A Comprehensive Study of Reactive Oxygen Species Explicit Dosimetry for Pleural Photodynamic Therapy
Abstract
1. Introduction
2. Materials and Methods
2.1. Patient Selection and Treatment Protocol
2.2. PDT Dose Dosimetry System
2.3. Diffuse Correlation Spectroscopy for Oxygen Monitoring
2.4. Light Fluence Distribution Mapping Integration
2.5. Explicit ROS Dosimetry Calculations
3. Results
3.1. Photosensitizer Concentration Monitoring
3.2. Tumor Oxygenation Monitoring
3.3. Light Fluence Rate Monitoring and COMSOL Multiphysics
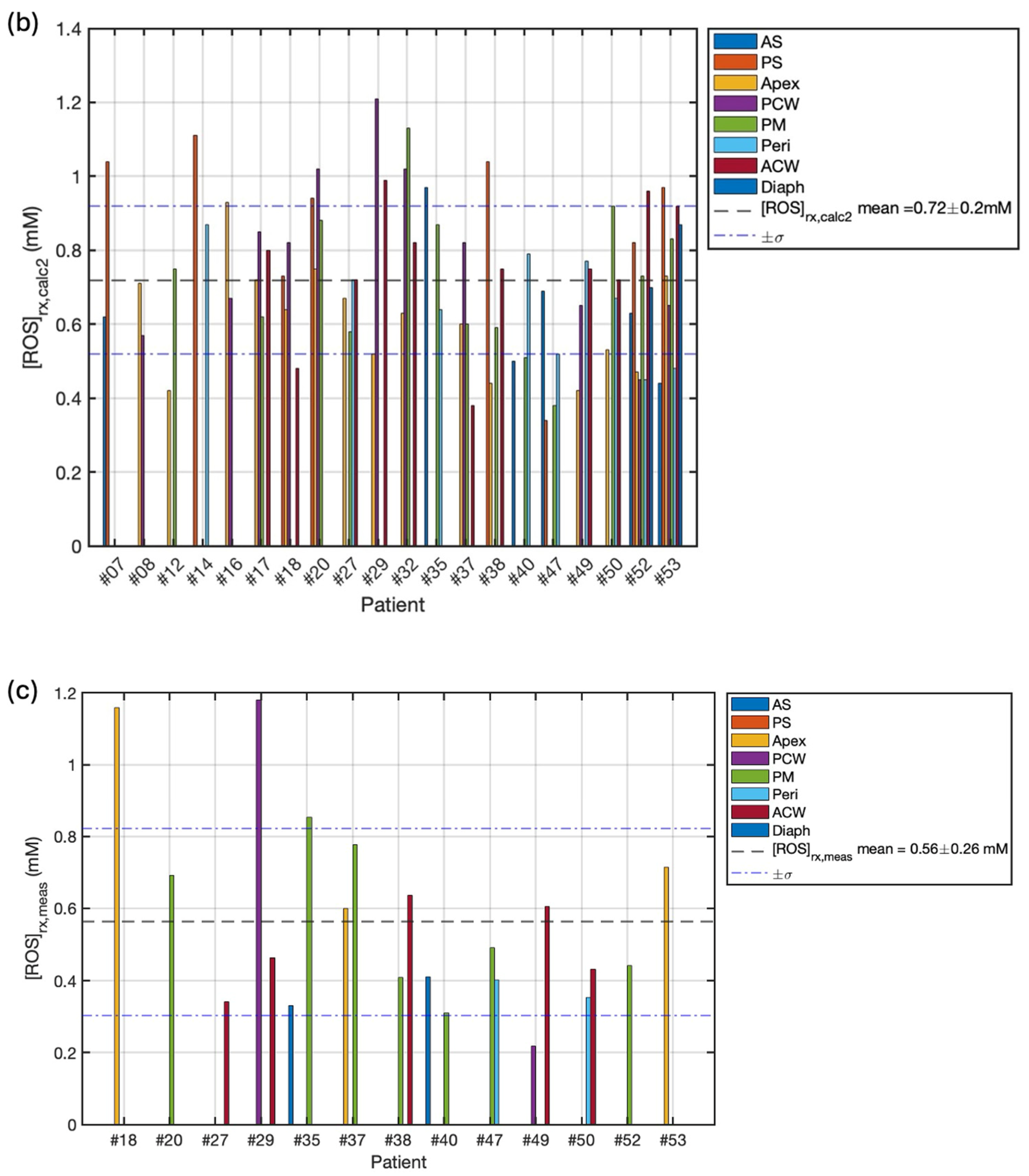
3.4. Explicit [ROS]rx Dosimetry Calculations
4. Discussion
5. Conclusions
Supplementary Materials
Author Contributions
Funding
Institutional Review Board Statement
Informed Consent Statement
Data Availability Statement
Conflicts of Interest
References
- Prazmo, E.J.; Kwasny, M.; Lapinski, M.; Mielczarek, A. Photodynamic Therapy As a Promising Method Used in the Treatment of Oral Diseases. Adv. Clin. Exp. Med. 2016, 25, 799–807. [Google Scholar] [CrossRef] [PubMed]
- Kwiatkowski, S.; Knap, B.; Przystupski, D.; Saczko, J.; Kedzierska, E.; Knap-Czop, K.; Kotlinska, J.; Michel, O.; Kotowski, K.; Kulbacka, J. Photodynamic therapy-mechanisms, photosensitizers and combinations. Biomed. Pharmacother. 2018, 106, 1098–1107. [Google Scholar] [CrossRef]
- Dudzik, T.; Domanski, I.; Makuch, S. The impact of photodynamic therapy on immune system in cancer—An update. Front. Immunol. 2024, 15, 1335920. [Google Scholar] [CrossRef] [PubMed]
- Moghissi, K.; Dixon, K. Update on the current indications, practice and results of photodynamic therapy (PDT) in early central lung cancer (ECLC). Photodiagnosis Photodyn. Ther. 2008, 5, 10–18. [Google Scholar] [CrossRef] [PubMed]
- Lin, L.; Song, X.; Dong, X.; Li, B. Nano-photosensitizers for enhanced photodynamic therapy. Photodiagnosis Photodyn. Ther. 2021, 36, 102597. [Google Scholar] [CrossRef] [PubMed]
- Barr, H.; Bown, S.G.; Krasner, N.; Boulos, P.B. Photodynamic therapy for colorectal disease. Int. J. Color. Dis. 1989, 4, 15–19. [Google Scholar] [CrossRef] [PubMed]
- Pignatelli, P.; Umme, S.; D’Antonio, D.L.; Piattelli, A.; Curia, M.C. Reactive Oxygen Species Produced by 5-Aminolevulinic Acid Photodynamic Therapy in the Treatment of Cancer. Int. J. Mol. Sci. 2023, 24, 8964. [Google Scholar] [CrossRef]
- Ding, Y.; Pan, Q.; Gao, W.; Pu, Y.; Luo, K.; He, B. Reactive oxygen species-upregulating nanomedicines towards enhanced cancer therapy. Biomater. Sci. 2023, 11, 1182–1214. [Google Scholar] [CrossRef]
- Nonell, S.; Flors, C. Singlet Oxygen: Applications in Biosciences and Nanosciences; Royal Society of Chemistry: Cambridge, UK, 2016; Volume 1, pp. 1–21. [Google Scholar]
- Castano, A.P.; Demidova, T.N.; Hamblin, M.R. Mechanisms in photodynamic therapy: Part one-photosensitizers, photochemistry and cellular localization. Photodiagnosis Photodyn. Ther. 2004, 1, 279–293. [Google Scholar] [CrossRef]
- Roberts, J.E. Techniques to Improve Photodynamic Therapy. Photochem. Photobiol. 2020, 96, 524–528. [Google Scholar] [CrossRef]
- Yassine, A.A.; Lilge, L.; Betz, V. Optimizing interstitial photodynamic therapy with custom cylindrical diffusers. J. Biophotonics 2019, 12, e201800153. [Google Scholar] [CrossRef] [PubMed]
- Herr, H.; Cho, H.J.; Yu, S. Burns caused by accidental overdose of photochemotherapy (PUVA). Burns 2007, 33, 372–375. [Google Scholar] [CrossRef] [PubMed]
- Sun, H.; Ong, Y.; Yang, W.; Sourvanos, D.; Dimofte, A.; Busch, T.M.; Singhal, S.; Cengel, K.A.; Zhu, T.C. Clinical PDT dose dosimetry for pleural Photofrin-mediated photodynamic therapy. J. Biomed. Opt. 2024, 29, 018001. [Google Scholar] [CrossRef]
- Pogue, B.W.; Elliott, J.T.; Kanick, S.C.; Davis, S.C.; Samkoe, K.S.; Maytin, E.V.; Pereira, S.P.; Hasan, T. Revisiting photodynamic therapy dosimetry: Reductionist & surrogate approaches to facilitate clinical success. Phys. Med. Biol. 2016, 61, R57–R89. [Google Scholar] [CrossRef] [PubMed]
- Jarvi, M.T.; Niedre, M.J.; Patterson, M.S.; Wilson, B.C. Singlet oxygen luminescence dosimetry (SOLD) for photodynamic therapy: Current status, challenges and future prospects. Photochem. Photobiol. 2006, 82, 1198–1210. [Google Scholar] [CrossRef]
- Wang, K.K.; Finlay, J.C.; Busch, T.M.; Hahn, S.M.; Zhu, T.C. Explicit dosimetry for photodynamic therapy: Macroscopic singlet oxygen modeling. J. Biophotonics 2010, 3, 304–318. [Google Scholar] [CrossRef]
- Penjweini, R.; Kim, M.M.; Ong, Y.H.; Zhu, T.C. 1O2 determined from the measured PDT dose and 3O2 predicts long-term response to Photofrin-mediated PDT. Phys. Med. Biol. 2020, 65, 03LT01. [Google Scholar] [CrossRef]
- Betrouni, N.; Munck, C.; Bensoltana, W.; Baert, G.; Dewalle-Vignion, A.S.; Scherpereel, A.; Mordon, S. Real-time light dosimetry for intra-cavity photodynamic therapy: Application for pleural mesothelioma treatment. Photodiagnosis Photodyn. Ther. 2017, 18, 155–161. [Google Scholar] [CrossRef]
- van Doeveren, T.E.M.; van Veen, R.L.P.; van den Boom, F.; Tan, I.B.; Schreuder, W.H.; Karakullukcu, M.B. Intra-cavity Photodynamic Therapy for malignant tumors of the paranasal sinuses: An in vivo light dosimetry study. Photodiagnosis Photodyn. Ther. 2020, 32, 101972. [Google Scholar] [CrossRef]
- Middelburg, T.A.; Hoy, C.L.; Neumann, H.A.; Amelink, A.; Robinson, D.J. Correction for tissue optical properties enables quantitative skin fluorescence measurements using multi-diameter single fiber reflectance spectroscopy. J. Dermatol. Sci. 2015, 79, 64–73. [Google Scholar] [CrossRef]
- Baran, T.M.; Wilson, J.D.; Mitra, S.; Yao, J.L.; Messing, E.M.; Waldman, D.L.; Foster, T.H. Optical property measurements establish the feasibility of photodynamic therapy as a minimally invasive intervention for tumors of the kidney. J. Biomed. Opt. 2012, 17, 098002. [Google Scholar] [CrossRef]
- Wen, B.; Urano, M.; O’Donoghue, J.A.; Ling, C.C. Measurements of partial oxygen pressure pO2 using the OxyLite system in R3327-AT tumors under isoflurane anesthesia. Radiat. Res. 2006, 166, 512–518. [Google Scholar] [CrossRef] [PubMed]
- Shang, Y.; Li, T.; Yu, G. Clinical applications of near-infrared diffuse correlation spectroscopy and tomography for tissue blood flow monitoring and imaging. Physiol. Meas. 2017, 38, R1–R26. [Google Scholar] [CrossRef] [PubMed]
- Busch, D.R.; Balu, R.; Baker, W.B.; Guo, W.; He, L.; Diop, M.; Milej, D.; Kavuri, V.; Amendolia, O.; St Lawrence, K.; et al. Detection of Brain Hypoxia Based on Noninvasive Optical Monitoring of Cerebral Blood Flow with Diffuse Correlation Spectroscopy. Neurocrit. Care 2019, 30, 72–80. [Google Scholar] [CrossRef] [PubMed]
- Yu, G.; Durduran, T.; Zhou, C.; Wang, H.W.; Putt, M.E.; Saunders, H.M.; Sehgal, C.M.; Glatstein, E.; Yodh, A.G.; Busch, T.M. Noninvasive monitoring of murine tumor blood flow during and after photodynamic therapy provides early assessment of therapeutic efficacy. Clin. Cancer Res. 2005, 11, 3543–3552. [Google Scholar] [CrossRef]
- Ong, Y.H.; Dimofte, A.; Kim, M.M.; Finlay, J.C.; Sheng, T.; Singhal, S.; Cengel, K.A.; Yodh, A.G.; Busch, T.M.; Zhu, T.C. Reactive Oxygen Species Explicit Dosimetry for Photofrin-mediated Pleural Photodynamic Therapy. Photochem. Photobiol. 2020, 96, 340–348. [Google Scholar] [CrossRef] [PubMed]
- Kim, M.M.; Zhu, T.C.; Ong, Y.H.; Finlay, J.C.; Dimofte, A.; Singhal, S.; Glatstein, E.; Cengel, K.A. Infrared navigation system for light dosimetry during pleural photodynamic therapy. Phys. Med. Biol. 2020, 65, 075006. [Google Scholar] [CrossRef] [PubMed]
- Saczko, J.; Kulbacka, J.; Chwilkowsa, A.; Pola, A.; Lugowski, M.; Marcinkowska, A.; Malarska, A.; Banas, T. Cytosolic superoxide dismutase activity after photodynamic therapy, intracellular distribution of Photofrin II and hypericin, and P-glycoprotein localization in human colon adenocarcinoma. Folia Histochem. Cytobiol. 2007, 45, 93–98. [Google Scholar] [PubMed]
- Orenstein, A.; Kostenich, G.; Roitman, L.; Shechtman, Y.; Kopolovic, Y.; Ehrenberg, B.; Malik, Z. A comparative study of tissue distribution and photodynamic therapy selectivity of chlorin e6, Photofrin II and ALA-induced protoporphyrin IX in a colon carcinoma model. Br. J. Cancer 1996, 73, 937–944. [Google Scholar] [CrossRef]
- Bresoli-Obach, R.; Torra, J.; Zanocco, R.P.; Zanocco, A.L.; Nonell, S. Singlet Oxygen Quantum Yield Determination Using Chemical Acceptors. Methods Mol. Biol. 2021, 2202, 165–188. [Google Scholar] [CrossRef]
- Causin, P.; Guidoboni, G.; Malgaroli, F.; Sacco, R.; Harris, A. Blood flow mechanics and oxygen transport and delivery in the retinal microcirculation: Multiscale mathematical modeling and numerical simulation. Biomech. Model. Mechanobiol. 2016, 15, 525–542. [Google Scholar] [CrossRef] [PubMed]
- Albright, A.; Fry, B.C.; Verticchio, A.; Siesky, B.; Harris, A.; Arciero, J. Metabolic blood flow regulation in a hybrid model of the human retinal microcirculation. Math. Biosci. 2023, 357, 108969. [Google Scholar] [CrossRef] [PubMed]
- Mroz, P.; Pawlak, A.; Satti, M.; Lee, H.; Wharton, T.; Gali, H.; Sarna, T.; Hamblin, M.R. Functionalized fullerenes mediate photodynamic killing of cancer cells: Type I versus Type II photochemical mechanism. Free Radic. Biol. Med. 2007, 43, 711–719. [Google Scholar] [CrossRef] [PubMed]
- Ayaz, F.; Yetkin, D.; Yuzer, A.; Demircioglu, K.; Ince, M. Non-canonical anti-cancer, anti-metastatic, anti-angiogenic and immunomodulatory PDT potentials of water soluble phthalocyanine derivatives with imidazole groups and their intracellular mechanism of action. Photodiagnosis Photodyn. Ther. 2022, 39, 103035. [Google Scholar] [CrossRef] [PubMed]
- Plaetzer, K.; Krammer, B.; Berlanda, J.; Berr, F.; Kiesslich, T. Photophysics and photochemistry of photodynamic therapy: Fundamental aspects. Lasers Med. Sci. 2009, 24, 259–268. [Google Scholar] [CrossRef]
- Yao, L.; Xie, S.; Liu, Y.; Mengqi, L.; Xia, J.; Lu, B. Singlet oxygen storage and controlled release for improving photodynamic therapy against hypoxic tumor. Chem. Commun. 2024. [Google Scholar] [CrossRef]
- Pal, K.; Singh, S.; Itakura, S.; Hashimoto, M.; Kusamori, K.; Nishikawa, M. Reactive oxygen species augmented polydopamine-chlorin e6 nanosystem for enhanced chemo/photothermal/photodynamic therapy: A synergistic trimodal combination approach in vitro & in vivo. Int. J. Biol. Macromol. 2024, 283, 137236. [Google Scholar] [CrossRef]
- Silvestri, R.; Rea, F.; Vitiello, M.; Moretti, G.; Aprile, V.; Lucchi, M.; Aretini, P.; Mazzanti, C.M.; Landi, S.; Gemignani, F. Comparative analysis of genetic variants in pleural fluids and solid tissue biopsies of pleural mesothelioma patients: Implications for molecular heterogeneity assessment. Heliyon 2024, 10, e32152. [Google Scholar] [CrossRef]
- Nandy, S.; Mostafa, A.; Kumavor, P.D.; Sanders, M.; Brewer, M.; Zhu, Q. Characterizing optical properties and spatial heterogeneity of human ovarian tissue using spatial frequency domain imaging. J. Biomed. Opt. 2016, 21, 101402. [Google Scholar] [CrossRef]
- Goyal, A.; van den Wijngaard, J.; van Horssen, P.; Grau, V.; Spaan, J.; Smith, N. Intramural spatial variation of optical tissue properties measured with fluorescence microsphere images of porcine cardiac tissue. In Proceedings of the 2009 Annual International Conference of the IEEE Engineering in Medicine and Biology Society, Minneapolis, MN, USA, 3–6 September 2009; Volume 2009, pp. 1408–1411. [Google Scholar] [CrossRef]
- Lee, C.C.; Pogue, B.W.; O’Hara, J.A.; Wilmot, C.M.; Strawbridge, R.R.; Burke, G.C.; Hoopes, P.J. Spatial heterogeneity and temporal kinetics of photosensitizer (AlPcS2) concentration in murine tumors RIF-1 and MTG-B. Photochem. Photobiol. Sci. 2003, 2, 145–150. [Google Scholar] [CrossRef]
- Galstyan, A.; Strokov, K. Influence of photosensitizer concentration and polymer composition on photoinduced antimicrobial activity of PVA- and PVA-chitosan-based electrospun nanomaterials cross-linked with tailor-made silicon(IV) phthalocyanine. Photochem. Photobiol. Sci. 2022, 21, 1387–1398. [Google Scholar] [CrossRef] [PubMed]
- Balhaddad, A.A.; AlQranei, M.S.; Ibrahim, M.S.; Weir, M.D.; Martinho, F.C.; Xu, H.H.K.; Melo, M.A.S. Light Energy Dose and Photosensitizer Concentration Are Determinants of Effective Photo-Killing against Caries-Related Biofilms. Int. J. Mol. Sci. 2020, 21, 7612. [Google Scholar] [CrossRef] [PubMed]











| Parameter | Definition | Value |
|---|---|---|
| Specific photobleaching ratio | ||
| g | Macroscopic maximum oxygen supply rate | 0.76 |
| Low concentration correction | 33 | |
| ξ | Specific oxygen consumption rate | |
| β | Oxygen quenching threshold concentration | 11.9 |
| Patient * | Light Dosimetry (Channels) | PDT Dose Dosimetry (Channels) | DCS Blood Flow Monitoring (Channels) |
|---|---|---|---|
| 07 | 8 | 2 | 0 |
| 08 | 8 | 2 | 0 |
| 12 | 8 | 2 | 0 |
| 14 | 8 | 2 | 0 |
| 16 | 8 | 2 | 0 |
| 17 | 8 | 4 | 0 |
| 18 | 8 | 4 | 1 |
| 20 | 8 | 4 | 1 |
| 27 | 8 | 4 | 1 |
| 29 | 8 | 4 | 2 |
| 32 | 8 | 4 | 0 |
| 35 | 8 | 4 | 2 |
| 37 | 8 | 4 | 2 |
| 38 | 8 | 4 | 2 |
| 40 | 8 | 4 | 2 |
| 47 | 8 | 4 | 2 |
| 49 | 8 | 4 | 2 |
| 50 | 8 | 4 | 2 |
| 52 | 8 | 8 | 1 |
| 53 | 8 | 8 | 1 |
Disclaimer/Publisher’s Note: The statements, opinions and data contained in all publications are solely those of the individual author(s) and contributor(s) and not of MDPI and/or the editor(s). MDPI and/or the editor(s) disclaim responsibility for any injury to people or property resulting from any ideas, methods, instructions or products referred to in the content. |
© 2024 by the authors. Licensee MDPI, Basel, Switzerland. This article is an open access article distributed under the terms and conditions of the Creative Commons Attribution (CC BY) license (https://creativecommons.org/licenses/by/4.0/).
Share and Cite
Sun, H.; Ong, Y.; Kim, M.M.; Dimofte, A.; Singhal, S.; Cengel, K.A.; Yodh, A.G.; Zhu, T.C. A Comprehensive Study of Reactive Oxygen Species Explicit Dosimetry for Pleural Photodynamic Therapy. Antioxidants 2024, 13, 1436. https://doi.org/10.3390/antiox13121436
Sun H, Ong Y, Kim MM, Dimofte A, Singhal S, Cengel KA, Yodh AG, Zhu TC. A Comprehensive Study of Reactive Oxygen Species Explicit Dosimetry for Pleural Photodynamic Therapy. Antioxidants. 2024; 13(12):1436. https://doi.org/10.3390/antiox13121436
Chicago/Turabian StyleSun, Hongjing, Yihong Ong, Michele M. Kim, Andreea Dimofte, Sunil Singhal, Keith A. Cengel, Arjun G. Yodh, and Timothy C. Zhu. 2024. "A Comprehensive Study of Reactive Oxygen Species Explicit Dosimetry for Pleural Photodynamic Therapy" Antioxidants 13, no. 12: 1436. https://doi.org/10.3390/antiox13121436
APA StyleSun, H., Ong, Y., Kim, M. M., Dimofte, A., Singhal, S., Cengel, K. A., Yodh, A. G., & Zhu, T. C. (2024). A Comprehensive Study of Reactive Oxygen Species Explicit Dosimetry for Pleural Photodynamic Therapy. Antioxidants, 13(12), 1436. https://doi.org/10.3390/antiox13121436
