Abstract
Variations between fruit cultivars can significantly impact their biochemical composition. The present research examined the variability in the qualitative and quantitative content of phenolic compounds in berry extracts of Actinidia kolomikta and Actinidia arguta cultivars. Additionally, antioxidant activities of berry extracts were evaluated. The total phenolic, flavonoid, proanthocyanidin contents and hydroxycinnamic acid derivatives were determined using the appropriate methodologies. The average amount of phenolic compounds in A. kolomikta berries (177.80 mg/g) was three times higher than that of A. arguta (54.45 mg/g). Our findings revealed that berries of A. kolomikta and A. arguta accumulated, on average, 1.58 RE/g DW (rutin equivalent/g dry weight) and 0.615 mg RE/g DW of total flavonoids, 1439.31 mg EE/g DW (epicatechin equivalent/g dry weight) and 439.97 mg EE/g DW of proanthocyanidins, and 23.51 mg CAE/g DW (chlorogenic acid equivalent/g dry weight) and 5.65 mg CAE/g DW of hydroxycinnamic acid derivatives, respectively. The cultivars of both species were characterized by higher antioxidant activity of total phenolic compounds determined using CUPRAC and FRAP methods compared to the ABTS•+ method. The variability in phenolic compounds’ qualitative and quantitative content in tested berry extracts was evaluated by applying ultra-high performance liquid chromatography (UHPLC) coupled to mass spectrometry in tandem with electrospray ionization. Significant intraspecific differences in the amounts of total phenolic compounds, total flavonoid compounds, proanthocyanidins, and hydroxycinnamic acid derivatives were determined among cultivars. Four phenolic acids, eight flavonols, two flavones, and five flavon-3-ols were identified in the berry extracts.
1. Introduction
Over the past few decades, there has been a significant increase in consumer interest in various fruits and their health benefits [1]. This can be attributed to a combination of factors, such as heightened health awareness, improved access to nutritional information and adherence to government dietary guidelines; year-round availability facilitated by transportation advancements, growing interest in functional foods that align with health and wellness trends; and evolving snacking habits that favor healthier options, as well as a broader societal shift towards plant-based and sustainable dietary choices [2,3].
Growing demand for healthy food products motivates the scientific community to expand the search and investigation of potential superfruits [4]. Furthermore, neglected and underutilized indigenous and introduced berry plants could be considered new sources of vitamins [5]. Berries of Actinidia chinensis var. deliciosa (A. Chev.) C.F. Liang & A.R. Ferguson., commonly known as the kiwifruit, are a good source of biologically active compounds [6]. Kiwifruit contains a complex network of primary and secondary metabolites, notable levels of dietary fiber, minerals, and different phytochemicals such as carotenoids and polyphenolic compounds, contributing to the rich pharmacological profile [7,8]. However, this species is not winter hardy, so the cultivars are cultivated only in mild subtropical areas. In colder regions, they require specialized care to survive winter temperatures below −10 °C.
The species Actinidia arguta Miq. and Actinidia kolomikta Maxim. are frost hardy. Hence, selected cultivars could be cultivated in countries where winters are more severe [9]. In recent years, A. arguta has become the second most popular species, and it has recently become commercially available [10]. Thus, recently, the biologically active compounds in the berries and leaves of this species have been more extensively studied by other authors [11,12]. A. kolomikta is not widely grown when considering the cultivation of other Actinidia Lindl. species. However, recent studies have confirmed high levels of ascorbic acid and other phytochemical compounds with antioxidant properties [13,14].
Hardy kiwifruit species produce berries with edible skin, which are rich in secondary metabolites [12,15]. These berries attract attention not only for their nutrients, such as vitamins, carbohydrates, and minerals but also due to the accumulation of health-promoting compounds such as anthocyanins, flavonols, flavan-3-ols, chlorophylls, β-carotene, etc. [11].
Phenolic compounds are major secondary metabolites that play an essential role in the nutritional and organoleptic properties of berries and their derived products. Polyphenol-rich berries, such as cranberry, blackberry, honeysuckle, and blueberry, reduce DNA oxidation damage and defend the human body against the damaging effects of free radicals [16]. Flavonoids, a group of compounds with variable phenolic structures, are also found in berries [17]. A variety of flavonoids have been identified in leaves, berries, and other parts of different Actinidia species, including 32 flavones, 71 flavonols, 3 isoflavones, 16 flavanones, and 13 anthocyanins [18]. The functional role of flavonoids in plant drought resistance and freezing tolerance has been proven to be significant in breeding new cultivars [19]. Flavonoids are also valued for their antifungal, antiviral, antibacterial activity, and other health-promoting properties [20]. Hydroxycinnamic acid derivatives were determined in fruits, vegetables, and fruit seeds and were also distinguished for their potent antioxidant and anti-inflammatory properties [21,22].
The berries’ biochemical composition depends on various biotic and abiotic factors such as cultivar properties, ripening stage, cultivation conditions, and harvest time. Therefore, this study focuses on the content of phenolic compounds in berries of two species, A. arguta and A. kolomikta. Selected cultivars were chosen to determine the variety of phenolics between these two species and among cultivars. The results of these studies should support the development of hardy kiwi cultivation and select the best genotypes as potential donors of valuable characteristics for the selection of new cultivars.
2. Materials and Methods
2.1. Plant Material
The research was accomplished on five cultivars of A. kolomikta and five cultivars and hybrids of A. arguta grown in the Actinidia spp. germplasm collection of Vytautas Magnus University Botanical Garden. Each cultivar is represented by 3–5 plants. The collection is located in the Kaunas region, central lowland district of Lithuania, 76 m above sea level, WGS84 coordinates 54.87055° N and 23.91621° E. The average annual temperature is +6.9 °C, the average annual precipitation is 700 mm, and the mean temperature is +18.0 °C in July and −3.8 °C in January. The growth period of different Actinidia cultivars continues from 175 to 186 days [23]. Characteristics of berries are presented in Figure 1 and Table 1.
Figure 1.
Morphological variability of Actinidia kolomikta (Maxim.) (A–E) and Actinidia arguta (Miq.) (F–J) cultivars. Cultivars: (A)—‘Aromatnaja’, (B)—‘Milema’, (C)—‘Matovaja’, (D)—‘Sentiabrskaja’, (E)—‘VIR-2’, (F)—‘Kijivskaja Krupnoplidna’, (G)—‘Figurna’, (H)—‘Purpurova Sadova’, (I)—‘Izumrudna’, (J)—‘Kijivskaja Hibridna’.
Table 1.
Characteristics of A. kolomikta and A. arguta cultivars investigated in the present study.
Berries were stored at −80 °C until analysis. Before analysis, the berries were lyophilized at a pressure of 0.01 mbar and a condenser temperature of −85 °C using a Zirbus lyophilizer (Zirbus Technology GmbH, Bad Grund, Germany). Lyophilized berries were ground using the knife mill Grindomix GM 200 (Retsch GmbH, Haan, Germany), and samples were stored in tightly closed containers until investigation. The dehydration level of samples was determined with a hygrometer Precisa 310 M (Precisa, Dietikon, Switzerland). For each sample, the procedure was repeated three times, and averages of the drying estimates were calculated.
2.2. Chemicals
Ethanol 96 (v/v) was purchased from SC Vilniaus degtinė (Vilnius, Lithuania). ABTS•+ (2,2′-Azino-bis (3-ethylbenzothiazoline-6-sulfonic acid), acetonitrile, aluminum chloride hexahydrate, ammonium acetate, apigenin, caffeic acid, chlorogenic acid, (+)-catechin, copper (II) chloride dihydrate, (−)-epicatechin, ferulic acid, Folin–Ciocalteu reagent, gallic acid monohydrate, hyperoside, iron (III) chloride hexahydrate, isorhamnetin-3-O-rutinoside, isoquercitrin, kaempherol-3-O-glucoside, kaempferol-3-O-rutinoside, luteolin-4-O-glucoside, luteolin-7-rutinoside, neochlorogenic acid, phloridzin, potassium persulfate, procyanidin B1, procyanidin B2, procyanidin C1, rutin, sodium carbonate, trifluoroacetic acid, trolox ((±)-6-hydroxy-2,5,7,8-tetramethylchromano-2-carboxylic acid), quercetin were purchased from Sigma-Aldrich GmbH (Steinheim, Germany). Distilled water was produced using the Milli-Q® 180 (Millipore, Bedford, MA, USA) water purification system.
2.3. Preparation of Berry Extracts
The ethanolic extracts were prepared using 2.5 g of lyophilized powder and 40 mL of 70% ethanol. The samples were extracted for 10 min at 80 kHz and 1017 Win in an ultrasonic bath (Elmasonic P, Singen, Germany). After extraction, the ethanolic extracts were centrifuged for 2 min at 8500 rpm, at room temperature, using a Heraeus Biofuge Stratos centrifuge (Heraeus Holding GmbH, Haan, Germany). The supernatants were poured from the residues, filtered, and placed in wide-mouthed bottles, which were kept in a refrigerator at 4 °C until analysis. The obtained ethanolic extracts were filtered through 0.22 µm pore-size membrane filters (Carl Roth GmbH, Karlsruhe, Germany).
2.4. Determination of Bioactive Compounds Profile
The total phenolic content (TPC) in the tested extracts was determined using the Folin–Ciocalteu method and expressed as gallic acid equivalent in dry weight (mg GAE/g DW) [24]. The total flavonoid content (TFC) in the tested extracts was determined using the described methodology [25]. The total proanthocyanidin content in the tested extracts was determined using a reaction with DMAC (4-Dimethylaminocinnamalaldehyde) reagent [26]. The total content of hydroxycinnamic acid derivatives in the tested extracts was determined using a reaction with Arnow reagent and expressed as chlorogenic acid equivalent [27].
2.5. Evaluation of Phenolic Compounds in Berry Samples Using the UHPLC-ESI-MS/MS Technique
The variability in the qualitative and quantitative content of phenolic compounds in tested samples was evaluated by applying ultra-high performance liquid chromatography (UHPLC) coupled to a mass spectrometer, using a technique described and validated in an article by Gonzalez-Burgos et al. [28]. The analysis of the qualitative and quantitative content of phenolic compounds in the samples of the tested extracts was carried out using a liquid chromatography system “Waters ACQUITY UPLC® H–Class” (“Waters”, Milford, MA, USA) with a tandem quadrupole mass detector “Xevo TQD” (Waters, Milford, MA, USA). Sorting out of the compounds was performed using a “YMC Triart C18” (100 Å, 100 × 2.0 mm; particle size 1.9 μm) column (“YMC”, Kyoto, Japan) with a pre-column.
The mass spectrometry parameters for the analysis of phenolic compounds are presented in Table 2.
Table 2.
Mass spectrometry parameters for the analysis of phenolic compounds.
HPLC-MS/MS retention time and calibration data for phenolics are presented in the Supplement (Table S1). The peaks of chromatograms were identified using analytes and standards retention time compliance (Figures S1–S3). The compounds’ quantity was calculated using linear regression correlation equations derived from the standard calibration curve (Table S1).
2.6. Determination of Antioxidant Activity
ABTS•+ radical cation decolorization assay was applied according to the methodology described by Re et al. [29]. A volume of 3 mL of solution (absorbance 0.800 ± 0.02) was mixed with 10 μL of the tested extract. A decrease in absorbance was measured at a wavelength of 734 nm after keeping the samples in the dark for 30 min.
CUPRAC (Cupric ion reducing antioxidant activity) solution included copper (II) chloride (0.01 M in water), ammonium acetate buffer solution (0.001 M, pH = 7), and neocuproine (0.0075 M in ethanol) (ratio 1:1:1). During the evaluation, 3 mL of CUPRAC reagent was mixed with 10 µL of extracts. An increase in absorbance was recorded after 30 min at a wavelength of 450 nm [30].
The ferric-reducing antioxidant power (FRAP) assay was carried out as described by Benzie and Strain [31]. The working FRAP solution included 2,4,6-tri-2-pyridinyl-1,3,5-triazine (TPTZ) (0.01 M dissolved in 0.04 M HCl), FeCl3×6H2O (0.02 M in water), and acetate buffer (0.3 M, pH 3.6) at the ratio of 1:1:10. A volume of 3 mL of a freshly prepared FRAP reagent was mixed with 10 μL of the tested extract. An increase in absorbance was recorded after 30 min at a wavelength of 593 nm.
The antioxidant activity of tested extracts was calculated from the Trolox calibration curve and expressed as μmol Trolox equivalent (TE) per gram. TE was calculated according to the following formula:
TE = (C × V)/m (μmol/g)
C: TE concentration of Trolox established from the calibration curve (in μM); V: the volume of the extract (in L); m: the weight of herbal material (in g).
2.7. Statistical Analysis
The experiments were performed in triplicate. The mean values and standard deviations were calculated using MS Excel (Microsoft, Redmond, WA, USA). One-way analysis of variance (ANOVA) and the post hoc Duncan test were employed for statistical analysis using IBM SPSS Statistics 29 software. The differences were considered statistically significant at the p < 0.05 level. Pearson’s linear correlation was applied to measure the statistical relationship between CUPRAC, ABTS•+, DPPH parameters, TPC, TFC, proanthocyanidins, and hydroxycinnamic acid derivative content.
3. Results and Discussion
3.1. Determination of Phenolic Compounds
In our study, the total amount of phenolic compounds (TPC) in the berries of A. kolomikta and A. arguta cultivars ranged from 134.45 ± 36.45 to 227.46 ± 1.99 mg GAE/g DW and from 35.67 ± 3.64 to 106.98 ± 11.92 mg GAE/g DW, respectively (Figure 2a). A. kolomikta cultivar ‘Aromatnaja’ accumulated the most TPC, while ‘Izumrudna’ was distinguished for the largest amounts of TPC among A. arguta cultivars. In our previous study, leaves and berries of A. kolomikta cultivar ‘Aromatnaja’ also showed high levels of bioactive compounds [32]. Studies of other A. arguta cultivars also confirmed high amounts of TPC in the berries (from 2443.3 mg/100 g DW to 6679.18 mg/100g DW) [10], which is consistent with the results of our research. However, compared to the cultivars of A. deliciosa species, the berries of A. kolomikta and A. arguta were several times richer in TPC [33]. Currently, phenolic compounds are of greater interest because of their biological activities and effect on human wellness and prevention of diseases.

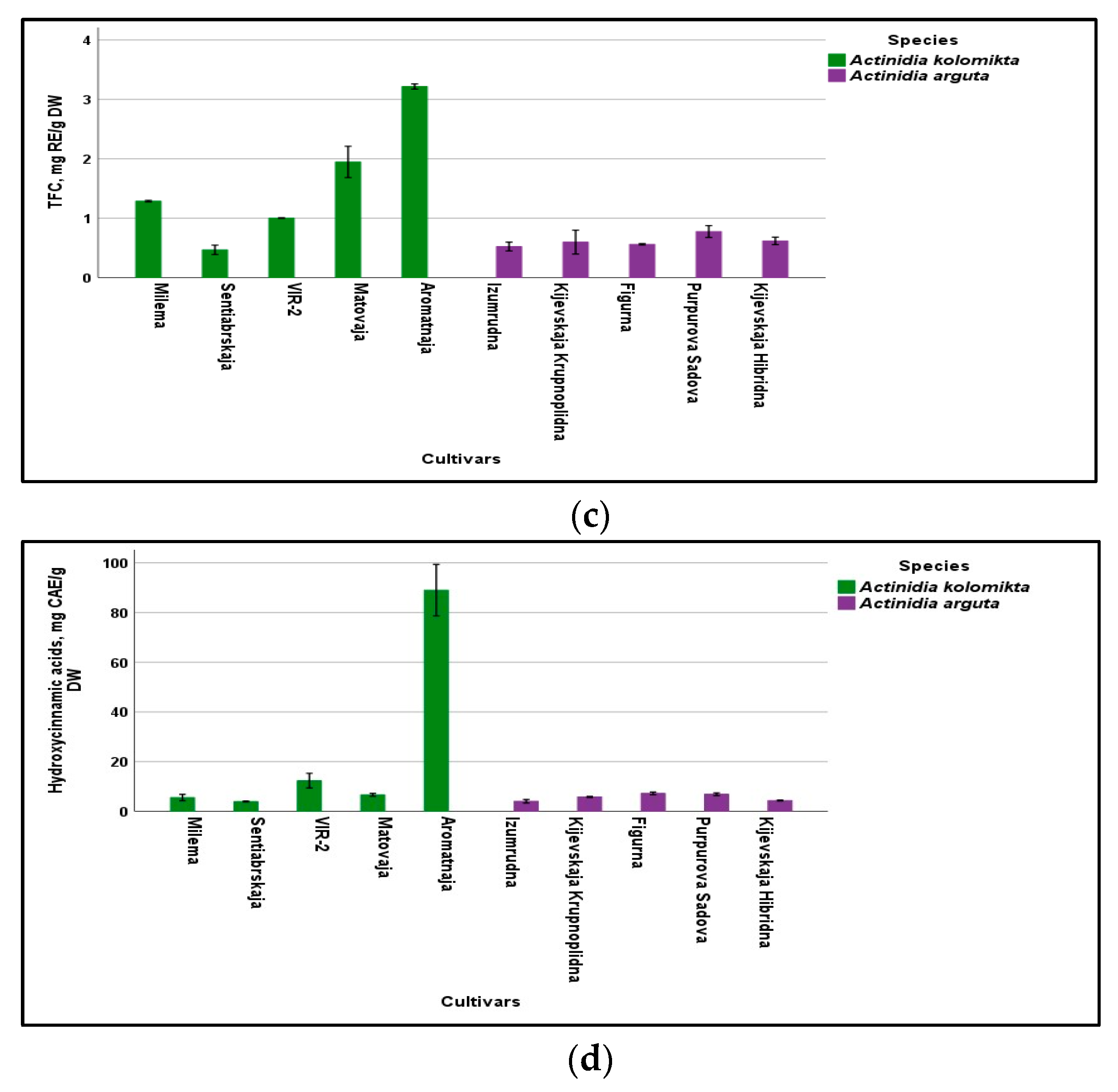
Figure 2.
Content of total phenolics (a), proanthocyanidins (b), total flavonoids (c), and hydroxycinnamic acid derivatives (d) in berries of A. kolomikta and A. arguta. Data were expressed as mean ± standard deviation (SD) (n = 3). The differences were considered statistically significant at p < 0.05.
The amount of TPC composes approximately 35% of all secondary metabolites found in Actinidia spp. It is important to note that in various plant parts of different Actinidia species, as many as 287 phenolic compounds, including 95 simple phenols and 192 polyphenols, have been found [18]. Comparing both studied species, similar trends were determined in terms of the total amounts of proanthocyanidins since considerable variation was found (Figure 2b). The average proanthocyanidins content expressed as epicatechin equivalent (mg EE/g DW) ranged from 439.97 ± 18.65 mg EE/g DW (A. arguta) to 1439.31 ± 25.11 mg EE/g DW (A. kolomikta). Thus, the amounts of proanthocyanidins were more than three times higher in berries of A. kolomikta. As Qi et al. [34] have confirmed, proanthocyanidins are safe and efficient natural antioxidants with potential application value. The effect of proanthocyanidins on specific diseases is proven. Conducted studies suggested that the bioactive compounds present in A. arguta fruit have the potential to impact glioblastoma growth by reducing cancer self-renewal [35]. As Dixon et al. emphasized, proanthocyanidins give flavor and astringency to beverages such as fruit juices and teas and are recognized as having beneficial effects on health. These compounds are also important for the growth and development of the plants themselves, as it has been established that their major function is to protect against diseases, pests, and herbivores [36].
When comparing both species and their cultivars according to the amounts of total flavonoids (TFC) and hydroxycinnamic acid derivatives, high intraspecific and interspecific variability was determined (Figure 2c,d). The total amount of hydroxycinnamic acid derivatives for A. kolomikta cultivars ranged from 3.96 ± 0.18 mg CAE/g DW to 89.00 ± 10.34 mg CAE/g DW (chlorogenic acid/g dry weight), and, for A. arguta cultivars, from 4.08 ± 0.70 mg CAE/g DW to 7.24 mg CAE/g DW. The TFC amounts expressed in mg RE/g DW also varied in the tested extracts depending on the cultivar. In berries of A. kolomikta and A. arguta, the average TFC contents were determined to be 1.58 ± 0.23 mg RE/g DW and 0.615 ± 0.08 mg RE/g DW (rutin equivalent/g dry weight), respectively (Figure 2c). These results confirmed that the most significant average amounts of all classes of phenolic compounds studied were characteristic of A. kolomikta cultivars. Berries of the cultivar ‘Aromatnaja’ accumulated significantly more hydroxycinnamic acid derivatives and were characterized by large amounts of proanthocyanidins and total amounts of flavonoids (TFC).
In summary, berries containing these compounds are promising for wider cultivation and application due to their exceptional effects on human health. A. arguta and A. kolomikta are both highly resistant to pests and diseases [23]. The role of phenolic compounds in horticultural plants in their resistance to fungal and bacterial diseases or pests is of fundamental and practical interest [32,36].
3.2. Quantitative Composition of Phenolic Compounds
In this study, phenolic compounds in berry extracts of cultivars of A. kolomikta and A. arguta were identified and quantified using UHPLC-ESI-MS/MS analysis. As shown in Table 3, 19 phenolic compounds (4 phenolic acids, 8 flavonols, 2 flavones, and 5 flavon-3-ols) were identified.
Table 3.
Content of phenolic compounds (µg/g DW) in berries of different Actinidia kolomikta and Actinidia arguta cultivars.
Four phenolic acids and hydroxycinnamic acid derivatives (neochlorogenic, chlorogenic, ferulic, and caffeic) were found in A. kolomikta and A. arguta cultivars. Chlorogenic acid was notably predominant, and the largest amount of chlorogenic acid (211.74 ± 6.24 µg/g DW) was found in berries of the A. kolomikta cultivar ‘Aromatnaja’. The lowest chlorogenic acid content (4.22 ± 0.58 µg/g DW) was determined in berries of the A. arguta cultivar ‘Purpurova Sadova’. According to other authors, A. arguta berries accumulated the most neochlorogenic acid, but another cultivar (‘Geneva’) was studied [37]. Macedo et al. [35] have presented investigations whose results supported lower amounts of both chlorogenic and neochlorogenic acids compared to our results: 0.217 µg/mg DW and 0.0528 µg/mg DW, respectively. In berries of both A. kolomikta and A. arguta cultivars, ferulic acid was found in smaller amounts compared to other hydoxycinnamic acid derivatives. However, the literature indicates that ferulic acid has especially strong antioxidant activity and is much less affected by pH changes than other phenolic acids, such as chlorogenic, caffeic, and gallic acids [38]. All the more so, as the studies of both types of berries confirmed a strong protective effect of ferulic acid (in vitro) against advanced glycation end-products (AGEs) formation with Pearson’s correlation coefficient of 0.9982 [12]. This confirms the health-promoting potential of the studied berries.
The total content of flavonols in berry extracts of A. kolomikta and A. arguta cultivars ranged from 2.64 µg/g DW to 1078.48 µg/g DW. The most common flavonols identified in all berry extracts were kaempferol-3-O-glucoside, isoquercitrin, and hyperoside. Evaluating the variety and amounts of flavonols, our results showed that rutin was, on average higher in A. arguta berries, except for the cultivar ‘Izumrudna’; however, A. kolomikta cultivars differed in that they had significantly higher amounts of kaempferol-3-O-glucoside. The largest amount of isoquercitrin (1078.48 ± 27.35 µg/g DW) was found in berry samples of the A. kolomikta cultivar ‘Aromatnaja’. Among the cultivars of A. arguta, ‘Kijivskaja Krupnoplidna’ was characterized by a higher amount of isoquercitrin—621.82 ± 7.87 µg/g DW. The antidiabetic activity of both isoquercitrin and hyperoside isolated from A. arguta fruits was confirmed by Kurakane et al. [39]. Furthermore, phloridzin was found in all the extracts examined. In our previous studies, this compound was identified only in the leaves of one cultivar [32].
Two compounds of the flavones group were identified in the berry extracts luteolin-4-O-glucoside and luteolin-7-rutinoside. The amounts of luteolin-4-O-glucoside varied from 8.81 ± 1.74 µg/g DW to 80.97 ± 6.14 µg/g DW in berries of A. kolomikta. Meanwhile, berries of A. arguta cultivars accumulated from 6.95 ± 0.48 µg/g DW to 14.38 ± 2.27 µg/g DW. The most luteolin-7-rutinoside (87.40 ± 6.58 DW µg/g) was found in berry samples of the cultivar ‘Aromatnaja’. These flavones are also found in Actinidia deliciosa berries [40]. According to our available data, these compounds have been detected in A. kolomikta berries for the first time, and in some cultivars, their amounts are significantly higher than in the berries of other Actinidia species [33,41]. Studies over the last two decades have revealed the therapeutic potential of these compounds to reduce Alzheimer’s disease symptoms in both in vitro and in vivo models [42]. The ability of luteolin to inhibit angiogenesis, induce apoptosis, and prevent carcinogenesis was also substantiated [43].
From the group of flavan-3-ols, (−)-epicatechin, (+)-catechin, procyanidin B1, procyanidin B2, and procyanidin C1 were found. The total content of flavon-3-ols in the berry extracts ranged from 10.41 µg/g to 465.27 µg/g DW. Since the total content of flavan-3-ols in the berries of A. kolomikta cultivars significantly exceeded the amounts determined in A. arguta, the same trend was also evident when evaluating the amounts of specific flavan-3-ols among different cultivars (Table 3). A. kolomikta berries accumulated exceptionally high amounts of procyanidin B2, which ranged from 207.20 ± 8.20 µg/g DW to 465.27 ± 32.68 µg/g DW. Previously, Zhang et al. reported that A. arguta berries contain (−)-epicatechin and (+)-catechin, which has shown significant anti-inflammatory activity [44]. Other authors emphasized the special biological potential of proanthocyanidins and their importance in performing neuroprotective, cardioprotective, lipid-lowering, anti-obesity, and other important functions in the human organism Qi et al. [34].
The results of the qualitative composition of phenolic compounds obtained in the previous research also showed the presence of flavan-3-ols, phenolic acids, and flavonols in A. kolomikta berries [32]. According to the present study, ferulic acid, luteolin-O-glucoside, luteolin-7-rutinoside, procyanidin B1, and procyanidin B2 were found for the first time in A. kolomikta berries. Since the cultivation conditions and research methods were the same, the quantitative and qualitative differences could be because the plant material was collected in different years. Climatic conditions such as drought stress and temperature are important environmental factors that restrict plant growth and alter tissue chemical composition and may significantly influence the synthesis of biologically active substances in plants [45]. In this study, both the intraspecific and interspecific diversity of phenolic compounds was investigated, identifying the most nutritionally important compounds. In summary, berries of winter-resistant A. kolomikta and A. arguta species contain significant levels of biologically active substances that have physiological and biochemical benefits and are important for human health.
3.3. Determination of Antioxidant Activity
A. kolomikta cultivars predominantly showed stronger antioxidant activity as measured by the CUPRAC method, while the antioxidant activity of the berry extract of the cultivar ‘Sentiabrskaja’ (206.00 ± 60.56 µmol TE/g DW) was characterized as very close to that of A. arguta cultivar ‘Izumrudna’ (206.80 ± 2.58 µmol TE/g DW) (Figure 3).
Figure 3.
Antioxidant activity of different cultivars of A. kolomikta and A. arguta berries. Data were expressed as mean ± standard deviation (SD) (n = 3). Significant differences between cultivars of berries were tested, according to Duncan’s least significant difference (LSD) procedure, at the 1% significance level.
A similar situation was found when evaluating the variation in the antioxidant activity using the FRAP method. The values of antioxidant activity in berry extracts of A. kolomikta and A. arguta reached from 411.26 ± 25.24 µmol TE/g DW to 899.27 ± 1.25 µmol TE/g DW and from 60.26 ± 0.49 µmol TE/g DW to 558.70 ± 10.55 µmol TE/g DW, respectively. In conclusion, it can be stated that the berries’ antioxidant activity of both Actinidia species varied significantly among different cultivars of the same species, although the majority of A. kolomikta cultivars were characterized by higher antioxidant activity values using CUPRAC and FRAP as well as ABTS•+ methods.
The relationship between TPC content and antioxidant activity values is presented in Figure 4a–c. The lower amounts of TPC in the berries of A. arguta cultivars also resulted in lower antioxidant activity, as identified using all three methods. Moreover, even higher amounts of TPC in berries of the ‘Izumrudna’ cultivar did not significantly influence the antioxidant activity compared to A. kolomikta cultivars. This could be explained by the effect of another strong antioxidant-ascorbic acid because the concentration of this compound in the berries of A. kolomikta was determined to be several times higher than that of A. arguta [46,47]. Different phytochemicals contribute to the total antioxidant capacity in different proportions. Studies on different strawberry cultivars have shown that 30% of the contribution was due to vitamin C [48].
Figure 4.
Cultivar arrangement describing (a) TPC (mg GAE/g DW) and CUPRAC (µmol TE/g DW) reducing activity, (b) TPC (mg GAE/g DW) and FRAP (µmol TE/g DW) reducing activity and (c) TPC (mg GAE/g DW) and ABTS (µmol TE/g DW) antiradical activity of A. kolomikta and A. arguta cultivars.
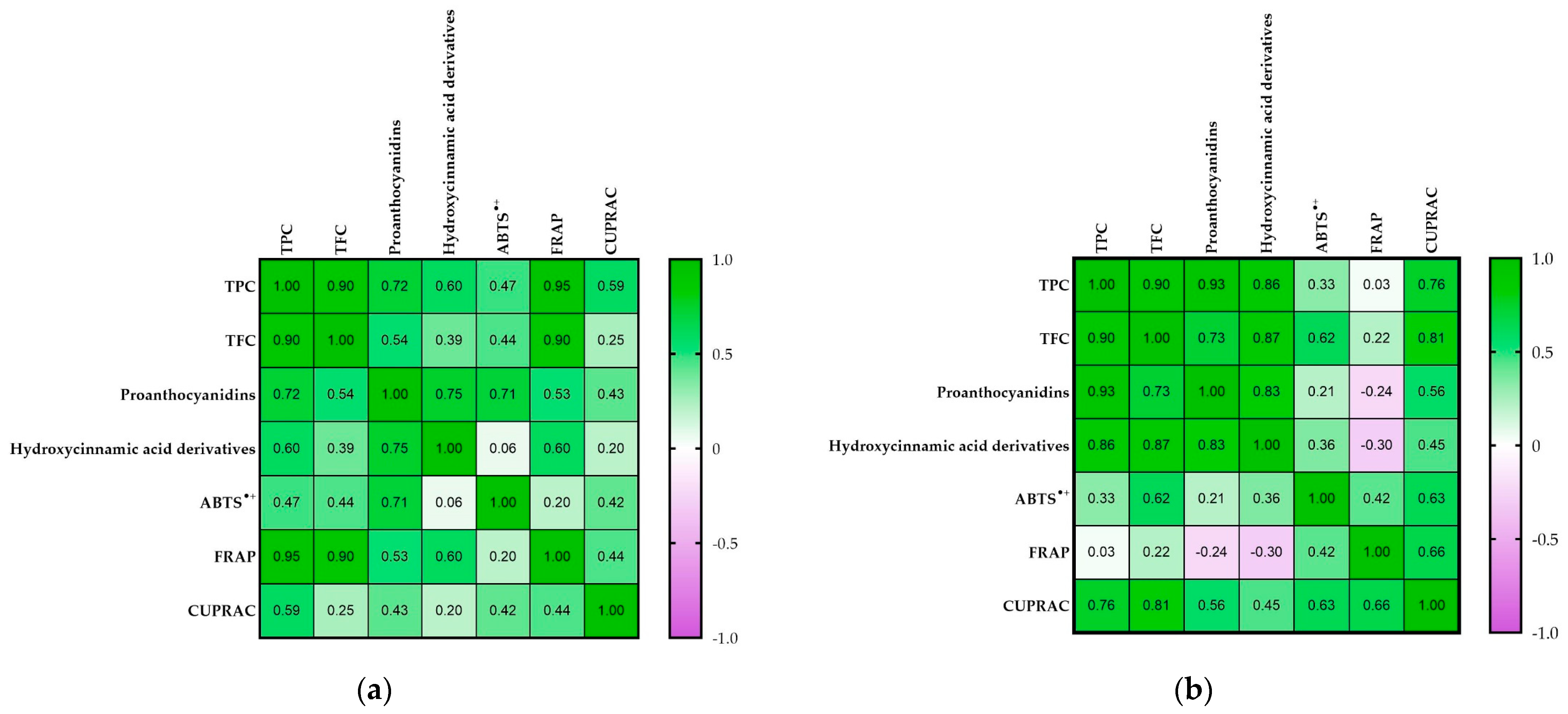
Pearson’s correlation coefficient was applied to evaluate the relationship between the antioxidant activity and secondary metabolite contents, as shown in Figure 5.
Figure 5.
Correlation coefficients between tested bioactivities and functional constituents (a) A. arguta; (b) A. kolomikta. Pearson’s correlation was performed by using the average values of each variable (p < 0.05).
The data on the A. arguta species showed a significant positive correlation between TPC and TFC, proanthocyanidins, hydroxycinnamic acid derivatives, FRAP, and CUPRAC, as well as between TFC and proanthocyanidins and FRAP (p < 0.05) (Figure 5). On the other hand, the data on the A. kolomikta species showed a positive correlation between TPC and TFC, proanthocyanidins, hydroxycinnamic acid derivatives, and CUPRAC, while a high positive correlation between TFC versus proanthocyanidins, hydroxycinnamic acid derivatives, ABTS•+, and CUPRAC was found. Other authors have reported that the correlation analysis of various Actinidia genotypes revealed a strong positive dependence between antioxidant activity measured using the DPPH method versus vitamin C contained in fruit and TPC [49].
4. Conclusions
This study presents the results of investigations on the content of the important biologically active constituents of TPC in berries of frost-resistant A. kolomikta and A. arguta species and cultivars, along with their antioxidant activity. Comparing the amounts of TPC, it was found that A. kolomikta and A. arguta berries accumulated, on average, 177.80 mg GAE/g DW and 54.45 mg GAE/g DW, respectively. The amounts of total flavonoids, hydroxycinnamic acid derivatives, and proanthocyanidins in berries of A. kolomikta cultivars were also statistically reliably higher. Flavan-3-ols, flavones, hydroxycinnamic acids, and flavonols were determined by the analysis of the qualitative and quantitative content of phenolic compounds using the UHPLC-ESI-MS/MS technique. Our data indicated that berries of both hardy kiwi species were major sources of natural antioxidants. The correlation analysis showed that the total phenolic and total flavonoid compounds were the main contributors to antioxidant activity. Variation in antioxidant activity determined by CUPRAC, FRAP, and ABTS•+ methods was strongly influenced by different cultivar characteristics. In summary, the identified phenolic compounds are promising for more comprehensive research and application due to their exceptional effects on human health. Further investigations are necessary to broadly assess the properties of secondary metabolites and their influence on plant resistance to fungal and bacterial diseases and pests.
Supplementary Materials
The following supporting information can be downloaded at: https://www.mdpi.com/article/10.3390/antiox13030372/s1, Table S1: HPLC-MS-ESI method parameters for phenolics; Figure S1: Chromatogram of A. kolomikta (A) and A. arguta (B) phenolic compounds: procyanidin C1, procyanidin B1, luteolin-7-rutinoside, luteolin-4-O-glucoside, hyperoside+isoquercitrin, kaempferol-3-O-rutinoside, and neochlorogenic acid.; Figure S2: Chromatogram of A. kolomikta (A) and A. arguta (B) phenolic compounds: procyanidin B1, ferulic acid, isorhamnetin-3-O-rutinoside, quercetin, phloridzin, neochlorogenic acid, and catechin. Figure S3: Chromatogram of A. kolomikta (A) and A. arguta (B) phenolic compounds: hyperoside+isoquercitrin, rutin, kaempferol-3-O-glucoside, caffeic acid, and catechin.
Author Contributions
Conceptualization, V.J. and P.V.; methodology, L.Č., M.L. and V.Ž.; software, R.K. and S.S.; validation, J.V., M.Z. and A.B.; formal analysis, P.M.; investigation, V.J. and S.S.; resources, P.V. and M.Z.; data curation, J.V. and D.U.; writing—original draft preparation, V.J.; writing—review and editing, L.Č. and M.Z.; visualization, R.K.; supervision, R.D.; project administration, R.D.; funding acquisition, P.V. All authors have read and agreed to the published version of the manuscript.
Funding
The APC was funded by Vytautas Magnus University.
Institutional Review Board Statement
Not applicable.
Informed Consent Statement
Not applicable.
Data Availability Statement
The data presented in this study are available in the article.
Conflicts of Interest
The authors declare no conflicts of interest.
References
- Mesías, F.J.; Martín, A.; Hernández, A. Consumers’ growing appetite for natural foods: Perceptions towards the use of natural preservatives in fresh fruit. Food Res. Int. 2021, 150, 110749. [Google Scholar] [CrossRef] [PubMed]
- Bowen, A.; Grygorczyk, A. Consumer eating habits and perceptions of fresh produce quality. In Postharvest Handling; Elsevier: Amsterdam, The Netherlands, 2022; pp. 487–515. [Google Scholar]
- Aschemann-Witzel, J.; Gantriis, R.F.; Fraga, P.; Perez-Cueto, F.J. Plant-based food and protein trend from a business perspective: Markets, consumers, and the challenges and opportunities in the future. Crit. Rev. Food Sci. Nutr. 2021, 61, 3119–3128. [Google Scholar] [CrossRef] [PubMed]
- Kupska, M.; Wasilewski, T.; Jędrkiewicz, R.; Gromadzka, J.; Namieśnik, J. Determination of terpene profiles in potential superfruits. Int. J. Food Prop. 2016, 19, 2726–2738. [Google Scholar] [CrossRef]
- Chacha, J.S.; Ofoedu, C.E.; Suleiman, R.A.; Jumbe, T.J.; Kulwa, K.B.M. Chapter 7—Underutilized fruits: Challenges and constraints for domestication. In Future Foods; Global Trends, Opportunities, and Sustainability Challenges; Elsevier Inc.: Amsterdam, The Netherlands, 2022; pp. 133–150. [Google Scholar]
- Wang, S.; Qiu, Y.; Zhu, F. Kiwifruit (Actinidia spp.): A review of chemical diversity and biological activities. Food Chem. 2021, 350, 128469. [Google Scholar] [CrossRef] [PubMed]
- Gao, W.; Zhang, L. Comparative analysis of the microbial community composition between Tibetan kefir grains and milks. Food Res. Int. 2019, 116, 137–144. [Google Scholar] [CrossRef] [PubMed]
- Wang, Y.; Li, L.; Liu, H.; Zhao, T.; Meng, C.; Liu, Z.; Liu, X. Bioactive compounds and in vitro antioxidant activities of peel, flesh and seed powder of kiwi fruit. Int. J. Food Sci. Tech. 2018, 53, 2239–2245. [Google Scholar] [CrossRef]
- Huang, H. Kiwifruit: The Genus ACTINIDIA. In Kiwifruit; Elsevier Science & Technology: Alpharetta, GA, USA, 2016. [Google Scholar]
- Wojdyło, A.; Nowicka, P.; Oszmiański, J.; Golis, T. Phytochemical compounds and biological effects of Actinidia fruits. J. Funct. Foods 2017, 30, 194–202. [Google Scholar] [CrossRef]
- Baranowska-Wójcik, E.; Szwajgier, D. Characteristics and pro-health properties of mini kiwi (Actinidia arguta). Hortic. Environ. Biotechnol. 2019, 60, 217–225. [Google Scholar] [CrossRef]
- Sawicki, T.; Błaszczak, W.; Latocha, P. In vitro anticholinergic and antiglycaemic properties of frost-hardy Actinidia fruit extracts and their polyphenol profile, L-ascorbic acid content and antioxidant capacity. Food Res. Int. 2023, 173, 113324. [Google Scholar] [CrossRef]
- Zuo, L.; Wang, Z.; Fan, Z.; Tian, S.; Liu, J. Evaluation of Antioxidant and antiproliferative properties of three Actinidia (Actinidia kolomikta, Actinidia arguta, Actinidia chinensis) extracts in vitro. Int. J. Mol. Sci. 2012, 13, 5506–5518. [Google Scholar] [CrossRef]
- Horák, M.; Šnurkovič, P.; Ondrášek, I.; Balík, J.; Srilaong, V. Comparison of some physico-chemical parameters of kiwiberry (Actinidia arguta) cultivars from a cold climate. Folia Hortic. 2019, 31, 375–383. [Google Scholar] [CrossRef]
- Lin, Y.; Tang, H.; Zhao, B.; Lei, D.; Zhou, X.; Yao, W.; Fan, J.; Zhang, Y.; Chen, Q.; Wang, Y.; et al. Comparative changes of health-promoting phytochemicals and sugar metabolism of two hardy kiwifruit (Actinidia arguta) cultivars during fruit development and maturity. Front. Plant Sci. 2022, 13, 1087452. [Google Scholar] [CrossRef]
- Chang, S.K.; Alasalvar, C.; Shahidi, F. Superfruits: Phytochemicals, antioxidant efficacies, and health effects—A comprehensive review. Crit. Rev. Food Sci. Nutr. 2019, 59, 1580–1604. [Google Scholar] [CrossRef] [PubMed]
- Wang, Y.; Zhang, M.; Dong, K.; Yin, X.; Hao, C.; Zhang, W.; Irfan, M.; Chen, L.; Wang, Y. Metabolomic and transcriptomic exploration of the uric acid-reducing flavonoids biosynthetic pathways in the fruit of Actinidia arguta Sieb. Zucc. Front. Plant Sci. 2022, 13, 1025317. [Google Scholar] [CrossRef] [PubMed]
- Waswa, E.N.; Ding, S.; Wambua, F.M.; Mkala, E.M.; Mutinda, E.S.; Odago, W.O.; Amenu, S.G.; Muthui, S.W.; Linda, E.L.; Katumo, D.M.; et al. The genus Actinidia lindl. (Actinidiaceae): A comprehensive review on its ethnobotany, phytochemistry, and pharmacological properties. J. Ethnopharmacol. 2024, 319, 117222. [Google Scholar] [CrossRef] [PubMed]
- D’Amelia, V.; Aversano, R.; Chiaiese, P.; Carputo, D. The antioxidant properties of plant flavonoids: Their exploitation by molecular plant breeding. Phytochem. Rev. 2018, 17, 611–625. [Google Scholar] [CrossRef]
- Gervasi, T.; Calderaro, A.; Barreca, D.; Tellone, E.; Trombetta, D.; Ficarra, S.; Smeriglio, A.; Mandalari, G.; Gattuso, G. Biotechnological applications and health-promoting properties of flavonols: An updated view. Int. J. Mol. Sci. 2022, 23, 1710. [Google Scholar] [CrossRef] [PubMed]
- Coman, V.; Vodnar, D.C. Hydroxycinnamic acids and human health: Recent advances. J. Sci. Food Agric. 2020, 100, 483–499. [Google Scholar] [CrossRef] [PubMed]
- Alam, M.A.; Subhan, N.; Hossain, H.; Hossain, M.; Reza, H.M.; Rahman, M.M.; Ullah, M.O. Hydroxycinnamic acid derivatives: A potential class of natural compounds for the management of lipid metabolism and obesity. Nutr. Metab. 2016, 13, 27. [Google Scholar] [CrossRef] [PubMed]
- Česonienė, L. Assessment of phenological and microphenological timing of Actinidia kolomikta. Hortic. Veg. Grow. 2004, 23, 82–91. [Google Scholar]
- Singleton, V.L.; Orthofer, R.; Lamuela-Raventós, R.M. Analysis of total phenols and other oxidation substrates and antioxidants by means of Folin-Ciocalteu reagent. Meth Enzymol. 1999, 299, 152–178. [Google Scholar]
- Urbonavičiūtė, A.; Jakštas, V.; Kornyšova, O.; Janulis, V.; Maruška, A. Capillary electrophoretic analysis of flavonoids in single-styled hawthorn (Crataegus monogyna Jacq.) ethanolic extracts. J. Chromatogr. A 2006, 1112, 339–344. [Google Scholar] [CrossRef]
- Heil, M.; Baumann, B.; Andary, C.; Linsenmair, E.K.; McKey, D. Extraction and quantification of “condensed tannins” as a measure of plant anti-herbivore defence? Revisiting an old problem. Naturwissenschaften 2002, 89, 519–524. [Google Scholar] [CrossRef]
- Didier, F.; Catherine, F.; Odile, T.; Jean-Louis, L. Caffeoyl derivatives: Major antioxidant compounds of some wild herbs of the Asteraceae family. Food Sci. Nutr. 2011, 2, 181–192. [Google Scholar]
- González-Burgos, E.; Liaudanskas, M.; Viškelis, J.; Žvikas, V.; Janulis, V.; Gómez-Serranillos, M.P. Antioxidant activity, neuroprotective properties and bioactive constituents analysis of varying polarity extracts from Eucalyptus globulus leaves. J. Food Drug Anal. 2018, 26, 1293–1302. [Google Scholar] [CrossRef] [PubMed]
- Re, R.; Pellegrini, N.; Proteggente, A.; Pannala, A.; Yang, M.; Rice-Evans, C. Antioxidant activity applying an improved ABTS radical cation decolorization assay. Free Radic. Bio. Med. 1999, 26, 1231–1237. [Google Scholar] [CrossRef] [PubMed]
- Apak, R.; Güçlü, K.; Demirata, B.; Özyürek, M.; Çelik, S.E.; Bektaşoğlu, B.; Berker, K.I.; Özyurt, D. Comparative evaluation of various total antioxidant capacity assays applied to phenolic compounds with the CUPRAC assay. Molecules 2007, 12, 1496–1547. [Google Scholar] [CrossRef] [PubMed]
- Benzie, I.F.; Strain, J.J. The ferric reducing ability of plasma (FRAP) as a measure of “antioxidant power”: The FRAP assay. Anal. Biochem. 1996, 239, 70–76. [Google Scholar] [CrossRef] [PubMed]
- Česonienė, L.; Štreimikytė, P.; Liaudanskas, M.; Žvikas, V.; Viškelis, P.; Viškelis, J.; Daubaras, R. Berries and Leaves of Actinidia kolomikta (Rupr. & Maxim.) Maxim.: A Source of Phenolic Compounds. Plants 2022, 11, 147. [Google Scholar] [PubMed]
- Leontowicz, H.; Leontowicz, M.; Latocha, P.; Jesion, I.; Park, Y.; Katrich, E.; Barasch, D.; Nemirovski, A.; Gorinstein, S. Bioactivity and nutritional properties of hardy kiwi fruit Actinidia arguta in comparison with Actinidia deliciosa ‘Hayward’ and Actinidia eriantha ‘Bidan’. Food Chem. 2016, 196, 281–291. [Google Scholar] [CrossRef] [PubMed]
- Qi, Q.; Chu, M.; Yu, X.; Xie, Y.; Li, Y.; Du, Y.; Liu, X.; Zhang, Z.; Shi, J.; Yan, N. Anthocyanins and proanthocyanidins: Chemical structures, food sources, bioactivities, and product development. Food Rev. Int. 2023, 39, 4581–4609. [Google Scholar] [CrossRef]
- Macedo, C.; Costa, P.C.; Rodrigues, F. Bioactive compounds from Actinidia arguta fruit as a new strategy to fight glioblastoma. Food Res. Int. 2023, 175, 113770. [Google Scholar] [CrossRef] [PubMed]
- Dixon, R.A.; Xie, D.; Sharma, S.B. Proanthocyanidins–a final frontier in flavonoid research? New Phytol. 2005, 165, 9–28. [Google Scholar] [CrossRef] [PubMed]
- Wojdyło, A.; Nowicka, P. Anticholinergic effects of Actinidia arguta fruits and their polyphenol content determined by liquid chromatography-photodiode array detector-quadrupole/time of flight-mass spectrometry (LC-MS-PDA-Q/TOF). Food Chem. 2019, 271, 216–223. [Google Scholar] [CrossRef] [PubMed]
- Ou, S.; Kwok, K. Ferulic acid: Pharmaceutical functions, preparation and applications in foods. J. Sci. Food Agric. 2004, 84, 1261–1269. [Google Scholar] [CrossRef]
- Kurakane, S.; Yamada, N.; Sato, H.; Igarashi, K. Anti-diabetic effects of Actinidia arguta polyphenols on rats and KK-Ay mice. Food Sci. Technol. Res. 2011, 17, 93–102. [Google Scholar] [CrossRef]
- Ozden, E.M.; Bingol, Z.; Mutlu, M.; Karagecili, H.; Köksal, E.; Goren, A.C.; Alwasel, S.H.; Gulcin, İ. Antioxidant, antiglaucoma, anticholinergic, and antidiabetic effects of kiwifruit (Actinidia deliciosa) oil: Metabolite profile analysis using LC-HR/MS, GC/MS and GC-FID. Life 2023, 13, 1939. [Google Scholar] [CrossRef]
- Hostetler, G.L.; Ralston, R.A.; Schwartz, S.J. Flavones: Food sources, bioavailability, metabolism, and bioactivity. Adv. Nutr. 2017, 8, 423–435. [Google Scholar] [CrossRef]
- Ali, F.; Siddique, Y.H. Bioavailability and pharmaco-therapeutic potential of luteolin in overcoming Alzheimer’s disease. CNS Neurol. Disord.-Drug Targets (Former. Curr. Drug Targets-CNS Neurol. Disord.) 2019, 18, 352–365. [Google Scholar] [CrossRef]
- López-Lázaro, M. Distribution and biological activities of the flavonoid luteolin. Mini Rev. Med. Chem. 2009, 9, 31–59. [Google Scholar] [CrossRef] [PubMed]
- Zhang, H.; Teng, K.; Zang, H. Actinidia arguta (Sieb. et Zucc.) Planch. ex Miq.: A Review of phytochemistry and pharmacology. Molecules 2023, 28, 7820. [Google Scholar] [CrossRef] [PubMed]
- Chen, K.; Guo, Y.; How, K.; Acosta, A.; Documet, D.; Liang, C.; Arul, D.; Wood, S.; Moon, K.; Oliver, L.S. Five questions on how biochemistry can combat climate change. BBA Adv. 2023, 4, 100111. [Google Scholar] [CrossRef] [PubMed]
- Paulauskienė, A.; Tarasevičienė, Ž.; Žebrauskienė, A.; Pranckietienė, I. Effect of controlled atmosphere storage conditions on the chemical composition of super hardy Kiwifruit. Agronomy 2020, 10, 822. [Google Scholar] [CrossRef]
- Latocha, P. The nutritional and health benefits of Kiwiberry (Actinidia arguta)—A Review. Plant Foods Hum. Nutr. 2017, 72, 325–334. [Google Scholar] [CrossRef]
- Bader Ul Ain, H.; Tufail, T.; Javed, M.; Tufail, T.; Arshad, M.U.; Hussain, M.; Gull Khan, S.; Bashir, S.; Al Jbawi, E.; Abdulaali Saewan, S. Phytochemical profile and pro-healthy properties of berries. Int. J. Food Prop. 2022, 25, 1714–1735. [Google Scholar] [CrossRef]
- Latocha, P.; Krupa, T.; Wołosiak, R.; Worobiej, E.; Wilczak, J. Antioxidant activity and chemical difference in fruit of different Actinidia sp. Int. J. Food Sci. Nutr. 2010, 61, 381–394. [Google Scholar] [CrossRef]
Disclaimer/Publisher’s Note: The statements, opinions and data contained in all publications are solely those of the individual author(s) and contributor(s) and not of MDPI and/or the editor(s). MDPI and/or the editor(s) disclaim responsibility for any injury to people or property resulting from any ideas, methods, instructions or products referred to in the content. |
© 2024 by the authors. Licensee MDPI, Basel, Switzerland. This article is an open access article distributed under the terms and conditions of the Creative Commons Attribution (CC BY) license (https://creativecommons.org/licenses/by/4.0/).





