Google Scholar] [CrossRef]
- Romanova, L.I.; Gmyl, A.P.; Dzhivanian, T.I.; Bakhmutov, D.V.; Lukashev, A.N.; Gmyl, L.V.; Rumyantsev, A.A.; Burenkova, L.A.; Lashkevich, V.A.; Karganova, G.G. Microevolution of Tick-Borne Encephalitis Virus in Course of Host Alternation. Virology 2007, 362, 75–84. [Google Scholar] [CrossRef]
- Baryshnikova, V.S.; Turchenko, Y.V.; Shishova, А.А.; Klimentov, А.S.; Tuchynskaya, К.К.; Karganova, G.G. Recombinant Glycoprotein E of Tick-Borne Encephalitis Virus for a Developing Differentiated Test System. Biotekhnologiya 2022, 38, 73–83. [Google Scholar] [CrossRef]
- Baryshnikova, V.; Turchenko, Y.; Tuchynskaya, K.; Belyaletdinova, I.; Butenko, A.; Dereventsova, A.; Ignatiev, G.; Kholodilov, I.; Larichev, V.; Lyapeykova, E.; et al. Recombinant TBEV Protein E of the Siberian Subtype Is a Candidate Antigen in the ELISA Test System for Differential Diagnosis. Diagnostics 2023, 13, 3277. [Google Scholar] [CrossRef] [PubMed]
- Herrmann, E.; Call, J.; Hernández-Lloreda, M.V.; Hare, B.; Tomasello, M. Humans Have Evolved Specialized Skills of Social Cognition: The Cultural Intelligence Hypothesis. Science 2007, 317, 1360–1366. [Google Scholar] [CrossRef]
- Anikaev, A.I.; Meishvili, N.V.; Chalyan, V.G.; Anikaeva, E.N. Сравнительный Анализ Исследoвательскoй Деятельнoсти у Самцoв и Самoк Зеленых Мартышек (Chlorocebus sp.) [Comparative Analysis of Research Activities in Male and Female Green Monkeys (Chlorocebus sp.)]. 2019. Available online: https://www.researchgate.net/publication/332548357_Sravnitelnyj_analiz_issledovatelskoj_deatelnosti_u_samcov_i_samok_zelenyh_martysek_Chlorocebus_sp (accessed on 2 October 2023).
- Bogovič, P.; Kastrin, A.; Lotrič-Furlan, S.; Ogrinc, K.; Avšič Županc, T.; Korva, M.; Knap, N.; Resman Rus, K.; Strle, K.; Strle, F. Comparison of Laboratory and Immune Characteristics of the Initial and Second Phase of Tick-Borne Encephalitis. Emerg. Microbes Infect. 2022, 11, 1647–1656. [Google Scholar] [CrossRef]
- Grygorczuk, S.; Czupryna, P.; Pancewicz, S.; Świerzbińska, R.; Dunaj, J.; Siemieniako, A.; Moniuszko-Malinowska, A. The Increased Intrathecal Expression of the Monocyte-Attracting Chemokines CCL7 and CXCL12 in Tick-Borne Encephalitis. J. Neurovirol. 2021, 27, 452–462. [Google Scholar] [CrossRef]
- Ratnikova, L.I.; Ter-Bagdasaryan, L.V.; Pechenkina, N.V. Clinical and Immunological Features Andcriteria for Predicting the Course of Tick-Borne Encephalitis. Infect. Dis. News. Opin. Educ. 2014, 4, 21–24. [Google Scholar]
- Naiken, S.; Griffiths, M.A.; Hurdial, J.R.; Narainapoulle, S.; Honess, P. Reference Intervals for Biochemical and Haematological Analytes of Juvenile Captive-Bred Long-Tailed Macaques (Macaca fascicularis) from Mauritius with Examination of the Effects of Individual Characteristics Using Principal Component Analysis. J. Med. Primatol. 2016, 45, 277–289. [Google Scholar] [CrossRef] [PubMed]
- Bogovič, P.; Lusa, L.; Korva, M.; Lotrič-Furlan, S.; Resman-Rus, K.; Pavletič, M.; Avšič-županc, T.; Strle, K.; Strle, F. Inflammatory Immune Responses in Patients with Tick-Borne Encephalitis: Dynamics and Association with the Outcome of the Disease. Microorganisms 2019, 7, 514. [Google Scholar] [CrossRef]
- Chan, K.R.; Ismail, A.A.; Thergarajan, G.; Raju, C.S.; Yam, H.C.; Rishya, M.; Sekaran, S.D. Serological Cross-Reactivity among Common Flaviviruses. Front. Cell. Infect. Microbiol. 2022, 12, 1344. [Google Scholar] [CrossRef]
- Čabanová, V.; Kerlik, J.; Kirschner, P.; Rosochová, J.; Klempa, B.; Sláviková, M.; Ličková, M. Co-Circulation of West Nile, Usutu, and Tick-Borne Encephalitis Viruses in the Same Area: A Great Challenge for Diagnostic and Blood and Organ Safety. Viruses 2023, 15, 366. [Google Scholar] [CrossRef] [PubMed]
- Lai, C.-Y.; Tsai, W.-Y.; Lin, S.-R.; Kao, C.-L.; Hu, H.-P.; King, C.-C.; Wu, H.-C.; Chang, G.-J.; Wang, W.-K. Antibodies to Envelope Glycoprotein of Dengue Virus during the Natural Course of Infection Are Predominantly Cross-Reactive and Recognize Epitopes Containing Highly Conserved Residues at the Fusion Loop of Domain II. J. Virol. 2008, 82, 6631. [Google Scholar] [CrossRef] [PubMed]
- Oliphant, T.; Nybakken, G.E.; Engle, M.; Xu, Q.; Nelson, C.A.; Sukupolvi-Petty, S.; Marri, A.; Lachmi, B.-E.; Olshevsky, U.; Fremont, D.H.; et al. Antibody Recognition and Neutralization Determinants on Domains I and II of West Nile Virus Envelope Protein. J. Virol. 2006, 80, 12149–12159. [Google Scholar] [CrossRef] [PubMed]
- Jarmer, J.; Zlatkovic, J.; Tsouchnikas, G.; Vratskikh, O.; Strauß, J.; Aberle, J.H.; Chmelik, V.; Kundi, M.; Stiasny, K.; Heinz, F.X. Variation of the Specificity of the Human Antibody Responses after Tick-Borne Encephalitis Virus Infection and Vaccination. J. Virol. 2014, 88, 13845–13857. [Google Scholar] [CrossRef] [PubMed][Green Version]
- Piantadosi, A.; Rubin, D.B.; McQuillen, D.P.; Hsu, L.; Lederer, P.A.; Ashbaugh, C.D.; Duffalo, C.; Duncan, R.; Thon, J.; Bhattacharyya, S.; et al. Emerging Cases of Powassan Virus Encephalitis in New England: Clinical Presentation, Imaging, and Review of the Literature. Clin. Infect. Dis. 2016, 62, 707–713. [Google Scholar] [CrossRef]
- Lindquist, L.; Vapalahti, O. Tick-Borne Encephalitis. Lancet 2008, 371, 1861–1871. [Google Scholar] [CrossRef]
- Archives of Virology Study on West Nile Virus Persistence in Monkeys The Institute of Poliomyelitis and Viral Encephalitides of the U. Arch. Virol. 1983, 75, 71–86. [CrossRef]















| Animals 1 | Sex | Age, y | Intervention | Behavioral and Cognitive Tests | Euthanasia, dpi | ||||
|---|---|---|---|---|---|---|---|---|---|
| Battery of Tests 1 «Tool Use and Properties» | Battery of Tests 2 «Memory» | Test 3 «Box» | Test 4 «Reaction to a New Object» | Test 5 «Tiredness» | |||||
| TBE-1 | F | 3 | TBEV | + | + | + | + | 14 | |
| TBE-2 | F | 3 | + | + | + | + | + | 11 | |
| TBE-3 | F | 4 | + | + | + | + | 10 | ||
| POW-1 | M | 3 | POWV | + | + | + | + | + | 11 |
| POW-2 | F | 3 | + | + | + | 10 | |||
| POW-3 | F | 3 | + | 14 | |||||
| T + P − 1 | F | 3 | TBEV +POWV | + | 11 | ||||
| T + P − 2 | M | 3 | + | + | 14 | ||||
| vP-1 | F | 3 | Vac +POWV | + | 14 | ||||
| vP-2 | F | 3 | + | + | + | + | 11 | ||
| S-1 | F | 3 | saline | + | + | + | + | + | 10 |
| S-2 | M | 4 | + | + | + | + | + | 14 | |
| C1-13 | M/F | 3–4 | naive control | N = 8 | N = 7 | N = 2 | N = 13 | N = 10 | |
| Virus | Strain | Region and Year of Isolation | Isolate Source | GenBank Accession Number | Passage History * |
|---|---|---|---|---|---|
| TBEV, Siberian subtype | EK-328 | Estonia, 1972 | I. persulcatus | DQ486861.1 | M6C1M6C1 |
| POWV | Pow-24 | Primorsky Krai, Russia, 1975 | I. persulcatus | MG652438.1 | M4V1C1 |
| WNV | Hp-94 | Astrakhan, Russia, 1963 | H. marginatum | JX041633.1 | MxC1-2 |
| Test | Scores |
|---|---|
| Three Cups | 1 |
| Tool Use: Pulling a Cloth With a Treat | 2 |
| Tool Properties: Pulling a Thread with a Treat | 2 |
| Tool Properties: A Whole and a Cut Thread with Treats | 4 |
| Test | Scores |
|---|---|
| Sticker Cup | 1 |
| Spatial Memory: 3 Upside Down Cups and 1 Treat | 2 |
| Memory and Association: Sticker Cup and a Barrier | 4 |
| Before Infection | 3 dpi |
|---|---|
| A1—the first presentation of object A (red cylinder) | B1—the first presentation of the object (blue cone), was offered as a new object after infection, along with the previously familiar object A4 (red cylinder, the fourth presentation of the object A) |
| A2—the second presentation of object A (red cylinder) | |
| A3—the third presentation of object A (red cylinder) |
| Group | dpi | Monkey # | Anti-TBEV NAb, log | Ab to DIII, log | Ab to sE, log | Ab to DI + II, log |
|---|---|---|---|---|---|---|
| TBEV | 7 | TBE-1 | 2.35 | - | - | - |
| TBE-2 | 4.49 | 3.98 | 3.9 | 3.93 | ||
| TBE-3 | 1.8 | - | - | - | ||
| 10 | TBE-1 | 3.23 | - | - | - | |
| TBE-2 | 4.4 | 4.1 | 4.07 | 4.68 | ||
| TBE-3 | 1.84 | - | - | - | ||
| POWV | 7 | POW-1 | 1.3 | - | - | - |
| POW-2 | 1.8 | - | - | - | ||
| POW-3 | - | - | - | - | ||
| TBEV+ POWV | 7 | T + P − 1 | 1.9 | - | - | - |
| T + P − 2 | 1.4 | - | - | - | ||
| 10 | T + P − 1 | 1.1 | - | - | - | |
| T + P − 2 | 3.6 | 3.49 | 3.32 | 2.92 | ||
| Vac + POWV | −1 | vP-1 | 2.40 | 3.49 | 3.33 | 3.42 |
| vP-2 | 2.70 | 3.75 | 3.3 | 3.53 | ||
| 2 | vP-1 | 2.40 | - | - | - | |
| vP-2 | 2.57 | 3.85 | 3.55 | 4.77 | ||
| 4 | vP-1 | 2.98 | 4.02 | 4.02 | 4.41 | |
| vP-2 | 2.31 | 4,08 | 3.84 | 3.6 | ||
| 7 | vP-1 | 3.04 | 4.92 | 4.84 | 5.58 | |
| vP-2 | 2.95 | 5.33 | 4.95 | 4.62 | ||
| 10 | vP-1 | 4.17 | 4.45 | 4.6 | 4.87 | |
| vP-2 | 5.30 | 5.55 | 5.01 | 7.82 |
| Group | Monkey # | Plaque Assay | TBEV-Ag ELISA | POWV-qRT-PCR, log(GCP)/mL | TBEV-qRT-PCR, log(GCP)/mL | Plaque Assay | TBEV-Ag ELISA | POWV-qRT-PCR, log(GCP)/mL | TBEV-qRT-PCR, log(GCP)/mL |
|---|---|---|---|---|---|---|---|---|---|
| 2 dpi | 4 dpi | ||||||||
| TBEV | TBE-1 | + | − | n.t. | − | − | − | n.t. | 5.07 |
| TBE-2 | + | − | n.t. | − | + | + | n.t. | 6.83 | |
| TBE-3 | + | − | n.t. | 5.84 | + | − | n.t. | − | |
| POWV | POW-1 | + | − | 6.06 | n.t. | − | − | − | n.t. |
| POW-2 | + | − | 5.26 | n.t. | − | − | − | n.t. | |
| POW-3 | + | − | 6.63 | n.t. | − | − | − | n.t. | |
| POWV + TBEV | T + P − 1 | + | − | 4.78 | − | − | − | − | − |
| T + P − 2 | + | + | 4.66 | 5.00 | + | + | − | − | |
| Vac + POWV | vP-1 | − | − | − | n.t. | − | − | − | n.t. |
| vP-2 | − | − | − | n.t. | − | − | − | n.t. | |
| Group | TBEV | POWV | TBEV + POWV | Vac + POWV | ||||||||
|---|---|---|---|---|---|---|---|---|---|---|---|---|
| Monkey # | TBE-1 | TBE-2 | TBE-3 | POW-1 | POW-2 | POW-3 | T + P − 1 | T + P − 2 | vP-1 | vP-2 | ||
| Organ | Log (GCP TBEV)/mL | Log (GCP POWV)/mL | Log (GCP TBEV)/mL | Log (GCP POWV)/mL | Log (GCP TBEV)/mL | Log (GCP POWV)/mL | Log (GCP POWV)/mL | |||||
| Spleen | 4.97 | - | - | 4.53 | - | - | 4.07 | - | 4.4 | - | - | - |
| Lymph node | 3.46 | - | 4.2 | 4.85 | - | - | - | - | - | - | - | - |
| Brain | - | - | - | - | - | - | - | - | - | - | - | - |
| Behavioral Rate | Infected Group | Control Group | ||
|---|---|---|---|---|
| Statistical Validity (Wilcoxon Test (z)) | P-Value | Statistical Validity (Wilcoxon Test (z)) | P-Value | |
| Activity (familiar object) A1/A4 | 2.2013 * | 0.0277 * | 2.1582 * | 0.0309 * |
| Activity (new object) A4/B1 | 1.1531 | 0.2488 | 3.4077 * | 0.0006 * |
| Concentration (familiar object) A1/A4 | 1.5724 | 0.1158 | 2.9534 * | 0.0031 * |
| Concentration (new object) A4/B1 | 1.5724 | 0.1158 | 3.4077 * | 0.0006 * |
| Latency A1/A4 or B1 (depending on the first preference of the primate, subject to the presence of two objects at once after infection) | 1.1531 | 0.2488 | 1.9547 | 0.0506 |
Disclaimer/Publisher’s Note: The statements, opinions and data contained in all publications are solely those of the individual author(s) and contributor(s) and not of MDPI and/or the editor(s). MDPI and/or the editor(s) disclaim responsibility for any injury to people or property resulting from any ideas, methods, instructions or products referred to in the content. |
© 2023 by the authors. Licensee MDPI, Basel, Switzerland. This article is an open access article distributed under the terms and conditions of the Creative Commons Attribution (CC BY) license (https://creativecommons.org/licenses/by/4.0/).
Share and Cite
Illarionova, V.; Rogova, A.; Tuchynskaya, K.; Volok, V.; Rogova, Y.; Baryshnikova, V.; Turchenko, Y.; Litov, A.; Kalyanova, A.; Siniugina, A.; et al. Inapparent Tick-Borne Orthoflavivirus Infection in Macaca fascicularis: A Model for Antiviral Drug and Vaccine Research. Vaccines 2023, 11, 1754. https://doi.org/10.3390/vaccines11121754
Illarionova V, Rogova A, Tuchynskaya K, Volok V, Rogova Y, Baryshnikova V, Turchenko Y, Litov A, Kalyanova A, Siniugina A, et al. Inapparent Tick-Borne Orthoflavivirus Infection in Macaca fascicularis: A Model for Antiviral Drug and Vaccine Research. Vaccines. 2023; 11(12):1754. https://doi.org/10.3390/vaccines11121754
Chicago/Turabian StyleIllarionova, Victoria, Anastasia Rogova, Ksenia Tuchynskaya, Viktor Volok, Yulia Rogova, Victoria Baryshnikova, Yuriy Turchenko, Alexander Litov, Anna Kalyanova, Alexandra Siniugina, and et al. 2023. "Inapparent Tick-Borne Orthoflavivirus Infection in Macaca fascicularis: A Model for Antiviral Drug and Vaccine Research" Vaccines 11, no. 12: 1754. https://doi.org/10.3390/vaccines11121754
APA StyleIllarionova, V., Rogova, A., Tuchynskaya, K., Volok, V., Rogova, Y., Baryshnikova, V., Turchenko, Y., Litov, A., Kalyanova, A., Siniugina, A., Ishmukhametov, A., & Karganova, G. (2023). Inapparent Tick-Borne Orthoflavivirus Infection in Macaca fascicularis: A Model for Antiviral Drug and Vaccine Research. Vaccines, 11(12), 1754. https://doi.org/10.3390/vaccines11121754

