Melatonin Enhances the Low-Calcium Stress Tolerance by Regulating Brassinosteroids and Auxin Signals in Wax Gourd
Abstract
1. Introduction
2. Materials and Methods
2.1. Plant Materials and Growth Conditions
2.2. Experimental Design
2.3. Melatonin Content Measurements
2.4. Analysis of Ca Content
2.5. Determination of Root Vitality
2.6. Determination of H2O2, O2−, and Malondialdehyde Content
2.7. Antioxidant Enzyme Extraction and Activity Assay
2.8. Total RNA Isolation, Transcriptome Sequencing, and Real-Time Quantitative PCR Analysis
2.9. Determination of Endogenous Brassinosteroids and Indole-3-Acetic Acid Contents
2.10. Statistical Analysis
3. Results
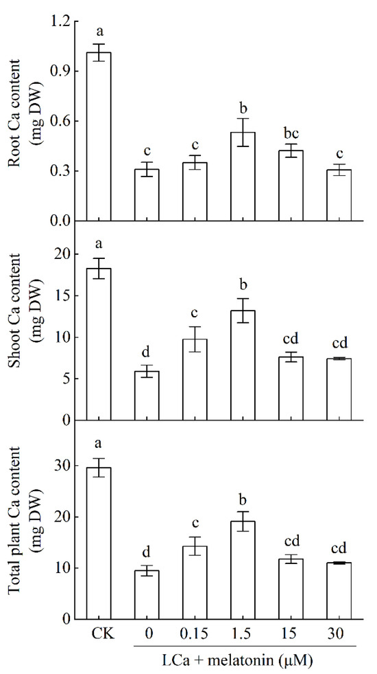
3.1. Exogenous Melatonin Increases Ca Content in Wax Gourd Plants Under LCa Condition
3.2. Effects of Rhizospheric Melatonin Application on Ca Absorption in Roots Under LCa Stress
3.3. Effects of Rhizospheric Melatonin Application on Root Growth and Antioxidant Defense Under LCa Stress
3.4. Transcriptome Analysis of Root Response to Melatonin and LCa Stress
3.5. Transcriptome Profiles of Brassinosteroid Biosynthesis and Signaling-Related Genes
3.6. Effect of Melatonin on Auxin Signaling-Related Genes Expression Under LCa Stress
4. Discussion
4.1. Exogenous Melatonin at Appropriate Concentration Promotes Ca Accumulation in Wax Gourd Plants Under LCa Stress
4.2. Exogenous Melatonin Enhances Ca Absorption Through Promoting Root Development and Mitigating Oxidative Stress Under LCa Stress
4.3. Melatonin Positively Regulates BR Synthesis and Signal Transduction Under LCa Stress
4.4. Melatonin Positively Regulates Auxin Signal Transduction Through an Auxin-Independent Pathway Under LCa Stress
5. Conclusions
Supplementary Materials
Author Contributions
Funding
Institutional Review Board Statement
Informed Consent Statement
Data Availability Statement
Conflicts of Interest
References
- Hocking, B.; Tyerman, S.D.; Burton, R.A.; Gilliham, M. Fruit calcium: Transport and physiology. Front. Plant Sci. 2016, 7, 569. [Google Scholar] [CrossRef]
- Jing, T.; Li, J.; He, Y.; Shankar, A.; Saxena, A.; Tiwari, A.; Maturi, K.C.; Solanki, M.K.; Singh, V.; Eissa, M.A.; et al. Role of calcium nutrition in plant physiology: Advances in research and insights into acidic soil conditions-A comprehensive review. Plant Physiol. Bioch. 2024, 210, 108602. [Google Scholar] [CrossRef] [PubMed]
- Aras, S.; Keles, H.; Bozkurt, E. Physiological and histological responses of peach plants grafted onto different rootstocks under calcium deficiency conditions. Sci. Hortic. 2021, 281, 109967. [Google Scholar] [CrossRef]
- Thor, K. Calcium—Nutrient and Messenger. Front. Plant Sci. 2019, 10, 440. [Google Scholar] [CrossRef] [PubMed]
- Winkler, A.; Knoche, M. Calcium and the physiology of sweet cherries: A review. Sci. Hortic. 2019, 245, 107–115. [Google Scholar] [CrossRef]
- Topcu, Y.; Nambeesan, S.U.; van der Knaap, E. Blossom-end rot: A century-old problem in tomato (Solanum lycopersicum L.) and other vegetables. Mol. Hortic. 2022, 2, 1. [Google Scholar] [CrossRef]
- Chang, J.; Liao, D.; Li, J.; Li, J.; Li, Z.; Chen, X.; Song, Z.; Zhang, B. Calcium deficiency leads to fruit blackheart formation by disrupting glycometabolism and phenylpropanoid metabolism in wax gourd. Postharvest Biol. Tec. 2024, 211, 112851. [Google Scholar] [CrossRef]
- White, P.J. The pathways of calcium movement to the xylem. J. Exp. Bot. 2001, 52, 891–899. [Google Scholar] [CrossRef] [PubMed]
- Bascom Jr, C.S.; Hepler, P.K.; Bezanilla, M. Interplay between ions, the cytoskeleton, and cell wall properties during tip growth. Plant Physiol. 2018, 176, 28–40. [Google Scholar] [CrossRef]
- Liu, Y.; Riaz, M.; Yan, L.; Zeng, Y.; Cuncang, J. Boron and calcium deficiency disturbing the growth of trifoliate rootstock seedlings (Poncirus trifoliate L.) by changing root architecture and cell wall. Plant Physiol. Biochem. 2019, 144, 345–354. [Google Scholar] [CrossRef]
- Hou, J.; Riaz, M.; Yan, L.; Lu, K.; Jiang, C. Effect of exogenous L-aspartate nano- calcium on root growth, calcium forms and cell wall metabolism of Brassica napus L. NanoImpact 2022, 27, 100415. [Google Scholar] [CrossRef] [PubMed]
- Ma, F.; Peterson, C.A. Current insights into the development, structure, and function of the Casparian strip. Can. J. Bot. 2003, 81, 983–993. [Google Scholar] [CrossRef]
- White, P.J.; Bowen, H.C.; Demidchik, V.; Nichols, C.; Davies, J.M. Genes for calcium-permeable channels in the plasma membrane of plant root cells. Biochim. Biophys. Acta Biomembr. 2002, 1564, 299–309. [Google Scholar] [CrossRef]
- Khan, M.S.S.; Ahmed, S.; ul Ikram, A.; Hannan, F.; Yasin, M.U.; Wang, J.; Zhao, B.; Islam, F.; Chen, J. Phytomelatonin: A key regulator of redox and phytohormones signaling against biotic/abiotic stresses. Redox Biol. 2023, 64, 102805. [Google Scholar] [CrossRef]
- Wang, X.; Cao, M.; Li, H.; Liu, Y.; Fan, S.; Zhang, N.; Guo, Y. Strategies and prospects for melatonin to alleviate abiotic stress in horticultural plants. Hortic. Plant J. 2024, 10, 601–614. [Google Scholar] [CrossRef]
- Liu, G.; Hu, Q.; Zhang, X.; Jiang, J.; Zhang, Y.; Zhang, Z. Melatonin biosynthesis and signal transduction in plants in response to environmental conditions. J. Exp. Bot. 2022, 73, 5818–5827. [Google Scholar] [CrossRef]
- Shahani, A.A.A.; Abbas, A.; Siddiqui, J.A.; Ullah, S.; Hameed, R.; Cheng, T.; Asghar, M.A.; Fayyaz, A.; Khan, K.A.; Farooq, T.H. Opportunities and challenges in mitigating nutrient stress in plants via melatonin-mediated signaling pathways. S. Afr. J. Bot. 2023, 161, 607–616. [Google Scholar] [CrossRef]
- Chen, L.; Fan, J.; Hu, Z.; Huang, X.; Amombo, E.; Liu, A.; Bi, A.; Chen, K.; Xie, Y.; Fu, J. Melatonin is involved in regulation of bermudagrass growth and development and response to low K+ stress. Front. Plant Sci. 2017, 8, 2038. [Google Scholar] [CrossRef] [PubMed]
- Kumar, S.; Liu, Y.; Wang, M.; Khan, M.N.; Wang, S.; Li, Y.; Chen, Y.; Zhu, G. Alleviating sweetpotato salt tolerance through exogenous glutathione and melatonin: A profound mechanism for active oxygen detoxification and preservation of photosynthetic organs. Chemosphere 2024, 350, 141120. [Google Scholar] [CrossRef] [PubMed]
- Zhang, R.M.; Sun, Y.; Liu, Z.; Jin, W.; Sun, Y. Effects of melatonin on seedling growth, mineral nutrition, and nitrogen metabolism in cucumber under nitrate stress. J. Pineal Res. 2017, 62, e12403. [Google Scholar] [CrossRef] [PubMed]
- Wang, H.; Ren, C.; Cao, L.; Zhao, Q.; Jin, X.; Wang, M.; Zhang, Y. Exogenous melatonin modulates physiological response to nitrogen and improves yield in nitrogen-deficient soybean (Glycine max L. Merr.). Front. Plant Sci. 2022, 13, 865758. [Google Scholar] [CrossRef] [PubMed]
- Huang, L.; Fu, W.; Zhang, Y.; Liu, X.; Wang, Q.; Wang, L.; Tanveer, M. The role of melatonin in regulating horticultural crop production under various abiotic stresses. Sci. Hortic. 2024, 323, 112508. [Google Scholar] [CrossRef]
- Altaf, M.A.; Shahid, R.; Ren, M.X.; Altaf, M.M.; Khan, L.U.; Shahid, S.; Jahan, M.S. Melatonin alleviates salt damage in tomato seedling: A root architecture system, photosynthetic capacity, ion homeostasis, and antioxidant enzymes analysis. Sci. Hortic. 2021, 285, 110145. [Google Scholar] [CrossRef]
- Guo, Y.; Li, H. Interaction Between Melatonin and Other Signaling Molecules in Plants. In Melatonin in Plants: Role in Plant Growth, Development, and Stress Response; Sharma, A., Ahammed, G.J., Eds.; Springer Nature Singapore: Singapore, 2024; pp. 65–83. [Google Scholar]
- Wang, Y.; Li, J.; Yang, L.; Chan, Z. Melatonin antagonizes cytokinin responses to stimulate root growth in Arabidopsis. J. Plant Growth Regul. 2023, 42, 1833–1845. [Google Scholar] [CrossRef]
- Li, H.; Guo, Y.; Lan, Z.; Zhang, Z.; Ahammed, G.J.; Chang, J.; Zhang, Y.; Wei, C.; Zhang, X. Melatonin antagonizes ABA action to promote seed germination by regulating Ca2+ efflux and H2O2 accumulation. Plant Sci. 2021, 303, 110761. [Google Scholar] [CrossRef] [PubMed]
- Ze, Y.; Gao, H.; Li, T.; Yang, B.; Jiang, Y. Insights into the roles of melatonin in maintaining quality and extending shelf life of postharvest fruits. Trends Food Sci. Tech. 2021, 109, 569–578. [Google Scholar] [CrossRef]
- Hwang, O.J.; Back, K. Melatonin is involved in skotomorphogenesis by regulating brassinosteroid biosynthesis in rice plants. J. Pineal Res. 2018, 65, e12495. [Google Scholar] [CrossRef]
- Lee, K.; Back, K. Melatonin-deficient rice plants show a common semidwarf phenotype either dependent or independent of brassinosteroid biosynthesis. J. Pineal Res. 2019, 66, e12537. [Google Scholar] [CrossRef]
- Marr, K.L.; Xia, Y.M.; Bhattarai, N.K. Allozymic, morphological, phenological, linguistic, plant use, and nutritional data of Benincasa hispida (Cucurbitaceae). Econ. Bot. 2007, 61, 44–59. [Google Scholar] [CrossRef]
- Pape, C.; Lüning, K. Quantification of melatonin in phototrophic organisms. J. Pineal Res. 2006, 41, 157–165. [Google Scholar] [CrossRef]
- Li, H.; Chang, J.; Zheng, J.; Dong, Y.; Liu, Q.; Yang, X.; Wei, C.; Zhang, Y.; Ma, J.; Zhang, X. Local melatonin application induces cold tolerance in distant organs of Citrullus lanatus L. via long distance transport. Sci. Rep. 2017, 7, 40858. [Google Scholar] [CrossRef]
- Clemensson-lindell, A. Triphenyltetrazolium chloride as an indicator of fine-root vitality and environmental stress in coniferous forest stands: Applications and limitations. Plant Soil 1994, 159, 297–300. [Google Scholar] [CrossRef]
- Willekens, H.; Chamnongpol, S.; Davey, M.; Schraudner, M.; Langebartels, C.; Van Montagu, M.; Van Camp, W. Catalase is a sink for H2O2 and is indispensable for stress defence in C3 plants. EMBO J. 1997, 16, 4806–4816. [Google Scholar] [CrossRef] [PubMed]
- Elstner, E.F.; Heupel, A. Inhibition of nitrite formation from hydroxylammoniumchloride: A simple assay for superoxide dismutase. Anal. Biochem. 1976, 70, 616–620. [Google Scholar] [CrossRef]
- Hodges, D.M.; DeLong, J.M.; Forney, C.F.; Prange, R.K. Improving the thiobarbituric acid-reactive-substances assay for estimating lipid peroxidation in plant tissues containing anthocyanin and other interfering compounds. Planta 1999, 207, 604–611. [Google Scholar] [CrossRef]
- Stewart, R.R.C.; Bewley, J.D. Lipid peroxidation associated with accelerated aging of soybean axes. Plant Physiol. 1980, 65, 245–248. [Google Scholar] [CrossRef]
- Cakmak, I.; Marschner, H. Magnesium deficiency and high light intensity enhance activities of superoxide dismutase, ascorbate peroxidase, and glutathione reductase in bean leaves. Plant Physiol. 1992, 98, 1222–1227. [Google Scholar] [CrossRef]
- Patra, H.K.; Kar, M.; Mishra, D. Catalase activity in leaves and cotyledons during plant development and senescence. Biochem. Physiol. Pflanz. 1978, 172, 385–390. [Google Scholar] [CrossRef]
- Varet, H.; Brillet-Guéguen, L.; Coppée, J.Y.; Dillies, M.A. SARTools: A DESeq2-and EdgeR-based R pipeline for comprehensive differential analysis of RNA-Seq data. PLoS ONE 2016, 11, e0157022. [Google Scholar] [CrossRef] [PubMed]
- Ding, J.; Mao, L.J.; Guo, N.; Yu, L.; Feng, Y.Q. Determination of endogenous brassinosteroids using sequential magnetic solid phase extraction followed by in situ derivatization/desorption method coupled with liquid chromatography–tandem mass spectrometry. J. Chromatogr. A 2016, 1446, 103–113. [Google Scholar] [CrossRef]
- Xiao, H.; Cai, W.; Ye, T.; Ding, J.; Feng, Y. Spatio-temporal profiling of abscisic acid, indoleacetic acid and jasmonic acid in single rice seed during seed germination. Anal. Chim. Acta 2018, 1031, 119–127. [Google Scholar] [CrossRef]
- Han, C.; Wang, L.; Lyu, J.; Shi, W.; Yao, L.; Fan, M.; Bai, M.Y. Brassinosteroid signaling and molecular crosstalk with nutrients in plants. J. Genet. Genom. 2023, 50, 541–553. [Google Scholar] [CrossRef]
- Chang, J.; Guo, Y.; Li, J.; Su, Z.; Wang, C.; Zhang, R.; Wei, C.; Ma, J.; Zhang, X.; Li, H. Positive interaction between H2O2 and Ca2+ mediates melatonin-induced CBF pathway and cold tolerance in watermelon (Citrullus lanatus L.). Antioxidants 2021, 10, 1457. [Google Scholar] [CrossRef] [PubMed]
- Dai, L.; Li, J.; Harmens, H.; Zheng, X.; Zhang, C. Melatonin enhances drought resistance by regulating leaf stomatal behaviour, root growth and catalase activity in two contrasting rapeseed (Brassica napus L.) genotypes. Plant Physiol. Biochem. 2020, 149, 86–95. [Google Scholar] [CrossRef] [PubMed]
- Zhang, N.; Zhao, B.; Zhang, H.J.; Weeda, S.; Yang, C.; Yang, Z.C.; Ren, S.; Guo, Y.D. Melatonin promotes water-stress tolerance, lateral root formation, and seed germination in cucumber (Cucumis sativus L.). J. Pineal Res. 2013, 54, 15–23. [Google Scholar] [CrossRef]
- Li, C.; Liang, B.; Chang, C.; Wei, Z.; Zhou, S.; Ma, F. Exogenous melatonin improved potassium content in Malus under different stress conditions. J. Pineal Res. 2016, 61, 218–229. [Google Scholar] [CrossRef] [PubMed]
- Cao, Y.; Du, P.; Ji, J.; He, X.; Zhang, J.; Shang, Y.; Liu, H.; Xu, J.; Liang, B. Ionomic combined with transcriptomic and metabolomic analyses to explore the mechanism underlying the effect of melatonin in relieving nutrient stress in apple. Int. J. Mol. Sci. 2022, 23, 9855. [Google Scholar] [CrossRef]
- Du, P.H.; Yin, B.H.; Zhou, S.S.; Li, Z.Y.; Zhang, X.Y.; Cao, Y.; Han, R.X.; Shi, C.J.; Liang, B.W.; Xu, J.Z. Melatonin and dopamine mediate the regulation of nitrogen uptake and metabolism at low ammonium levels in Malus hupehensis. Plant Physiol. Biochem. 2022, 171, 182–190. [Google Scholar] [CrossRef]
- Nxumalo, K.A.; Matsuane, C.; Masarirambi, M.T. Calcium-related post-harvest physiological disorders of fruits and vegetables in Eswatini: A review. Curr. J. Appl. Sci. Technol. 2019, 33, 1–10. [Google Scholar] [CrossRef]
- Back, K. Melatonin metabolism, signaling and possible roles in plants. Plant J. 2021, 105, 376–391. [Google Scholar] [CrossRef] [PubMed]
- Vukašinović, N.; Wang, Y.; Vanhoutte, I.; Fendrych, M.; Guo, B.; Kvasnica, M.; Jiroutová, P.; Oklestkova, J.; Strnad, M.; Russinova, E. Local brassinosteroid biosynthesis enables optimal root growth. Nat. Plants 2021, 7, 619–632. [Google Scholar] [CrossRef] [PubMed]
- Li, M.; Li, P.; Wang, C.; Xu, H.; Wang, M.; Wang, Y.; Niu, X.; Xu, M.; Wang, H.; Qin, Y.; et al. Brassinosteroid signaling restricts root lignification by antagonizing SHORT-ROOT function in Arabidopsis. Plant Physiol. 2022, 190, 1182–1198. [Google Scholar] [CrossRef]
- Zhang, C.; He, M.; Wang, S.; Chu, L.; Wang, C.; Yang, N.; Ding, G.; Cai, H.; Shi, L.; Xu, F. Boron deficiency-induced root growth inhibition is mediated by brassinosteroid signalling regulation in Arabidopsis. Plant J. 2021, 107, 564–578. [Google Scholar] [CrossRef] [PubMed]
- Liu, T.; Deng, S.; Zhang, C.; Yang, X.; Shi, L.; Xu, F.; Wang, S.; Wang, C. Brassinosteroid signaling regulates phosphate starvation-induced malate secretion in plants. J. Integr. Plant Biol. 2022, 65, 1099–1112. [Google Scholar] [CrossRef]
- Shimada, Y.; Fujioka, S.; Miyauchi, N.; Kushiro, M.; Takatsuto, S.; Nomura, T.; Yokota, T.; Kamiya, Y.; Bishop, G.J.; Yoshida, S. Brassinosteroid-6-oxidases from Arabidopsis and tomato catalyze multiple C-6 oxidations in brassinosteroid biosynthesis. Plant Physiol. 2001, 126, 770–779. [Google Scholar] [CrossRef]
- Du, Y.; Scheres, B. Lateral root formation and the multiple roles of auxin. J. Exp. Bot. 2018, 69, 155–167. [Google Scholar] [CrossRef] [PubMed]
- Parveen, N.; Kandhol, N.; Sharma, S.; Singh, V.P.; Chauhan, D.K.; Ludwig-Müller, J.; Corpas, F.J.; Tripathi, D.K. Auxin crosstalk with reactive oxygen and nitrogen species in plant development and abiotic stress. Plant Cell Physiol. 2022, 63, 1814–1825. [Google Scholar] [CrossRef] [PubMed]
- Xiang, Z.X.; Li, W.; Lu, Y.T.; Yuan, T.T. Hydrogen sulfide alleviates osmotic stress-induced root growth inhibition by promoting auxin homeostasis. Plant J. 2023, 114, 1369–1384. [Google Scholar] [CrossRef]
- Jindal, P.; Kant, K.; Kaur, N.; Gupta, S.; Ali, A.; Naeem, M. Melatonin: Discovery, biosynthesis, phytohormones crosstalk, and roles in agricultural crops under abiotic stress conditions. Environ. Exp. Bot. 2024, 226, 105942. [Google Scholar] [CrossRef]
- Liang, C.; Li, A.; Yu, H.; Li, W.; Liang, C.; Guo, S.; Zhang, R.; Chu, C. Melatonin regulates root architecture by modulating auxin response in rice. Front. Plant Sci. 2017, 8, 134. [Google Scholar] [CrossRef] [PubMed]
- Wang, Q.; An, B.; Wei, Y.; Reiter, R.J.; Shi, H.; Luo, H.; He, C. Melatonin regulates root meristem by repressing auxin synthesis and polar auxin transport in Arabidopsis. Front. Plant Sci. 2016, 7, 1882. [Google Scholar] [CrossRef] [PubMed]
- Pelagio-Flores, R.; Munoz-Parra, E.; Ortiz-Castro, R.; Lopez-Bucio, J. Melatonin regulates Arabidopsis root system architecture likely acting independently of auxin signaling. J. Pineal Res. 2012, 5, 279–288. [Google Scholar] [CrossRef] [PubMed]





” represents inhibition; boxes represent genes; circles represent metabolites.
” represents inhibition; boxes represent genes; circles represent metabolites.
” represents inhibition; boxes represent genes; circles represent metabolites.
” represents inhibition; boxes represent genes; circles represent metabolites.
| Composition | Normal Concentration | Low Ca Concentration |
|---|---|---|
| mmol L−1 | mmol L−1 | |
| N-NO3− | 14 | 14 |
| P-H2PO4− | 1 | 1 |
| K+ | 5 | 5 |
| Ca2+ | 4 | 2, 0.4, 0.04, 0 |
| Mg2+ | 2 | 2 |
| S-SO42− | 2 | 2 |
| μmol L−1 | μmol L−1 | |
| Fe-EDTA | 15 | 15 |
| Mn | 10 | 10 |
| B | 25 | 25 |
| Zn | 5 | 5 |
| Cu | 1 | 1 |
| Mo | 0.5 | 0.5 |
Disclaimer/Publisher’s Note: The statements, opinions and data contained in all publications are solely those of the individual author(s) and contributor(s) and not of MDPI and/or the editor(s). MDPI and/or the editor(s) disclaim responsibility for any injury to people or property resulting from any ideas, methods, instructions or products referred to in the content. |
© 2024 by the authors. Licensee MDPI, Basel, Switzerland. This article is an open access article distributed under the terms and conditions of the Creative Commons Attribution (CC BY) license (https://creativecommons.org/licenses/by/4.0/).
Share and Cite
Chang, J.; Zhu, X.; Lian, Y.; Li, J.; Chen, X.; Song, Z.; Chen, L.; Xie, D.; Zhang, B. Melatonin Enhances the Low-Calcium Stress Tolerance by Regulating Brassinosteroids and Auxin Signals in Wax Gourd. Antioxidants 2024, 13, 1580. https://doi.org/10.3390/antiox13121580
Chang J, Zhu X, Lian Y, Li J, Chen X, Song Z, Chen L, Xie D, Zhang B. Melatonin Enhances the Low-Calcium Stress Tolerance by Regulating Brassinosteroids and Auxin Signals in Wax Gourd. Antioxidants. 2024; 13(12):1580. https://doi.org/10.3390/antiox13121580
Chicago/Turabian StyleChang, Jingjing, Xuemei Zhu, Yixuan Lian, Jing Li, Xiao Chen, Zhao Song, Lei Chen, Dasen Xie, and Baige Zhang. 2024. "Melatonin Enhances the Low-Calcium Stress Tolerance by Regulating Brassinosteroids and Auxin Signals in Wax Gourd" Antioxidants 13, no. 12: 1580. https://doi.org/10.3390/antiox13121580
APA StyleChang, J., Zhu, X., Lian, Y., Li, J., Chen, X., Song, Z., Chen, L., Xie, D., & Zhang, B. (2024). Melatonin Enhances the Low-Calcium Stress Tolerance by Regulating Brassinosteroids and Auxin Signals in Wax Gourd. Antioxidants, 13(12), 1580. https://doi.org/10.3390/antiox13121580

