Exogenous Ergothioneine and Glutathione Limit Postharvest Senescence of Arugula
Abstract
1. Introduction
2. Materials and Methods
2.1. Plant Material, Postharvest Antioxidant Dip Treatments, and Storage
2.2. Leaf Quality Assessments
2.3. Metabolite Analyses
2.3.1. Chlorophyll and Carotenoid Determinations
2.3.2. HPLC Analysis of Leaf Ergothioneine
2.3.3. Spectrophotometric Analysis of Glutathione Metabolites via Enzyme-Coupled Assays
2.3.4. HPLC Analysis of Leaf Ascorbate Metabolites
2.4. Statistical Analyses
3. Results and Discussion
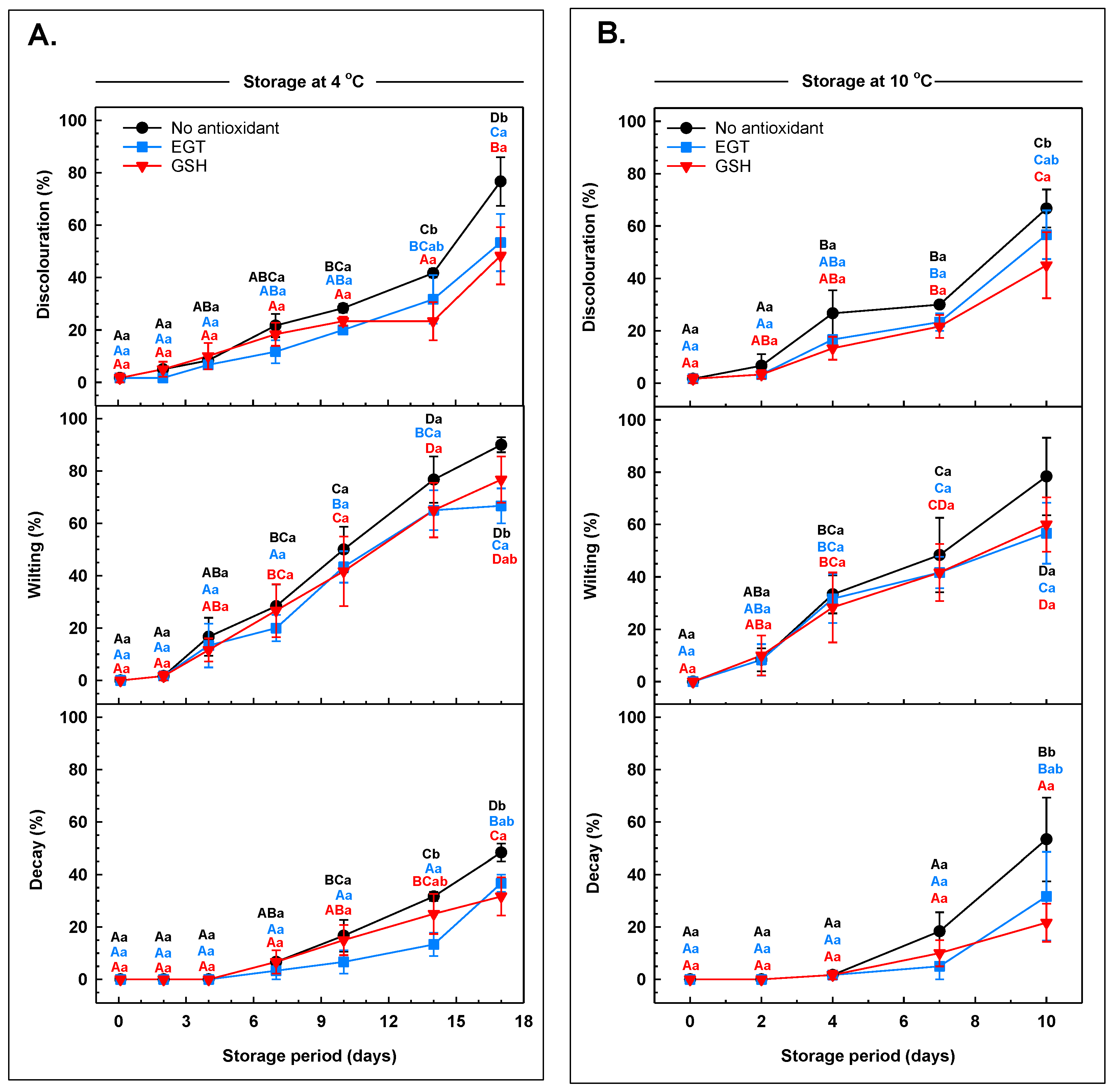
3.1. Effect of Antioxidant Dip Treatments and Storage Temperature on the Senescence and Quality of Arugula
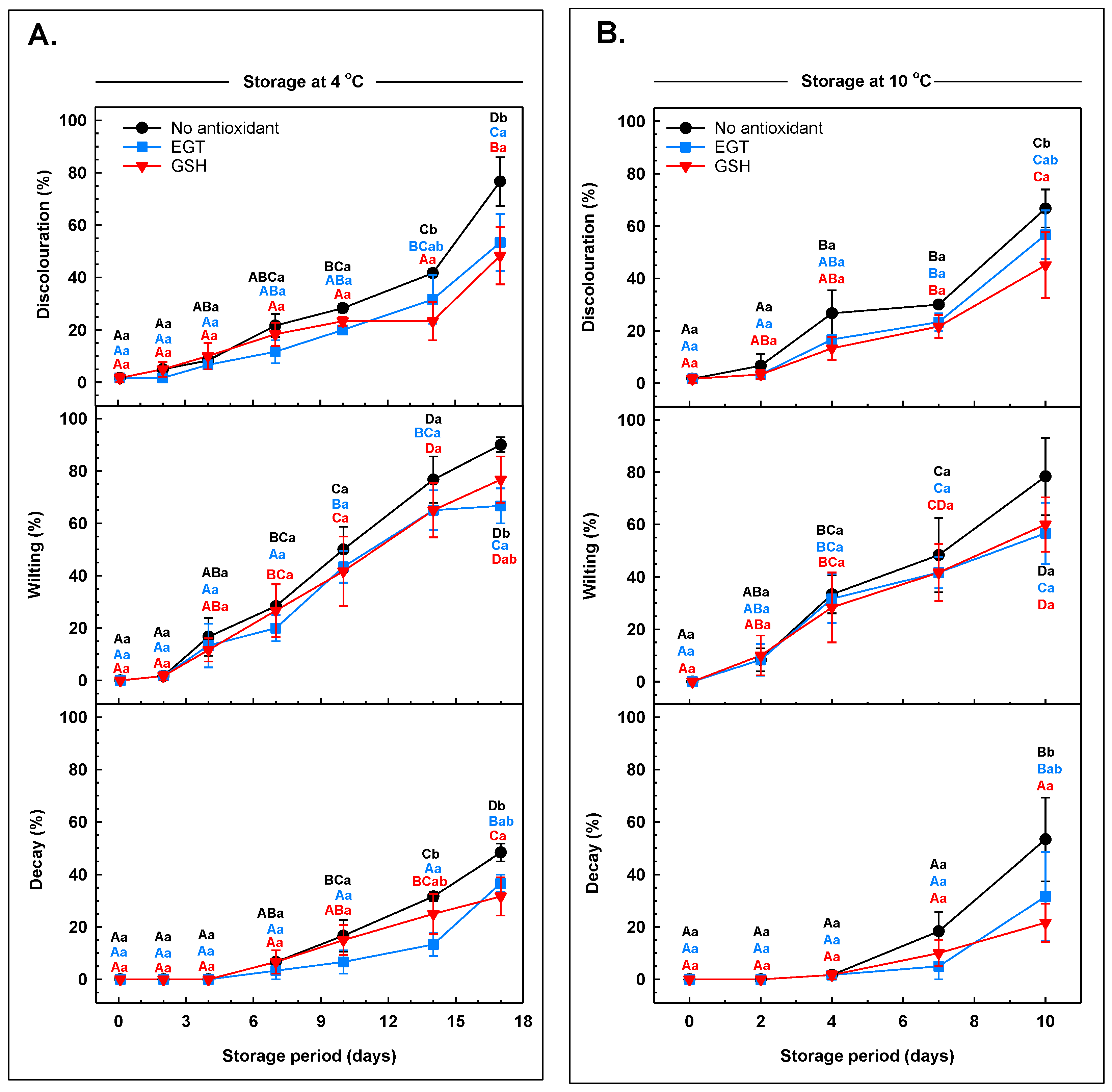
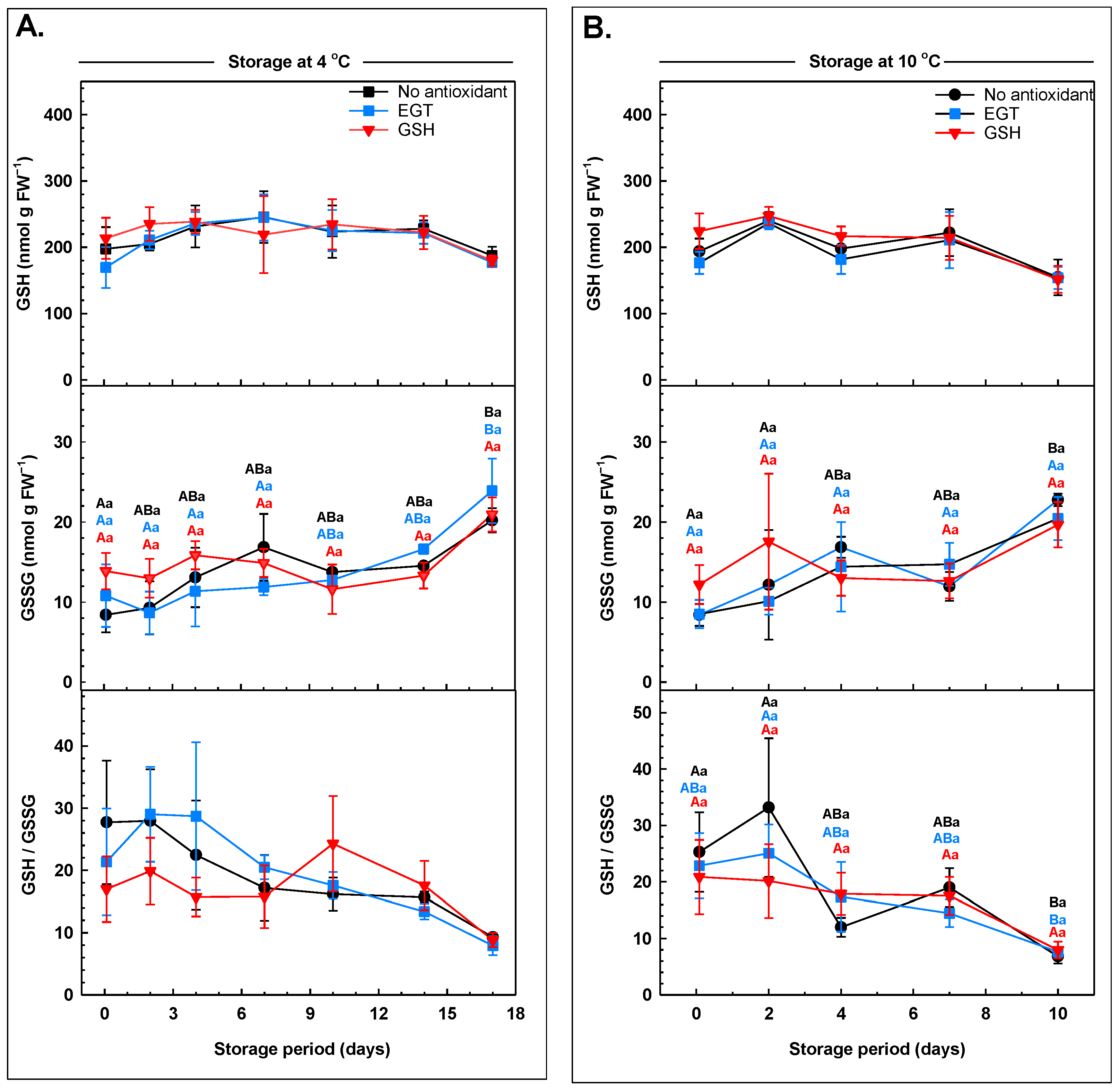
3.2. Effect of Antioxidant Dip Treatments and Storage Temperature on Antioxidant Profiles of Arugula Leaves
4. Conclusions
Supplementary Materials
Author Contributions
Funding
Data Availability Statement
Acknowledgments
Conflicts of Interest
References
- Bell, L.; Wagstaff, C. Rocket science: A review of phytochemical & health-related research in Eruca & Diplotaxis species. Food Chem. X 2019, 1, 100002. [Google Scholar] [CrossRef] [PubMed]
- Di Gioia, F.; Renna, M.; Santamaria, P. Sprouts, microgreens and “baby leaf” vegetables. In Minimally Processed Refrigerated Fruits and Vegetables; Yildiz, F., Wiley, R., Eds.; Food Engineering Series; Springer: Boston, MA, USA, 2017; pp. 403–432. [Google Scholar] [CrossRef]
- Ampim, P.A.Y.; Obeng, E.; Olvera-Gonzalez, E. Indoor vegetable production: An alternative approach to increasing cultivation. Plants 2022, 11, 2843. [Google Scholar] [CrossRef] [PubMed]
- Wright, K.P. Salad greens. In The Commercial Storage of Fruits, Vegetables, and Florist and Nursery Stocks; Gross, K.C., Wang, C.Y., Saltveit, M., Eds.; U.S. Department of Agriculture, Agricultural Research Service: Washington, DC, USA, 2016; Agriculture Handbook 66; pp. 538–540. [Google Scholar]
- Clarkson, G.J.J.; Rothwell, S.D.; Taylor, G. End of day harvest extends shelf life. HortScience 2005, 40, 1431–1435. [Google Scholar] [CrossRef]
- Koukounaras, A.; Siomos, A.S.; Sfakiotakis, E. Postharvest CO2 and ethylene production and quality of rocket (Eruca sativa Mill.) leaves as affected by leaf age and storage temperature. Postharvest Biol. Technol. 2007, 46, 167–173. [Google Scholar] [CrossRef]
- Nunes, M.C.N.; Emond, J.P.; Rauth, M.; Dea, S.; Chau, K.V. Environmental conditions encountered during typical consumer retail display affect fruit and vegetable quality and waste. Postharvest Biol. Technol. 2009, 51, 232–241. [Google Scholar] [CrossRef]
- Porat, R.; Lichter, A.; Terry, L.A.; Harker, R.; Buzby, J. Postharvest losses of fruit and vegetables during retail and in consumers’ homes: Quantifications, causes, and means of prevention. Postharvest Biol. Technol. 2018, 139, 135–149. [Google Scholar] [CrossRef]
- Hall, M.K.D.; Jobling, J.J.; Rogers, G.S. Influence of storage temperature on the seasonal shelf life of perennial wall rocket and annual garden rocket. Int. J. Veg. Sci. 2013, 19, 83–95. [Google Scholar] [CrossRef]
- Koukounaras, A. Senescence and quality of green leafy vegetables. Stewart Postharvest Rev. 2009, 5, 1–5. [Google Scholar] [CrossRef]
- Løkke, M.M.; Seefeldt, H.F.; Edelenbos, M. Freshness and sensory quality of packaged wild rocket. Postharvest Biol. Technol. 2012, 73, 99–106. [Google Scholar] [CrossRef]
- Tsironi, T.; Dermesonlouoglou, E.; Giannoglou, M.; Gogou, E.; Katsaros, G.; Taoukis, P. Shelf-life prediction models for ready-to-eat fresh cut salads: Testing in real cold chain. Int. J. Food Microbiol. 2017, 240, 131–140. [Google Scholar] [CrossRef]
- Amodio, M.L.; Derossi, A.; Mastrandrea, L.; Colelli, G. A study of the estimated shelf life of fresh rocket using a non-linear model. J. Food Eng. 2015, 150, 19–28. [Google Scholar] [CrossRef]
- Mastrandrea, L.; Amodio, M.L.; de Chiara, M.L.V.; Pati, S.; Colelli, G. Effect of temperature abuse and improper atmosphere packaging on volatile profile and quality of rocket leaves. Food Packaging Shelf. 2017, 14, 59–65. [Google Scholar] [CrossRef]
- Raffo, A.; Aguzzi, A.; Baiamonte, I.; Buonocore, P.; Nicoli, S.F.; Gambelli, L.; Moneta, E.; Nardo, N.; Peparaio, M.; Ruggeri, S.; et al. Comparison of nutritional and sensory quality of processed and unprocessed wild rocket leaves during cold storage. Eur. Food Res. Technol. 2022, 248, 2737–2752. [Google Scholar] [CrossRef]
- Meitha, K.; Pramesti, Y.; Suhandono, S. Reactive oxygen species and antioxidants in postharvest vegetables and fruits. Int. J. Food Sci. 2020, 2020, 8817778. [Google Scholar] [CrossRef] [PubMed]
- Lum, G.B.; Shelp, B.J.; DeEll, J.R.; Bozzo, G.G. Oxidative metabolism is associated with physiological disorders in fruits stored under multiple environmental stresses. Plant Sci. 2016, 245, 143–152. [Google Scholar] [CrossRef] [PubMed]
- Noctor, G.; Mhamdi, A.; Chaouch, S.; Han, Y.; Neukermans, J.; Marquez-Garcia, B.; Queval, G.; Foyer, C.H. Glutathione in plants: An integrated overview. Plant Cell Environ. 2012, 35, 454–484. [Google Scholar] [CrossRef]
- Tan, X.L.; Zhao, Y.T.; Shan, W.; Kuang, J.F.; Lu, W.J.; Su, X.G.; Tao, N.G.; Lakshmanan, P.; Chen, J.Y. Melatonin delays leaf senescence of postharvest Chinese flowering cabbage through ROS homeostasis. Food Res. Int. 2020, 138, 109790. [Google Scholar] [CrossRef]
- Song, L.; Liu, S.; Yu, H.; Yu, Z. Exogenous melatonin ameliorates yellowing of postharvest pak choi (Brassica rapa subsp. chinensis) by modulating chlorophyll catabolism and antioxidant system during storage at 20 °C. Sci. Hortic. 2023, 311, 111808. [Google Scholar] [CrossRef]
- Guo, Z.; Liu, H.; Chen, X.; Huang, L.; Fan, J.; Zhou, J.; Chang, X.; Du, B.; Chang, X. Modified-atmosphere packaging maintains the quality of postharvest whole lettuce (Lactuca sativa L. Grand Rapid) by mediating the dynamic equilibrium of the electron transport chain and protecting mitochondrial structure and function. Postharvest Biol. Technol. 2019, 147, 206–213. [Google Scholar] [CrossRef]
- Yao, M.; Ge, W.; Zhou, Q.; Zhou, X.; Luo, M.; Zhao, Y.; Wei, B.; Ji, S. Exogenous glutathione alleviates chilling injury in postharvest bell pepper by modulating the ascorbate-glutathione (AsA-GSH) cycle. Food Chem. 2021, 352, 129458. [Google Scholar] [CrossRef]
- Li, X.; Bao, Z.; Chen, Y.; Lan, Q.; Song, C.; Shi, L.; Chen, W.; Cao, S.; Yang, Z.; Zheng, Q. Exogenous glutathione modulates redox homeostasis in okra (Abelmoschus esculentus) during storage. Postharvest Biol. Technol. 2023, 195, 112145. [Google Scholar] [CrossRef]
- Ali, S.; Khan, A.S.; Nawaz, A.; Naz, S.; Ejaz, S.; Ullah, S. Glutathione application delays surface browning of fresh-cut lotus (Nelumbo nucifera Gaertn.) root slices during low temperature storage. Postharvest Biol. Technol. 2023, 200, 112311. [Google Scholar] [CrossRef]
- Cheah, I.K.; Halliwell, B. Ergothioneine; antioxidant potential, physiological function and role in disease. Biochim. Biophys. Acta Mol. Basis Dis. 2012, 1822, 784–793. [Google Scholar] [CrossRef] [PubMed]
- Borodina, I.; Kenny, L.C.; McCarthy, C.M.; Paramasivan, K.; Pretorius, E.; Roberts, T.J.; van der Hoek, S.A.; Kell, D.B. The biology of ergothioneine, an antioxidant nutraceutical. Nutr. Res. Rev. 2020, 33, 190–217. [Google Scholar] [CrossRef]
- Sivakumar, D.; Bozzo, G. Mushroom biomass waste is a source of the antioxidants ergothioneine and glutathione. Sustainability 2023, 15, 11961. [Google Scholar] [CrossRef]
- Encarnacion, A.B.; Fagutao, F.; Jintasataporn, O.; Worawattanamateekul, W.; Hirono, I.; Ohshima, T. Application of ergothioneine-rich extract from an edible mushroom Flammulina velutipes for melanosis prevention in shrimp, Penaeus monodon and Litopenaeus vannamei. Food Res. Int. 2012, 45, 232–237. [Google Scholar] [CrossRef]
- Encarnacion, A.B.; Fagutao, F.; Shozen, K.I.; Hirono, I.; Ohshima, T. Biochemical intervention of ergothioneine-rich edible mushroom (Flammulina velutipes) extract inhibits melanosis in crab (Chionoecetes japonicus). Food Chem. 2011, 127, 1594–1599. [Google Scholar] [CrossRef]
- Bao, H.N.D.; Ushio, H.; Ohshima, T. Antioxidative activity and antidiscoloration efficacy of ergothioneine in mushroom (Flammulina velutipes) extract added to beef and fish meats. J. Agric. Food Chem. 2008, 56, 10032–10040. [Google Scholar] [CrossRef]
- Cai, L.; Li, X.; Wu, X.; Lv, Y.; Liu, X.; Li, J. Effect of chitosan coating enriched with ergothioneine on quality changes of Japanese sea bass (Lateolabrax japonicas). Food Bioprocess Technol. 2014, 7, 2281–2290. [Google Scholar] [CrossRef]
- Qian, X.; Hou, Q.; Liu, J.; Huang, Q.; Jin, Z.; Zhou, Q.; Jiang, T.; Zheng, X. Inhibition of browning and shelf life extension of button mushroom (Agaricus bisporus) by ergothioneine treatment. Sci. Hortic. 2021, 288, 110385. [Google Scholar] [CrossRef]
- Buera, M.P.; Lozano, R.D.; Petriella, C. Definition of colour in the non enzymatic browning process. Die. Farbe 1986, 32, 318–322. [Google Scholar]
- Jones-Baumgardt, C.; Ying, Q.; Zheng, Y.; Bozzo, G.G. The growth and morphology of microgreens is associated with modified ascorbate and anthocyanin profiles in response to the intensity of sole-source light-emitting diodes. Can. J. Plant Sci. 2021, 101, 212–228. [Google Scholar] [CrossRef]
- Lichtenthaler, H.K.; Buschmann, C. Chlorophylls and carotenoids: Measurement and characterization by UV-VIS spectroscopy. Curr. Protoc. Food Anal. Chem. 2001, 1, F4.3.1–F4.3.8. [Google Scholar] [CrossRef]
- Flaherty, E.J.; Lum, G.B.; DeEll, J.R.; Subedi, S.; Shelp, B.J.; Bozzo, G.G. Metabolic alterations in postharvest pear fruit as influenced by 1-methylcyclopropene and controlled atmosphere storage. J. Agric. Food Chem. 2018, 66, 12989–12999. [Google Scholar] [CrossRef]
- R Core Team. R: A Language and Environment for Statistical Computing; R Foundation for Statistical Computing: Vienna, Austria, 2023; Available online: https://www.R-project.org/ (accessed on 7 June 2024).
- Agüero, M.V.; Barg, M.V.; Yommi, A.; Camelo, A.; Roura, S.I. Postharvest changes in water status and chlorophyll content of lettuce (Lactuca sativa L.) and their relationship with overall visual quality. J. Food Sci. 2008, 73, S47–S55. [Google Scholar] [CrossRef]
- Medina, M.S.; Tudela, J.A.; Marín, A.; Allende, A.; Gil, M.I. Short postharvest storage under low relative humidity improves quality and shelf life of minimally processed baby spinach (Spinacia oleracea L.). Postharvest Biol. Technol. 2012, 67, 1–9. [Google Scholar] [CrossRef]
- Liu, J.D.; Goodspeed, D.; Sheng, Z.; Li, B.; Yang, Y.; Kliebenstein, D.J.; Braam, J. Keeping the rhythm: Light/dark cycles during postharvest storage preserve the tissue integrity and nutritional content of leafy plants. BMC Plant Biol. 2015, 15, 92. [Google Scholar] [CrossRef] [PubMed]
- Chen, Y.; Wu, S.; Pan, S. Effect of water-soluble chitosan in combination with glutathione on the quality of pen shell adductor muscles. Int. J. Biol. Macromol. 2015, 72, 1250–1253. [Google Scholar] [CrossRef]
- Cheng, Y.; Hu, J.; Wu, S. Chitosan based coatings extend the shelf-life of beef slices during refrigerated storage. LWT–Food Sci. Technol. 2021, 138, 110694. [Google Scholar] [CrossRef]
- Able, A.J.; Wong, L.S.; Prasad, A.; O’Hare, T.J. The physiology of senescence in detached pak choy leaves (Brassica rapa var. chinensis) during storage at different temperatures. Postharvest Biol. Technol. 2005, 35, 271–278. [Google Scholar] [CrossRef]
- Belisle, C.E.; Sargent, S.A.; Brecht, J.K.; Sandoya, G.V.; Sims, C.A. Accelerated shelf-life testing to predict quality loss in romaine-type lettuce. HortTechnology 2021, 31, 490–499. [Google Scholar] [CrossRef]
- Degl’Innocenti, E.; Pardossi, A.; Tognoni, F.; Guidi, L. Physiological basis of sensitivity to enzymatic browning in ‘lettuce’, ‘escarole’ and ‘rocket salad’ when stored as fresh-cut products. Food Chem. 2007, 104, 209–215. [Google Scholar] [CrossRef]
- Tilley, A.; McHenry, M.P.; McHenry, J.A.; Solah, V.; Bayliss, K. Enzymatic browning: The role of substrates in polyphenol oxidase mediated browning. Curr. Res. Food Sci. 2023, 7, 100623. [Google Scholar] [CrossRef]
- Landi, M.; Degl’Innocenti, E.; Guglielminetti, L.; Guidi, L. Role of ascorbic acid in the inhibition of polyphenol oxidase and the prevention of browning in different browning-sensitive Lactuca sativa var. capitata (L.) and Eruca sativa (Mill.) stored as fresh-cut produce. J. Sci. Food Agric. 2013, 93, 1814–1819. [Google Scholar] [CrossRef]
- Nguyen, T.T.H.; Nguyen, N.T.L.; Nguyen, T.T.; Nguyen, H.C. Enhancement of antioxidant activity and improvement of the bright color of fermented soybean using ergothioneine biosynthesized by Aspergillus oryzae. Legume Sci. 2023, 5, e165. [Google Scholar] [CrossRef]
- Batziakas, K.G.; Singh, S.; Ayub, K.; Kang, Q.; Brecht, J.K.; Rivard, C.L.; Pliakoni, E.D. Reducing postharvest losses of spinach stored at nonoptimum temperatures with the implementation of passive modified atmosphere packaging. HortScience 2020, 55, 326–335. [Google Scholar] [CrossRef]
- Ansah, F.A.; Amodio, M.L.; Colelli, G. Quality of fresh-cut products as affected by harvest and postharvest operations. J. Sci. Food Agric. 2018, 98, 3614–3626. [Google Scholar] [CrossRef]
- Ahlawat, Y.; Li, S.; Timilsena, P.R.; Pliakoni, E.D.; Brecht, J.K.; Liu, T. Identification of senescence-associated genes in broccoli (Brassica oleracea) following harvest. Postharvest Biol. Technol. 2022, 183, 111729. [Google Scholar] [CrossRef]
- Kramchote, S.; Srilaong, V.; Wongs-Aree, C.; Kanlayanarat, S. Low temperature storage maintains postharvest quality of cabbage (Brassica oleraceae var. capitata L.) in supply chain. Int. Food Res. J. 2012, 19, 759–763. [Google Scholar]
- Rinaldi, R.; Amodio, M.L.; Colelli, G. Effect of temperature and exogenous ethylene on the physiological and quality traits of purslane (Portulaca oleracea L.) leaves during storage. Postharvest Biol. Technol. 2010, 58, 147–156. [Google Scholar] [CrossRef]
- Kou, L.; Luo, Y.; Park, E.; Turner, E.R.; Barczak, A.; Jurick II, W.M. Temperature abuse timing affects the rate of quality deterioration of commercially packaged ready-to-eat baby spinach. Part I: Sensory analysis and selected quality attributes. Postharvest Biol. Technol. 2014, 91, 96–103. [Google Scholar] [CrossRef]
- Hörtensteiner, S. The pathway of chlorophyll degradation: Catabolites, enzymes and pathway regulation. In Plastid Development in Leaves during Growth and Senescence. Advances in Photosynthesis and Respiration; Biswal, B., Krupinska, K., Biswal, U.C., Eds.; Springer: Dordrecht, The Netherlands, 2013; Volume 36, pp. 363–392. [Google Scholar] [CrossRef]
- Luo, F.; Cheng, S.C.; Cai, J.H.; Wei, B.D.; Zhou, X.; Zhou, Q.; Zhao, Y.B.; Ji, S.J. Chlorophyll degradation and carotenoid biosynthetic pathways: Gene expression and pigment content in broccoli during yellowing. Food Chem. 2019, 297, 124964. [Google Scholar] [CrossRef] [PubMed]
- Schoefs, B. Chlorophyll and carotenoid analysis in food products. Properties of the pigments and methods of analysis. Trends Food Sci. Technol. 2002, 13, 361–371. [Google Scholar] [CrossRef]
- Roiser, M.H.; Müller, T.; Kräutler, B. Colorless chlorophyll catabolites in senescent florets of broccoli (Brassica oleracea var. italica). J. Agric. Food Chem. 2015, 63, 1385–1392. [Google Scholar] [CrossRef]
- Luo, F.; Cai, J.H.; Kong, X.M.; Zhou, Q.; Zhou, X.; Zhao, Y.B.; Ji, S.J. Transcriptome profiling reveals the roles of pigment mechanisms in postharvest broccoli yellowing. Hortic. Res. 2019, 6, 74. [Google Scholar] [CrossRef] [PubMed]
- Wu, C.; Cao, S.; Xie, K.; Chi, Z.; Wang, J.; Wang, H.; Wei, Y.; Shao, X.; Zhang, C.; Xu, F.; et al. Melatonin delays yellowing of broccoli during storage by regulating chlorophyll catabolism and maintaining chloroplast ultrastructure. Postharvest Biol. Technol. 2021, 172, 111378. [Google Scholar] [CrossRef]
- Kopas-Lane, L.M.; Warthesen, J.J. Carotenoid photostability in raw spinach and carrots during cold storage. J. Food Sci. 1995, 60, 773–776. [Google Scholar] [CrossRef]
- Gogo, E.O.; Opiyo, A.M.; Hassenberg, K.; Ulrichs, C.; Huyskens-Keil, S. Postharvest UV-C treatment for extending shelf life and improving nutritional quality of African indigenous leafy vegetables. Postharvest Biol. Technol. 2017, 129, 107–117. [Google Scholar] [CrossRef]
- Mudau, A.R.; Nkomo, M.M.; Soundy, P.; Araya, H.T.; Ngezimana, W.; Mudau, F.N. Influence of postharvest storage temperature and duration on quality of baby spinach. HortTechnology 2015, 25, 665–670. [Google Scholar] [CrossRef]
- Pahila, J.; Ishikawa, Y.; Ohshima, T. Effects of ergothioneine-rich mushroom extract on the oxidative stability of astaxanthin in liposomes. J. Agric. Food Chem. 2019, 67, 3491–3501. [Google Scholar] [CrossRef]
- Siddiqui, M.N.; Mostofa, M.G.; Rahman, M.M.; Tahjib-Ul-Arif, M.; Das, A.K.; Mohi-Ud-Din, M.; Rohman, M.M.; Hafiz, H.R.; Ansary, M.M.U.; Tran, L.S.P. Glutathione improves rice tolerance to submergence: Insights into its physiological and biochemical mechanisms. J. Biotechnol. 2021, 325, 109–118. [Google Scholar] [CrossRef] [PubMed]
- Carrara, J.E.; Lehotay, S.J.; Lightfield, A.R.; Sun, D.; Richie Jr, J.P.; Smith, A.H.; Heller, W.P. Linking soil health to human health: Arbuscular mycorrhizae play a key role in plant uptake of the antioxidant ergothioneine from soils. Plants People Planet 2023, 5, 449–458. [Google Scholar] [CrossRef]
- Nguyen, T.H.; Nagasaka, R.; Ohshima, T. Effects of extraction solvents, cooking procedures and storage conditions on the contents of ergothioneine and phenolic compounds and antioxidative capacity of the cultivated mushroom Flammulina velutipes. Int. J. Food Sci. Tech. 2012, 47, 1193–1205. [Google Scholar] [CrossRef]
- Kim, Y.; Lee, U.; Eo, H.J. Influence of storage temperature on levels of bioactive compounds in shiitake mushrooms (Lentinula edodes). Mycobiology 2023, 51, 445–451. [Google Scholar] [CrossRef]
- Apparoo, Y.; Phan, C.W.; Kuppusamy, U.R.; Sabaratnam, V. Ergothioneine and its prospects as an anti-ageing compound. Exp. Gerontol. 2022, 170, 111982. [Google Scholar] [CrossRef] [PubMed]
- Ando, C.; Morimitsu, Y. A proposed antioxidation mechanism of ergothioneine based on the chemically derived oxidation product hercynine and further decomposition products. Biosci. Biotechnol. Biochem. 2021, 85, 1175–1182. [Google Scholar] [CrossRef] [PubMed]
- Oumari, M.; Goldfuss, B.; Stoffels, C.; Schmalz, H.G.; Gründemann, D. Regeneration of ergothioneine after reaction with singlet oxygen. Free Radic. Biol. Med. 2019, 134, 498–504. [Google Scholar] [CrossRef]
- Jenny, K.A.; Mose, G.; Haupt, D.J.; Hondal, R.J. Oxidized forms of ergothioneine are substrates for mammalian thioredoxin reductase. Antioxidants 2022, 11, 185. [Google Scholar] [CrossRef]
- Zhou, Y.; Liu, J.; Zhuo, Q.; Zhang, K.; Yan, J.; Tang, B.; Wei, X.; Lin, L.; Liu, K. Exogenous glutathione maintains the postharvest quality of mango fruit by modulating the ascorbate-glutathione cycle. PeerJ 2023, 11, e15902. [Google Scholar] [CrossRef]
- Wang, F.; Zhang, X.; Yang, Q.; Zhao, Q. Exogenous melatonin delays postharvest fruit senescence and maintains the quality of sweet cherries. Food Chem. 2019, 301, 125311. [Google Scholar] [CrossRef]
- Kalaras, M.D.; Richie, J.P.; Calcagnotto, A.; Beelman, R.B. Mushrooms: A rich source of the antioxidants ergothioneine and glutathione. Food Chem. 2017, 233, 429–433. [Google Scholar] [CrossRef] [PubMed]
- Mori, T.; Terai, H.; Yamauchi, N.; Suzuki, Y. Effects of postharvest ethanol vapor treatment on the ascorbate–glutathione cycle in broccoli florets. Postharvest Biol. Technol. 2009, 52, 134–136. [Google Scholar] [CrossRef]
- Raseetha, S.; Leong, S.Y.; Burritt, D.J.; Oey, I. Understanding the degradation of ascorbic acid and glutathione in relation to the levels of oxidative stress biomarkers in broccoli (Brassica oleracea L. italica cv. Bellstar) during storage and mechanical processing. Food Chem. 2013, 138, 1360–1369. [Google Scholar] [CrossRef]
- Sang, Y.; Yang, W.; Liu, Y.; Zhang, W.; Guo, T.; Shen, P.; Tang, Y.; Guo, M.; Chen, G. Influences of low temperature on the postharvest quality and antioxidant capacity of winter jujube (Zizyphus jujuba Mill. cv. Dongzao). LWT–Food Sci. Technol. 2022, 154, 112876. [Google Scholar] [CrossRef]
- Dewhirst, R.A.; Clarkson, G.J.J.; Rothwell, S.D.; Fry, S.C. Novel insights into ascorbate retention and degradation during the washing and post-harvest storage of spinach and other salad leaves. Food Chem. 2017, 233, 237–246. [Google Scholar] [CrossRef]
- Song, L.; Yi, R.; Luo, H.; Jiang, L.; Gu, S.; Yu, Z. Postharvest 1-methylcyclopropene application delays leaf yellowing of pak choi (Brassica rapa subsp. chinensis) by improving chloroplast antioxidant capacity and maintaining chloroplast structural integrity during storage at 20 °C. Sci. Hortic. 2020, 270, 109466. [Google Scholar] [CrossRef]
- Moreira, M.D.R.; Ponce, A.G.; del Valle, C.E.; Ansorena, R.; Roura, S.I. Effects of abusive temperatures on the postharvest quality of lettuce leaves: Ascorbic acid loss and microbial growth. J. Appl. Hortic. 2006, 8, 109–113. [Google Scholar] [CrossRef]
- Rybarczyk-Plonska, A.; Hansen, M.K.; Wold, A.B.; Hagen, S.F.; Borge, G.I.A.; Bengtsson, G.B. Vitamin C in broccoli (Brassica oleracea L. var. italica) flower buds as affected by postharvest light, UV-B irradiation and temperature. Postharvest Biol. Technol. 2014, 98, 82–89. [Google Scholar] [CrossRef]
- Rao, T.V.R.; Gol, N.B.; Shah, K.K. Effect of postharvest treatments and storage temperatures on the quality and shelf life of sweet pepper (Capsicum annum L.). Sci. Hortic. 2011, 132, 18–26. [Google Scholar] [CrossRef]
- Nunes, T.P.; Martins, C.G.; Faria, A.F.; Bíscola, V.; de Oliveira Souza, K.L.; Mercadante, A.Z.; Cordenunsi, B.R.; Landgraf, M. Changes in total ascorbic acid and carotenoids in minimally processed irradiated arugula (Eruca sativa Mill) stored under refrigeration. Radiat. Phys. Chem. 2013, 90, 125–130. [Google Scholar] [CrossRef]
- Martínez-Ispizua, E.; Calatayud, Á.; Marsal, J.I.; Basile, F.; Cannata, C.; Abdelkhalik, A.; Soler, S.; Valcárcel, J.V.; Martínez-Cuenca, M.R. Postharvest changes in the nutritional properties of commercial and traditional lettuce varieties in relation with overall visual quality. Agronomy 2022, 12, 403. [Google Scholar] [CrossRef]
- EFSA Panel on Dietetic Products, Nutrition and Allergies (NDA); Turck, D.; Bresson, J.L.; Burlingame, B.; Dean, T.; Fairweather-Tait, S.; Heinonen, M.; Hirsch-Ernst, K.I.; Mangelsdorf, I.; McArdle, H.J.; et al. Safety of synthetic L-ergothioneine (Ergoneine®) as a novel food pursuant to Regulation (EC) No 258/97. EFSA J. 2016, 14, e04629. [Google Scholar] [CrossRef]







Disclaimer/Publisher’s Note: The statements, opinions and data contained in all publications are solely those of the individual author(s) and contributor(s) and not of MDPI and/or the editor(s). MDPI and/or the editor(s) disclaim responsibility for any injury to people or property resulting from any ideas, methods, instructions or products referred to in the content. |
© 2024 by the authors. Licensee MDPI, Basel, Switzerland. This article is an open access article distributed under the terms and conditions of the Creative Commons Attribution (CC BY) license (https://creativecommons.org/licenses/by/4.0/).
Share and Cite
Sivakumar, D.; Bozzo, G. Exogenous Ergothioneine and Glutathione Limit Postharvest Senescence of Arugula. Antioxidants 2024, 13, 1140. https://doi.org/10.3390/antiox13091140
Sivakumar D, Bozzo G. Exogenous Ergothioneine and Glutathione Limit Postharvest Senescence of Arugula. Antioxidants. 2024; 13(9):1140. https://doi.org/10.3390/antiox13091140
Chicago/Turabian StyleSivakumar, Dhanya, and Gale Bozzo. 2024. "Exogenous Ergothioneine and Glutathione Limit Postharvest Senescence of Arugula" Antioxidants 13, no. 9: 1140. https://doi.org/10.3390/antiox13091140
APA StyleSivakumar, D., & Bozzo, G. (2024). Exogenous Ergothioneine and Glutathione Limit Postharvest Senescence of Arugula. Antioxidants, 13(9), 1140. https://doi.org/10.3390/antiox13091140

