Catalase, Glutathione Peroxidase, and Peroxiredoxin 2 in Erythrocyte Cytosol and Membrane in Hereditary Spherocytosis, Sickle Cell Disease, and β-Thalassemia
Abstract
1. Introduction
2. Materials and Methods
2.1. Subjects
2.2. Hematological and Biochemical Studies
2.3. Blood Samples
2.4. Antioxidant Enzyme Activities
2.5. CAT, GPx, and Prx2 Amounts
2.6. Total Glutathione and Oxidized Glutathione
2.7. Total Antioxidant Status and Ascorbic Acid
2.8. Lipid Peroxidation
2.9. Membrane-Bound Hemoglobin
2.10. Statistical Analysis
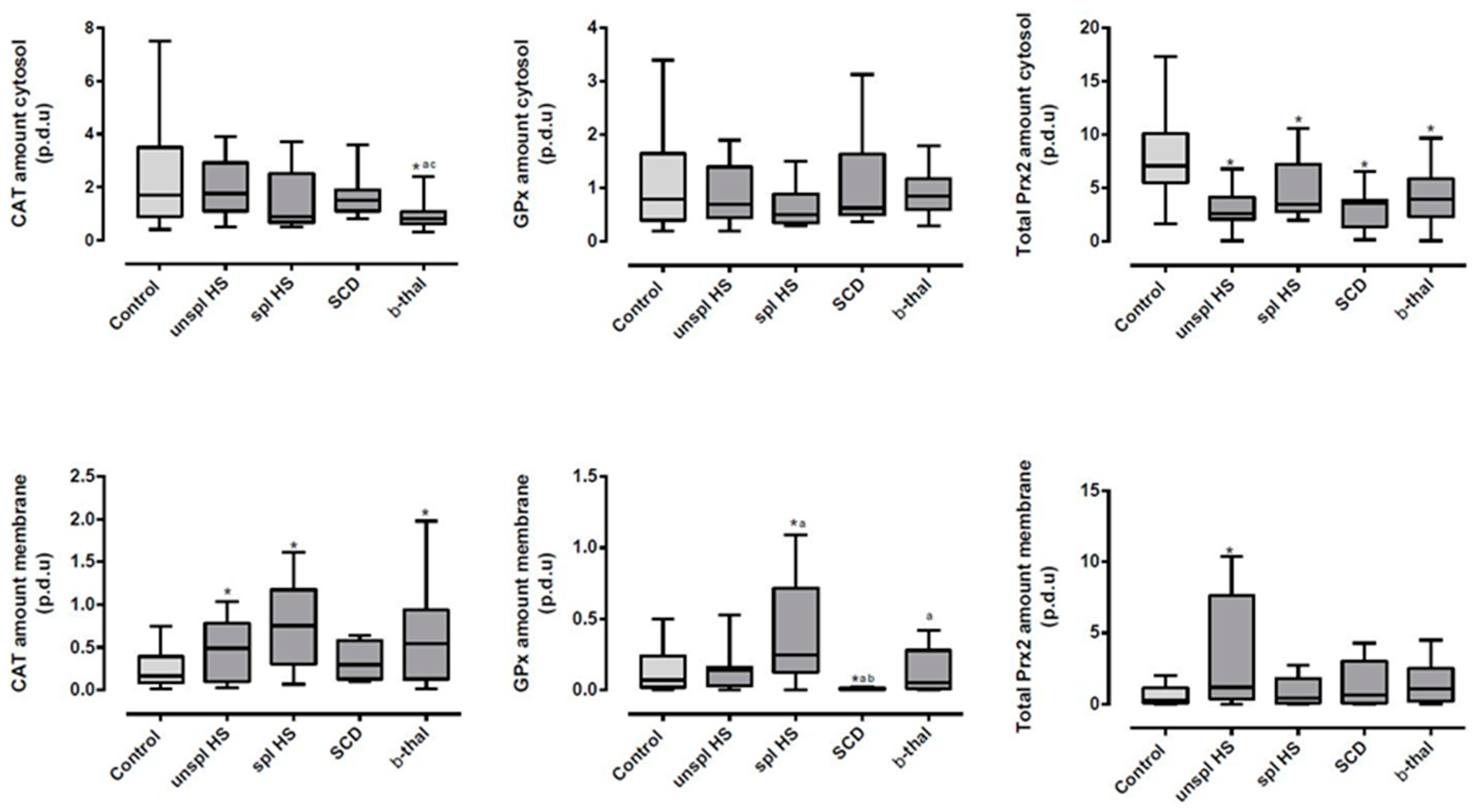
3. Results
4. Discussion
4.1. Healthy Individuals
4.2. Hereditary Spherocytosis (Unsplenectomized Patients)
4.3. Hereditary Spherocytosis (Splenectomized Patients)
4.4. Sickle Cell Disease
4.5. β-Thalassemia
4.6. General Conclusions
Supplementary Materials
Author Contributions
Funding
Institutional Review Board Statement
Informed Consent Statement
Data Availability Statement
Acknowledgments
Conflicts of Interest
References
- Welbourn, E.M.; Wilson, M.T.; Yusof, A.; Metodiev, M.V.; Cooper, C.E. The mechanism of formation, structure and physiological relevance of covalent hemoglobin attachment to the erythrocyte membrane. Free Radic. Biol. Med. 2017, 103, 95–106. [Google Scholar] [CrossRef] [PubMed]
 - Yeh, L.-H.; Alayash, A.I. Redox side reactions of haemoglobin and cell signalling mechanisms1. J. Intern. Med. 2003, 253, 518–526. [Google Scholar] [CrossRef] [PubMed]
 - Melo, D.; Susana, R.; Susana, C.; Alice Santos, S. Interplay between Erythrocyte Peroxidases and Membrane. In Erythrocyte; Anil, T., Ed.; IntechOpen: Rijeka, Croatia, 2019; Chapter 6. [Google Scholar]
 - Johnson, R.M.; Ho, Y.S.; Yu, D.Y.; Kuypers, F.A.; Ravindranath, Y.; Goyette, G.W. The effects of disruption of genes for peroxiredoxin-2, glutathione peroxidase-1, and catalase on erythrocyte oxidative metabolism. Free Radic. Biol. Med. 2010, 48, 519–525. [Google Scholar] [CrossRef] [PubMed]
 - Rocha, S.; Gomes, D.; Lima, M.; Bronze-da-Rocha, E.; Santos-Silva, A. Peroxiredoxin 2, glutathione peroxidase, and catalase in the cytosol and membrane of erythrocytes under H2O2-induced oxidative stress. Free Radic. Res. 2015, 49, 990–1003. [Google Scholar] [CrossRef]
 - Cho, C.S.; Lee, S.; Lee, G.T.; Woo, H.A.; Choi, E.J.; Rhee, S.G. Irreversible Inactivation of Glutathione Peroxidase 1 and Reversible Inactivation of Peroxiredoxin II by H(2)O(2) in Red Blood Cells. Antioxid. Redox Signal 2010, 12, 1235–1246. [Google Scholar] [CrossRef] [PubMed]
 - Low, F.M.; Hampton, M.B.; Peskin, A.V.; Winterbourn, C.C. Peroxiredoxin 2 functions as a noncatalytic scavenger of low-level hydrogen peroxide in the erythrocyte. Blood 2007, 109, 2611–2617. [Google Scholar] [CrossRef] [PubMed]
 - Manta, B.; Hugo, M.; Ortiz, C.; Ferrer-Sueta, G.; Trujillo, M.; Denicola, A. The peroxidase and peroxynitrite reductase activity of human erythrocyte peroxiredoxin 2. Arch. Biochem. Biophys. 2009, 484, 146–154. [Google Scholar] [CrossRef] [PubMed]
 - Raftos, J.E.; Whillier, S.; Kuchel, P.W. Glutathione synthesis and turnover in the human erythrocyte: Alignment of a model based on detailed enzyme kinetics with experimental data. J. Biol. Chem. 2010, 285, 23557–23567. [Google Scholar] [CrossRef]
 - Rocha, S.; Rocha-Pereira, P.; Cleto, E.; Ferreira, F.; Belo, L.; Santos-Silva, A. Linkage of typically cytosolic peroxidases to erythrocyte membrane—A possible mechanism of protection in Hereditary Spherocytosis. Biochim. Biophys. Acta Biomembr. 2020, 1862, 183172. [Google Scholar] [CrossRef]
 - Rocha, S.; Vitorino, R.M.; Lemos-Amado, F.M.; Castro, E.B.; Rocha-Pereira, P.; Barbot, J.; Cleto, E.; Ferreira, F.; Quintanilha, A.; Belo, L.; et al. Presence of cytosolic peroxiredoxin 2 in the erythrocyte membrane of patients with hereditary spherocytosis. Blood Cells Mol. Dis. 2008, 41, 5–9. [Google Scholar] [CrossRef]
 - Allen, D.W.; Cadman, S.; McCann, S.R.; Finkel, B. Increased membrane binding of erythrocyte catalase in hereditary spherocytosis and in metabolically stressed normal cells. Blood 1977, 49, 113–123. [Google Scholar] [CrossRef]
 - Bayer, S.B.; Low, F.M.; Hampton, M.B.; Winterbourn, C.C. Interactions between peroxiredoxin 2, hemichrome and the erythrocyte membrane. Free Radic. Res. 2016, 50, 1329–1339. [Google Scholar] [CrossRef]
 - Rinalducci, S.; D’Amici, G.M.; Blasi, B.; Vaglio, S.; Grazzini, G.; Zolla, L. Peroxiredoxin-2 as a candidate biomarker to test oxidative stress levels of stored red blood cells under blood bank conditions. Transfusion 2011, 51, 1439–1449. [Google Scholar] [CrossRef]
 - He, B.J.; Liao, L.; Deng, Z.F.; Tao, Y.F.; Xu, Y.C.; Lin, F.Q. Molecular Genetic Mechanisms of Hereditary Spherocytosis: Current Perspectives. Acta Haematol. 2018, 139, 60–66. [Google Scholar] [CrossRef] [PubMed]
 - Perrotta, S.; Gallagher, P.G.; Mohandas, N. Hereditary spherocytosis. Lancet 2008, 372, 1411–1426. [Google Scholar] [CrossRef]
 - Ghoti, H.; Fibach, E.; Dana, M.; Abu Shaban, M.; Jeadi, H.; Braester, A.; Matas, Z.; Rachmilewitz, E. Oxidative stress contributes to hemolysis in patients with hereditary spherocytosis and can be ameliorated by fermented papaya preparation. Ann. Hematol. 2011, 90, 509–513. [Google Scholar] [CrossRef]
 - Margetis, P.; Antonelou, M.; Karababa, F.; Loutradi, A.; Margaritis, L.; Papassideri, I. Physiologically important secondary modifications of red cell membrane in hereditary spherocytosis-evidence for in vivo oxidation and lipid rafts protein variations. Blood Cells Mol. Dis. 2007, 38, 210–220. [Google Scholar] [CrossRef]
 - Manciu, S.; Matei, E.; Trandafir, B. Hereditary Spherocytosis—Diagnosis, Surgical Treatment and Outcomes. A Literature Review. Chirurgia 2017, 112, 110–116. [Google Scholar] [CrossRef]
 - Carden, M.A.; Fasano, R.M.; Meier, E.R. Not all red cells sickle the same: Contributions of the reticulocyte to disease pathology in sickle cell anemia. Blood Rev. 2020, 40, 100637. [Google Scholar] [CrossRef]
 - Sundd, P.; Gladwin, M.T.; Novelli, E.M. Pathophysiology of Sickle Cell Disease. Annu. Rev. Pathol. 2019, 14, 263–292. [Google Scholar] [CrossRef]
 - Shah, F.; Dwivedi, M. Pathophysiology and recent therapeutic insights of sickle cell disease. Ann. Hematol. 2020, 99, 925–935. [Google Scholar] [CrossRef]
 - Salinas Cisneros, G.; Thein, S.L. Recent Advances in the Treatment of Sickle Cell Disease. Front. Physiol. 2020, 11, 435. [Google Scholar] [CrossRef]
 - Gizi, A.; Papassotiriou, I.; Apostolakou, F.; Lazaropoulou, C.; Papastamataki, M.; Kanavaki, I.; Kalotychou, V.; Goussetis, E.; Kattamis, A.; Rombos, I.; et al. Assessment of oxidative stress in patients with sickle cell disease: The glutathione system and the oxidant–antioxidant status. Blood Cells Mol. Dis. 2011, 46, 220–225. [Google Scholar] [CrossRef]
 - Antwi-Boasiako, C.; Dankwah, G.B.; Aryee, R.; Hayfron-Benjamin, C.; Donkor, E.S.; Campbell, A.D. Oxidative Profile of Patients with Sickle Cell Disease. Med. Sci. 2019, 7, 17. [Google Scholar]
 - Manfredini, V.; Lazzaretti, L.L.; Griebeler, I.H.; Santin, A.P.; Brandão, V.D.; Wagner, S.; Castro, S.M.; Peralba Mdo, C.; Benfato, M.S. Blood antioxidant parameters in sickle cell anemia patients in steady state. J. Natl. Med. Assoc. 2008, 100, 897–902. [Google Scholar] [CrossRef] [PubMed]
 - Caprari, P.; Massimi, S.; Diana, L.; Sorrentino, F.; Maffei, L.; Materazzi, S.; Risoluti, R. Hemorheological Alterations and Oxidative Damage in Sickle Cell Anemia. Front. Mol. Biosci. 2019, 6, 142. [Google Scholar] [CrossRef]
 - Haley, K. Congenital Hemolytic Anemia. Med. Clin. N. Am. 2017, 101, 361–374. [Google Scholar] [CrossRef] [PubMed]
 - Origa, R. beta-Thalassemia. Genet. Med. 2017, 19, 609–619. [Google Scholar] [CrossRef]
 - Ali, S.; Mumtaz, S.; Shakir, H.A.; Khan, M.; Tahir, H.M.; Mumtaz, S.; Mughal, T.A.; Hassan, A.; Kazmi, S.A.R.; Sadia; et al. Current status of beta-thalassemia and its treatment strategies. Mol. Genet. Genomic Med. 2021, 9, e1788. [Google Scholar] [CrossRef]
 - Dodge, J.T.; Mitchell, C.; Hanahan, D.J. The preparation and chemical characteristics of hemoglobin-free ghosts of human erythrocytes. Arch. Biochem. Biophys. 1963, 100, 119–130. [Google Scholar] [CrossRef]
 - Bradford, M.M. A rapid and sensitive method for the quantitation of microgram quantities of protein utilizing the principle of protein-dye binding. Anal. Biochem. 1976, 72, 248–254. [Google Scholar] [CrossRef] [PubMed]
 - Hillman, R.S. Characteristics of marrow production and reticulocyte maturation in normal man in response to anemia. J. Clin. Investig. 1969, 48, 443–453. [Google Scholar] [CrossRef] [PubMed]
 - Streichman, S.; Gesheidt, Y.; Tatarsky, I. Hypertonic cryohemolysis: A diagnostic test for hereditary spherocytosis. Am. Hematol. 1990, 35, 104–109. [Google Scholar] [CrossRef] [PubMed]
 - Johansson, L.H.; Borg, L.A. A spectrophotometric method for determination of catalase activity in small tissue samples. Anal. Biochem. 1988, 174, 331–336. [Google Scholar] [CrossRef]
 - Weydert, C.J.; Cullen, J.J. Measurement of superoxide dismutase, catalase, and glutathione peroxidase in cultured cells and tissue. Nat. Protoc. 2010, 5, 51–66. [Google Scholar] [CrossRef] [PubMed]
 - Laemmli, U.K. Cleavage of Structural Proteins during the Assembly of the Head of Bacteriophage T4. Nature 1970, 227, 680–685. [Google Scholar] [CrossRef]
 - Griffith, O.W. Determination of glutathione and glutathione disulfide using glutathione reductase and 2-vinylpyridine. Anal. Biochem. 1980, 106, 207–212. [Google Scholar] [CrossRef] [PubMed]
 - Benzie, I.F.; Strain, J.J. Simultaneous automated measurement of total ‘antioxidant’ (reducing) capacity and ascorbic acid concentration. Redox Rep. 1997, 3, 233–238. [Google Scholar] [CrossRef] [PubMed]
 - Mihara, M.; Uchiyama, M. Determination of malonaldehyde precursor in tissues by thiobarbituric acid test. Anal. Biochem. 1978, 86, 271–278. [Google Scholar]
 - Templeton, G.F. A Two-Step Approach for Transforming Continuous Variables to Normal: Implications and Recommendations for IS Research. Commun. Assoc. Inf. Sys 2011, 28, 41–58. [Google Scholar] [CrossRef]
 - Melo, D.; Coimbra, S.; Rocha, S.; Santos-Silva, A. Inhibition of erythrocyte’s catalase, glutathione peroxidase or peroxiredoxin 2—Impact on cytosol and membrane. Arch. Biochem. Biophys. 2023, 739, 109569. [Google Scholar] [CrossRef]
 - Matte, A.; Bertoldi, M.; Mohandas, N.; An, X.; Bugatti, A.; Brunati, A.M.; Rusnati, M.; Tibaldi, E.; Siciliano, A.; Turrini, F.; et al. Membrane association of peroxiredoxin-2 in red cells is mediated by the N-terminal cytoplasmic domain of band 3. Free Radic. Biol. Med. 2013, 55, 27–35. [Google Scholar] [CrossRef]
 - Dotsenko, O.; Mykutska, I.; Taradina, G.; Zoryna, B. Potential role of cytoplasmic protein binding to erythrocyte membrane in counteracting oxidative and metabolic stress. Regul. Mech. Biosys 2020, 11, 455–462. [Google Scholar] [CrossRef]
 - Aviram, I.; Shaklai, N. The association of human erythrocyte catalase with the cell membrane. Arch. Biochem. Biophys. 1981, 212, 329–337. [Google Scholar] [CrossRef] [PubMed]
 - Kosmachevskaya, O.V.; Nasybullina, E.I.; Blindar, V.N.; Topunov, A.F. Binding of Erythrocyte Hemoglobin to the Membrane to Realize Signal-Regulatory Function (Review). Appl. Biochem. Microbiol. 2019, 55, 83–98. [Google Scholar] [CrossRef]
 - Chu, H.; McKenna, M.M.; Krump, N.A.; Zheng, S.; Mendelsohn, L.; Thein, S.L.; Garrett, L.J.; Bodine, D.M.; Low, P.S. Reversible binding of hemoglobin to band 3 constitutes the molecular switch that mediates O2 regulation of erythrocyte properties. Blood 2016, 128, 2708–2716. [Google Scholar] [CrossRef] [PubMed]
 - Pyrshev, K.A.; Klymchenko, A.S.; Csúcs, G.; Demchenko, A.P. Apoptosis and eryptosis: Striking differences on biomembrane level. Biochim. Biophys. Acta Biomembr. 2018, 1860, 1362–1371. [Google Scholar] [CrossRef]
 - Repsold, L.; Joubert, A.M. Eryptosis: An Erythrocyte’s Suicidal Type of Cell Death. BioMed Res. Int. 2018, 2018, 9405617. [Google Scholar] [CrossRef]
 - Koshkaryev, A.; Livshits, L.; Pajic-Lijakovic, I.; Gural, A.; Barshtein, G.; Yedgar, S. Non-oxidative band-3 clustering agents cause the externalization of phosphatidylserine on erythrocyte surfaces by a calcium-independent mechanism. Biochim. Biophys. Acta Biomembr. 2020, 1862, 183231. [Google Scholar] [CrossRef]
 - Arashiki, N.; Kimata, N.; Manno, S.; Mohandas, N.; Takakuwa, Y. Membrane peroxidation and methemoglobin formation are both necessary for band 3 clustering: Mechanistic insights into human erythrocyte senescence. Biochemistry 2013, 52, 5760–5769. [Google Scholar] [CrossRef]
 - Kanner, J.; Harel, S. Initiation of membranal lipid peroxidation by activated metmyoglobin and methemoglobin. Arch. Biochem. Biophys. 1985, 237, 314–321. [Google Scholar] [CrossRef] [PubMed]
 - Reeder, J.B.; Wilson, T.M. Hemoglobin and Myoglobin Associated Oxidative Stress: From Molecular Mechanisms to Disease States. Curr. Med. Chem. 2005, 12, 2741–2751. [Google Scholar] [CrossRef]
 - Gwozdzinski, K.; Pieniazek, A.; Gwozdzinski, L. Reactive Oxygen Species and Their Involvement in Red Blood Cell Damage in Chronic Kidney Disease. Oxid. Med. Cell Longev. 2021, 2021, 6639199. [Google Scholar] [CrossRef] [PubMed]
 - Sadowska-Bartosz, I.; Bartosz, G. Peroxiredoxin 2: An Important Element of the Antioxidant Defense of the Erythrocyte. Antioxidants 2023, 12, 1012. [Google Scholar] [CrossRef] [PubMed]
 - Cha, M.K.; Yun, C.H.; Kim, I.H. Interaction of human thiol-specific antioxidant protein 1 with erythrocyte plasma membrane. Biochemistry 2000, 39, 6944–6950. [Google Scholar] [CrossRef] [PubMed]
 - Rinalducci, S.; D’Amici, G.M.; Blasi, B.; Zolla, L. Oxidative stress-dependent oligomeric status of erythrocyte peroxiredoxin II (PrxII) during storage under standard blood banking conditions. Biochimie 2011, 93, 845–853. [Google Scholar] [CrossRef] [PubMed]
 - Fujii, J.; Homma, T.; Kobayashi, S.; Warang, P.; Madkaikar, M.; Mukherjee, M.B. Erythrocytes as a preferential target of oxidative stress in blood. Free Radic. Res. 2021, 55, 562–580. [Google Scholar] [CrossRef]
 - Möller, M.N.; Orrico, F.; Villar, S.F.; López, A.C.; Silva, N.; Donzé, M.; Thomson, L.; Denicola, A. Oxidants and Antioxidants in the Redox Biochemistry of Human Red Blood Cells. ACS Omega 2023, 8, 147–168. [Google Scholar] [CrossRef]
 - Kuhn, V.; Diederich, L.; Keller, T.C.S.t.; Kramer, C.M.; Lückstädt, W.; Panknin, C.; Suvorava, T.; Isakson, B.E.; Kelm, M.; Cortese-Krott, M.M. Red Blood Cell Function and Dysfunction: Redox Regulation, Nitric Oxide Metabolism, Anemia. Antioxid. Redox Signal 2017, 26, 718–742. [Google Scholar] [CrossRef]
 - Wu, Y.; Liao, L.; Lin, F. The diagnostic protocol for hereditary spherocytosis-2021 update. J. Clin. Lab. Anal. 2021, 35, e24034. [Google Scholar] [CrossRef]
 - Jamwal, M.; Sharma, P.; Das, R. Laboratory Approach to Hemolytic Anemia. Indian J. Pediatr. 2020, 87, 66–74. [Google Scholar] [CrossRef] [PubMed]
 - Emerson, C.P., Jr.; Shein, S.C.; Ham, T.H.; Fleming, E.M.; Castle, W.B. Studies on the destruction of red blood cells. IX. Quantitative methods for determining the osmotic and mechanical fragility of red cells in the peripheral blood and splenic pulp; the mechanism of increased hemolysis in hereditary spherocytosis (congenital hemolytic jaundice) as related to the functions of the spleen. AMA Arch. Intern. Med. 1956, 97, 1–38. [Google Scholar] [CrossRef] [PubMed]
 - Cynober, T.; Mohandas, N.; Tchernia, G. Red cell abnormalities in hereditary spherocytosis: Relevance to diagnosis and understanding of the variable expression of clinical severity. J. Lab. Clin. Med. 1996, 128, 259–269. [Google Scholar] [CrossRef] [PubMed]
 - Tatum, V.L.; Chow, C.K. Antioxidant status and susceptibility of sickle erythrocytes to oxidative and osmotic stress. Free Radic. Res. 1996, 25, 133–139. [Google Scholar] [CrossRef] [PubMed]
 - Cho, C.S.; Kato, G.J.; Yang, S.H.; Bae, S.W.; Lee, J.S.; Gladwin, M.T.; Rhee, S.G. Hydroxyurea-induced expression of glutathione peroxidase 1 in red blood cells of individuals with sickle cell anemia. Antioxid. Redox Signal 2010, 13, 1–11. [Google Scholar] [CrossRef] [PubMed]
 - Das, S.K.; Nair, R.C. Superoxide Dismutase, Glutathione Peroxidase, Catalase and Lipid Peroxidation of Normal and Sickled Erythrocytes. Br. J. Haematol. 1980, 44, 87–92. [Google Scholar] [CrossRef] [PubMed]
 - Natta, C.L.; Chen, L.C.; Chow, C.K. Selenium and glutathione peroxidase levels in sickle cell anemia. Acta Haematol. 1990, 83, 130–132. [Google Scholar] [CrossRef] [PubMed]
 - Piccin, A.; Murphy, C.; Eakins, E.; Rondinelli, M.B.; Daves, M.; Vecchiato, C.; Wolf, D.; Mc Mahon, C.; Smith, O.P. Insight into the complex pathophysiology of sickle cell anaemia and possible treatment. Eur. J. Haematol. 2019, 102, 319–330. [Google Scholar] [CrossRef] [PubMed]
 - Kuypers, F.A. Hemoglobin s polymerization and red cell membrane changes. Hematol. Oncol. Clin. N. Am. 2014, 28, 155–179. [Google Scholar] [CrossRef]
 - Alayash, A.I.; Wilson, M.T. Hemoglobin can Act as a (Pseudo)-Peroxidase in Vivo. What is the Evidence? Front. Mol. Biosci. 2022, 9, 910795. [Google Scholar] [CrossRef]
 - Rogers, S.C.; Ross, J.G.; d’Avignon, A.; Gibbons, L.B.; Gazit, V.; Hassan, M.N.; McLaughlin, D.; Griffin, S.; Neumayr, T.; Debaun, M.; et al. Sickle hemoglobin disturbs normal coupling among erythrocyte O2 content, glycolysis, and antioxidant capacity. Blood 2013, 121, 1651–1662. [Google Scholar] [CrossRef] [PubMed]
 - Shaklai, N.; Sharma, V.S.; Ranney, H.M. Interaction of sickle cell hemoglobin with erythrocyte membranes. Proc. Natl. Acad. Sci. USA 1981, 78, 65–68. [Google Scholar] [CrossRef]
 - Bose, D.; Aggarwal, S.; Das, D.; Narayana, C.; Chakrabarti, A. Erythroid spectrin binding modulates peroxidase and catalase activity of heme proteins. IUBMB Life 2022, 74, 474–487. [Google Scholar] [CrossRef] [PubMed]
 - Kuypers, F.A. Membrane lipid alterations in hemoglobinopathies. Hematol. Am. Soc. Hematol. Educ. Program. 2007, 68–73. [Google Scholar] [CrossRef] [PubMed]
 - Nagababu, E.; Chrest, F.J.; Rifkind, J.M. Hydrogen-peroxide-induced heme degradation in red blood cells: The protective roles of catalase and glutathione peroxidase. Biochim. Biophys. Acta General. Subj. 2003, 1620, 211–217. [Google Scholar] [CrossRef] [PubMed]
 - Urrechaga, E.; Borque, L.; Escanero, J.F. Erythrocyte and reticulocyte parameters in iron deficiency and thalassemia. J. Clin. Lab. Anal. 2011, 25, 223–228. [Google Scholar] [CrossRef] [PubMed]
 - Rivella, S. Ineffective erythropoiesis and thalassemias. Curr. Opin. Hematol. 2009, 16, 187–194. [Google Scholar] [CrossRef] [PubMed]
 - Kaewsakulthong, W.; Suriyun, T.; Chumchuen, S.; Anurathapan, U.; Hongeng, S.; Fucharoen, S.; Sripichai, O. In Vitro Study of Ineffective Erythropoiesis in Thalassemia: Diverse Intrinsic Pathophysiological Features of Erythroid Cells Derived from Various Thalassemia Syndromes. J. Clin. Med. 2022, 11, 5356. [Google Scholar] [CrossRef]
 - Awadallah, S. Protein antioxidants in thalassemia. Adv. Clin. Chem. 2013, 60, 85–128. [Google Scholar] [CrossRef]
 - Genc, G.E.; Ozturk, Z.; Gumuslu, S. Selenoproteins are involved in antioxidant defense systems in thalassemia. Metallomics 2017, 9, 1241–1250. [Google Scholar] [CrossRef]
 - Gerli, G.C.; Beretta, L.; Bianchi, M.; Pellegatta, A.; Agostoni, A. Erythrocyte superoxide dismutase, catalase and glutathione peroxidase activities in beta-thalassaemia (major and minor). Scand. J. Haematol. 1980, 25, 87–92. [Google Scholar] [CrossRef] [PubMed]
 - Delesderrier, E.; Cople-Rodrigues, C.S.; Omena, J.; Kneip Fleury, M.; Barbosa Brito, F.; Costa Bacelo, A.; Correa Koury, J.; Citelli, M. Selenium Status and Hemolysis in Sickle Cell Disease Patients. Nutrients 2019, 11, 2211. [Google Scholar] [CrossRef] [PubMed]
 - Hasanato, R. Alterations in serum levels of copper, zinc, and selenium among children with sickle cell anemia. Turk. J. Med. Sci. 2019, 49, 1287–1291. [Google Scholar] [CrossRef]
 - Erhabor, O.; Ogar, K.; Erhabor, T.; Dangana, A. Some haematological parameters, copper and selenium level among children of African descent with sickle cell disease in Specialist Hospital Sokoto, Nigeria. Human. Antibodies 2019, 27, 143–154. [Google Scholar] [CrossRef] [PubMed]
 - Melo, D.; Ferreira, F.; Coimbra, S.; Rocha, S.; Santos-Silva, A. Ascorbic Acid as an Important Erythrocyte Antioxidant Defense in Patients with Non-immune Hemolytic Anemias—A preliminary study. Free Rad. Biol. Med. 2020, 159, S28. [Google Scholar] [CrossRef]
 - Stevens-Hernandez, C.J.; Bruce, L.J. Reticulocyte Maturation. Membranes 2022, 12, 311. [Google Scholar] [CrossRef] [PubMed]
 - Melo, D.; Ferreira, F.; Teles, M.J.; Porto, G.; Coimbra, S.; Rocha, S.; Santos-Silva, A. Reticulocyte Antioxidant Enzymes mRNA Levels versus Reticulocyte Maturity Indices in Hereditary Spherocytosis, β-Thalassemia and Sickle Cell Disease. Int. J. Mol. Sci. 2024, 25, 2159. [Google Scholar] [CrossRef] [PubMed]
 - Lee, T.H.; Kim, S.U.; Yu, S.L.; Kim, S.H.; Park, D.S.; Moon, H.B.; Dho, S.H.; Kwon, K.S.; Kwon, H.J.; Han, Y.H.; et al. Peroxiredoxin II is essential for sustaining life span of erythrocytes in mice. Blood 2003, 101, 5033–5038. [Google Scholar] [CrossRef]
 - Ho, Y.S.; Xiong, Y.; Ma, W.; Spector, A.; Ho, D.S. Mice lacking catalase develop normally but show differential sensitivity to oxidant tissue injury. J. Biol. Chem. 2004, 279, 32804–32812. [Google Scholar] [CrossRef]
 


| Control (n = 34) | unspl HS (n = 22) | spl HS (n = 10) | SCD (n = 7) | β-Thal (n = 20) | |
|---|---|---|---|---|---|
| PLASMA | |||||
| TAS (mM) | 0.35 (0.27–0.48) | 0.35 (0.28–0.40) | 0.49 (0.35–0.57) a | 2.89 (2.21–3.09) * | 0.34 (0.30–0.47) | 
| AA (mM) | 0.005 (0.002–0.010)  | 0.007 (0.003–0.018)  | 0.006 (0.004–0.017)  | 0.079 (0.024–0.115) *  | 0.007 (0.002–0.011)  | 
| LPO (p.d.u.) | 5.76 (4.93–7.81) | 9.05 (4.93–11.51) * | 9.04 (6.58–12.54) * | 1.63 (1.25–2.19) * | 7.80 (6.58–10.49) * | 
| CAT activity (nmol/min/mL) | 69 (55–108) | 82 (60–102) | 118 (104–204) *a | 998 (899–2526) *ab | 55 (43–108) bc | 
| GPx activity (mU/mL) × 103 | 4.01 (2.67–6.78) | 5.11 (1.93–8.46) | 6.20 (1.13–12.97) | 4.81 (1.36–7.83) | 4.66 (2.60–7.09)c | 
| CYTOSOL | |||||
| TAS (mM) | 1.93 (1.64–2.22) | 2.71 (2.30–3.07) * | 3.06 (2.46–3.15) * | 2.89 (2.21–3.09) * | 2.57 (2.32–3.13) * | 
| AA (mM) | 0.018 (0.013–0.034)  | 0.082 (0.039–0.142) *  | 0.050 (0.028–0.130) *  | 0.079 (0.024–0.115) *  | 0.052 (0.023–0.087) *a  | 
| CAT activity (nmol/min/mL) × 104 | 1.10 (0.98–1.22) | 1.28 (1.03–1.46) * | 1.13 (1.08–1.46) | 1.63 (1.25–2.19) * | 1.39 (1.23–1.87) * | 
| GPx activity (mU/mL) | 702 (565–863) | 541 (461–818) | 686 (362–896) | 998 (899–2526) *ab | 536 (303–652) *c | 
| GSSG (µM) | 3.72 (2.09–7.47) | 3.51 (1.82–6.11) | 3.72 (1.82–5.77) | 4.81 (1.36–7.83) | 5.51 (3.34–8.53) | 
| GSH (µM) | 12.5 (8.4–18.4) | 14.3 (12.0–18.7) | 15.8 (13.4–18.4) | 17.4 (12.9–19.1) | 20.7 (17.8–29.4) *ab | 
| GSH/GSSG | 3.8 (1.4–8.3) | 5.4 (2.0–7.8) | 5.8 (2.5–9.1) | 3.1 (1.8–12.8) | 4.1 (2.3–8.0) | 
| MEMBRANE | |||||
| LPO (p.d.u.) × 10−2 | 6.2 (3.3–11.5) | 10.6 (7.9–19.3) * | 19.1 (9.9–22.5) * | 30.5 (21.2–40.9) *b | 11.8 (5.5–17.6) *bc | 
| MBH (%) | 0.66 (0.49–0.83) | 1.16 (0.76–1.52) * | 3.38 (1.19–4.19) *a | 1.34 (1.10–1.43) * | 0.97 (0.86–1.21) *abc | 
| CAT activity (nmol/min/mL) × 103 | 2.1 (1.5–4.9) | 2.9 (1.7–6.8) | 12.3 (1.7–44.7) | 2.7 (0.6–6.3) | 4.9 (0.9–23.2) | 
| Control (n = 34) | unspl HS (n = 22) | spl HS (n = 10) | SCD (n = 7) | β-Thal (n = 20) | ||
|---|---|---|---|---|---|---|
| AA cyt vs. Act CAT cyt | r | −0.35 | 0.30 | −0.36 | 0.11 | −0.35 | 
| p | 0.045 | ns | ns | ns | ns | |
| TAS cyt vs. AA cyt | r | 0.56 | 0.39 | 0.33 | 0.68 | 0.65 | 
| p | 0.001 | ns | ns | ns | 0.003 | |
| TAS cyt vs. LPO m | r | 0.41 | 0.14 | 0.38 | 0.86 | 0.30 | 
| p | 0.016 | ns | ns | 0.014 | ns | |
| TAS cyt vs. MBH m | r | 0.50 | 0.13 | 0.084 | −0.86 | 0.24 | 
| p | 0.003 | ns | ns | 0.014 | ns | |
| TAS cyt vs. Act CAT m | r | 0.54 | 0.10 | −0.44 | 0.086 | 0.14 | 
| p | 0.001 | ns | ns | ns | ns | |
| TAS cyt vs. CAT m | r | 0.44 | 0.43 | 0.084 | 0.75 | 0.51 | 
| p | 0.008 | ns | ns | ns | 0.024 | |
| TAS cyt vs. Prx2 m | r | 0.35 | 0.30 | −0.54 | 0.60 | 0.12 | 
| p | 0.042 | ns | ns | ns | ns | |
| LPO m vs. MBH | r | 0.50 | 0.25 | 0.10 | −0.93 | −0.092 | 
| p | 0.003 | ns | ns | 0.003 | ns | |
| LPO m vs. CAT m | r | 0.53 | 0.44 | −0.055 | 0.68 | −0.077 | 
| p | 0.001 | 0.048 | ns | ns | ns | |
| LPO m vs. AA cyt | r | 0.27 | 0.12 | 0.15 | 0.79 | 0.35 | 
| p | ns | ns | ns | 0.036 | ns | |
| CAT m vs. Act GPx cyt | r | 0.19 | 0.51 | 0.81 | 0.39 | 0.70 | 
| p | ns | 0.019 | 0.005 | ns | 0.001 | |
| Prx2 m vs. Prx2 cyt | r | 0.27 | −0.52 | −0.13 | −0.38 | 0.083 | 
| p | ns | 0.017 | ns | ns | ns | |
| TAS p vs. AA p | r | 0.41 | 0.35 | 0.84 | 0.29 | 0.12 | 
| p | 0.017 | ns | 0.002 | ns | ns | |
| LPO p vs. Act CAT p | r | 0.34 | 0.25 | 0.79 | 0.41 | 0.26 | 
| p | 0.049 | ns | 0.007 | ns | ns | |
| LPO p vs. AA cyt | r | −0.40 | 0.015 | 0.085 | −0.68 | −0.029 | 
| p | 0.021 | ns | ns | ns | ns | |
| Act CAT p vs. TAS cyt | r | −0.40 | 0.19 | 0.48 | 0.16 | 0.098 | 
| p | 0.018 | ns | ns | ns | ns | 
Disclaimer/Publisher’s Note: The statements, opinions and data contained in all publications are solely those of the individual author(s) and contributor(s) and not of MDPI and/or the editor(s). MDPI and/or the editor(s) disclaim responsibility for any injury to people or property resulting from any ideas, methods, instructions or products referred to in the content.  | 
© 2024 by the authors. Licensee MDPI, Basel, Switzerland. This article is an open access article distributed under the terms and conditions of the Creative Commons Attribution (CC BY) license (https://creativecommons.org/licenses/by/4.0/).
Share and Cite
Melo, D.; Ferreira, F.; Teles, M.J.; Porto, G.; Coimbra, S.; Rocha, S.; Santos-Silva, A. Catalase, Glutathione Peroxidase, and Peroxiredoxin 2 in Erythrocyte Cytosol and Membrane in Hereditary Spherocytosis, Sickle Cell Disease, and β-Thalassemia. Antioxidants 2024, 13, 629. https://doi.org/10.3390/antiox13060629
Melo D, Ferreira F, Teles MJ, Porto G, Coimbra S, Rocha S, Santos-Silva A. Catalase, Glutathione Peroxidase, and Peroxiredoxin 2 in Erythrocyte Cytosol and Membrane in Hereditary Spherocytosis, Sickle Cell Disease, and β-Thalassemia. Antioxidants. 2024; 13(6):629. https://doi.org/10.3390/antiox13060629
Chicago/Turabian StyleMelo, Daniela, Fátima Ferreira, Maria José Teles, Graça Porto, Susana Coimbra, Susana Rocha, and Alice Santos-Silva. 2024. "Catalase, Glutathione Peroxidase, and Peroxiredoxin 2 in Erythrocyte Cytosol and Membrane in Hereditary Spherocytosis, Sickle Cell Disease, and β-Thalassemia" Antioxidants 13, no. 6: 629. https://doi.org/10.3390/antiox13060629
APA StyleMelo, D., Ferreira, F., Teles, M. J., Porto, G., Coimbra, S., Rocha, S., & Santos-Silva, A. (2024). Catalase, Glutathione Peroxidase, and Peroxiredoxin 2 in Erythrocyte Cytosol and Membrane in Hereditary Spherocytosis, Sickle Cell Disease, and β-Thalassemia. Antioxidants, 13(6), 629. https://doi.org/10.3390/antiox13060629
        
