An Efficient Starch-Based Delivery System Ameliorates Naringin’s Uptake to Mitigate Acrylamide-Induced Oxidative Stress in Mice
Abstract
1. Introduction
2. Materials and Methods
2.1. Materials
2.2. Preparation of PS/OSAPS-NAR Complexes
2.3. In Vitro Digestion
2.4. Determination of Antioxidant Activities
2.5. Cell Experiments
2.5.1. Cell Culture
2.5.2. Determination of Cell Viability
2.5.3. Cellular Uptake Study
2.5.4. Determination of Cellular Reactive Oxygen Species Levels
2.5.5. Determination of Cellular Mitochondrial Membrane Potential
2.5.6. Determination of Cellular Glutathione Level
2.6. Adaptive Feeding for Mice
2.7. Pharmacokinetic Experiments
2.7.1. Group Administration and Sampling of Mice
2.7.2. Determination of Naringin Concentration in Mice Plasma
2.7.3. Pharmacokinetic Parameter Calculation
2.7.4. Relative Bioavailability Calculation
2.8. In Vivo Antioxidant Experiments
2.8.1. Grouping and Administration of Mice
2.8.2. Determination of Body Weights and Liver Indices of Mice
2.8.3. Determination of Antioxidant Indices in Serum and Liver
2.8.4. Pathological Observation of Liver Tissue
2.9. Statistical Analysis
3. Results and Discussion
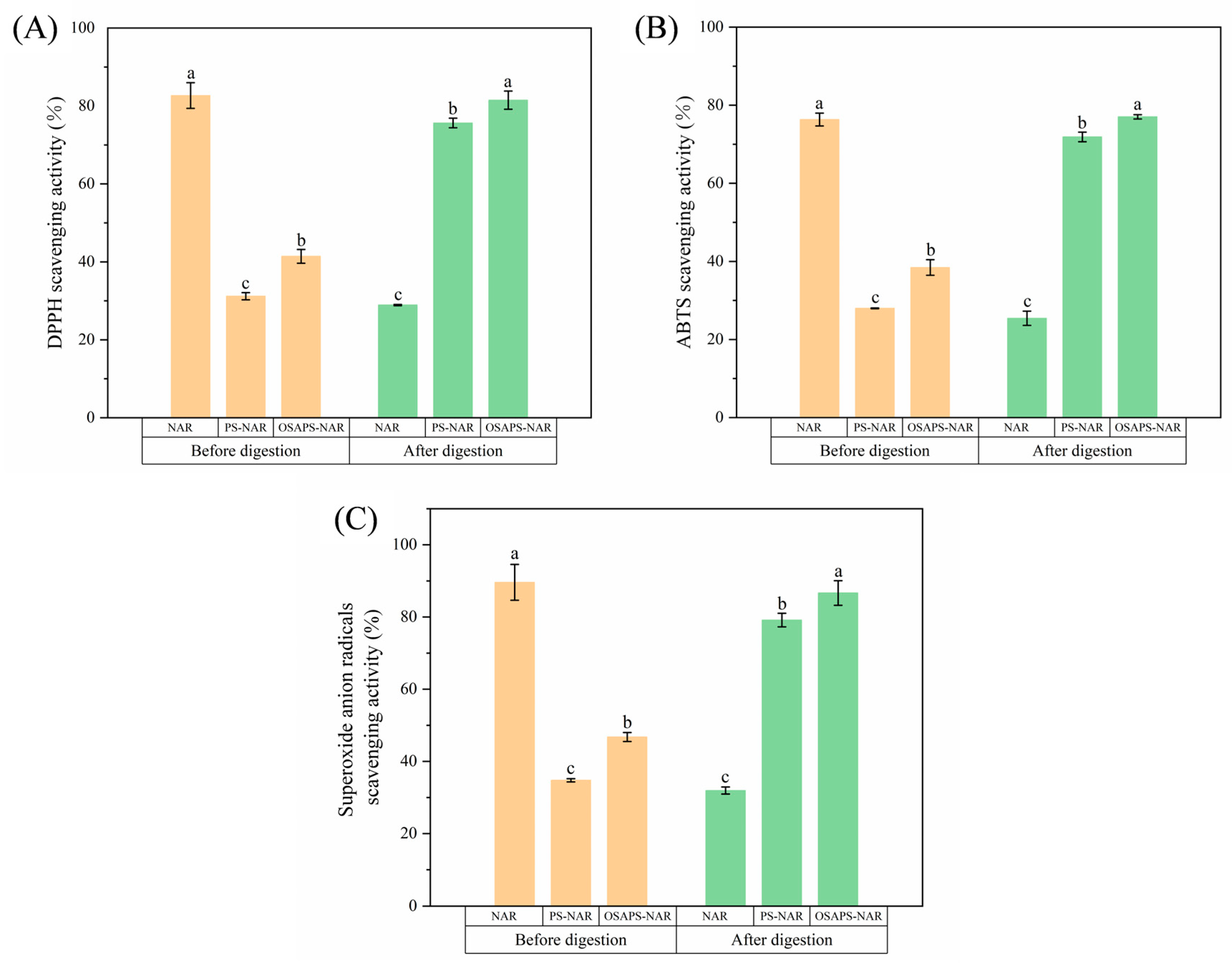
3.1. In Vitro Antioxidant Activity
3.2. Cell Viability and Cytotoxicity
3.3. Cell Uptake
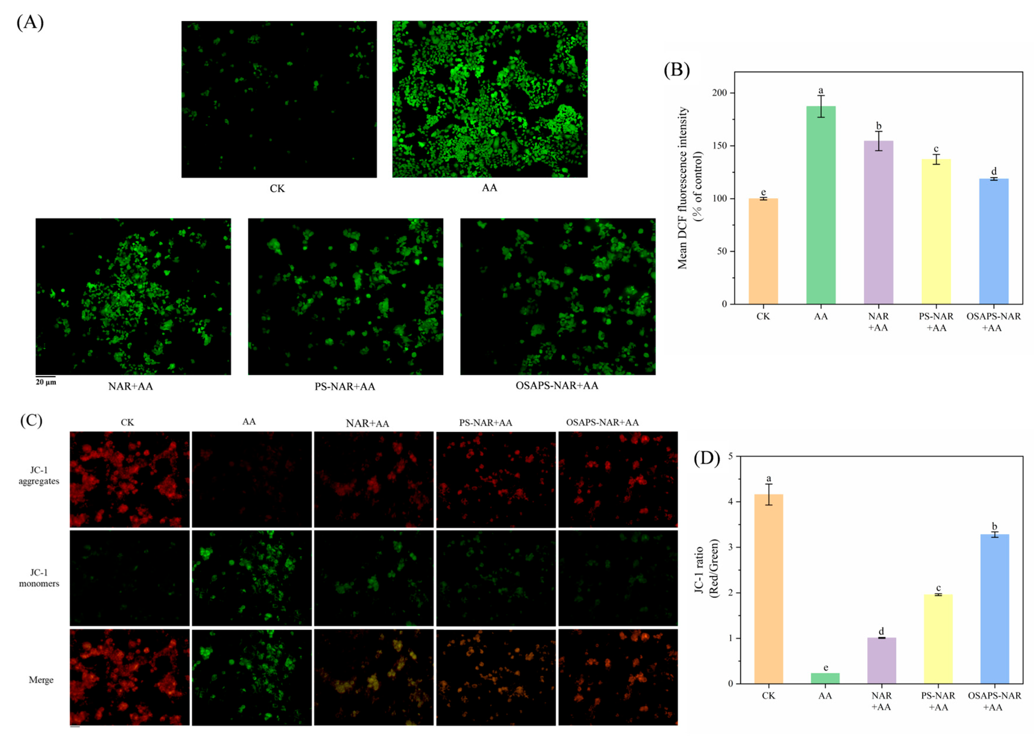
3.4. Cellular ROS Level, MMP and Glutathione Depletion
3.5. Pharmacokinetics and Relative Bioavailability of NAR
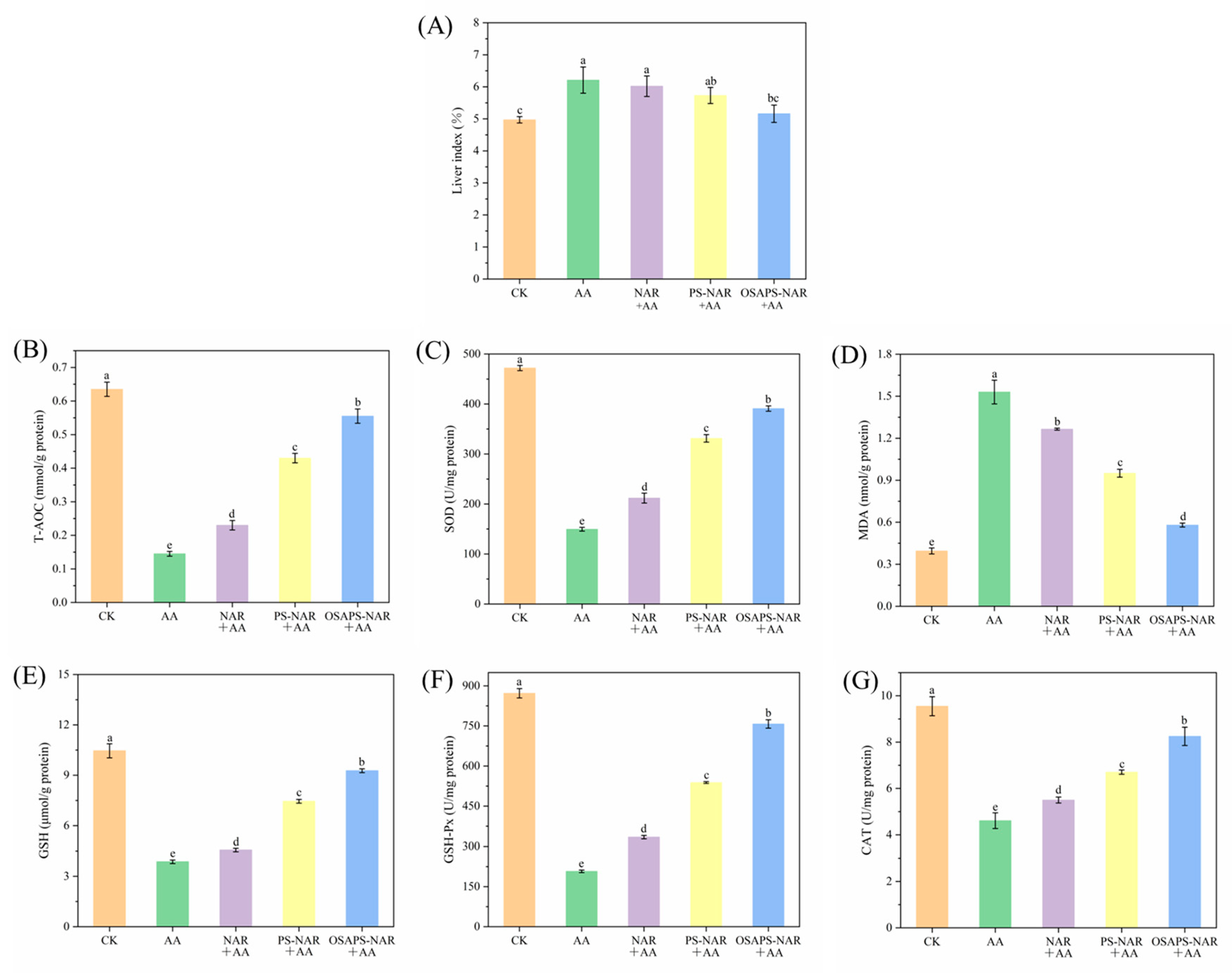
3.6. Body Weights and Serum Antioxidant Indices
3.7. Liver Indices, Antioxidant Indices and Pathological Observation
4. Conclusions
Author Contributions
Funding
Institutional Review Board Statement
Data Availability Statement
Conflicts of Interest
References
- Chen, M.; Li, R.; Gao, Y.; Zheng, Y.; Liao, L.; Cao, Y.; Li, J.; Zhou, W. Encapsulation of hydrophobic and low-soluble polyphenols into nanoliposomes by pH-driven method: Naringenin and naringin as model compounds. Foods 2021, 10, 963. [Google Scholar] [CrossRef]
- Fadholly, A.; Ansori, A.N.; Utomo, B. Anticancer effect of naringin on human colon cancer (widr cells): In vitro study. Res. J. Pharm. Technol. 2022, 15, 885–888. [Google Scholar] [CrossRef]
- AKİN, A.T.; El Bechir, M.L.; Kaymak, E.; Ceylan, T.; Sayan, M.; Değer, N.; Karabulut, D.; Toluk, A. Anti-inflammatory and anti-apoptotic effects of naringin on bacterial endotoxin-induced small intestine damage in rats. Cukurova Med. J. 2022, 47, 1137–1146. [Google Scholar] [CrossRef]
- Gupta, I.; Adin, S.N.; Aqil, M.; Mujeeb, M. QbD based extraction of naringin from Citrus sinensis L. Peel and its antioxidant activity. Pharmacogn. Res. 2023, 15, 145–154. [Google Scholar] [CrossRef]
- Pai, D.A.; Vangala, V.R.; Ng, J.W.; Ng, W.K.; Tan, R.B.H. Resistant maltodextrin as a shell material for encapsulation of naringin: Production and physicochemical characterization. J. Food Eng. 2015, 161, 68–74. [Google Scholar] [CrossRef]
- Hsiu, S.-L.; Huang, T.-Y.; Hou, Y.-C.; Chin, D.-H.; Chao, P.-D.L. Comparison of metabolic pharmacokinetics of naringin and naringenin in rabbits. Life Sci. 2002, 70, 1481–1489. [Google Scholar] [CrossRef]
- Kanaze, F.I.; Kokkalou, E.; Niopas, I.; Georgarakis, M.; Stergiou, A.; Bikiaris, D. Dissolution enhancement of flavonoids by solid dispersion in PVP and PEG matrixes: A comparative study. J. Appl. Polym. Sci. 2010, 102, 460–471. [Google Scholar] [CrossRef]
- Zhao, X.; Sun, Y.; Meng, Z.; Yang, Z.; Fan, S.; Ye, T.; Yang, L.; Li, T.; Gu, R.; Wu, Z. Preparation and characterization of tranexamic acid modified porous starch and its application as a hemostatic agent. Int. J. Biol. Macromol. 2022, 200, 273–284. [Google Scholar] [CrossRef]
- Davoudi, Z.; Azizi, M.H.; Barzegar, M. Porous corn starch obtained from combined cold plasma and enzymatic hydrolysis: Microstructure and physicochemical properties. Int. J. Biol. Macromol. 2022, 223, 790–797. [Google Scholar] [CrossRef]
- Guo, L.; Zhu, Y.; Du, X. The effect of modified starches on the adsorption of cigarette mainstream smoke composition. Starch-Stärke 2012, 64, 552–562. [Google Scholar] [CrossRef]
- Xie, Y.; Zhang, B.; Li, M.N.; Chen, H.Q. Effects of cross-linking with sodium trimetaphosphate on structural and adsorptive properties of porous wheat starches. Food Chem. 2019, 289, 187–194. [Google Scholar] [CrossRef]
- Ji, X.; Du, J.; Gu, J.; Yang, J.; Cheng, L.; Li, Z.; Li, C.; Hong, Y.; Feng, T. Structure and menthone encapsulation of corn starch modified by octenyl succinic anhydride and enzymatic treatment. J. Food Qual. 2022, 2022, 4556827. [Google Scholar] [CrossRef]
- Shang, M.; Liu, W.; Chen, L.; Chen, M.; Zhong, F. Revealing substitution priority and pattern of octenylsuccinic groups along the starch chain under a continuous mode. Food Chem. 2022, 388, 132909. [Google Scholar] [CrossRef] [PubMed]
- Li, H.; Ma, Y.; Yu, L.; Xue, H.; Wang, Y.; Chen, J.; Zhang, S. Construction of octenyl succinic anhydride modified porous starch for improving bioaccessibility of β-carotene in emulsions. RSC Adv. 2020, 10, 8480–8489. [Google Scholar] [CrossRef]
- Cao, F.; Lu, S. OSA modified porous starch acts as an efficient carrier for loading and sustainedly releasing naringin. Food Chem. 2025, 463, 141176. [Google Scholar] [CrossRef] [PubMed]
- Wang, L.; Lu, S.; Liu, Y.; Lu, H.; Zheng, M.; Zhou, Z.; Cao, F.; Yang, Y.; Fang, Z. Differential impacts of porous starch versus its octenyl succinic anhydride-modified counterpart on naringin encapsulation, solubilization, and in vitro release. Int. J. Biol. Macromol. 2024, 273, 132746. [Google Scholar] [CrossRef]
- Cao, F.; Lu, S.; Quek, S.Y. Preparation, characterization and in vitro digestion of octenyl succinic anhydride-modified porous starch with different degrees of substitution. Int. J. Biol. Macromol. 2023, 253, 126579. [Google Scholar] [CrossRef]
- Keramat, J.; LeBail, A.; Prost, C.; Jafari, M. Acrylamide in baking products: A review article. Food Bioprocess Technol. 2011, 4, 530–543. [Google Scholar] [CrossRef]
- Zamani, E.; Shokrzadeh, M.; Fallah, M.; Shaki, F. A review of acrylamide toxicity and its mechanism. Pharm. Biomed. Res. 2017, 3, 1–7. [Google Scholar] [CrossRef]
- Zhang, L.; Xu, Y.; Li, Y.; Bao, T.; Gowd, V.; Chen, W. Protective property of mulberry digest against oxidative stress—A potential approach to ameliorate dietary acrylamide-induced cytotoxicity. Food Chem. 2017, 230, 306–315. [Google Scholar] [CrossRef]
- Chen, W.; Feng, L.; Shen, Y.; Su, H.; Li, Y.; Zhuang, J.; Zhang, L.; Zheng, X. Myricitrin inhibits acrylamide-mediated cytotoxicity in human Caco-2 cells by preventing oxidative stress. BioMed Res. Int. 2013, 2013, 724183. [Google Scholar] [CrossRef]
- Rodríguez-Ramiro, I.; Ramos, S.; Bravo, L.; Goya, L.; Martín, M.Á. Procyanidin B2 and a cocoa polyphenolic extract inhibit acrylamide-induced apoptosis in human Caco-2 cells by preventing oxidative stress and activation of JNK pathway. J. Nutr. Biochem. 2011, 22, 1186–1194. [Google Scholar] [CrossRef]
- Gelen, V.; Yıldırım, S.; Şengül, E.; Çınar, A.; Çelebi, F.; Küçükkalem, M.; Gök, M. Naringin attenuates oxidative stress, inflammation, apoptosis, and oxidative DNA damage in acrylamide-induced nephrotoxicity in rats. Asian Pac. J. Trop. Biomed. 2022, 12, 223–232. [Google Scholar] [CrossRef]
- Li, L.; Lei, X.; Chen, L.; Li, W.; Ma, Y.; Luo, J.; Liu, X.; Xu, X.; Zhou, G.; Feng, X. Protective mechanism of quercetin compounds against acrylamide-induced hepatotoxicity. Food Sci. Hum. Wellness 2023, 13, 225–240. [Google Scholar] [CrossRef]
- Li, J.; Shin, G.H.; Lee, I.W.; Chen, X.; Park, H.J. Soluble starch formulated nanocomposite increases water solubility and stability of curcumin. Food Hydrocoll. 2016, 56, 41–49. [Google Scholar] [CrossRef]
- Shishir, M.R.I.; Karim, N.; Gowd, V.; Xie, J.; Zheng, X.; Chen, W. Pectin-chitosan conjugated nanoliposome as a promising delivery system for neohesperidin: Characterization, release behavior, cellular uptake, and antioxidant property. Food Hydrocoll. 2019, 95, 432–444. [Google Scholar] [CrossRef]
- Babu, G.R.S.; Anand, T.; Ilaiyaraja, N.; Khanum, F.; Gopalan, N. Pelargonidin modulates Keap1/Nrf2 pathway gene expression and ameliorates citrinin-induced oxidative stress in HepG2 cells. Front. Pharmacol. 2017, 8, 303928. [Google Scholar] [CrossRef]
- Wu, W.; Wang, L.; Wang, S. Amorphous silibinin nanoparticles loaded into porous starch to enhance remarkably its solubility and bioavailability in vivo. Colloids Surf. B 2021, 198, 111474. [Google Scholar] [CrossRef]
- Guo, X.; Li, K.; Guo, A.; Li, E. Intestinal absorption and distribution of naringin, hesperidin, and their metabolites in mice. J. Funct. Foods 2020, 74, 104158. [Google Scholar] [CrossRef]
- Liu, J.; Liu, H.; Zeng, Q. The effect of naringenin on the pharmacokinetics of ibrutinib in rat: A drug–drug interaction study. Biomed. Chromatogr. 2019, 33, e4507. [Google Scholar] [CrossRef]
- Xiang, L.; Lu, S.; Quek, S.Y.; Liu, Z.; Wang, L.; Zheng, M.; Tang, W.; Yang, Y. Exploring the effect of OSA-esterified waxy corn starch on naringin solubility and the interactions in their self-assembled aggregates. Food Chem. 2021, 342, 128226. [Google Scholar] [CrossRef]
- Choi, J.-S.; Kang, K.W. Enhanced tamoxifen bioavailability after oral administration of tamoxifen in rats pretreated with naringin. Arch. Pharmacal Res. 2008, 31, 1631–1636. [Google Scholar] [CrossRef]
- Caglayan, C.; Temel, Y.; Kandemir, F.M.; Yildirim, S.; Kucukler, S. Naringin protects against cyclophosphamide-induced hepatotoxicity and nephrotoxicity through modulation of oxidative stress, inflammation, apoptosis, autophagy, and DNA damage. Environ. Sci. Pollut. Res. 2018, 25, 20968–20984. [Google Scholar] [CrossRef]
- Donmez, D.B.; Kacar, S.; Bagci, R.; Sahinturk, V. Protective effect of carnosic acid on acrylamide-induced liver toxicity in rats: Mechanistic approach over Nrf2-Keap1 pathway. J. Biochem. Mol. Toxicol. 2020, 34, e22524. [Google Scholar] [CrossRef]
- Chen, W.; Shen, Y.; Su, H.; Zheng, X. Hispidin derived from Phellinus linteus affords protection against acrylamide-induced oxidative stress in Caco-2 cells. Chem. Biol. Interact. 2014, 219, 83–89. [Google Scholar] [CrossRef]
- Yuan, J.; Wei, F.; Luo, X.; Zhang, M.; Yang, W. Multi-component comparative pharmacokinetics in rats after oral administration of fructus aurantii extract, naringin, neohesperidin, and naringin-neohesperidin. Front. Pharmacol. 2020, 11, 933. [Google Scholar] [CrossRef] [PubMed]









| Pharmacokinetic Parameters | NAR | PS-NAR Complex | OSAPS-NAR Complex |
|---|---|---|---|
| Cmax (μg/mL) | 0.67 ± 0.16 c | 3.20 ± 0.09 b | 5.30 ± 0.40 a |
| Tmax (h) | 0.50 | 1.00 | 2.00 |
| T1/2α (h) | 0.17 ± 0.11 c | 0.64 ± 0.02 b | 1.14 ± 0.02 a |
| T1/2β (h) | 32.18 ± 4.71 b | 65.93 ± 4.79 a | 69.32 ± 0.00 a |
| AUC0–t (mg/L·h) | 6.94 ± 1.23 c | 47.57 ± 5.30 b | 76.14 ± 7.66 a |
| AUC0–∞ (mg/L·h) | 12.86 ± 2.20 b | 189.37 ± 115.36 ab | 476.12 ± 196.59 a |
| MRT0-∞ (h) | 34.67 ± 2.05 c | 84.44 ± 47.77 b | 142.70 ± 49.91 a |
| Relative bioavailability (%) | — | 689.90 ± 46.09 b | 1105.30 ± 85.79 a |
Disclaimer/Publisher’s Note: The statements, opinions and data contained in all publications are solely those of the individual author(s) and contributor(s) and not of MDPI and/or the editor(s). MDPI and/or the editor(s) disclaim responsibility for any injury to people or property resulting from any ideas, methods, instructions or products referred to in the content. |
© 2026 by the authors. Licensee MDPI, Basel, Switzerland. This article is an open access article distributed under the terms and conditions of the Creative Commons Attribution (CC BY) license.
Share and Cite
Cao, F.; Liu, C.; Zheng, M.; Cao, Y.; Xia, Q.; Lu, S. An Efficient Starch-Based Delivery System Ameliorates Naringin’s Uptake to Mitigate Acrylamide-Induced Oxidative Stress in Mice. Antioxidants 2026, 15, 384. https://doi.org/10.3390/antiox15030384
Cao F, Liu C, Zheng M, Cao Y, Xia Q, Lu S. An Efficient Starch-Based Delivery System Ameliorates Naringin’s Uptake to Mitigate Acrylamide-Induced Oxidative Stress in Mice. Antioxidants. 2026; 15(3):384. https://doi.org/10.3390/antiox15030384
Chicago/Turabian StyleCao, Feng, Chenxing Liu, Meiyu Zheng, Yan Cao, Qile Xia, and Shengmin Lu. 2026. "An Efficient Starch-Based Delivery System Ameliorates Naringin’s Uptake to Mitigate Acrylamide-Induced Oxidative Stress in Mice" Antioxidants 15, no. 3: 384. https://doi.org/10.3390/antiox15030384
APA StyleCao, F., Liu, C., Zheng, M., Cao, Y., Xia, Q., & Lu, S. (2026). An Efficient Starch-Based Delivery System Ameliorates Naringin’s Uptake to Mitigate Acrylamide-Induced Oxidative Stress in Mice. Antioxidants, 15(3), 384. https://doi.org/10.3390/antiox15030384

