Abstract
This study aims to investigate two types of solvents, ethanol and natural deep eutectic solvent (NaDES), using the ultrasound-assisted extraction techniques, in order to analyze their efficiency and ability to extract polyphenolic compounds from red grape pomace. The optimization and validation of the most feasible extraction conditions leading to maximization of the dependent variables (total anthocyanins, polyphenols, flavonoids and antioxidant activity), were carried out using response surface methodology with a central composite design. For ethanol extraction, the validated optimal conditions were at 35 °C for 22.5 min and a concentration of 70% ethanol. The values obtained under these conditions were 105.32 mg cyanindin-3-glucoside (C3G)/g DW, 465.81 mg gallic acid equivalents (GAE)/100 g DW, 15.3 mg catechin equivalents (CE)/100 g DW and 1414.15 mMol Trolox/g DW, respectively. Concerning the extraction using NaDES, consisting of a 1:2:1 molar mixture of choline chloride, lactic acid and water, the optimal conditions that led to a profile consisting in 57.58 mg C3G/g DW, 414.04 mg GAE/100 g DW, 15.8 mg CE/100 g DW and 7.28 mMol Trolox/g DW, respectively, were at 60 °C for 60 min and a solvent volume of 10 mL. Two different chromatographic profiles were obtained, with 12 polyphenolic compounds identified in ethanolic extracts and only 5 in NaDES, respectively. The in vitro digestion study revealed the high bioaccessibility of polyphenols in the gastric environment, with a drastic decrease in simulated intestinal fluid. The results are valuable in terms of identifying the best extraction conditions for polyphenols using alternative, non-toxic, ecofriendly solvents.
1. Introduction
In general, the agricultural and industry produces increasing amount of waste and by-products, which can cause serious environmental contamination problems if not managed immediately, because they do not decompose quickly in the environment. It has been suggested that the global annual production of grape is about 75 million metric tons, accounting for 8–11 percent of total fruits produced in the world [1]. The industrial processing of grape in juice and wine lead to a high percentage of grape pomace, which accounts for between 10 and 30% of the total weight of the grapes and is composed of skins, seeds, pedicels and other organic solids resulting from the technological process [2]. FAO [3] suggested that the production of 6 L of wine generates one kg of grape pomace, which amounts to 10.5–13.1 million tons of grape pomace being produced in the world annually.
During winemaking, the low extraction process allows retaining the following in pomace: large amounts of condensed tannins, mainly proanthocyanidins composed of procyanidin and prodelphinidin units, anthocyanins, catechins, flavanols, alcohols and stilbenes, as well as benzoic and p-coumaric acids [1]. Llobera and Cañellas [4] suggested that red grape pomace (RGP) may reach a value of about 50 g/kg dry matter in condensed tannins and total polyphenols. However, grape pomace, in general, contains as main compounds polysaccharides (30%), and some other compounds such as acid pectic substances, lignin and proteins, in lesser percentages [5].
Polyphenol compounds are plant secondary metabolites chemically characterized by an aromatic ring containing one or more hydroxyl substituents. These compounds exert various effects that contribute to improving health and reducing the risks associated with certain diseases. They exhibit a wide range of biological properties, including antiallergenic, antimicrobial, anti-inflammatory, antiaging, antitumor, antioxidant, antilipotropic, antithrombotic, cardioprotective, insulinotropic and vasodilator effects [6]. The two main classes of polyphenolic compounds in grape pomace are flavonoids (anthocyanins, flavonols, flavan-3-ols) and non-flavonoids (phenolic acids and stilbenes). These compounds have attracted significant attention due to their numerous bioactive properties that are beneficial to human health, including the prevention of chronic diseases, cardiovascular diseases, cancer and diabetes. Additionally, their antimicrobial activity and antioxidant capacity make them valuable for potential biotechnological applications [7,8]. Additionally, through their pro-oxidative effect, polyphenols can induce apoptosis of cancer cells, while by inhibiting the angiogenesis process, these compounds contribute to reducing tumor growth. At the same time, polyphenols diminish the metastatic potential by decreasing the adhesiveness and invasiveness of malignant cells [9].
Current studies have demonstrated that supplementation with grape polyphenols can reduce plasma glucose concentration in both animals and human subjects. In addition, prolonged supplementation with these compounds has been associated with an improvement in glucose metabolism in people diagnosed with metabolic syndrome and type 2 diabetes [10].
Grape pomace extractable components may be used in different applications, such as food, feed, ingredients of functional foods, cosmetics and nutraceuticals; and to replace the synthetic dyes and preservatives in foods [11]. However, when considering the use of polyphenolic compounds in different applications, several critical issues should be considered, namely the extraction method and parameters, the bioactive low bioaccesibility and bioavailability and their low stability during storage. The identification of efficient extraction methods aiming to increase the yield of phenolic compounds while maintaining their stability in the extract, in a sustainable and environmentally friendly manner, is a current trend in scientific research [12,13,14].
One of the most commonly used green techniques for recovering phenolic compounds from by-products which is widely addressed in research studies is ultrasound-assisted extraction (UAE). A study conducted by Drosou et al. [15] suggested that UAE, using a 1:1 water–ethanol ratio as a solvent, resulted in the highest phenolic compound yield from both untreated and dried grape pomace, compared to microwave-assisted extraction and Soxhlet extraction. Liu et al. [16] highlighted that UAE, compared to traditional methods, improves the extraction efficiency of flavonoids, anthocyanins and the antioxidant activity of grape pomace extract. Additionally, UAE offers advantages such as simplicity, reduced extraction time, lower environmental impact due to reduced energy consumption and the possibility of solvent recycling. However, new approaches for efficient extraction of polyphenols from different matrices are studied, using eco-friendly solvents, such as natural deep eutectic solvents (NaDES). NaDESs are promising alternative to conventional extraction solvents, offering important advantages such as biodegradability, low toxicity and the ability to extract a wide range of compounds from different matrices. In principle, NaDESs are mixtures of two or more compounds in a certain molar ratio, a hydrogen donor and a hydrogen acceptor, respectively, which through molecular interactions undergo a decrease in melting point, becoming liquid at room temperature [17].
Hence, the main objective of this study was to use optimize and validate the ultrasound-assisted extraction of polyphenols from RGP using two types of solvents. In this purpose, the response surface methodology (RSM) through central composite design (CCD) was used for the optimization and validation of extraction parameters. The two solvents were a hydroalcoholic solution and choline chloride–lactic acid–water solution, with a molar ratio 1:2:1. The validated extracts were further tested for in vitro digestibility in order to evidence the stability of extracted polyphenols in the gastrointestinal environment.
2. Materials and Methods
2.1. Chemical and Reagents
Potassium chloride, sodium acetate, aluminum chloride, Folin–Ciocalteu reagent, 2,2-diphenyl-1-picrylhydrazyl (DPPH), formic acid ≥ 98%, choline chloride ≥ 98% ((2-hydroxyethyl)trimethylammonium chloride), lactic acid 90% and Trizma were purchased from Sigma-Aldrich (Millipore Sigma, Steinheim, Germany). Ethanol > 96% was purchased from S.C. Maraton ·92 Impex S.R.L. (Bucharest, Romania), and methanol for HPLC, ≥99.9%, was purchased from Honeywell (Seelze, Germany). Monosodic and dibasic sodium were purchased from Chimreactiv S.R.L. (Bucharest, Romania), and sodium carbonate was purchased from SC. Chemical Company SA (Iasi, Romania). Pepsin from porcine gastric mucosa and pancreatin from porcine pancreas were purchased from Sigma-Aldrich (St. Louis, MI, USA). The standard compounds used for chromatographic analysis were purchased from Sigma-Aldrich (Millipore Sigma, Steinheim, Germany). All the other reagents were of analytical grade.
2.2. Plant Material
The unfermented red grape pomace (RGP) (Vitis vinifera L.) from the Fetească Neagră and Merlot varieties was sourced from the Bratu winery, located in Odaia Manolache village, Vânători commune, Galați County (45°33′27.5182″ N, 28°0′21.7552″ E, Romania). RGP was stored at −20 °C in refrigerated containers until use. RGP drying was performed by hot air convection (Stericell 111 ECO Hot AIR Sterilizer; MMM Medcenter Einrichitungen GmbH, München, Germany) at 35 °C until a moisture content of 8% was reached. Subsequently, the dried material was grounded using an electric grinder (Coffee grinder Heinner HCG-150SS; Heinner, Network One Distribution, Bucharest, Romania) and stored in vacuum-sealed bags under refrigeration conditions (4 °C).
2.3. Ultrasound-Assisted Extraction (UAE)
2.3.1. Hydroalcoholic Solutions
Extraction of polyphenolic compounds from dried RGP was performed using an ultrasonic bath (Digital Ultrasonic Bath Mod. DU-32; 131 ARGOLAB; Capri, Italy). Over the weighed samples (1 g) in vials, 9 mL of the solvent with different ethanol/water ratios (v/v, 50–90%) was added and subjected to ultrasound at different temperatures (25–45 °C) and times (15–30 min). The ultrasound parameters were kept constant at a frequency of 40 kHz and power of 100 W. For maintaining the temperature constant, cold water was added in the ultrasonic bath. Further, the hydroalcoholic extract was centrifuged at 6000× g for 10 min and at temperature of 4 °C. The supernatant was collected in another vial and stored in the dark at 4 °C until future analyses.
2.3.2. Natural Deep Eutectic Solvents (NaDES)
The NaDES used for the extraction of polyphenolic compounds from unfermented RGP is choline chloride, lactic acid and water in a molar ratio of 1:2:1. According to Osamede Airouyuwa et al. [12], this molar ratio significantly enhances the extraction of anthocyanins from plant material compared to other NaDES, due to the polar–polar interaction created and the monoprotic nature of lactic acid. The addition of water reduces the viscosity of the solution, thereby improving mass transfer from the plant material, respectively, increasing the extraction yield of anthocyanins [18].
The independent variables applied in the NaDES-based extraction process include solid–liquid ratio, extraction time and temperature, following the same procedural steps for obtaining the supernatant: ultrasonication, centrifugation, collection and storage until future analyses, as described above.
2.4. Experimental Design
For the optimization and validation of extraction using ethanol and NaDES, the response surface method (RSM) was used to analyze the effects of independent variables on the responses: total anthocyanin content (TAC), total polyphenol content (TPC), total flavonoid content (TFC) and antioxidant activity (DPPH) of the obtained extracts. Additionally, RSM was used to identify the optimal parameters for maximizing the extraction yield of polyphenolic compounds from RGP.
The three independent variables used in the RSM for optimizing and validating the extraction were as follows: extraction temperature (A), which ranged from 25 to 45 °C; extraction time (B) in the ultrasonic bath, which ranged from 15 to 30 min; and ethanol concentration (C), which varied between 50 and 90%, v/v. These factor ranges were established according on the scientific literature to enhance the extraction of polyphenolic compounds while protecting them from degradation [19,20].
The independent variables introduced in the CCD were temperature (A), ranging from 40 to 60 °C; extraction time (B), varying between 30 and 60 min; and the solid–liquid (S/L) ratio of NaDES (C) used, which varied from 1:10 to 1:20 mL. The temperature and extraction time of the compounds were adapted according to the study carried out by Li et al. [21], which focused on the identification of the best NaDES that would lead to obtaining a stable extract with an increased yield of anthocyanins from grape pomace.
2.5. Total Anthocyanin Content (TAC)
The total anthocyanin content of RGP samples was determined by the pH differential method, as described by Liu et al. [16], with some methodological adjustments. Thus, 200 µL of the samples to be analyzed were added to cuvettes, to which 800 µL of buffer solution with pH = 1.0 (KCl) was added. Similarly, 800 µL of buffer solution with pH = 4.5 was added to other cuvettes. The absorbance value was measured, in triplicate, independently, at wavelengths of 510 nm and 700 nm, using a spectrophotometer (Biochrom; Libra 22 UV/Visible Spectrophotometer; 177 Holliston, MA, USA), after the samples had been kept in the dark for 15 min at room temperature. The absorbance calculation was performed according to Equation (1), whereas the TAC was calculated based on Equation (2) and expressed in mg cyanidin-3-O-glucoside equivalents/grams dry weight (mg C3G/g DW):
where Abs—absorbance calculated based on Equation (1), e—molar absorbance of cyanidin-3-O-glucoside (26,900), L—length of the cuvette (1 cm); MW—molecular weight of cyanidin-3-O-glucoside (449.2 g/Mol); D—dilution factor; V—final volume (mL); G—weight of dry pomace (g).
2.6. Total Polyphenol Content (TPC)
The Folin–Ciocalteu colorimetric technique, as described by Gutfinger [22], with subsequent modifications introduced by Serea et al. [23], was applied to determine the total phenolic content in RGP extracts. The absorbance at a wavelength of 765 nm was measured using a spectrophotometer (Biochrom; Libra 22 UV/Visible Spectrophotometer; 177 Holliston, MA, USA). Readings were made in triplicate for each sample, and the results obtained were expressed in milligrams of gallic acid equivalents per 100 g of DW (mg GAE/100 g DW).
2.7. Total Flavonoid Content (TFC)
The total flavonoid content of RGP extracts was determined using an AlCl3-based colorimetric assay adapted from the procedures described by Yang et al. [24] and Shi et al. [25]. A total of 250 µL of the sample was added to the cuvettes, followed by 250 µL of 2% AlCl3 solution and 1500 µL HPLC-purified methanol. The samples were incubated in the dark for 15 min at room temperature. The absorbance at 440 nm was measured using a spectrophotometer (Biochrom; Libra 22 UV/Visible Spectrophotometer; 177 Holliston, MA, USA), in triplicate. The results were expressed in milligrams of catechin equivalents per gram DW (mg CE/100 g DW).
2.8. Antioxidant Activity
According to the studies conducted by Serea et al. [23], the 2,2-diphenyl-1-picrylhydrazyl (DPPH) method was applied to evaluate the antiradical activity of the extracts. The optical absorption of the samples was measured with (Biochrom; Libra 22 UV/Visible Spectrophotometer; 177 Holliston, MA, USA), at a wavelength of 515 nm. To establish a baseline, a control sample was prepared by adding methanol and was analyzed simultaneously with the test samples, and all results were obtained in triplicate. The results obtained were expressed in mMol Trolox equivalents/g DW.
2.9. High-Performance Liquid Chromatography
The identification of polyphenolic compounds was performed at a wavelengths of 280 nm, 320 nm and 520 nm according to the method described by (Mërtiri et al. [26] using an Agilent 1200 HPLC equipment (Agilent Technologies, Santa Clara, CA, USA), which is equipped with a degasser, quaternary pumping system, column and auto-wave detector. The obtained data were automatically processed by the Agilent ChemStation software, version Rev. B.04.03, based on existing calibration curves with standards compounds. The results were obtained in triplicate. The separation of the compounds was performed using the BDS Hypersil C18 column (150 × 4.6 mm, 5 μ), the column temperature was set at 30 °C, the injection volume was 10 μL and the flow rate was 1 mL/min. The 100% methanol (solvent A) and 10% formic acid (solvent B) represented the mobile phase, and the gradient progression was as follows: 0–20 min. 9% A, 91% B, 20–30 min. 35% A, 65% B, 30–40 min. 50% A, 50% B, 40–45 min. 9% A, 91% B. The results were expressed in mg/mL.
2.10. In Vitro Digestibility of Grape Pomace Extracts
The digestibility of the two extracts obtained was performed according to the method described by Stoica et al. [27]. The protocol is based on the use of a statistic model simulating the gastric and intestinal human digestion of the extracts obtained. The extracts used in digestion were obtained under optimal extraction conditions, by repeating the experiments three times, in order to exhaust the pomace in the bioactive. In a ratio of 1:1, optimized extract (ethanolic, respectively, NaDES) was mixed with a Tris-HCl buffer solution (10 mM, pH = 7.7). Simulated gastric digestion was performed by mixing 5 mL of the initial mixture and 10 mL simulated gastric fluid (SGF) containing porcine pepsin (40 mg/mL in 0.1 M HCI, pH = 3.0). After two hours of digestion, 5 mL of the digestate was mixed with simulated intestinal fluid (SIF) containing pancreatin from porcine pancreas (2 mg/mL in 0.9 M sodium bicarbonate, pH = 7.0). The samples were maintained in a shaker (Medline Scientific, Chalgrove, Oxon, UK) at 150 rpm and 37 °C for 4 h. Before analysis, the samples were centrifuged at 14,000 rpm for 10 min at 4 °C. The analyses were performed by sampling every 30 min of one milliliter of the digestate, and TAC, TPC, TFC and DPPH were determined.
The results are discussed in terms of bioaccessibility, calculated on the basis of Equations (3) and (4) [28]:
Gastric bioaccessibility (%) = (gastric fraction/bioactive content) × 100
Intestinal bioaccessibility (%) = (gastric fraction/total phenolic content) × 100
2.11. Statistical Analysis
Experimental design, analysis, optimization and validation of the results were performed using Design-Expert software version 13.0 (Stat-Ease, Minneapolis, MN, USA) and Microsoft® Excel® for Microsoft 365 MSO version 2412 build 16.0.18324.20240 (Microsoft, Redmond, WA, USA) for the calculation of dependent variables. The ANOVA for quadratic model was applied to determine the significance of the model, and the independent variables in the second-order polynomial equation generated by the software, with a significance level (α) of 0.05. By evaluating the multiple coefficient of determination (R2), the adjusted correlation coefficient (Adj-R2) and the predicted correlation coefficient (Pred-R2), respectively, the significance of lack of fit and the quality of the model can be evaluated.
3. Results and Discussion
3.1. Optimization of UAE Process Parameters
The first part of this study aimed to identify the optimal conditions for the extraction of polyphenolic compounds from RGP using CCD, independent variables (temperature, extraction time, ethanol concentration, %) for the solid–liquid conventional extractions (ethanol/water, v/v) and independent variables (temperature, extraction time and solid–liquid ratio) for the NaDES. The responses measured generated by the RSM were the following: TAC, TFC, TPC and antioxidant activity.
Table 1.
Experimental design generated using CCD with dependent and independent variables studied for optimizing conventional extractions (ethanol/water, v/v).
Table 2.
Experimental design generated using CCD with dependent and independent variables studied for optimizing green extractions (choline chloride–lactic acid–water 1:2:1.).
Table 3 shows the statistical parameters calculated using ANOVA for the two experimental designs generated by CCD.
Table 3.
Statistical parameter results calculated by ANOVA for the reduced quadratic model for the dependent variables of the two extracts.
Thus, the experimental results obtained were fitted on a quadratic polynomial model, in which the coefficient values of R2 > 0.99, the significance of p-value for lack of fit is >0.05, these indicating the quality and the adequacy of the two experimental designs.
3.2. Influence of Independent Variables on TAC
As can be seen in Table 1, for ethanol that was used as solvent, the TAC ranged from 45.77 ± 1.09 to 106.21 ± 2.50 mg C3G/g DW depending on the variation in extraction time, temperature and ethanol content in the solvent for each run. According to the ANOVA findings, the quadratic model for TAC, the terms having significance due to p-value less than 0.05 are as follows: A (<0.0001), B (<0.0001), C (<0.0001), AC (<0.0001), BC (0.0003), A2 (0.0002), B2 (<0.0001) and C2 (<0.0001), while AB (0.1430) has no significance.
TAC = 105.91 − 2.05A − 2.98B + 4.33C + 0.3162AB − 1.19AC + 3.22BC − 15.63A2 − 14.67B2 − 18.57C2
According to the coefficients in the regression (Equation (5)), the ethanol concentration (B) has a positive impact on anthocyanin extraction and its interaction with extraction time (C). In contrast, the interaction between temperature and solvent showed negative influences of TAC extraction from RGP. Similar results were presented in the study carried out on the grapes skin of the Băbească Neagră variety by Serea et al. [23]. They showed that the solvent significantly influences the extraction of TAC and emphasized the negative impact of the interaction between temperature and extraction time, quadratic time and temperature, following the optimization of the extraction using CCD.
In Figure 1(A2) it can be observed that at low temperature (18.18 °C) and low ethanol concentration (36.36%), the extraction of TAC is not facilitated. Thus, ethanol plays an important role together with ultrasound treatment in the extraction of anthocyanins from the red grape skin cell wall, while applying a higher temperature (51.82 °C) and a solvent with a higher ethanol concentration (70%), negatively influencing the extracted amount of these compounds due to the reduced stability at higher thermal treatments [19,29].
Figure 1.
Three-dimensional response surface and two-dimensional contour plots for the ethanol extract, analyzing the interaction effect between independent variables on the TAC ((A)—(1): temperature–time; (2): temperature–solvent; (3): solvent–time), TPC ((B)—(1): temperature–time; (2): temperature–solvent; (3): solvent–time), TFC (C)—(1): temperature–time; (2): temperature–solvent; (3): solvent–time), DPPH ((D)—(1): temperature–time; (2): temperature–solvent; (3): solvent–time). Green indicates the lowest response values, and as the values increase, the color changes, with deep red representing the highest response values obtained.
Analyzing Figure 1(A1–A3), the interaction effects of independent variables, temperature–time, temperature–ethanol concentration and time–ethanol concentration, on TAC extraction were revealed. Figure 1(A3) shows that the interaction between extraction time and ethanol concentration has the highest impact on TAC extraction, the maximum values being obtained at 70% ethanol and 22.5 min (106.21 ± 2.50 mg C3G/g DW). Zhou and Yang. [30] obtained a significantly lower anthocyanins content in relative similar extraction conditions, 78.9% ethanol with pH 7.0, temperature of 63.8 °C for 48 min, by using a S/L ratio of 1:15 ratio (w/v), resulting in a yield of 193.547 mg/100 g anthocyanins from GP.
The significant terms in the model in the case of TAC extraction from RGP with NaDES are A (<0.0001), B (<0.0001), C (<0.0001), AB (<0.0001), BC (<0.0001), A2 (0.0003), B2 (0.0002) and C2 (<0.0001), while AC has no significance due to its p-value (0.4125), which is higher than the confidence interval (95%). Table 2 shows the values obtained for TAC for the generated experiments; thus, the anthocyanin content ranged from 22.07 ± 0.89 to 56.84 ± 1.52 mg C3G/g DW.
TAC = 28.58 + 2.47A + 4.49B − 8.99C + 3.00AB − 0.21AC − 1.34BC + 1.05A2 + 3.75B2 +3.26C2
The coefficients in the generated second order polynomial Equation (6) for TAC indicated a high positive effect for factors B, B2, C2, AB and A on the yield of anthocyanin extraction from RGP, while factors C, BC and AC influenced the TAC in the extract in a negative manner.
By analyzing Figure 2(A1), it was established that there is a directly proportional correlation between the interaction of the factors temperature–extraction time (AB) and the response variable TAC in the case of NaDES extraction. Thus, at a temperature of 60 °C and an extraction time of 60 min, the highest amount of TAC was obtained from the extract. The optimal conditions for the extraction with the NaDES solvent applied in this study were Li et al. [21] in terms of temperature and extraction time of anthocyanins from grape pomace, where they obtained an extraction rate of 5.73 mg C3G/g DW. By analyzing Figure 2(A2,A3), the TAC extraction is directly influenced proportionally with increasing temperature and time, respectively, while the S/L ratio inversely influences the anthocyanin extraction from RGP.
Figure 2.
Three-dimensional response surface and two-dimensional contour plots for the NaDES extract, analyzing the interaction effect between independent variables on the TAC ((A)—(1) temperature–time; (2) temperature–solvent; (3) solvent–time), TPC ((B)—(1) temperature–time; (2) temperature-–solvent; (3) solvent–time), TFC (C)—(1) temperature–time; (2) temperature–solvent; (3) solvent–time), DPPH ((D)—(1) temperature–time; (2) temperature–solvent; (3) solvent–time). Deep blue indicates the lowest response value, and as the values increase, the color changes, with red representing the highest response value obtained.
3.3. Influence of Independent Variables on TPC
The TPC ranged from 209.48 ± 0.09 to 467.87 ± 1.41 mg GAE/100 g DW according to the experimental design for ethanol extraction, as shown in Table 1. Thus, in the case of the response variable TPC, B (0.0095), AB (0.0002), AC (<0.0001), BC (<0.0001), A2 (<0.0001), B2 (<0.0001), C2 (<0.0001) were those that showed model significance.
TPC = 461.88 + 1.15A + 4.49B − 0.51C + 10.56AB − 13.18AC + 31.20BC − 59.51A2 − 58.26B2 − 70.89C2
According to the regression Equation (7), the extraction time and temperature have a significant impact on the extraction of polyphenols. The interaction between extraction time (B) and ethanol concentration (C) showed the highest positive effect on the extraction yield of TPC, followed by the interaction between temperature and time, while the interaction between temperature (A) and solvent (C) negatively influences the extraction of polyphenols. The negative impact caused by the interaction between solvent (C) and temperature (A) can be explained by the fact that under either high or low thermal treatment and in the presence of high ethanol concentration, these compounds either undergo oxidation and thermal degradation processes or the conditions for efficient extraction are not met. As can be seen in Table 1, different values TPC were determined. Therefore, at a temperature of 18.18 °C and an ethanol concentration of 70%, an amount of 287.02 ± 0.97 mg GAE/100 g DW was obtained, whereas significantly lower values were found at temperature of 45 °C and 90% ethanol (209.48 ± 0.09 mg GAE/100 g DW). The three-dimensional surface and 3D graphical representations of the interaction of independent variables, temperature–time, solvent–temperature and solvent–time, are shown in Figure 1(B1–B3), which highlights their strong effects on the TPC extraction yield. Increasing ethanol concentration up to 70% concomitantly with increasing temperature up to 35 °C and time up to 22.5 min, respectively, leads to maximization of TPC following extraction with UAE.
The TPC values obtained by Abouelenein et al. [31] for the hydroalcoholic extracts obtained from three samples of pomace which originated from the red grape variety Lacrima di Morro d’Alba ranged from 41.23 to 48.30 mg GAE/g DW. The extracts were obtained with 70% ethanol acidified with HCl (0.01%) at a temperature of 25 °C, a frequency of 40 KHz and an ultrasound-assisted extraction duration of 60 min, followed by degreasing the supernatant with hexane.
Similar results being recorded by Muñoz et al. [32], who reported a TPC of 469 mg GAE/100 g DW for ethanol extraction from grape marc of the Carménère variety with the following optimal conditions: temperature 22 °C, amplitude 20%, extraction time 15 min and S/L ratio 1:3.2 (w/w). Nayak et al. [33] reported similar values for the extracts obtained from Cabernet Sauvignon pomace of 427.9 mg GAE/100 g for water extraction (solid–liquid ratio of 1:20 w/v) and 801.6 mg GAE/100 g for a hydroalcoholic extraction with 1:1 water–ethanol ratio for solvent (solid–liquid ratio of 1:20 w/v). Craciunescu et al. [34] recorded a TPC of 247.29 mg GAE/g DW in the Mamaia genotype; this genotype represents the hybrid resulting from the cross between Merlot, Babească Neagră and Muscat Ottonel. Arboleda Mejia et al. [35] obtained 260 mg GAE/100 g DW for the red grape marc mix (60% Cabernet Sauvignon, 30% Sangiovese and 10% Syrah), with an S/L ratio of 1:80 (w/v).
In the case of TPC, for all the independent variables, their interaction had a positive effect on this dependent variable (p < 0.0001). Similarly to the case of TAC, the S/L ratio, followed by the interaction of solvent volume and time, respectively, of the interaction of temperature had a negative effect on the extraction of polyphenolic compounds from the plant material (Equation (8)).
TPC = 196.73 + 19.48A + 37.28B − 51.57C + 6.95AB − 10.31AC − 40.36BC +12.79A2 + 17.63B2 + 21.89C2
The TPC in the case of NaDES solvent extraction ranged from 172.48 ± 3.55 to 414.70 ± 1.40 GAE/100 g DW. Similar results regarding the interaction between extraction time and temperature were reported by Gerçek et al. [36]. Following the application of the RSM using a Box–Behnken design with three levels and three factors, they observed that the maximum yield of TPC in chokeberry fruit was achieved at the highest temperature (50 °C) and extraction time (60 min), using a mixture of choline chloride and lactic acid at a molar ratio 1:2. These authors reported data in contrast with our study, evidencing a negative impact of temperature and extraction time on TPC, compared with the data presented in Equation (8), where temperature, time and their quadratics had a positive impact on the extraction of TPC. The positive effects of the independent variables temperature (A) and extraction time (B), their interaction (AB) and their quadratics (A2, B2) in the NaDES extraction of polyphenols were discussed previously in the literature [20], where the reduced solvent viscosity and surface tension improved the migration of the compounds from the plant material under the action of sonication. In combination with a prolonged extraction time, this phenomenon significantly improves the extraction yield.
The interaction between solvent volume and extraction time exhibited the greatest impact on TPC extraction from RGP in the case of extraction with NaDES, as can be seen in Figure 2(B3). As can be seen in the 2D contour plots, the TPC yield is influenced more by the S/L ratio used than by time and temperature, respectively, in the case of the interaction between these dependent variables.
Nguyen et al. [37] used the RSM with a CCD in order to optimize the extraction of TPC from grape pomace from the Red Cardinal variety using a DES composed of choline chloride and lactic acid for extraction. The highest TPC obtained in the study was 81.90 ± 1.06 mg GAE/g DW, a value obtained under the following experimental conditions: S/L ratio of 1:25, at a temperature of 70 °C for 118 min. In another study, Nguyen et al. [37] studied the impact of three different NaDES solvents in different molar ratios on the extraction of phenolic compounds, proanthocyanins and saponins from the grape pomace of Red Cardinal variety. They revealed that the solvent based on the molar ratio of 1:2 choline chloride and lactic acid, with an addition of 20% water at a temperature of 30 °C extraction time under shaking of 2 h and in a S/L ratio of 1/25 (w/w), resulted in the highest TPC yield value, of 42.53 ± 0.52 mg GAE/g DW.
Frontini et al. [38] reported lower values for the extraction of bioactive compounds from Negroamaro red grape pomace when using choline chloride in a 1:1 ratio, with tartaric acid, glycerol and lactic acid and water, reporting the lowest value for the extraction yield when mixing choline chloride and glycerol. Huamán-Castilla et al. [39] obtained higher values for TPC, varying from 33.39 to 49.22 mg GAE/g dried pomace (DP) when using DES at atmospheric extraction, and of 51.62 to 62.44 mg GAE/g DP when using hot pressurized liquid extraction.
The significant variations in bioactive compounds are given by the nature and composition of the solvent, but especially by its polarity, with polyphenols being generally polar compounds. The presence of water in the solvent composition increases the extraction yield and solubilization of polyphenols due to the weakening of hydrogen bonds established with proteins [40].
3.4. Influence of Independent Variables on TFC
The p-value indicates that all the terms A (0.0432), B (<0.0001), C (0.0076), AB (<0.0001), AC (<0.0001), BC (<0.0001), A2 (<0.0001), B2 (<0.0001) and C2 (<0.0001) have significance on the TFC in the obtained extract. Temperature and ethanol concentration, according to the regression Equation (9), show a negative influence on the ethanol extraction of flavonoids, while the extraction time has a positive influence. The interaction of extraction time–solvent and time–temperature, respectively, positively influences the extraction of these compounds from plant material, but the interaction of temperature–solvent shows a negative effect on TFC, according to Equation (9).
TFC = 15.00 − 0.1712A + 1.31B − 0.2468C + 0.6952AB − 1.10AC + 1.31BC − 1.24A2 − 1.40B2 − 0.5759C2
As can be seen in Figure 1(C1–C3), the interaction between solvent (C) and extraction time (B) exhibited the greatest positive impact, while the interaction between temperature (A) and solvent (C) showed the greatest negative influence on TFC extraction from RGP in the case of conventional extraction. Similarly, the negative impact of the interaction between temperature and solvent on flavonoid extraction from grape pomace was highlighted by Moutinho et al. [19]. However, in their study, the regression equation showed that temperature, solvent and their quadratic terms had a positive effect on TFC, in contrast with our study, where, according to Equation (9) these parameters had a negative impact on TFC extraction from PGR. This negative effect may be explained by a higher concentration of ethanol or temperature, leading to the degradation of flavonoids.
The results obtained for TFC suggest that ethanol has a similar potential in solubilizing flavonoids, but may present a slight difference in efficiency compared to NaDES depending on the extraction parameters. Craciunescu et al. [34] reported a total flavonoid content of 17.16 mg CE/g DW for grape pomace. An equal TFC was reported by Serea et al. [41] in the case of extractions of Băbească Neagră grape skins with 96% and 70% ethanol, acidified with citric acid, 11.34 mg CE/g DW. This variation was strongly influenced by the interaction between extraction time and the type of solvent used. A longer extraction time may allow for a more complete extraction of flavonoids, but the maximum efficiency also depends on the characteristics of the solvent, such as its polarity and its ability to interact with the plant matrix [39].
In the case of the response variable, TFC, for the NaDES extract, all model parameters show significance on this variable, due to its p-value less than 0.05. According to the regression equation generated for TFC, the extraction time (B) showed the highest positive influence on the flavonoid extraction from PGR, followed by the quadratic solvent volume, the interaction between temperature and extraction time (AB) and temperature (A). Solvent volume (C) showed the highest negative influence on the response variable, followed by the interaction of extraction time and solvent volume (BC), quadratic of extraction time (B2) and quadratic of temperature (A2).
TFC = 8.95 + 0.6980A + 1.07B − 3.20C + 0.7775AB − 0.3250AC − 1.27BC − 0.3680A2 − 0.4228B2 + 0.8942C2
Analyzing the interactions of the studied independent variables on TFC in Figure 2(C1–C3) by means of 3D response surface and 2D contour plots generated based on the results obtained from the polynomial regression Equation (10), it was observed that the interaction of solvent volume and extraction time most significantly influences the extraction of flavonoids from RGP compared to the S/L–temperature and temperature–extraction time interaction, respectively.
The flavonoid content showed a significant variation depending on the solvent used and the extraction time. Dabetic et al. [42] optimized the extraction of phenolic compounds from red grape seeds using an acidified hydroalcoholic solvent (ethanol–water–acetic acid in a ratio of 70:29.8:0.2 v/v/v/v) and a NaDES solvent obtained from choline chloride and citric acid in a 2:1 molar ratio with the addition of 30% water (v/v) in ultrasound-assisted extraction. The authors reported a higher values for TFC, ranging from 44.1 to 102.6 mg CE/g DW. These differences in results may be attributed to the different raw material used for the extraction, which depend on geographical origin, variety, etc.
3.5. Influence of Independent Variables on DPPH
Extracts obtained with ethanol were studied in vitro for antioxidant activity using the method presented by Serea et al. [23], and the value of this dependent variable ranged from 5.66 ± 0.007 to 14.25 ± 0.012 mMol Trolox/g DW. ANOVA was utilized in establishing the statistical parameters for the quadratic model; thus, with a confidence interval, the terms within the experimental model that showed significance on the outcome variable (DPPH) were B (<0.0001), AB (<0.0001), AC (0.0002), BC (0.0005), A2 (<0.0001), B2 (<0.0001) and C2 (<0.0001), while C (0.5344) has no significance.
DPPH = 14.22 − 0.0167A − 0.0811B − 0.0079C − 0.1425AB + 0.09AC − 0.08BC − 2.91A2 − 2.94B2 − 2.49C2
The individual independent variables showed a negative influence on DPPH as a result of the value of the coefficients within the generated second order polynomial Equation (11). The interaction between temperature and solvent showed a positive effect. Anghel et al. [43] claimed that in the case of ethanol extraction, antioxidant activity is influenced by the interaction between temperature and extraction time; thus, for the extraction of grape pomace purees with 4.5 mL 70% ethanol and 0.5 mL acetic acid, they obtained values between 17.09 and 20.07 mMol Trolox/g DW. Serea et al. [41] obtained different values for antioxidant activity, ranging from 3.70 mMol Trolox/g DW, for the 70% ethanol, which was 99.5% citric acid extraction, and 18.76 mMol Trolox/g DW in the case of extraction with 96% ethanol–glacial acetic acid.
An evaluation of the antioxidant activity for extracts obtained from the skins of Băbească Neagră and Fetească Neagră of 3.06 and 4.89 μg Trolox/g DW, respectively, was presented by [44].
The antioxidant activity of extract obtained with NaDES ranged from 5.38 ± 0.26 to 7.24 ± 0.01 mMol Trolox/g DW. The model terms that showed a p-value less than 0.05 in the case of antioxidant activity of the extract obtained with NaDES solvent were A (<0.0001), B (<0.0001), C (<0.0001), AB (0.0185), AC (<0.0001), A2 (<0.0001) and B2 (<0.0001). According to the coefficients in the regression equation (Equation (10)), temperature and extraction time, respectively, positively influenced the antioxidant activity, while the amount of solvent showed the opposite. In the case of temperature–solvent volume (AC), extraction time–solvent volume (BC) factors interaction positively influenced the antioxidant activity, respectively, while temperature–time (AB) interaction negatively influenced it.
DPPH = 6.28 + 0.2170A + 0.1952B − 0.4925C − 0.0263AB + 0.1537AC + 0.0112BC + 0.1314A2 + 0.0766B2 + 0.0145C2
According to Figure 2(D3) the interaction between temperature and S/L ratio most positively influenced the antioxidant activity of the NaDES extract. Therefore, the antioxidant activity increased directly proportionally with increasing temperature and extraction time. The highest antioxidant activity exhibited a value of 7.24 ± 0.01 mMol Trolox/g DW obtained at a temperature of 60 °C at an extraction time of 60 min.
Both temperature and S/L ratio exerts a significant influence on the antioxidant activity. Values ranging from 18.32 to 57.48 µM TE/g DP and 93.17–140.39 µM TE/g DP were reported by Huamán-Castilla et al. [40]. Sik et al. [45] reported a value for antioxidant activity 30.3 ± 0.18 mg AAE/g when using a glucose–glycerin ratio of 1:1 based on NaDES containing 50% (v/v) when extracting at a temperature of 25 °C for 120 min.
3.6. Optimization and Validation of Extraction Parameters
The desirability value is important for model optimization in the response surface method, as it indicates the best combination of independent variable levels to maximize the desired response (Table 4 and Table 5).
Table 4.
Validation of the solution suggested by the mathematical model for conventional extractions (ethanol/water, v/v).
Table 5.
Validation of the solution suggested by the mathematical model for green extractions (choline chloride–lactic acid–water 1:2:1).
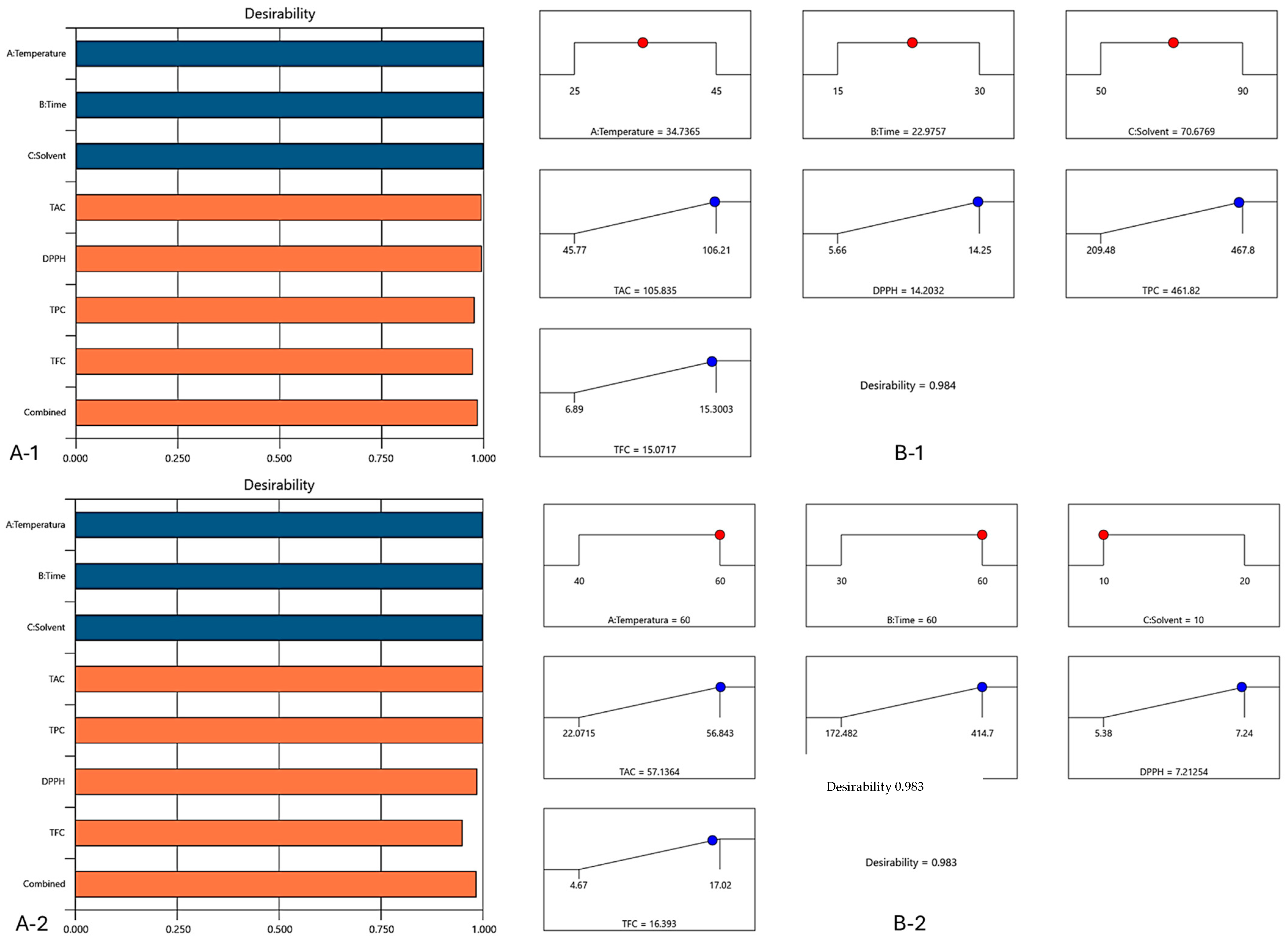
Figure 3 shows the bar graphs and ramps for the two solutions suggested by the program. The bar graphs show the values of the factors’ desirability, describing their individual and combined effects on the responses, respectively, with the main purpose being to obtain desirability values as close as possible to 1. By means of ramp graphs, the main goal is to maximize the desirability, by reaching the steepest possible slope for each dependent variable [23]. The steepest slope obtained for each response highlights the values of the independent variables that lead to the maximization of the dependent variables studied.
Figure 3.
Bar (A) and ramp (B) plot views of the optimal solutions for the ethanol extract (1) and NaDES (2) extract. In blue are represented the independent variables, whereas the responses are given in red.
Analyzing Figure 3, it can be observed that the values of desirability function for the combination of all variables were 0.984 for ethanol extraction and 0.983 for NaDES extraction; thus, the selected conditions were true. For maximizing the dependent variables (TAC, TPC, TFC and DPPH), the factor parameter values for conventional extraction were 70% ethanol at 35 °C and for 22.5 min extraction duration, while for NaDES extraction were 60 °C for 60 min of extraction and 1:10 mL of S/L ratio.
In Table 4 and Table 5 are presented the predicted values of the limits of variation for the suggested optimal solution in order to maximize the dependent variables of the ethanol and NaDES extracts, respectively. Following the application of the experimental conditions given by the model, for ethanol extraction, the experimental values obtained for the four responses were the following: 105.32 mg C3G/g DW for TAC, 465.81 mg GAE/100 g DW for TPC, 14.15 mMol Trolox/g DW for DPPH, respectively, and 15.3 mg CE/100 g DW for TFC.
Moutinho et al. [19] used a Box–Behnken design by RSM and optimized the extraction parameters (ethanol concentration varying between 55.1% and 72.1%, pH adjusted with 3.5% HCl at 60 °C for 30 min) of grape pomace to obtain the highest yields of the TPC (44.93 mg GAE/g DW), TFC (22.95 mg CE/g DW) and DPPH (0.43 mMol TEAC/g DW).
For NaDES extraction, the experimental values obtained for TAC, TPC, DPPH and TFC following the suggested conditions were 57.58 mg C3G/g DW, 414.04 mg GAE/100 g DW, 7.28 mMol Trolox/g DW and 15.8 mg CE/100 g DW, respectively. The experimental values obtained after applying the predicted independent variables and inputting them into the software were within the given limits of variation, thus demonstrating the validation of the model for the two extracts.
Li et al. [21] optimized ultrasound-assisted NaDES extraction by applying an orthogonal (L9 (33)) experiment based on maximizing the yield of TAC from GP. The highest extraction yield of TAC was 5.73 ± 0.05 mg/g under the following optimal extraction conditions: 60 °C, 60 min and a moisture content 25%. From Table 4 and Table 5, it can be observed that NaDES solvent allowed the extraction of a lower amount of TAC and comparable contents for TPC and TFC. The lower concentration of TAC led to a lower DPPH value, indicating a direct correlation between the anthocyanins content and antioxidant activity.
3.7. HPLC Analysis of the Extracts
The nature of the solvent and the ability to extract compounds with different polarities are important factors in highlighting the bioactivity of natural extracts [46]. The two optimized and validated extracts were subjected to HPLC analysis to establish the profile of bioactive compounds. Therefore, in case of UAE with ethanol, 15 bioactive compounds were identified, among which were 4 polyphenolic acids (vanillic acid, gallic acid, syringic acid and cinnamic acid), 8 flavonoids (epigallocatechin, epicatechin, quercetin 3-diglucozide, rutin trihydrate, hesperidin, kempherol, apigenin and isorhamnetin) and 1 anthocyanin (keracyanin). This contrasts with the eutectic solvent, where only nine bioactive compounds were determined, including five phenolic acids (gallic acid, caffeic acid, protocatechuic acid, ellargic acid and chlorogenic acid), three flavonoids (epigallocatechin, catechin and rutin trihydrate), and also a terpenoid (cafestol) (Figure 4). Epigallocatechin showed the highest concentration in the ethanol extract, 20.57± 2.06 mg/mL, followed by rutin trihydrate, with a value of 1.20 ± 0.04 mg/mL. Similarly to the ethanol extract, epigallocatechin and catechin were the main compounds with the highest concentration in the NaDES extract, with values of 91.77 ± 0.02 mg/mL and 4.51 ± 0.01 mg/mL, respectively.

Figure 4.
HPLC profile of bioactive compounds of ethanolic extract (A) and NaDES extract (B): A(1) 280 nm: 1—unidentified compound, 2—epigallocatechin, 3—unidentified compound, 4—vanillic acid, 5—epicatechin, 6—syringic acid, 7–10—unidentified compounds, 11—keracyanin, 12—unidentified compound, 13—quercetin 3-diglucoside, 14—rutin trihydrate, 15—hesperidin, 16—unidentified compound, 17—cinnamic acid, 18—unidentified compound, 19—kaempferol, 20—unidentified compound, 21—apigenin, 22—isorhamnetin, 23—unidentified compound. A(2) 520 nm: 1—unidentified compound, 2—gallic acid, 3—epigallocatechin, 4–5—unidentified compounds, 6—keracyanin, 7—unidentified compound, 8—rutin trihydrate, 9–15—unidentified compounds, 16—kaempferol, 17–18—unidentified compounds, 19—apigenin, 20–22—unidentified compounds. B(1) 280 nm: 1—gallic acid, 2—epigallocatechin, 3—unidentified compound, 4—chlorogenic acid, 5–7—unidentified compounds, 8—rutin trihydrate. B(2) 520 nm: 1—cafestol, 2—gallic acid, 3—epigallocatechin, 4–6—unidentified compounds, 7—rutin trihydrate, 8–13—unidentified compounds.
The differences between the chromatographic profiles can be attributed to the solvents used in the extraction, as well as to the experimental conditions specific to the UAE process, such as temperature and extraction time (Table 6).
Table 6.
HPLC profile of the extracts.
The effectiveness of UAE with ethanol has been demonstrated, especially through its high affinity towards compounds from the polyphenol class [46]. However, in a study conducted by Nguyen et al. [47] it was demonstrated that the DES solvent (ChCl:Gly:CA; 1:1:1, w/w/w) was more efficient for the extraction of polyphenolic compounds.
Moutinho et al. [19] extracted polyphenols from the variety “Touriga Nacional”, and “Sousão” extracts were obtained at 60 °C using 3.5% HCl and fourteen 70% ethanol compounds, with different concentrations and with higher concentrations in 3-O-caffeoylquinic acid (1.082 ± 0.012 mg/mL), quercetin-3-O-rutinoside (0.377 ± 0.002 mg/mL), myricetin-O-rutinoside (0.203 ± 0.002 mg/mL). Compared with our study, these authors used a more advanced chromatographic technique (HPLC–DAD–ESI–MS/MS), which allowed for the more efficient separation and quantification of bioactives. The common identified compounds were quercetin 3-diglucoside, kaempferol, apigenin, whereas four anthocyanins were found in their study.
3.8. In Vitro Digestibility of Grape Pomace Extracts
By simulating the in vitro digestion of the human gastrointestinal tract for the two optimized extracts, the aim was to generate the necessary information regarding the bioaccessibility of these phenolic compounds during digestion, as well as to determine the amount of TAC, TPC, TFC and DPPH remaining after the completion of the digestion process. The application of this study provides insights into the behavior of these compounds, including their stability and durability, as well as their interactions with enzymes and bile salts within the two simulated environments (SGF and SIF).
The in vitro digestion behavior of bioactive compounds are discussed in terms of the bioaccessibility of bioactive compounds in the gastric stage and intestinal environment, respectively. It has been observed that, for the ethanolic extract, a rapid decrease in TAC was observed in SGF, with an 80% decrease after 120 min of digestion, whereas the NaDES extract showed a good stability, with a decrease of about 10% (Table 7). Therefore, the ethanolic extract showed a lower bioaccessibility, of approximately 21%, when compared with NaDES extract (~91%). The low TAC degradation rate for the NaDES extract can be explained by the chemical composition of the solvent and the pH value provided by lactic acid, which is close to that of simulated gastric fluid [48]. In case of SIF behavior, both extracts displayed a similar trend, with a decrease of 85% and 92% for TAC in ethanolic extract and NaDES, respectively. Therefore, a higher bioaccessibility of TAC in SIF was observed for ethanolic extract of 14.75% when compared with NaDES extract of 7.60%. A similar value of the bioaccessibility index for TAC in the hydroalcoholic extract (70% ethanol extract) was reported by Ferreira-Santos et al. [49] who recorded a value of 17% for the hydroalcoholic extract (ethanol 50%). They highlighted that anthocyanins remain stable in SGF, whereas in SIF, their content decreases drastically due to pH changes and the destruction of the anthocyanin chromophore by enzymes hydrolysis in SIF.
Table 7.
Phenolic content during the in vitro digestion.
In the case of TPC, the NaDES extract showed a higher stability in SGF, with a decrease of 3%, while in ethanolic extract, the TPC decrease reached 14%. The bioaccessibility showed a high value for both extracts, of about 86% and 97% in the ethanolic and NaDES extracts, respectively. This phenomenon can be attributed to the different pH of the two solvents. The behavior of the hydroalcoholic extract and the NaDES extract after 30 min of gastric digestion showed a slight increase from the initial value of 456.6 mg GAE/100 g DW to 459.95 mg GAE/100 g DW for the ethanol extract, and for the NaDES extract, an increase from the initial value of 473.85 mg GAE/100 g DW to 479.12 mg GAE/100 g DW was observed. After 30 min of SGF, TPC values showed a decrease due to the instability of low molecular weight compounds resulting from the hydrolysis of macromolecular compounds. Also, this decrease in TPC was observed by Kashyap et al. [50] through a three-step in vitro gastrointestinal digestion (oral, gastric and intestinal) study of Meghayalan cherry pomace extracts from the Prunus nepalensis variety, obtained by conventional solvent extraction (60% aqueous ethanol, stirred at 50 °C for 12 h) and optimized microwave-assisted extraction (49% aqueous ethanol, 22 mL/g solvent–solid ratio, 450 W power and 197 s extraction time). They observed that the TPC bioaccessibility index during gastric digestion decreased to 52.64% for the microwave-assisted extract and 54.02% for the conventionally extracted sample. In our study, the TPC decreased significantly in SIF for both extracts, with 67% and approximately 75% for ethanolic and NaDES extracts, respectively. Therefore, a lower bioaccessibility was calculated, of 32% and 25%, respectively, with the lower value for the NaDES extract. The SIF behavior is attributed to the pH of the intestinal juice (pH = 7), which alters the ionization state of molecules and affects the stability of phenolic compounds in both extracts [51]. Martinović et al. [52] obtained a hydroalcoholic extract (50% ethanol) using a water bath with stirring at 200 rpm at 80 °C for 120 min. This extract was used as a control in the evaluation of the in vitro bioaccessibility of TPC and TFC for extracts encapsulated through ionic gelation. Compared to the current study, these authors reported a significantly lower TPC bioaccessibility for the control, with a value of 21.25% compared to the optimized hydroalcoholic extract (70% ethanol), with an index for bioaccessibility after SIF of 32.91%, and of 25.16% for the NaDES extract.
Moreover, a higher bioaccessibility of TFC was found in SGS for ethanolic extract of about 89% when compared with 50.56% for NaDES extract, whereas in SIF, the bioaccessibility drastically decreased for both extracts, with values of about 17% and 5% for ethanolic and NaDES extracts.
Regarding the bioaccessibility of the antioxidant activity of the two extracts, a similar value was observed after the gastric digestion. This decrease in antioxidant activity was directly proportional to the decrease in TPC value. The initial DPPH value was 22.63 mMol Trolox/g DW for the hydroalcoholic extract and 23.33 mMol Trolox/g DW for the NaDES extract, while these values decreased to 15.21 mMol Trolox/g DW and 15.69 mMol Trolox/g DW after SGF. Kashyap et al. [50] explained this correlation between the decrease in DPPH value and TPC value as a result of the reduced concentration of antioxidant phenolic compounds during gastrointestinal digestion, following their degradation and hydrolysis.
4. Conclusions
In this study, the ultrasound-assisted extraction method was applied to obtain bioactive-enriched extracts from red grape pomace, using two solvents, namely ethanol and NaDES solvent. The optimization using CCD and RSM allowed the testing of different values of the independent variables necessary to achieve the maximum yield of the responses (anthocyanins, polyphenols, flavonoids and antioxidant activity). Therefore, the optimum parameters were established as 70% ethanol, 35 °C and 22.5 min for conventional extraction, whereas for the green extraction, the parameters were 60 °C, 60 min and a 10 mL S/L ratio. Significant different chromatographic profile was evidenced for the two extracts, with an enriched profile in the ethanolic extract compared with the NaDES extract. The optimized and validated extracts were subsequently used for in vitro gastrointestinal digestibility. In general, the polyphenolic compounds extracted with ethanolic solvent showed superior stability during simulated gastrointestinal digestion compared with the NaDES solvent. The obtained results suggest that TAC are more stable in NaDES extract in SGF, as expected, due to the stabilization effect of the pH, whereas the polyphenols and flavonoids showed higher bioaccessibility in the ethanolic extract. The results highlight that even though the temperature and the extraction time for green extraction were significantly higher when compared with the conventional method, green extraction is still a preferred approach when process parameters are not favorable. The extraction yields were similar for total polyphenols, flavonoids and antioxidant activity, except for anthocyanins. However, the use of green extraction is primarily due to its alignment with sustainability goals and its ability to operate without toxic solvents, making it suitable for extracting bioactive compounds from sensitive matrices. When conventional solvents or conditions risk degrading, the target compounds are unsuitable due to environmental or safety concerns, and green extraction provides a viable, eco-friendly alternative. Currently, in further studies, the extracts will be analyzed using advanced chromatography techniques, which will allow a qualitative comparative analysis, whereas in the near future, the extraction with NaDES solvents will continue by testing other solvent combinations, either based on choline chloride and acids or on a neutral basis using polyalcohols.
Author Contributions
Conceptualization, N.S.; methodology, S.M.; software, S.M.; validation, N.B., S.M., G.R. and N.S.; formal analysis, N.B. and S.M.; investigation, N.B. and S.M.; resources, G.R. and N.S.; data curation, N.B.; writing—original draft preparation, N.B., S.M. and G.R.; writing—review and editing, N.S.; visualization, N.B., S.M., G.R. and N.S.; supervision, N.S.; project administration, N.S. and G.R.; funding acquisition, N.S. All authors have read and agreed to the published version of the manuscript.
Funding
This work was supported by a grant from the Ministry of Research, Innovation and Digitization, CNCS-UEFISCDI, project number PN-IV-P1-PCE-2023-0129, within PNCDI IV, 9PCE/08.01.2025.
Institutional Review Board Statement
Not applicable.
Informed Consent Statement
Not applicable.
Data Availability Statement
Data are contained within the article.
Acknowledgments
The Integrated Center for Research, Expertise and Technological Transfer in Food Industry is acknowledged for providing technical support.
Conflicts of Interest
The authors declare no conflicts of interest.
References
- Asadnezhad, B.; Pirmohammadi, R.; Alijoo, Y.; Khalilvandi-Behroozyar, H.; Abdi-Benmar, H.; Tirado-González, D.N.; Hernández Ruiz, P.E.; Ordoñez, V.V.; Lackner, M.; Salem, A.Z.M. The Effects of Dietary Supplementation with Red Grape Pomace Treated with Ozone Gas on Ruminal Fermentation Activities, Nutrient Digestibility, Lactational Performance, and Blood Metabolites in Dairy Ewes. J. Agric. Food Res. 2024, 18, 101452. [Google Scholar] [CrossRef]
- Moreno, A.D.; Ballesteros, M.; Negro, M.J. Biorefineries for the Valorization of Food Processing Waste. In The Interaction of Food Industry and Environment; Elsevier: Amsterdam, The Netherlands, 2020; pp. 155–190. [Google Scholar] [CrossRef]
- FAO. Production: Crops and Livestock Products; FAOSTAT: Rome, Italy, 2023; Available online: https://www.fao.org/faostat/en/#data/QCL (accessed on 25 January 2025).
- Llobera, A.; Cañellas, J. Dietary Fibre Content and Antioxidant Activity of Manto Negro Red Grape (Vitis vinifera): Pomace and Stem. Food Chem. 2007, 101, 659–666. [Google Scholar] [CrossRef]
- Galanakis, C.M. Preface. In Handbook of Grape Processing By-Products; Elsevier: Amsterdam, The Netherlands, 2017; pp. xv–xvi. [Google Scholar] [CrossRef]
- Lopes, J.D.C.; Madureira, J.; Margaça, F.M.A.; Cabo Verde, S. Grape Pomace: A Review of Its Bioactive Phenolic Compounds, Health Benefits, and Applications. Molecules 2025, 30, 362. [Google Scholar] [CrossRef] [PubMed]
- Karastergiou, A.; Gancel, A.-L.; Jourdes, M.; Teissedre, P.-L. Valorization of Grape Pomace: A Review of Phenolic Composition, Bioactivity, and Therapeutic Potential. Antioxidants 2024, 13, 1131. [Google Scholar] [CrossRef] [PubMed]
- Hogervorst, J.C.; Miljić, U.; Puškaš, V. Extraction of Bioactive Compounds from Grape Processing By-Products. In Handbook of Grape Processing By-Products; Elsevier: Amsterdam, The Netherlands, 2017; pp. 105–135. [Google Scholar] [CrossRef]
- Balea, Ş.S.; Pârvu, A.E.; Pârvu, M.; Vlase, L.; Dehelean, C.A.; Pop, T.I. Antioxidant, Anti-Inflammatory and Antiproliferative Effects of the Vitis vinifera, L. Var. Fetească Neagră and Pinot Noir Pomace Extracts. Front. Pharmacol 2020, 11, 990. [Google Scholar] [CrossRef]
- Costabile, G.; Vitale, M.; Luongo, D.; Naviglio, D.; Vetrani, C.; Ciciola, P.; Tura, A.; Castello, F.; Mena, P.; Del Rio, D.; et al. Grape Pomace Polyphenols Improve Insulin Response to a Standard Meal in Healthy Individuals: A Pilot Study. Clin. Nutr. 2019, 38, 2727–2734. [Google Scholar] [CrossRef] [PubMed]
- Ferri, M.; Bin, S.; Vallini, V.; Fava, F.; Michelini, E.; Roda, A.; Minnucci, G.; Bucchi, G.; Tassoni, A. Recovery of Polyphenols from Red Grape Pomace and Assessment of Their Antioxidant and Anti-Cholesterol Activities. New Biotechnol. 2016, 33, 338–344. [Google Scholar] [CrossRef]
- Osamede Airouyuwa, J.; Sivapragasam, N.; Ali Redha, A.; Maqsood, S. Sustainable Green Extraction of Anthocyanins and Carotenoids Using Deep Eutectic Solvents (DES): A Review of Recent Developments. Food Chem. 2024, 448, 139061. [Google Scholar] [CrossRef]
- Castro, L.E.N.; Sganzerla, W.G.; Silva, A.P.G.; John, O.D.; Barroso, T.L.C.T.; Rostagno, M.A.; Forster-Carneiro, T. Sustainable Extraction Methods for the Recovery of Polyphenolic Compounds from Grape Pomace and Its Biological Properties: A Comprehensive Review. Phytochem. Rev. 2024. [Google Scholar] [CrossRef]
- Ilyas, T.; Chowdhary, P.; Chaurasia, D.; Gnansounou, E.; Pandey, A.; Chaturvedi, P. Sustainable Green Processing of Grape Pomace for the Production of Value-Added Products: An Overview. Environ. Technol. Innov. 2021, 23, 101592. [Google Scholar] [CrossRef]
- Drosou, C.; Kyriakopoulou, K.; Bimpilas, A.; Tsimogiannis, D.; Krokida, M. A Comparative Study on Different Extraction Techniques to Recover Red Grape Pomace Polyphenols from Vinification Byproducts. Ind. Crops Prod. 2015, 75, 141–149. [Google Scholar] [CrossRef]
- Liu, Z.; Wu, H.; Holland, B.; Barrow, C.J.; Suleria, H.A.R. An Optimization of the Extraction of Phenolic Compounds from Grape Marc: A Comparison between Conventional and Ultrasound-Assisted Methods. Chemosensors 2024, 12, 177. [Google Scholar] [CrossRef]
- Vannuchi, N.; Braga, A.R.C.; DeRosso, V.V. High-Performance Extraction Process of Anthocyanins from Jussara (Euterpe edulis) Using Deep Eutectic Solvents. Processes 2022, 10, 615. [Google Scholar] [CrossRef]
- Spaggiari, C.; Hiemstra, I.S.A.; Kazbar, A.; Costantino, G.; Righetti, L. Towards Eco-Metabolomics: NADES-Guided Extraction Enables Semi-Quantitative Metabolomics for Melissa officinalis. Adv. Sample Prep. 2025, 13, 100154. [Google Scholar] [CrossRef]
- Moutinho, J.; Gouvinhas, I.; Domínguez-Perles, R.; Barros, A. Optimization of the Extraction Methodology of Grape Pomace Polyphenols for Food Applications. Molecules 2023, 28, 3885. [Google Scholar] [CrossRef]
- Mangiapelo, L.; Blasi, F.; Ianni, F.; Suvieri, C.; Sardella, R.; Volpi, C.; Cossignani, L. Optimization of a Simple Analytical Workflow to Characterize the Phenolic Fraction from Grape Pomace. Food Bioprocess Technol. 2024, 17, 1942–1957. [Google Scholar] [CrossRef]
- Li, Z.; Cui, R.; Liu, W.; Wang, M.; Li, L.; Liu, F.; Du, B.; Song, L. Application of Green Deep Eutectic Solvents for Anthocyanins Extraction from Grape Pomace: Optimization, Stability, Antioxidant Activity, and Molecular Dynamic Simulation. Lebensm. Wiss. Technol. 2024, 211, 116878. [Google Scholar] [CrossRef]
- Gutfinger, T. Polyphenols in Olive Oils. J. Am. Oil Chem. Soc. 1981, 58, 966–968. [Google Scholar] [CrossRef]
- Serea, D.; Constantin, O.E.; Horincar, G.; Stănciuc, N.; Aprodu, I.; Bahrim, G.E.; Râpeanu, G. Optimization of Extraction Parameters of Anthocyanin Compounds and Antioxidant Properties from Red Grape (Băbească neagră) Peels. Inventions 2023, 8, 59. [Google Scholar] [CrossRef]
- Yang, Z.; Shi, L.; Qi, Y.; Xie, C.; Zhao, W.; Barrow, C.J.; Dunshea, F.R.; Suleria, H.A.R. Effect of Processing on Polyphenols in Butternut Pumpkin (Cucurbita moschata). Food Biosci. 2022, 49, 101925. [Google Scholar] [CrossRef]
- Shi, L.; Liu, Z.; Gonzalez Viejo, C.; Ahmadi, F.; Dunshea, F.R.; Suleria, H.A.R. Comparison of Phenolic Composition in Australian-Grown Date Fruit (Phoenix dactylifera L.) Seeds from Different Varieties and Ripening Stages. Food Res. Int. 2024, 181, 114096. [Google Scholar] [CrossRef] [PubMed]
- Mërtiri, I.; Coman, G.; Cotârlet, M.; Turturică, M.; Balan, N.; Râpeanu, G.; Stănciuc, N.; Mihalcea, L. Phytochemical Profile Screening and Selected Bioactivity of Myrtus communis Berries Extracts Obtained from Ultrasound-Assisted and Supercritical Fluid Extraction. Separations 2025, 12, 8. [Google Scholar] [CrossRef]
- Stoica, F.; Condurache, N.N.; Aprodu, I.; Andronoiu, D.G.; Enachi, E.; Stănciuc, N.; Bahrim, G.E.; Croitoru, C.; Râpeanu, G. Value-Added Salad Dressing Enriched with Red Onion Skin Anthocyanins Entrapped in Different Biopolymers. Food Chem. X 2022, 15, 100374. [Google Scholar] [CrossRef] [PubMed]
- Li, M.; Bai, Q.; Zhou, J.; de Souza, T.S.P.; Suleria, H.A.R. In Vitro Gastrointestinal Bioaccessibility, Bioactivities and Colonic Fermentation of Phenolic Compounds in Different Vigna Beans. Foods 2022, 11, 3884. [Google Scholar] [CrossRef] [PubMed]
- Rajha, H.N.; Darra, N.E.; Hobaika, Z.; Boussetta, N.; Vorobiev, E.; Maroun, R.G.; Louka, N. Extraction of Total Phenolic Compounds, Flavonoids, Anthocyanins and Tannins from Grape Byproducts by Response Surface Methodology. Influence of Solid-Liquid Ratio, Particle Size, Time, Temperature and Solvent Mixtures on the Optimization Process. Food Nutr. Sci. 2014, 5, 397–409. [Google Scholar] [CrossRef]
- Zhou, Z.; Yang, D. Economical and Eco-Friendly Isolation of Anthocyanins from Grape Pomace with Higher Efficiency. Food Chem. X 2022, 15, 100419. [Google Scholar] [CrossRef]
- Abouelenein, D.; Mustafa, A.M.; Caprioli, G.; Ricciutelli, M.; Sagratini, G.; Vittori, S. Phenolic and Nutritional Profiles, and Antioxidant Activity of Grape Pomaces and Seeds from Lacrima Di Morro d’Alba and Verdicchio varieties. Food Biosci. 2023, 53, 102808. [Google Scholar] [CrossRef]
- Muñoz, P.; Pérez, K.; Cassano, A.; Ruby-Figueroa, R. Recovery of Anthocyanins and Monosaccharides from Grape Marc Extract by Nanofiltration Membranes. Molecules 2021, 26, 2003. [Google Scholar] [CrossRef]
- Nayak, A.; Bhushan, B.; Rosales, A.; Turienzo, L.R.; Cortina, J.L. Valorisation Potential of Cabernet Grape Pomace for the Recovery of Polyphenols: Process Intensification, Optimisation and Study of Kinetics. Food Bioprod. Process. 2018, 109, 74–85. [Google Scholar] [CrossRef]
- Craciunescu, O.; Seciu-Grama, A.-M.; Mihai, E.; Utoiu, E.; Negreanu-Pirjol, T.; Lupu, C.E.; Artem, V.; Ranca, A.; Negreanu-Pirjol, B.-S. The Chemical Profile, Antioxidant, and Anti-Lipid Droplet Activity of Fluid Extracts from Romanian Cultivars of Haskap Berries, Bitter Cherries, and Red Grape Pomace for the Management of Liver Steatosis. Int. J. Mol. Sci. 2023, 24, 16849. [Google Scholar] [CrossRef]
- Arboleda Mejia, J.A.; Ricci, A.; Figueiredo, A.S.; Versari, A.; Cassano, A.; Parpinello, G.P.; De Pinho, M.N. Recovery of Phenolic Compounds from Red Grape Pomace Extract through Nanofiltration Membranes. Foods 2020, 9, 1649. [Google Scholar] [CrossRef] [PubMed]
- Gerçek, Y.C.; Kutlu, N.; Çelik, S.; Bayram, S.; Kırkıncı, S.; Ecem Bayram, N. Optimized Ultrasonic-NaDES Extraction of Anthocyanins, Polyphenolics, and Organic Acids from Chokeberry Fruit with Blueness and Antimicrobial Evaluation. Microchem. J. 2025, 210, 113061. [Google Scholar] [CrossRef]
- Nguyen, T.T.T.; Nguyen, V.B.; Kha, T.C. Optimization of Bioactive Compounds Extraction from Red Cardinal Grape Pomace Using Choline Chloride and Lactic Acid-Based Deep Eutectic Solvent. Prep. Biochem. Biotechnol. 2025, 18, 1–12. [Google Scholar] [CrossRef] [PubMed]
- Nguyen, T.T.T.; Nguyen, V.B.; Kha, T.C.; Hoang, V.C. Impact of Choline Chloride and Organic Acid-Based Deep Eutectic Solvents on the Extraction of Bioactive Compounds from Grape Pomace. J. Tech. Educ. Sci. 2024, 19, 15–23. [Google Scholar] [CrossRef]
- Frontini, A.; Luvisi, A.; Negro, C.; Apollonio, M.; Accogli, R.; De Pascali, M.; De Bellis, L. Polyphenols Extraction from Different Grape Pomaces Using Natural Deep Eutectic Solvents. Separations 2024, 11, 241. [Google Scholar] [CrossRef]
- Huamán-Castilla, N.L.; Gajardo-Parra, N.; Pérez-Correa, J.R.; Canales, R.I.; Martínez-Cifuentes, M.; Contreras-Contreras, G.; Mariotti-Celis, M.S. Enhanced Polyphenols Recovery from Grape Pomace: A Comparison of Pressurized and Atmospheric Extractions with Deep Eutectic Solvent Aqueous Mixtures. Antioxidants 2023, 12, 1446. [Google Scholar] [CrossRef]
- Serea, D.; Râpeanu, G.; Constantin, O.E.; Bahrim, G.E.; Stănciuc, N.; Croitoru, C. Ultrasound and Enzymatic Assisted Extractions of Bioactive Compounds Found in Red Grape Skins Băbească Neagră (Vitis vinifera) Variety. Ann. Univ. Dunarea Jos Galati Fascicle VI-Food Technol. 2021, 45, 9–25. [Google Scholar] [CrossRef]
- Dabetic, N.; Todorovic, V.; Malenovic, A.; Sobajic, S.; Markovic, B. Optimization of Extraction andHPLC–MS/MS Profiling of Phenolic Compounds from Red Grape Seed Extracts Using Conventional and Deep Eutectic Solvents. Antioxidants 2022, 11, 1595. [Google Scholar] [CrossRef]
- Anghel, L.; Milea, A.S.; Constantin, O.E.; Barbu, V.; Chițescu, C.; Enachi, E.; Râpeanu, G.; Mocanu, G.-D.; Stănciuc, N. Dried Grape Pomace with Lactic Acid Bacteria as a Potential Source for Probiotic and Antidiabetic Value-Added Powders. Food Chem. X 2023, 19, 100777. [Google Scholar] [CrossRef]
- Oomen, W.W.; Begines, P.; Mustafa, N.R.; Wilson, E.G.; Verpoorte, R.; Choi, Y.H. Natural Deep Eutectic Solvent Extraction of Flavonoids of Scutellaria Baicalensis as a Replacement for Conventional Organic Solvents. Molecules 2020, 25, 617. [Google Scholar] [CrossRef]
- Sik, B.; Székelyhidi, R.; Lakatos, E.; Ajtony, Z. Using Natural Deep Eutectic Solvents for the Extraction of Antioxidant Compounds from Cornelian Cherry (Cornus mas L.) Fruits . Green Anal. Chem. 2024, 11, 100154. [Google Scholar] [CrossRef]
- Constantin, O.E.; Skrt, M.; Poklar Ulrih, N.; Râpeanu, G. Anthocyanins Profile, Total Phenolics and Antioxidant Activity of Two Romanian Red Grape Varieties: Feteascǎ Neagrǎ and Bǎbeascǎ Neagrǎ (Vitis vinifera). Chem. Pap. 2015, 69, 1573–1581. [Google Scholar] [CrossRef]
- Nguyen Thao, T.T.; Nguyen Viet, B.; Le Truc, M.X.; Tran An, H.T.; Kha Tuyen, C. Extraction of Bioactive Compounds from Red Cardinal Grape Pomace by Deep Eutectic Solvents. Chem. Eng. Trans. 2023, 106, 889–894. [Google Scholar] [CrossRef]
- Sazali, A.L.; AlMasoud, N.; Amran, S.K.; Alomar, T.S.; Pa’ee, K.F.; El-Bahy, Z.M.; Yong, T.-L.K.; Dailin, D.J.; Chuah, L.F. Physicochemical and Thermal Characteristics of Choline Chloride-Based Deep Eutectic Solvents. Chemosphere 2023, 338, 139485. [Google Scholar] [CrossRef]
- Ferreira-Santos, P.; Nobre, C.; Rodrigues, R.M.; Genisheva, Z.; Botelho, C.; Teixeira, J.A. Extraction of Phenolic Compounds from Grape Pomace Using Ohmic Heating: Chemical Composition, Bioactivity and Bioaccessibility. Food Chem. 2024, 436, 137780. [Google Scholar] [CrossRef]
- Kashyap, P.; Riar, C.S.; Jindal, N. Effect of Extraction Methods and Simulated in Vitro Gastrointestinal Digestion on Phenolic Compound Profile, Bio-Accessibility, and Antioxidant Activity of Meghalayan Cherry (Prunus nepalensis) Pomace Extracts. Lebensm. Wiss. Technol. 2022, 153, 112570. [Google Scholar] [CrossRef]
- Amendola, D.; De Faveri, D.M.; Spigno, G. Grape Marc Phenolics: Extraction Kinetics, Quality and Stability of Extracts. J. Food Eng. 2010, 97, 384–392. [Google Scholar] [CrossRef]
- Martinović, J.; Lukinac, J.; Jukić, M.; Ambrus, R.; Planinić, M.; Šelo, G.; Klarić, A.-M.; Perković, G.; Bucić-Kojić, A. In Vitro Bioaccessibility Assessment of Phenolic Compounds from Encapsulated Grape Pomace Extract by Ionic Gelation. Molecules 2023, 28, 5285. [Google Scholar] [CrossRef]
Disclaimer/Publisher’s Note: The statements, opinions and data contained in all publications are solely those of the individual author(s) and contributor(s) and not of MDPI and/or the editor(s). MDPI and/or the editor(s) disclaim responsibility for any injury to people or property resulting from any ideas, methods, instructions or products referred to in the content. |
© 2025 by the authors. Licensee MDPI, Basel, Switzerland. This article is an open access article distributed under the terms and conditions of the Creative Commons Attribution (CC BY) license (https://creativecommons.org/licenses/by/4.0/).




