Diurnal-Rhythmic Relationships between Physiological Parameters and Photosynthesis- and Antioxidant-Enzyme Genes Expression in the Raphidophyte Chattonella marina Complex
Abstract
1. Introduction
2. Materials and Methods
2.1. Experimental Design
2.2. Measurement of the Fv/Fm Ratio
2.3. Detection of O2•− and H2O2 and Measurement of H2O2 Scavenging Activity
2.4. Gene Expression Analysis
2.5. Regulation of psbA, psbD, and 2-Cys prx Gene Expression by the Electron Transport Chain in Photosystem II
2.6. Statistical Analysis
3. Results
3.1. Cell Densities and Fv/Fm Ratios under Different Light Regimes
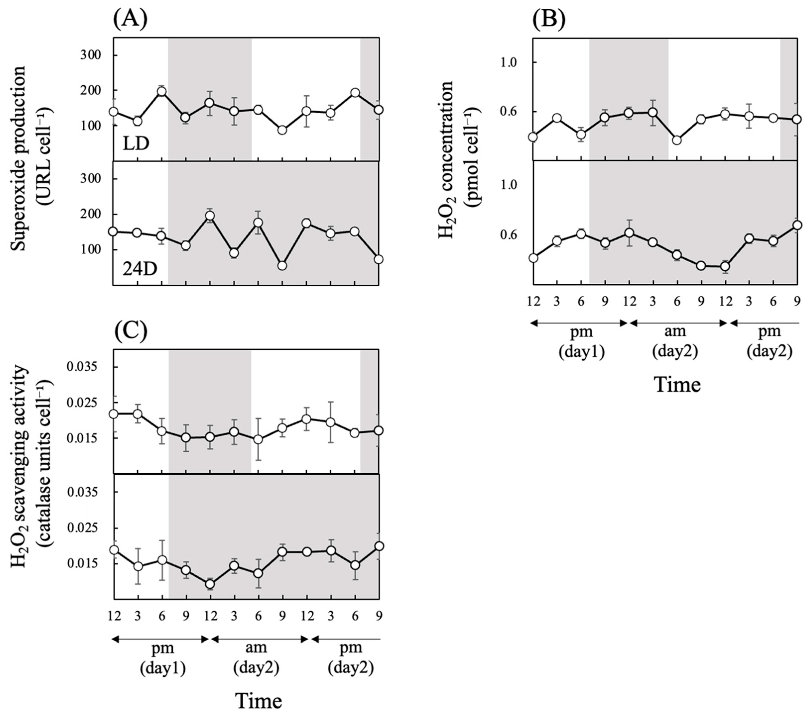
3.2. O2•− and H2O2 Concentrations and H2O2 Scavenging Activity under Different Light Regimes
3.3. Expression Levels of Photosynthesis-Related and Antioxidant-Enzyme Genes under Different Light Regimes
3.4. Relationship Analysis Using Pearson’s Correlation Coefficients
3.5. Suppression of psbA, psbD, and 2-Cys prx Expression by DCMU Treatment
4. Discussion
5. Conclusions
Author Contributions
Funding
Institutional Review Board Statement
Informed Consent Statement
Data Availability Statement
Conflicts of Interest
References
- Hallegraeff, G.M.; Munday, B.L.; Baden, D.G.; Whitney, P.L. Chattonella marina Raphidophyte bloom associated with mortality of cultured bluefin tuna (Thunnus maccoyii) in South Australia. In Harmful Algae; Reguera, B., Blanco, J., Fernandez, M.L., Wyatt, T., Eds.; Xunta de Galicia: A Coruña, Spain; IOC of UNESCO: Paris, France, 1998; pp. 93–96. [Google Scholar]
- Elbraechter, M. Exotic flagellates of coastal North Sea waters. Helgoländer Meeresunters. 1999, 52, 235–242. [Google Scholar] [CrossRef]
- Onitsuka, G.; Aoki, K.; Matsuyama, Y.; Kimoto, K.; Matsuo, H.; Kitadai, Y.; Nishi, H.; Tahara, Y.; Sakurada, K. Short-term dynamics of a Chattonella antiqua bloom in the Yatsushiro Sea, Japan, in summer 2010: Characteristics of its appearance in the southern area. Bull. Jpn. Soc. Fish. Oceanogr. 2011, 75, 143–153. [Google Scholar]
- García-Mendoza, E.; Cáceres-Martínez, J.; Rivas, D.; Fimbres-Martinez, M.; Sánchez-Bravo, Y.; Vásquez-Yeomans, R.; Medina-Elizalde, J. Mass mortality of cultivated Northern bluefin Tuna Thunnus thynnus orientalis associated with Chattonella species in Baja California, Mexico. Front. Mar. Sci. 2018, 5, 454. [Google Scholar] [CrossRef]
- Pospíšil, P. Production of reactive oxygen species by photosystem II as a response to light and temperature stress. Front. Plant Sci. 2016, 7, 1950. [Google Scholar] [CrossRef] [PubMed]
- Mullineaux, P.M.; Exposito-Rodriguez, M.; Laissue, P.P.; Smirnoff, N. ROS-dependent signalling pathways in plants and algae exposed to high light: Comparisons with other eukaryotes. Free Radic. Biol. Med. 2018, 122, 52–64. [Google Scholar] [CrossRef] [PubMed]
- Johnson, K.J.; Fantone, J.C.; Kaplan, P.A. In vivo damage of rat lungs by oxygen metabolites. J. Clin. Investig. 1981, 67, 983–993. [Google Scholar] [CrossRef] [PubMed]
- Halliwell, B.; Gutteridge, J.M. Oxygen toxicity, oxygen radicals, transition metals and disease. Biochem. J. 1984, 219, 1–14. [Google Scholar] [CrossRef] [PubMed]
- Aro, E.M.; McCaffery, S.; Anderson, J. Photoinhibition and D1 protein degradation in peas acclimated to different growth irradiances. Plant Physiol. 1993, 103, 835–843. [Google Scholar] [CrossRef] [PubMed]
- Aro, E.M.; Virgin, I.; Andersson, B. Photoinhibition of photosystem II. Inactivation, protein damage and turnover. Biochim. Et Biophys. Acta 1993, 1143, 113–134. [Google Scholar] [CrossRef]
- Komenda, J. Role of two forms of the D1 protein in the recovery from photoinhibition of photosystem II in the cyanobacterium Synechococcus PCC7942. Biochim. Et Biophys. Acta 2000, 1457, 243–252. [Google Scholar] [CrossRef]
- Han, B.P.; Virtanen, M.; Koponen, J.; Straškraba, M. Effect of photoinhibition on algal photosynthesis: A dynamic model. J. Plankton Res. 2000, 22, 865–885. [Google Scholar] [CrossRef]
- Oda, T.; Nakamura, A.; Shikayama, M.; Kawano, I.; Ishimatsu, A.; Muramatsu, T. Generation of reactive oxygen species by raphidophycean phytoplankton. Biosci. Biotechnol. Biochem. 1997, 61, 1658–1662. [Google Scholar] [CrossRef] [PubMed]
- Kevin, J.P.; Cary, S.C.; Warner, M.E. Antioxidant enzyme response and reactive oxygen species production in marine raphidophytes. J. Phycol. 2010, 46, 1161–1171. [Google Scholar]
- Nakamura, A.; Okamoto, T.; Komatsu, N.; Ooka, S.; Oda, T.; Ishimatsu, A.; Muramatsu, T. Fish mucus stimulates the generation of superoxide anion by Chattonella marina and Heterosigma akashiwo. Fish Sci. 1998, 64, 866–869. [Google Scholar] [CrossRef]
- Cho, K.; Ueno, M.; Liang, Y.; Kim, D.; Oda, T. Generation of reactive oxygen species (ROS) by harmful algal bloom (HAB)-forming phytoplankton and their potential impact on surrounding living organisms. Antioxidants 2022, 11, 206. [Google Scholar] [CrossRef]
- Caverzan, A.; Casassola, A.; Brammer, S.P. Antioxidant responses of wheat plants under stress. Genet. Mol. Biol. 2016, 39, 1–6. [Google Scholar] [CrossRef] [PubMed]
- Kapoor, D.; Singh, S.; Kumare, V.; Romero, R.; Prasad, R.; Singh, J. Antioxidant enzymes regulation in plants in reference to reactive oxygen species (ROS) and reactive nitrogen species (RNS). Plant Gene 2019, 19, 100182. [Google Scholar] [CrossRef]
- Mukai, K.; Teramoto, A.; Qiu, X.; Shimasaki, Y.; Kato-Unoki, Y.; Lee, J.M.; Mizoguchi, M.; Khanam, M.R.M.; Satone, H.; Tatsuke, T.; et al. Gene structure and cDNA sequence of 2-Cys peroxiredoxin in the harmful algal bloom species Chattonella marina and its gene transcription under different light intensities. Eur. J. Phycol. 2017, 53, 29–38. [Google Scholar] [CrossRef]
- Mukai, K.; Shimasaki, Y.; Qiu, X.; Kato-Unoki, Y.; Chen, K.; Khanam, M.R.M.; Oshima, Y. Effects of light and hydrogen peroxide on gene expression of newly identified antioxidant enzymes in the harmful algal bloom species Chattonella marina. Eur. J. Phycol. 2019, 54, 393–403. [Google Scholar] [CrossRef]
- Robertson McClung, C. Plant circadian rhythms. Plant Cell 2006, 18, 792–803. [Google Scholar] [CrossRef]
- Greenham, K.; Robertson, C.M. Integrating circadian dynamics with physiological processes in plants. Nat. Rev. Genet. 2015, 16, 598–610. [Google Scholar] [CrossRef]
- Panda, S. Circadian physiology of metabolism. Science 2016, 354, 1008–1015. [Google Scholar] [CrossRef]
- Tsang, A.H.; Astiz, M.; Friedrichs, M.; Oster, H. Endocrine regulation of circadian physiology. J. Endocrinol. 2016, 230, R1–R11. [Google Scholar] [CrossRef]
- Srivastava, D.; Shamim, M.; Kumar, M.; Mishra, A.; Maurya, R.; Sharm, D.; Pandey, P.; Singhf, K.N. Role of circadian rhythm in plant system: An update from development to stress response. Environ. Exp. Bot. 2019, 162, 256–271. [Google Scholar] [CrossRef]
- William, H.W., II; James, C.W.; Courtney, D.A.; Randy, J.N. Circadian rhythm disruption and mental health. Transl. Psychiatry 2020, 10, 28. [Google Scholar]
- Gao, Y.; Erdner, D.L. Dynamics of cell death across growth stages and the diel cycle in the dinoflagellate Karenia brevis. J. Eukaryot. Microbiol. 2021, 69, 1284. [Google Scholar] [CrossRef]
- Kloppstech, K. Diurnal and circadian rhythmicity in the expression of light-induced plant nuclear messenger RNAs. Planta 1985, 165, 502–506. [Google Scholar] [CrossRef]
- Nakahira, Y.; Katayama, M.; Miyashita, H.; Kutsuna, S.; Iwasaki, H.; Oyama, T.; Kondo, T. Global gene repression by KaiC as a master process of prokaryotic circadian system. Proc. Natl. Acad. Sci. USA 2004, 101, 881–885. [Google Scholar] [CrossRef]
- Zinser, E.R.; Lindell, D.; Johnson, Z.I.; Futschik, M.E.; Steglich, C.; Coleman, M.L.; Wright, M.A.; Rector, T.; Steen, R.; McNulty, N.; et al. Choreography of the transcriptome, photophysiology, and cell cycle of a minimal photoautotroph, prochlorococcus. PLoS ONE 2009, 4, e5135. [Google Scholar] [CrossRef]
- Martins, B.M.C.; Tooke, A.K.; Thomas, P.; Locke, J.C.W. Cell size control driven by the circadian clock and environment in cyanobacteria. Proc. Natl. Acad. Sci. USA 2018, 115, 11415–11424. [Google Scholar] [CrossRef]
- Belbin, F.E.; Noordally, Z.B.; Wetherill, S.J.; Atkins, K.A.; Franklin, K.A.; Dodd, A.N. Integration of light and circadian signals that regulate chloroplast transcription by a nuclear-encoded sigma factor. New Phytol. 2017, 213, 727–738. [Google Scholar] [CrossRef]
- Watanabe, M.; Kohata, K.; Kimura, T. Diel vertical migration and nocturnal uptake of nutrients by Chattonella antiqua under stable stratification. Limnol. Oceanogr. 1991, 36, 593–602. [Google Scholar] [CrossRef]
- Kohata, K.; Watanabe, M. Synchronous division and the pattern of diel vertical migration of Heterosigma akashiwo (Hada) Hada (Raphidophyceae) in a laboratory culture tank. J. Exp. Mar. Biol. Ecol. 1986, 100, 209–224. [Google Scholar] [CrossRef]
- Roenneberg, T.; Grant, N.C.; Hastings, J.W. A circadian rhythm of population behavior in Gonyaulax polyedra. J. Biol. Rhythm. 1989, 4, 89–104. [Google Scholar] [CrossRef]
- Shikata, T.; Matsunaga, S.; Iseki, M.; Nishide, H.; Higashi, S.; Kamei, Y.; Yamaguchi, M.; Jenkinson, I.R.; Watanabe, M. Blue light regulates the rhythm of diurnal vertical migration in the raphidophyte red-tide alga Chattonella antiqua. J. Plankton Res. 2013, 35, 542–552. [Google Scholar] [CrossRef]
- Shikata, T.; Matsunaga, S.; Kuwahara, Y.; Iwahori, S.; Nishiyama, Y. Light spectrum regulates cell accumulation during daytime in the raphidophyte Chattonella antiqua causing noxious red tides. J. Photochem. Photobiol. B Biol. 2016, 160, 128–133. [Google Scholar] [CrossRef]
- Qiu, X.; Mukai, K.; Shimasaki, Y.; Wu, M.; Chen, K.; Lu, Y.; Ichinose, H.; Nakashima, T.; Kato-Unoki, Y.; Oshima, Y. Diurnal variations in expression of photosynthesis-related proteins in the harmful Raphidophyceae Chattonella marina var. antiqua. J. Exp. Mar. Biol. Ecol. 2020, 527, 151361. [Google Scholar] [CrossRef]
- Yamasaki, Y.; Nagasoe, S.; Matsubara, T.; Shikata, T.; Shimasaki, Y.; Oshima, Y.; Honjo, T. Allelopathic interactions between the bacillariophyte Skeletonema costatum and the raphidophyte Heterosigma akashiwo. Mar. Ecol. Prog. 2007, 339, 83–92. [Google Scholar] [CrossRef]
- Khanam, M.R.M.; Shimasaki, Y.; Hosain, M.Z.; Mukai, K.; Tsuyama, M.; Qiu, X.; Tasmin, R.; Goto, H.; Oshima, Y. Diuron causes sinking retardation and physiochemical alteration in marine diatoms Thalassiosira pseudonana and Skeletonema marinoi-dohrnii complex. Chemosphere 2017, 175, 200–209. [Google Scholar] [CrossRef]
- Kim, D.; Yamasaki, Y.; Yamatogi, T.; Yamaguchi, K.; Matsuyama, Y.; Kang, Y.; Lee, Y.; Oda, T. The possibility of reactive oxygen species (ROS)-independent toxic effects of Cochlodinium polykrikoides on damselfish (Chromis caerulea). Biosci. Biotechnol. Biochem. 2009, 73, 613–618. [Google Scholar] [CrossRef]
- Mukai, K.; Shimasaki, Y.; Qiu, X.; Kato-Unoki, Y.; Chen, K.; Takai, Y.; Khanam, M.R.M.; Chailil, A.E.; Oshima, Y. Gene expression stability of candidate reference genes under different culture conditions for quantitative PCR in the Raphidophyte Chattonella marina. Phycologia 2020, 59, 556–565. [Google Scholar] [CrossRef]
- Xie, F.; Xiao, P.; Chen, D.; Xu, L.; Zhang, B. a miRNA analysis tool for deep sequencing of plant small RNAs. Plant Mol. Biol. 2012, 80, 75–84. [Google Scholar] [CrossRef]
- Vandesompele, J.; Preter, K.D.; Pattyn, F.; Poppe, B.; Roy, N.V.; Paepe, A.D.; Speleman, F. Accurate normalization of real-time quantitative RT-PCR data by geometric averaging of multiple internal control genes. Genome Biol. 2002, 3, research0034. [Google Scholar] [CrossRef] [PubMed]
- Andersen, C.L.; Jensen, J.L.; Orntoft, T.F. Normalization of real-time quantitative reverse transcription-PCR data: A model-based variance estimation approach to identify genes suited for normalization, applied to bladder and colon cancer data sets. Cancer Res. 2004, 64, 5245–5250. [Google Scholar] [CrossRef] [PubMed]
- Pfaffl, M.W.; Tichopad, A.; Prgomet, C.; Neuvians, T.P. Determination of stable housekeeping genes, differentially regulated target genes and sample integrity: Bestkeeper–Excel-based tool using pair-wise correlations. Biotechnol. Lett. 2004, 26, 509–515. [Google Scholar] [CrossRef] [PubMed]
- Silver, N.; Best, S.; Jiang, J.; Thein, S.L. Selection of housekeeping genes for gene expression studies in human reticulocytes using real-time PCR. BMC Mol. Biol. 2006, 7, 33. [Google Scholar] [CrossRef] [PubMed]
- Alfonso, M.; Perewoska, I.; Kirilovsky, D. Redox Control of psbA Gene expression in the cyanobacterium Synechocystis PCC 6803. Involvement of the cytochrome b6/f complex. Plant Physiol. 2000, 122, 505–515. [Google Scholar] [CrossRef] [PubMed]
- Pfannschmidt, T.; Nilsson, A.; Allen, J.F. Photosynthetic control of chloroplast gene expression. Nature 1999, 397, 625–628. [Google Scholar] [CrossRef]
- Tullberg, A.; Alexciev, K.; Pfannschmidt, T.; Allen, J.F. Photosynthetic electron flow regulates transcription of the psaB gene in pea (Pisum sativum L.) chloroplasts through the redox state of the plastoquinone pool. Plant Cell Physiol. 2000, 41, 1045–1054. [Google Scholar] [CrossRef]
- Kós, P.B.; Deák, Z.; Cheregi, O.; Vass, I. Differential regulation of psbA and psbD gene expression, and the role of the different D1 protein copies in the cyanobacterium Thermosynechococcus elongatus BP-1. Biochim. Et Biophys. Acta 2008, 1777, 74–83. [Google Scholar] [CrossRef]
- Kiss, É.; Kós, P.B.; Chenb, M.; Vassa, I. A unique regulation of the expression of the psbA, psbD, and psbE genes, encoding the D1, D2 and cytochrome b559 subunits of the Photosystem II complex in the chlorophyll d containing cyanobacterium Acaryochloris marina. Biochim. Et Biophys. Acta 2012, 1817, 1083–1094. [Google Scholar] [CrossRef]
- Oster, H.; Damerow, S.; Hut, R.A.; Eichele, G. Transcriptional profiling in the adrenal gland reveals circadian regulation of hormone biosynthesis genes and nucleosome assembly genes. J. Biol. Rhythm. 2006, 21, 350–361. [Google Scholar] [CrossRef]
- Aguilera, J.; Figueroa, F.L.; Häder, D.P.; Carlos, J. Photoinhibition and photosynthetic pigment reorganisation dynamics in light/darkness cycles as photoprotective mechanisms of Porphyra umbilicalis against damaging effects of UV radiation. Sci. Mar. 2008, 72, 87–97. [Google Scholar]
- Sorek, M.; Yacobi, Y.Z.; Roopin, M.; Berman-Frank, I.; Levy, O. Photosynthetic circadian rhythmicity patterns of Symbiodium, the coral endosymbiotic algae. Proc. R. Soc. B Biol. 2013, 280, 1759. [Google Scholar]
- Yuasa, K.; Shikata, T.; Ichikawa, T.; Tamura, Y.; Nishiyama, Y. Nutrient deficiency stimulates the production of superoxide in the noxious red-tide-forming raphidophyte Chattonella antiqua. Harmful Algae 2020, 99, 101938. [Google Scholar] [CrossRef]
- Golden, S.S. Light-responsive gene expression in cyanobacteria. J. Bacteriol. 1995, 177, 1651–1654. [Google Scholar] [CrossRef]
- Luciński, R.; Jackowski, G. The structure, functions and degradation of pigment-binding proteins of photosystem II. Acta Biochim. Pol. 2006, 53, 693–708. [Google Scholar] [CrossRef]
- Yamaguchi, M.; Imai, I.; Honjo, T. Effects of temperature, salinity and irradiance on the growth rates of the noxious red tide flagellates Chattonella antiqua and C. marina (Raphidophyceae). Nippon. Suisan Gakkaishi 1991, 57, 1277–1284. [Google Scholar] [CrossRef]
- Matsuo, T.; Onai, K.; Okamoto, K.; Minagawa, J.; Ishiura, M. Real-time monitoring of chloroplast gene expression by a luciferase reporter: Evidence for nuclear regulation of chloroplast circadian period. Mol. Cell. Biol. 2006, 26, 863–870. [Google Scholar] [CrossRef] [PubMed]
- Holtzendorff, J.; Partensky, F.; Mella, D.; Lennon, J.; Hess, W.R.; Garczarek, L. Genome streamlining results in loss of robustness of the circadian clock in the marine cyanobacterium Prochlorococcus marinus PCC 9511. J. Biol. Rhythm. 2008, 23, 187–199. [Google Scholar] [CrossRef] [PubMed]
- Dietz, K.J. Peroxiredoxins in plants and cyanobacteria. Antioxid. Redox Signal. 2011, 15, 1129–1159. [Google Scholar] [CrossRef]
- Zhang, Z.; Zhang, Q.; Wu, J.; Zheng, X.; Zheng, S.; Sun, X.; Qiu, Q.; Lu, T. Gene knockout study reveals that cytosolic ascorbate peroxidase 2(OsAPX2) plays a critical role in growth and reproduction in rice under drought, salt and cold stresses. PLoS ONE 2013, 8, e57472. [Google Scholar] [CrossRef]
- Shimasaki, Y.; Mukai, K.; Takai, Y.; Xuchun, Q.; Oshima, Y. Recent progress in the study of peroxiredoxin in the harmful algal bloom species Chattonella marina. Antioxidants 2021, 10, 162. [Google Scholar] [CrossRef]
- Nott, A.; Jung, H.S.; Koussevitzky, S.; Chory, J. Plastid-to-nucleus retrograde signaling. Annu. Rev. Plant Biol. 2006, 57, 739–759. [Google Scholar] [CrossRef]
- Laughlin, T.G.; Savag, D.F.; Davies, K.M. Recent advances on the structure and function of NDH-1: The complex I of oxygenic photosynthesis. Biochim. Et Biophys. Acta 2020, 1861, 148254. [Google Scholar] [CrossRef]
- Ma, M.; Liu, Y.; Bai, C.; Yong, J.W.H. The significance of chloroplast NAD(P)H dehydrogenase complex and its dependent cyclic electron transport in photosynthesis. Front. Plant Sci. 2021, 12, 661863. [Google Scholar] [CrossRef]
- Olsson, P.; Granéli, E. Observations on diurnal vertical migration and phased cell division for three coexisting marine dinoflagellates. J. Plankton Res. 1991, 13, 1313–1324. [Google Scholar] [CrossRef]
- Koizumi, Y.; Uchida, T.; Honjo, T. Diurnal vertical migration of Gymnodinium mikimotoi during a red tide in Hoketsu Bay, Japan. J. Plankton Res. 1996, 18, 289–294. [Google Scholar] [CrossRef]
- Park, J.G.; Jeong, M.K.; Lee, J.A.C.K.; Kwon, O. Diurnal vertical migration of a harmful dinoflagellate, Cochlodinium polykrikoides (Dinophyceae), during a red tide in coastal waters of Namhae Island, Korea. Phycologia 2001, 40, 292–297. [Google Scholar] [CrossRef]
- Shikata, T.; Matsunaga, S.; Nishide, H.; Sakamoto, S.; Onistuka, G.; Yamaguchi, M. Diurnal vertical migration rhythms and their photoresponse in four phytoflagellates causing harmful algal blooms. Limnol. Oceanogr. 2015, 60, 1251. [Google Scholar] [CrossRef]
- Shikata, T.; Takahashi, F.; Nishide, H.; Shigenobu, S.; Kamei, Y.; Sakamoto, S.; Yuasa, K.; Nishiyama, Y.; Yamasaki, Y.; Uchiyama, I. RNA-Seq analysis reveals genes related to photoreception, nutrient uptake, and toxicity in a noxious red-tide raphidophyte Chattonella antiqua. Front. Microbiol. 2019, 10, 1764. [Google Scholar] [CrossRef]
- Fernández-Herrera, L.J.; Band-Schmidt, C.J.; López-Cortés, D.J.; Hernández-Guerrero, C.J.; Bustillos-Guzmán, J.J.; Núñez-Vázquez, E. Allelopathic effect of Chattonella marina var. marina (Raphidophyceae) on Gymnodinium catenatum (Dinophycea). Harmful Algae 2016, 51, 1–9. [Google Scholar] [CrossRef]







| Gene | Sequence (5′–3′) | Amplicon Size (bp) | Accession No. | Reference | |
|---|---|---|---|---|---|
| psbA | Forward (F) | GAGCGCTTCTGCTCTTGGATTACT | 143 | LC595635 | Original |
| Reverse (R) | CCATCGATGTCTACTGGAGGAGCA | ||||
| psbD | F | CTTCGACCTTGTAGACGATTGGT | 211 | LC595637 | |
| R | ACTGTTCGCTGGTGTTGAAACAG | ||||
| Cu/Zn sod | F | GGACCGATTGGTGAAGCTCATAGG | 162 | LC337662 | [20] |
| R | GAGGATGCAATCCCAACAACTCCTC | ||||
| Probe (P) | 56-FAM/GTGGACATG/ZEN/AACTTTC GCTGCT/3IABkFQ | ||||
| gpx | F | GGTGAGTGGCTTCACGTACAATC | 224 | LC337663 | |
| R | CCGAAGCAACGTTAACTACAAGG | ||||
| P | 56-FAM/TGGAAACAT/ZEN/GAAAG GCCTTCTCGCAC/3IABkFQ | ||||
| cat | F | GCACATTTTGATCGTGAGCGTATCC | 224 | LC337664 | |
| R | TTCACTGCAAACCCACGAGGATC | ||||
| P | 56-FAM/GGGTACTTT/ZEN/GAGGTCA CAACTCTC/3IABkFQ | ||||
| apx | F | GCACTGACATGCCACAAGAGAAATG | 208 | LC337665 | |
| R | TCAAAGACCAATGGCTCTTGAGTCC | ||||
| P | 56-FAM/ACATCTTTG/ZEN/GCCGCATGGAAT/3IABkFQ | ||||
| trx | F | TCTCCGATCTCCGTGTTGATTTTGC | 145 | LC337666 | |
| R | GGTTTCCTGATTGCCTTTTGCGC | ||||
| P | 56-FAM/ACCAAAGGT/ZEN/GTACAGGAATCCTC/3IABkFQ | ||||
| 2-Cys prx | F | TCAAGAAAACCCGGATGAGG | 139 | LC337661 | [19] |
| R | GGCATAATCTTAGAAACGAG | ||||
| P | 56-FAM/AGCCAGATC/ZEN/CTGTC GGCTCT | ||||
| Cox2 | F | GGTGATGTTTTACATAGTTGGGCGG | 218 | AB286901 | [42] |
| R | CCCTTCAAGTTTGGCATTAATCCAC | ||||
| elf | F | TCGACCACTACAGGTCATCTGATCT | 129 | LC469958 | |
| R | CAAGTTATCCAACACCCATGCGT | ||||
| cal | F | AGGAGCTTGGTACTGTCATGAGATC | 104 | LC469955 | |
| R | GTCAATGGTTCCGTTACCATCTGC | ||||
| P | TCAGAATCCAACCGAGGCTGAGT |
| r2 (Rhythmicity) | Acrophase | Amplitude | ||
|---|---|---|---|---|
| LD | Fv/Fm ratio | 0.95 (<0.01) | 16.22 | 0.01 |
| O2− production | - | 23.37 | - | |
| H2O2 production | - | 21.74 | - | |
| H2O2 scavenging activity | - | 15.79 | - | |
| psbA expression | 0.57 (<0.01) | 18.41 | 0.02 | |
| psbD expression | 0.77 (<0.01) | 15.58 | 0.01 | |
| Cu/Zn sod expression | 0.25 (0.015) | 16.63 | 0.69 | |
| gpx expression | - | 15.68 | - | |
| cat expression | 0.28 (<0.01) | 17.44 | 0.64 | |
| apx expression | 0.45 (<0.01) | 16.00 | 0.42 | |
| trx expression | - | 19.52 | - | |
| 2-Cys prx expression | 0.80 (<0.01) | 10.56 | 7.85 | |
| 24D | Fv/Fm ratio | 0.79 (<0.01) | 17.27 | 0.01 |
| O2− production | - | 22.49 | - | |
| H2O2 production | 0.80 (<0.01) | 0.67 | 0.01 | |
| H2O2 scavenging activity | 0.49 (<0.01) | 15.43 | <0.01 | |
| psbA expression | 0.53 (<0.01) | 21.02 | 0.01 | |
| psbD expression | 0.68 (<0.01) | 17.15 | 0.01 | |
| Cu/Zn sod expression | 0.36 (<0.01) | 14.11 | 0.29 | |
| gpx expression | 0.25 (0.015) | 13.15 | 0.29 | |
| cat expression | 0.24 (<0.023) | 13.83 | 1.05 | |
| apx expression | 0.71 (<0.01) | 14.50 | 0.48 | |
| trx expression | - | 15.02 | - | |
| 2-Cys prx expression | 0.88 (<0.01) | 11.02 | 10.90 |
| LD | 24D | ||||
|---|---|---|---|---|---|
| r Value | p Value | r Value | p Value | ||
| psbA vs. | Fv/Fm ratio | 0.71 | <0.01 | 0.14 | 0.51 |
| O2− production | 0.17 | 0.59 | −0.17 | 0.41 | |
| H2O2 production | 0.21 | 0.32 | −0.07 | 0.74 | |
| psbD vs. | Fv/Fm ratio | 0.31 | 0.15 | −0.34 | 0.10 |
| O2− production | −0.37 | 0.07 | 0.12 | 0.59 | |
| H2O2 production | 0.33 | 0.12 | −0.48 | <0.05 | |
| Cu/Zn sod vs. | Fv/Fm ratio | 0.23 | 0.27 | −0.12 | 0.56 |
| O2− production | −0.21 | 0.33 | −0.24 | 0.25 | |
| H2O2 production | 0.38 | 0.07 | −0.06 | 0.78 | |
| H2O2 scavenging activity | 0.26 | 0.22 | 0.22 | 0.29 | |
| gpx vs. | Fv/Fm ratio | 0.01 | 0.97 | −0.27 | 0.20 |
| O2− production | −0.16 | 0.45 | −0.38 | 0.07 | |
| H2O2 production | 0.26 | 0.21 | −0.18 | 0.39 | |
| H2O2 scavenging activity | 0.27 | 0.19 | 0.21 | 0.33 | |
| cat vs. | Fv/Fm ratio | 0.32 | 0.12 | −0.32 | 0.13 |
| O2− production | −0.07 | 0.75 | −0.24 | 0.26 | |
| H2O2 production | 0.39 | 0.06 | −0.33 | 0.12 | |
| H2O2 scavenging activity | 0.20 | 0.36 | 0.35 | 0.09 | |
| apx vs. | Fv/Fm ratio | 0.40 | 0.05 | −0.45 | <0.05 |
| O2− production | −0.19 | 0.37 | −0.53 | <0.05 | |
| H2O2 production | 0.40 | 0.05 | −0.31 | 0.13 | |
| H2O2 scavenging activity | 0.33 | 0.12 | 0.27 | 0.20 | |
| trx vs. | Fv/Fm ratio | 0.21 | 0.33 | −0.25 | 0.24 |
| O2− production | −0.09 | 0.68 | −0.38 | 0.07 | |
| H2O2 production | −0.03 | 0.88 | −0.15 | 0.48 | |
| H2O2 scavenging activity | 0.13 | 0.55 | 0.13 | 0.54 | |
| 2-Cys prx vs. | Fv/Fm ratio | −0.69 | <0.01 | −0.75 | <0.01 |
| O2− production | −0.27 | 0.21 | −0.06 | 0.76 | |
| H2O2 production | −0.56 | <0.01 | −0.63 | <0.01 | |
| H2O2 scavenging activity | −0.25 | 0.24 | −0.35 | 0.09 | |
Disclaimer/Publisher’s Note: The statements, opinions and data contained in all publications are solely those of the individual author(s) and contributor(s) and not of MDPI and/or the editor(s). MDPI and/or the editor(s) disclaim responsibility for any injury to people or property resulting from any ideas, methods, instructions or products referred to in the content. |
© 2024 by the authors. Licensee MDPI, Basel, Switzerland. This article is an open access article distributed under the terms and conditions of the Creative Commons Attribution (CC BY) license (https://creativecommons.org/licenses/by/4.0/).
Share and Cite
Mukai, K.; Qiu, X.; Takai, Y.; Yasuo, S.; Oshima, Y.; Shimasaki, Y. Diurnal-Rhythmic Relationships between Physiological Parameters and Photosynthesis- and Antioxidant-Enzyme Genes Expression in the Raphidophyte Chattonella marina Complex. Antioxidants 2024, 13, 781. https://doi.org/10.3390/antiox13070781
Mukai K, Qiu X, Takai Y, Yasuo S, Oshima Y, Shimasaki Y. Diurnal-Rhythmic Relationships between Physiological Parameters and Photosynthesis- and Antioxidant-Enzyme Genes Expression in the Raphidophyte Chattonella marina Complex. Antioxidants. 2024; 13(7):781. https://doi.org/10.3390/antiox13070781
Chicago/Turabian StyleMukai, Koki, Xuchun Qiu, Yuki Takai, Shinobu Yasuo, Yuji Oshima, and Yohei Shimasaki. 2024. "Diurnal-Rhythmic Relationships between Physiological Parameters and Photosynthesis- and Antioxidant-Enzyme Genes Expression in the Raphidophyte Chattonella marina Complex" Antioxidants 13, no. 7: 781. https://doi.org/10.3390/antiox13070781
APA StyleMukai, K., Qiu, X., Takai, Y., Yasuo, S., Oshima, Y., & Shimasaki, Y. (2024). Diurnal-Rhythmic Relationships between Physiological Parameters and Photosynthesis- and Antioxidant-Enzyme Genes Expression in the Raphidophyte Chattonella marina Complex. Antioxidants, 13(7), 781. https://doi.org/10.3390/antiox13070781
