Genome-Wide Identification and Drought-Responsive Functional Analysis of the GST Gene Family in Potato (Solanum tuberosum L.)
Abstract
1. Introduction
2. Materials and Methods
2.1. Genome-Wide Identification of Gst Genes in Potato C88
2.2. Phylogenetic Analysis and Classification
2.3. Motif and Structural Analysis
2.4. Chromosomal Distribution and Evolutionary Analysis
2.5. Promoter Analysis
2.6. Expression Analysis Under Drought Stress
2.7. Protein Interaction Network and Functional Enrichment
2.8. Transient Expression in Nicotiana Benthamiana
2.9. Physiological Parameters Measurements
3. Results
3.1. Characterization of GST Gene Family in Potato C88 Genome
3.2. Phylogenetic Analysis and Classification of StGSTs
3.3. Gene Structure and Conserved Motif Analysis of StGST Genes
3.4. Analysis of Cis-Regulatory Elements in StGST Promoter Regions
3.5. Chromosomal Distribution and Duplication Analysis of StGST Genes
3.6. Comparative Genomic Analysis of GST Proteins Across Species
3.7. Protein Interaction Network and Functional Enrichment Analysis
3.8. Expression Analysis of StGSTs Under Drought Stress and DNA Demethylation
3.9. Subcellular Localization of Candidate Genes
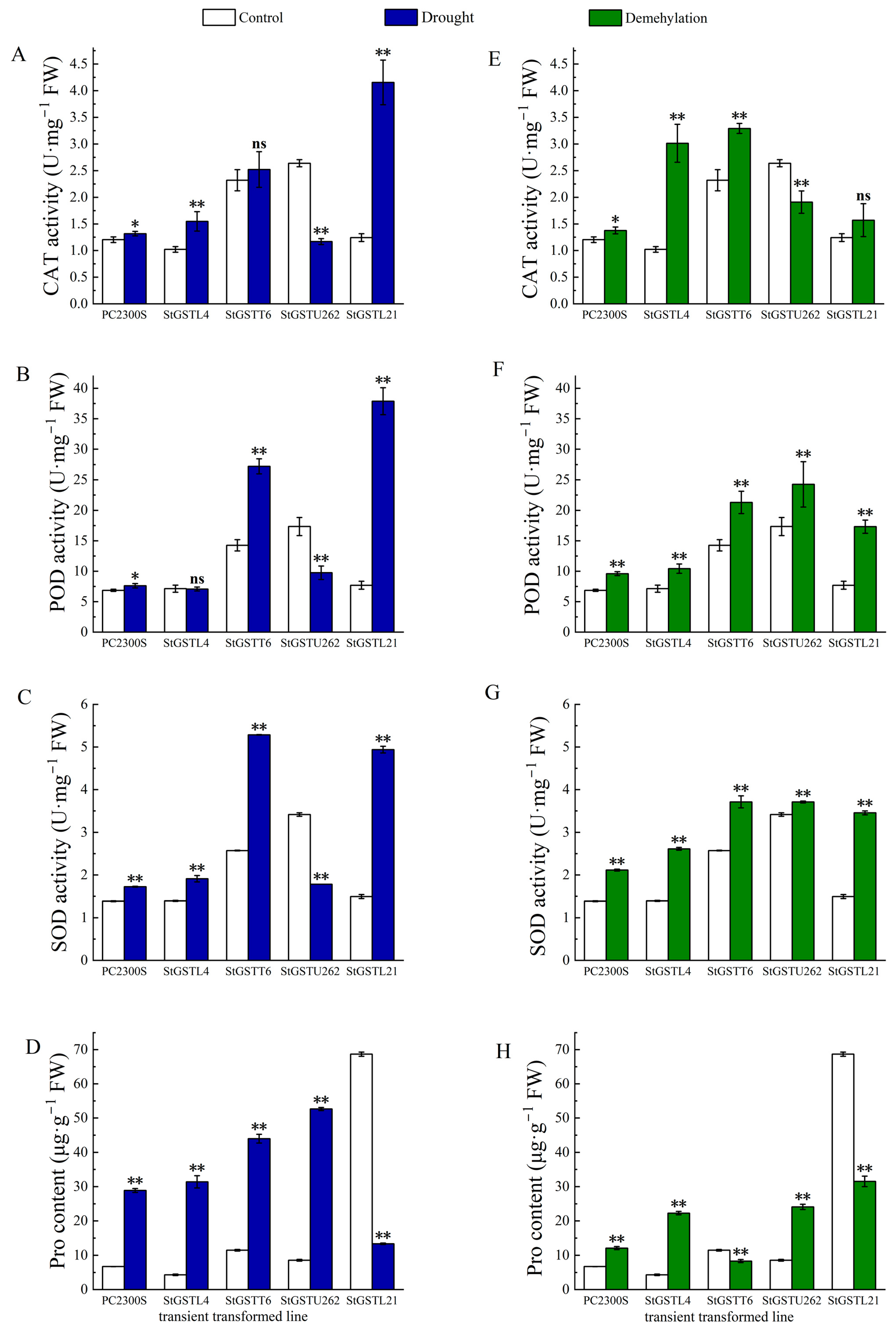
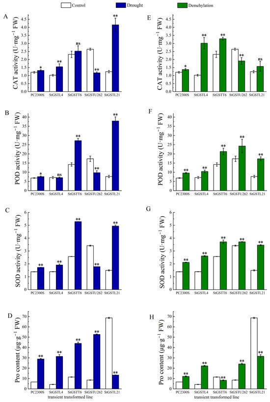
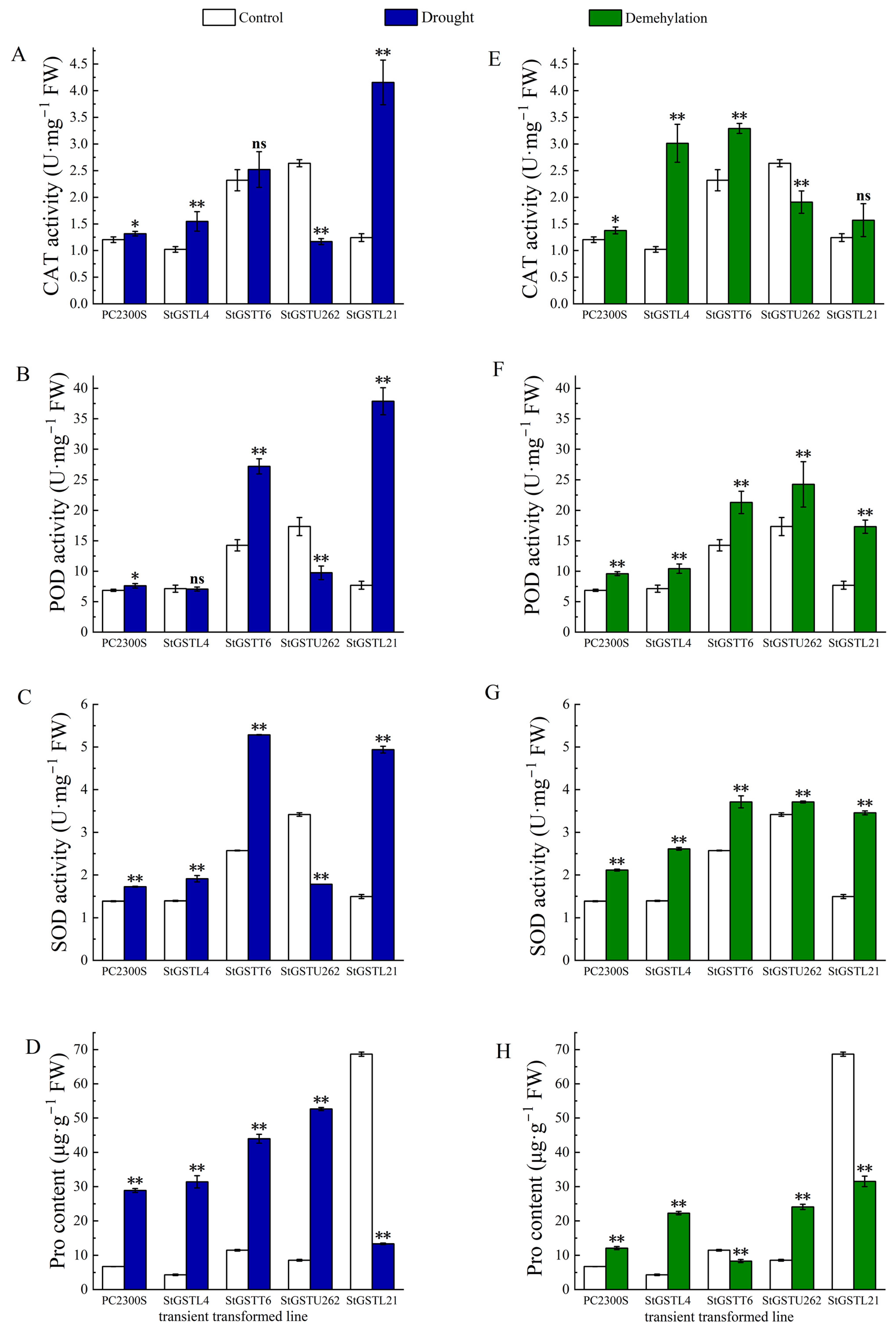
3.10. Candidate Genes Involved in Antioxidant Defense upon Drought Stress
4. Discussion
4.1. Identification of Gene Family Members
4.2. Gene Structure Analysis
4.3. Chromosomal Distribution and Comparative Genomic Analysis
4.4. Promoter Cis-Regulatory Element and Protein Interaction Analyses
4.5. Functional Characterization Under Drought Stress and DNA Demethylation
5. Conclusions
Supplementary Materials
Author Contributions
Funding
Institutional Review Board Statement
Informed Consent Statement
Data Availability Statement
Conflicts of Interest
References
- Lallement, P.-A.; Meux, E.; Gualberto, J.M.; Prosper, P.; Didierjean, C.; Saul, F.; Haouz, A.; Rouhier, N.; Hecker, A. Structural and enzymatic insights into Lambda glutathione transferases from Populus trichocarpa, monomeric enzymes constituting an early divergent class specific to terrestrial plants. Biochem. J. 2014, 462, 39–52. [Google Scholar] [CrossRef] [PubMed]
 - Jens, H.; Paul, T. Reactive Oxygen Species in Phytopathogenic Fungi: Signaling, Development, and Disease. Annu. Rev. Phytopathol. 2011, 49, 369–390. [Google Scholar]
 - Michael, W.; Mikael, B.; Jaakko, K. ROS signaling loops—Production, perception, regulation. Curr. Opin. Plant Biol. 2013, 16, 575–582. [Google Scholar]
 - Chi, Y.; Cheng, Y.; Vanitha, J.; Kumar, N.; Ramamoorthy, R.; Ramachandran, S.; Jiang, S.-Y. Expansion mechanisms and functional divergence of the glutathione s-transferase family in sorghum and other higher plants. DNA Res. Int. J. Rapid Publ. Rep. Genes Genomes 2011, 18, 1–16. [Google Scholar] [CrossRef]
 - Chronopoulou, E.G.; Labrou, N.E. Glutathione transferases: Emerging multidisciplinary tools in red and green biotechnology. Recent Pat. Biotechnol. 2009, 3, 211–223. [Google Scholar] [CrossRef] [PubMed]
 - Edwards, R.; Dixon, D.P.; Cummins, I.; Brazier-Hicks, M.; Skipsey, M. New perspectives on the metabolism and detoxification of synthetic compounds in plants. In Organic Xenobiotics and Plants: From Mode of Action to Ecophysiology; Springer: Dordrecht, The Netherlands, 2011; pp. 125–148. [Google Scholar]
 - Cummins, I.; Wortley, D.J.; Sabbadin, F.; He, Z.; Coxon, C.R.; Straker, H.E.; Sellars, J.D.; Knight, K.; Edwards, L.; Hughes, D.; et al. Key role for a glutathione transferase in multiple-herbicide resistance in grass weeds. Proc. Natl. Acad. Sci. USA 2013, 110, 5812–5817. [Google Scholar] [CrossRef]
 - Dixon, D.P.; Cole, D.J.; Edwards, R. Dimerisation of maize glutathione transferases in recombinant bacteria. Plant Mol. Biol. 1999, 40, 997–1008. [Google Scholar] [CrossRef]
 - Axarli, I.; Dhavala, P.; Papageorgiou, A.C.; Labrou, N.E. Crystallographic and Functional Characterization of the Fluorodifen-inducible Glutathione Transferase from Glycine Max Reveals an Active Site Topography Suited for Diphenylether Herbicides and a Novel L-site. J. Mol. Biol. 2008, 385, 984–1002. [Google Scholar] [CrossRef]
 - Dixon, D.P.; Sellars, J.D.; Edwards, R. The Arabidopsis phi class glutathione transferase At GSTF2: Binding and regulation by biologically active heterocyclic ligands. Biochem. J. 2011, 438, 63–70. [Google Scholar] [CrossRef] [PubMed]
 - Chronopoulou, E.; Madesis, P.; Asimakopoulou, B.; Platis, D.; Tsaftaris, A.; Labrou, N.E. Catalytic and structural diversity of the fluazifop-inducible glutathione transferases from Phaseolus vulgaris. Planta 2012, 235, 1253–1269. [Google Scholar] [CrossRef] [PubMed]
 - Jain, M.; Ghanashyam, C.; Bhattacharjee, A. Comprehensive expression analysis suggests overlapping and specific roles of rice glutathione S-transferase genes during development and stress responses. BMC Genom. 2010, 11, 73. [Google Scholar] [CrossRef] [PubMed]
 - Chronopoulou, E.; Madesis, P.; Tsaftaris, A.; Labrou, N.E. Cloning and characterization of a biotic-stress-inducible glutathione transferase from Phaseolus vulgaris. Appl. Biochem. Biotechnol. 2014, 172, 595–609. [Google Scholar] [CrossRef] [PubMed]
 - Wagner, U.; Edwards, R.; Dixon, D.P.; Mauch, F. Probing the diversity of the Arabidopsis glutathione S-transferase gene family. Plant Mol. Biol. 2002, 49, 515–532. [Google Scholar] [CrossRef] [PubMed]
 - Lan, T.; Yang, Z.-L.; Yang, X.; Liu, Y.-J.; Wang, X.-R.; Zeng, Q.-Y. Extensive functional diversification of the Populus glutathione S-transferase supergene family. Plant Cell 2009, 21, 3749–3766. [Google Scholar] [CrossRef]
 - Pang, S.; Duan, L.; Liu, Z.; Song, X.; Li, X.; Wang, C. Co-induction of a glutathione-S-transferase, a glutathione transporter and an ABC transporter in maize by xenobiotics. PLoS ONE 2017, 7, e40712. [Google Scholar] [CrossRef]
 - Rahantaniaina, M.S.; Tuzet, A.; Mhamdi, A.; Noctor, G. Missing links in understanding redox signaling via thiol/disulfide modulation: How is glutathione oxidized in plants? Front. Plant Sci. 2013, 4, 477. [Google Scholar] [CrossRef]
 - Dixon, D.P.; Lapthorn, A.; Madesis, P.; Mudd, E.A.; Day, A.; Edwards, R. Binding and glutathione conjugation of porphyrinogens by plant glutathione transferases. J. Biol. Chem. 2008, 283, 20268–20276. [Google Scholar] [CrossRef] [PubMed]
 - Thom, R.; Dixon, D.P.; Edwards, R.; Cole, D.J.; Lapthorn, A.J. The structure of a zeta class glutathione S-transferase from Arabidopsis thaliana: Characterisation of a GST with novel active-site architecture and a putative role in tyrosine catabolism. J. Mol. Biol. 2001, 308, 949–962. [Google Scholar] [CrossRef] [PubMed]
 - Norrgård, M.A.; Hellman, U.; Mannervik, B. Cys-X scanning for expansion of active-site residues and modulation of catalytic functions in a glutathione transferase. J. Biol. Chem. 2011, 286, 16871–16878. [Google Scholar] [CrossRef]
 - Oakley, A. Glutathione transferases: A structural perspective. Drug Metab. Rev. 2011, 43, 138–151. [Google Scholar] [CrossRef]
 - Singh, S. Cytoprotective and regulatory functions of glutathione S-transferases in cancer cell proliferation and cell death. Cancer Chemother. Pharmacol. 2015, 75, 1–15. [Google Scholar] [CrossRef] [PubMed]
 - Singhal, S.S.; Singh, S.P.; Singhal, P.; Horne, D.; Singhal, J.; Awasthi, S. Antioxidant role of glutathione S-transferases: 4-Hydroxynonenal, a key molecule in stress-mediated signaling. Toxicol. Appl. Pharmacol. 2015, 289, 361–370. [Google Scholar] [CrossRef] [PubMed]
 - Islam, M.S.; Choudhury, M.; Majlish, A.-N.K.; Islam, T.; Ghosh, A. Comprehensive genome-wide analysis of Glutathione S-transferase gene family in potato (Solanum tuberosum L.) and their expression profiling in various anatomical tissues and perturbation conditions. Gene 2018, 639, 149–162. [Google Scholar] [CrossRef] [PubMed]
 - Bao, Z.; Li, C.; Li, G.; Wang, P.; Peng, Z.; Cheng, L.; Li, H.; Zhang, Z.; Li, Y.; Huang, W.; et al. Genome architecture and tetrasomic inheritance of autotetraploid potato. Mol. Plant 2023, 15, 1211–1226. [Google Scholar] [CrossRef] [PubMed]
 - Mistry, J.; Chuguransky, S.; Williams, L.; Qureshi, M.; Salazar, G.A.; Sonnhammer, E.L.L.; Tosatto, S.C.; Paladin, L.; Raj, S.; Richardson, L.J.; et al. Pfam: The protein families database in 2021. Nucleic Acids Res. 2020, 49, D412–D419. [Google Scholar] [CrossRef] [PubMed]
 - Pagnuco, I.A.; Revuelta, M.V.; Bondino, H.G.; Brun, M.; Ten Have, A. HMMER Cut-off Threshold Tool (HMMERCTTER): Supervised classification of superfamily protein sequences with a reliable cut-off threshold. PLoS ONE 2018, 13, e0193757. [Google Scholar] [CrossRef] [PubMed]
 - Chen, C.; Chen, H.; Zhang, Y.; Thomas, H.R.; Frank, M.H.; He, Y.; Xia, R. TBtools: An integrative toolkit developed for interactive analyses of big biological data. Mol. Plant 2020, 13, 1194–1202. [Google Scholar] [CrossRef] [PubMed]
 - Duvaud, S.; Gabella, C.; Lisacek, F.; Stockinger, H.; Ioannidis, V.; Durinx, C. Expasy, the Swiss Bioinformatics Resource Portal, as designed by its users. Nucleic Acids Res. 2021, 49, W216–W227. [Google Scholar] [CrossRef] [PubMed]
 - Horton, P.; Park, K.-J.; Obayashi, T.; Fujita, N.; Harada, H.; Adams-Collier, C.J.; Nakai, K. WoLF PSORT: Protein localization predictor. Nucleic Acids Res. 2007, 35, W585–W587. [Google Scholar] [CrossRef] [PubMed]
 - Bailey, T.L.; Boden, M.; Buske, F.A.; Frith, M.; Grant, C.E.; Clementi, L.; Ren, J.; Li, W.W.; Noble, W.S. MEME SUITE: Tools for motif discovery and searching. Nucleic Acids Res. 2009, 37, W202–W208. [Google Scholar] [CrossRef]
 - Marchler-Bauer, A.; Derbyshire, M.K.; Gonzales, N.R.; Lu, S.; Chitsaz, F.; Geer, L.Y.; Geer, R.C.; He, J.; Gwadz, M.; Hurwitz, D.I.; et al. CDD: NCBI’s conserved domain database. Nucleic Acids Res. 2015, 43, D222–D226. [Google Scholar] [CrossRef]
 - Lescot, M.; Déhais, P.; Thijs, G.; Marchal, K.; Moreau, Y.; Van de Peer, Y.; Rouzé, P.; Rombauts, S. PlantCARE, a database of plant cis-acting regulatory elements and a portal to tools for in silico analysis of promoter sequences. Nucleic Acids Res. 2002, 30, 325–327. [Google Scholar] [CrossRef] [PubMed]
 - Livak, K.J.; Schmittgen, T.D. Analysis of relative gene expression data using real-time quantitative PCR and the 2(-Delta Delta C(T)) Method. Methods 2001, 25, 402–408. [Google Scholar] [CrossRef]
 - Beauchamp, C.; Fridovich, I. Superoxide dismutase: Improved assays and an assay applicable to acrylamide gels. Anal. Biochem. 1971, 44, 276–287. [Google Scholar] [CrossRef] [PubMed]
 - Upadhyaya, A.; Sankhla, D.; Davis, T.D.; Sankhla, N.; Smith, B. Effect of paclobutrazol on the activities of some enzymes of activated oxygen metabolism and lipid peroxidation in senescing soybean leaves. J. Plant Physiol. 1985, 121, 453–461. [Google Scholar] [CrossRef]
 - Maehly, A. The assay of catalases and peroxidases. In Methods of Biochemical Analysis; Willey: Hoboken, NJ, USA, 1954; pp. 357–424. [Google Scholar]
 - Xue, L.; Ren, H.; Long, W.; Leng, X.; Wang, J.; Yao, X.; Li, S. Ecophysiological responses of calcicole Cyclobalanopsis gliauca (Thunb.) oerst. to drought stress and calcium supply. Forests 2018, 9, 667. [Google Scholar] [CrossRef]
 - Li, P.; Bi, Z.; Sun, C.; Qin, T.; Liang, J.; Wang, Y.; Xu, D.; Liu, Y.; Zhang, J.; Bai, J. Key genes mining of DNA methylation involved in regulating drought stress response in potato. Acta Agron. Sin. 2021, 47, 599–612. [Google Scholar] [CrossRef]
 - Li, P.; Bi, Z.; Liang, J.; Sun, C.; Zhang, J.; Bai, J. DNA methylation involved in regulating drought stress response of potato. Acta Agron. Sin. 2019, 45, 1595–1603. [Google Scholar]
 - Zhenzhen, B.; Yihao, W.; Pengcheng, L.; Chengju, L.; Yindu, L.; Chao, S.; Panfeng, Y.; Yuhui, L.; Zhen, L.; Jiangping, B. Transcriptomics Analysis Reveals a More Refined Regulation Mechanism of Methylation in a Drought-Tolerant Variety of Potato. Genes 2022, 13, 2260. [Google Scholar] [CrossRef] [PubMed]
 - Labrou, N.E.; Papageorgiou, A.C.; Pavli, O.; Flemetakis, E. Plant GSTome: Structure and functional role in xenome network and plant stress response. Curr. Opin. Biotechnol. 2015, 32, 186–194. [Google Scholar] [CrossRef] [PubMed]
 - Nianiou-Obeidat, I.; Madesis, P.; Kissoudis, C.; Voulgari, G.; Chronopoulou, E.; Tsaftaris, A.; Labrou, N.E. Plant glutathione transferase-mediated stress tolerance: Functions and biotechnological applications. Plant Cell Rep. 2017, 36, 791–805. [Google Scholar] [CrossRef] [PubMed]
 - YuWen, Z.; ChuKun, W.; XiaoYu, H.; DaGang, H. Genome-Wide Analysis of the Glutathione S-Transferase (GST) Genes and Functional Identification of MdGSTU12 Reveals the Involvement in the Regulation of Anthocyanin Accumulation in Apple. Genes 2021, 12, 1733. [Google Scholar] [CrossRef] [PubMed]
 - Gu, K.-D.; Wang, C.-K.; Hu, D.-G.; Hao, Y.-J. How do anthocyanins paint our horticultural products? Sci. Hortic. 2019, 249, 257–262. [Google Scholar] [CrossRef]
 - Frova, C. Glutathione transferases in the genomics era: New insights and perspectives. Biomol. Eng. 2006, 23, 149–169. [Google Scholar] [CrossRef] [PubMed]
 - Xu, G.; Guo, C.; Shan, H.; Kong, H. Divergence of duplicate genes in exon-intron structure. Proc. Natl. Acad. Sci. USA 2012, 109, 1187–1192. [Google Scholar] [CrossRef]
 - Islam, S.; Sajib, S.D.; Jui, Z.S.; Arabia, S.; Islam, T.; Ghosh, A. Genome-wide identification of glutathione S-transferase gene family in pepper, its classification, and expression profiling under different anatomical and environmental conditions. Sci. Rep. 2019, 9, 9101. [Google Scholar] [CrossRef] [PubMed]
 - Hu, X.; Zheng, T.; Chen, W.; Duan, H.; Yuan, Z.; An, J.; Zhang, H.; Liu, X. Genome-wide identification and expression analysis of the GST gene family of Betula platyphylla. J. For. Res. 2024, 35, 123. [Google Scholar] [CrossRef]
 - Yuan, S.; Yang, C.; Zheng, B.; Ni, J.; Zhou, K.; Qian, M.; Wu, H. Genome-Wide Identification and Expression Analysis of GST Genes during Light-Induced Anthocyanin Biosynthesis in Mango (Mangifera indica L.). Plants 2024, 13, 2726. [Google Scholar] [CrossRef]
 - Vision, T.J.; Brown, D.G.; Tanksley, S.D. The Origins of Genomic Duplications in Arabidopsis. Science 2000, 290, 2114–2117. [Google Scholar] [CrossRef] [PubMed]
 - Huang, F.; Ye, X.; Wang, Z.; Ding, Y.; Cai, X.; Yu, L.; Waseem, M.; Abbas, F.; Ashraf, U.; Chen, X.; et al. The prohibitins (PHB) gene family in tomato: Bioinformatic identification and expression analysis under abiotic and phytohormone stresses. GM Crops Food 2021, 12, 530–550. [Google Scholar] [CrossRef]
 - Islam, S.; Rahman, I.A.; Islam, T.; Ghosh, A. Genome-wide identification and expression analysis of glutathione S-transferase gene family in tomato: Gaining an insight to their physiological and stress-specific roles. PLoS ONE 2017, 12, e0187504. [Google Scholar] [CrossRef] [PubMed]
 - Ma, L.; Zhang, Y.; Meng, Q.; Shi, F.; Liu, J.; Li, Y. Molecular cloning, identification of GSTs family in sunflower and their regulatory roles in biotic and abiotic stress. World J. Microbiol. Biotechnol. 2018, 34, 109. [Google Scholar] [CrossRef] [PubMed]
 - Hernandez-Garcia, C.M.; Finer, J.J. Identification and validation of promoters and cis -acting regulatory elements. Plant Sci. 2014, 217, 109–119. [Google Scholar] [CrossRef] [PubMed]
 - Chen, L.-Y.; Xin, Y.; Wai, C.M.; Liu, J.; Ming, R. The role of cis-elements in the evolution of crassulacean acid metabolism photosynthesis. Hortic. Res. 2020, 7, 5. [Google Scholar] [CrossRef]
 - Sharma, R.; Sahoo, A.; Devendran, R.; Jain, M. Over-expression of a rice tau class glutathione s-transferase gene improves tolerance to salinity and oxidative stresses in Arabidopsis. PLoS ONE 2014, 9, e92900. [Google Scholar] [CrossRef] [PubMed]
 - Xu, J.; Xing, X.-J.; Tian, Y.-S.; Peng, R.-H.; Xue, Y.; Zhao, W.; Yao, Q.-H. Transgenic Arabidopsis Plants Expressing Tomato Glutathione S-Transferase Showed Enhanced Resistance to Salt and Drought Stress. PLoS ONE 2017, 10, e0136960. [Google Scholar] [CrossRef] [PubMed]
 - Yang, G.; Wang, Y.; Xia, D.; Gao, C.; Wang, C.; Yang, C. Overexpression of a GST gene (ThGSTZ1) from Tamarix hispida improves drought and salinity tolerance by enhancing the ability to scavenge reactive oxygen species. Plant Cell Tissue Organ Cult. 2014, 117, 99–112. [Google Scholar] [CrossRef]
 - Chen, J.-H.; Jiang, H.-W.; Hsieh, E.-J.; Chen, H.-Y.; Chien, C.-T.; Hsieh, H.-L.; Lin, T.-P. Drought and Salt Stress Tolerance of an Arabidopsis Glutathione S-Transferase U17 Knockout Mutant Are Attributed to the Combined Effect of Glutathione and Abscisic Acid. Plant Physiol. 2012, 158, 340–351. [Google Scholar] [CrossRef] [PubMed]
 - George, S.; Venkataraman, G.; Parida, A. A chloroplast-localized and auxin-induced glutathione S-transferase from phreatophyte Prosopis juliflora confer drought tolerance on tobacco. J. Plant Physiol. 2009, 167, 311–318. [Google Scholar] [CrossRef]
 - Ji, W.; Zhu, Y.; Li, Y.; Yang, L.; Zhao, X.; Cai, H.; Bai, X. Over-expression of a glutathione S-transferase gene, GsGST, from wild soybean (Glycine soja) enhances drought and salt tolerance in transgenic tobacco. Biotechnol. Lett. 2010, 32, 1173–1179. [Google Scholar] [CrossRef]
 - Liu, D.; Liu, Y.; Rao, J.; Wang, G.; Li, H.; Ge, F.; Chen, C. Overexpression of the Glutathione S-Transferase Gene from Pyrus pyrifolia Fruit Improves Tolerance to Abiotic Stress in Transgenic Tobacco Plants. Mol. Biol. 2013, 47, 515–523. [Google Scholar] [CrossRef]
 - Yang, G.; Xu, Z.; Peng, S.; Sun, Y.; Jia, C.; Zhai, M. In planta characterization of a tau class glutathione S-transferase gene from Juglans regia (JrGSTTau1) involved in chilling tolerance. Plant Cell Rep. 2016, 35, 681–692. [Google Scholar] [CrossRef] [PubMed]
 - Wang, T.; Zhang, D.; Chen, L.; Wang, J.; Zhang, W.-H. Genome-wide analysis of the Glutathione S-Transferase family in wild Medicago ruthenica and drought-tolerant breeding application of MruGSTU39 gene in cultivated alfalfa. Theor. Appl. Genet. 2021, 135, 863–864. [Google Scholar] [CrossRef]
 - Lu, X.; Liu, Y.; Xu, J.; Liu, X.; Chi, Y.; Li, R.; Mo, L.; Shi, L.; Liang, S.; Yu, W.; et al. Recent progress of molecular mechanisms of DNA methylation in plant response to abiotic stress. Environ. Exp. Bot. 2024, 218, 105599. [Google Scholar] [CrossRef]
 - Fei, Y.; Xue, Y.; Du, P.; Yang, S.; Deng, X. Expression analysis and promoter methylation under osmotic and salinity stress of TaGAPC1 in wheat (Triticum aestivum L). Protoplasma 2017, 254, 987–996. [Google Scholar] [CrossRef]
 - Mao, H.; Wang, H.; Liu, S.; Li, Z.; Yang, X.; Yan, J.; Li, J.; Tran, L.S.P.; Qin, F. A transposable element in a NAC gene is associated with drought tolerance in maize seedlings. Nat. Commun. 2015, 6, 8326. [Google Scholar] [CrossRef] [PubMed]
 - Tan, M.P. Analysis of DNA methylation of maize in response to osmotic and salt stress based on methylation-sensitive amplified polymorphism. Plant Physiol. Biochem. 2010, 48, 21–26. [Google Scholar] [CrossRef] [PubMed]
 







Disclaimer/Publisher’s Note: The statements, opinions and data contained in all publications are solely those of the individual author(s) and contributor(s) and not of MDPI and/or the editor(s). MDPI and/or the editor(s) disclaim responsibility for any injury to people or property resulting from any ideas, methods, instructions or products referred to in the content.  | 
© 2025 by the authors. Licensee MDPI, Basel, Switzerland. This article is an open access article distributed under the terms and conditions of the Creative Commons Attribution (CC BY) license (https://creativecommons.org/licenses/by/4.0/).
Share and Cite
Shi, N.; Fan, Y.; Zhang, W.; Zhang, Z.; Pu, Z.; Li, Z.; Hu, L.; Bi, Z.; Yao, P.; Liu, Y.; et al. Genome-Wide Identification and Drought-Responsive Functional Analysis of the GST Gene Family in Potato (Solanum tuberosum L.). Antioxidants 2025, 14, 239. https://doi.org/10.3390/antiox14020239
Shi N, Fan Y, Zhang W, Zhang Z, Pu Z, Li Z, Hu L, Bi Z, Yao P, Liu Y, et al. Genome-Wide Identification and Drought-Responsive Functional Analysis of the GST Gene Family in Potato (Solanum tuberosum L.). Antioxidants. 2025; 14(2):239. https://doi.org/10.3390/antiox14020239
Chicago/Turabian StyleShi, Ningfan, Youfang Fan, Wei Zhang, Zhijia Zhang, Zhuanfang Pu, Zhongrun Li, Lijun Hu, Zhenzhen Bi, Panfeng Yao, Yuhui Liu, and et al. 2025. "Genome-Wide Identification and Drought-Responsive Functional Analysis of the GST Gene Family in Potato (Solanum tuberosum L.)" Antioxidants 14, no. 2: 239. https://doi.org/10.3390/antiox14020239
APA StyleShi, N., Fan, Y., Zhang, W., Zhang, Z., Pu, Z., Li, Z., Hu, L., Bi, Z., Yao, P., Liu, Y., Liu, Z., Bai, J., & Sun, C. (2025). Genome-Wide Identification and Drought-Responsive Functional Analysis of the GST Gene Family in Potato (Solanum tuberosum L.). Antioxidants, 14(2), 239. https://doi.org/10.3390/antiox14020239
        
