Influence of Pediococcus pentosaceus Starter Cultures on Biogenic Amine Content and Antioxidant Activity in African Sourdough Flatbread Fermentation
Abstract
1. Introduction
2. Materials and Methods
2.1. Analysis of Bacterial Production Capability of BAs by LAB Strains
2.2. Identification of Non-BA Producers
2.3. Analysis of Toxic BA Degradation Ability of the Selected P. pentosaceus Strains
2.4. Cell Culture and Microbial Inoculation
2.5. Kisra Preparation
2.5.1. First Fermentation (Sourdough—Ajin)
2.5.2. Second Fermentation (Back-Slopping)

2.6. Physicochemical Properties
2.7. Bacterial Counts
2.8. Analysis of BAs in Kisra Samples and Bacterial Cultures
2.9. Antioxidant Indices Assays
2.9.1. DPPH Free Radical Scavenging Activity
2.9.2. Total Phenolic Content (TPC)
2.10. Statistical Analysis
3. Results and Discussion
3.1. Selection and Identification of LAB Strains as Starter Candidates Isolated from Kisra Sourdough
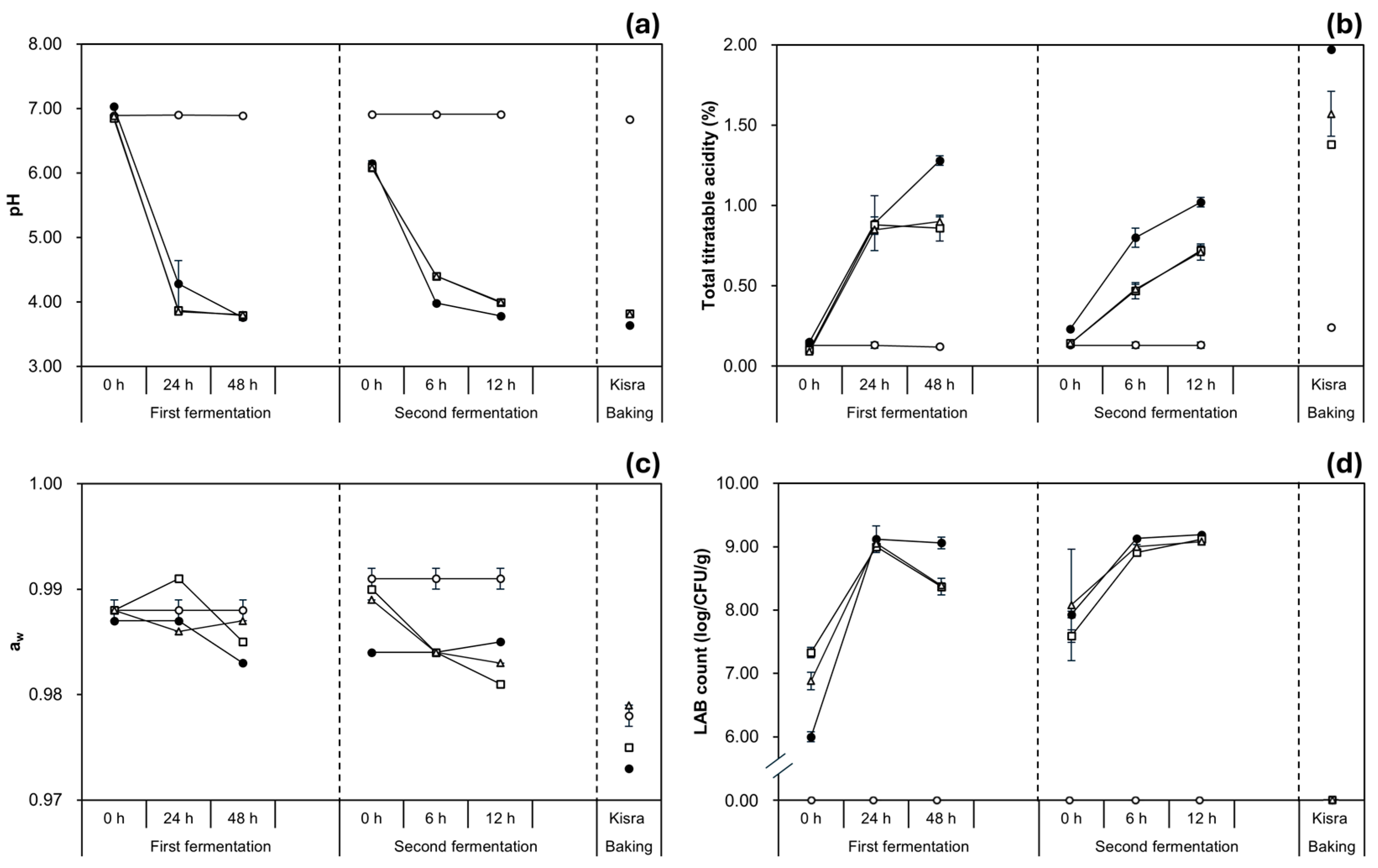
3.2. Effect of P. pentosaceus K-B21 and P. pentosaceus K-B01 on Physiochemical and Microbial Properties during Kisra Fermentation

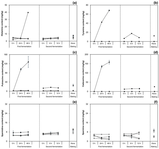
3.3. Effect of P. pentosaceus K-B21 and P. pentosaceus K-B01 on BA Content during Kisra Fermentation
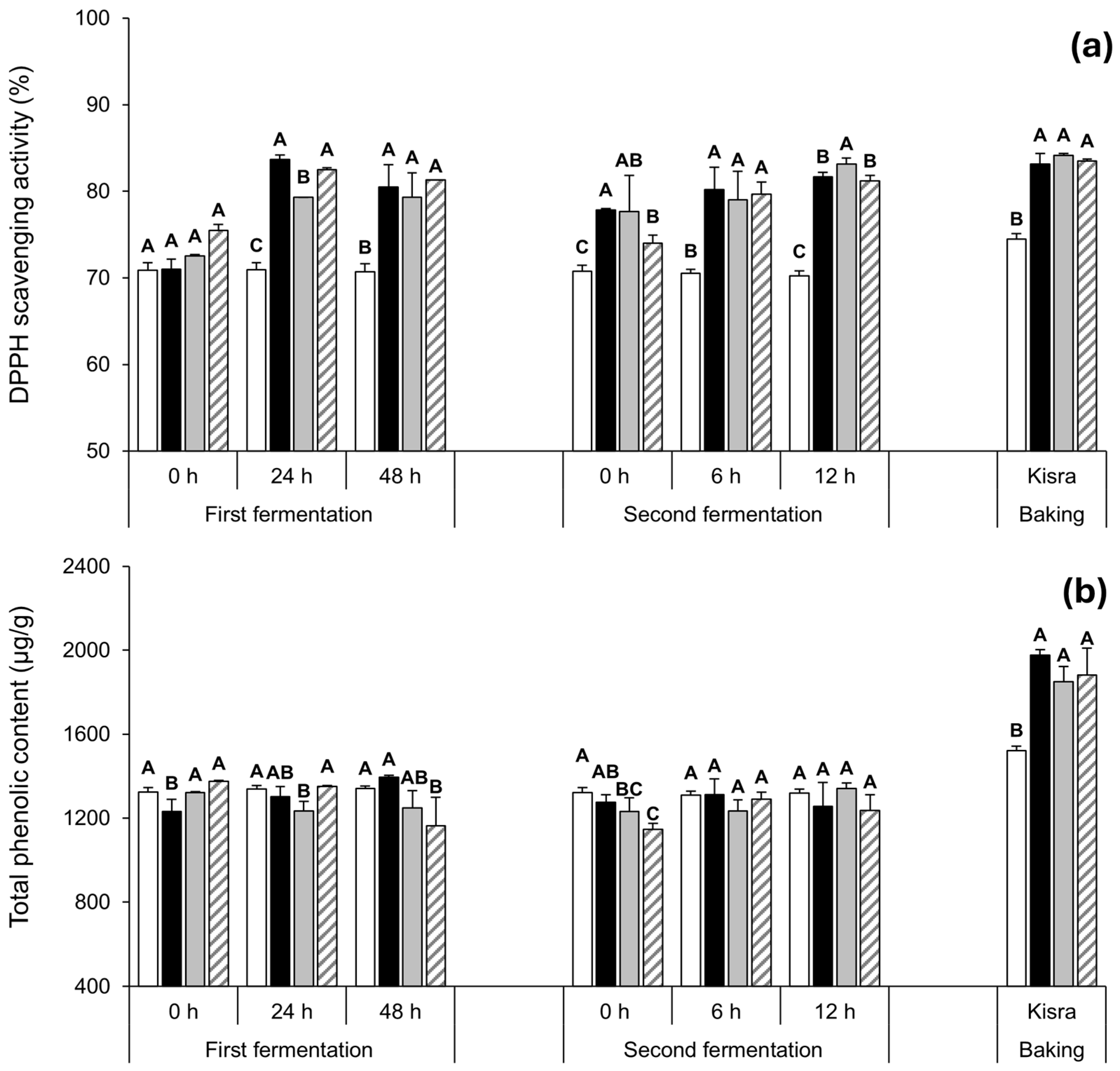
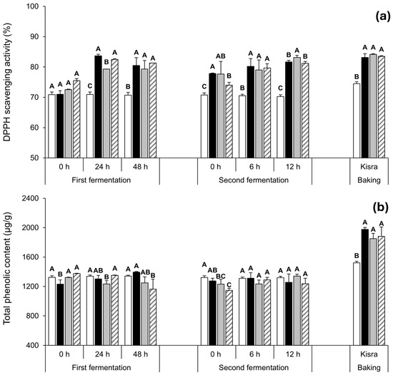
3.4. Effect of P. pentosaceus K-B21 and P. pentosaceus K-B01 on Antioxidant Indices during Kisra Fermentation
4. Conclusions
Supplementary Materials
Author Contributions
Funding
Institutional Review Board Statement
Informed Consent Statement
Data Availability Statement
Acknowledgments
Conflicts of Interest
References
- Ogunsakin, O.; Banwo, K.; Ogunremi, O.; Sanni, A. Microbiological and physicochemical properties of sourdough bread from sorghum flour. Int. Food Res. J. 2015, 22, 2610–2618. [Google Scholar]
- Chavan, R.S.; Chavan, S.R. Sourdough technology—a traditional way for wholesome foods: A review. Compr. Rev. Food Sci. Food Saf. 2011, 10, 169–182. [Google Scholar] [CrossRef]
- Taccari, M.; Aquilanti, L.; Polverigiani, S.; Osimani, A.; Garofalo, C.; Milanović, V.; Clementi, F. Microbial diversity of Type I sourdoughs prepared and back-slopped with wholemeal and refined soft (Triticum aestivum) Wheat Flours. J. Food Sci. 2016, 81, M1996–M2005. [Google Scholar] [CrossRef] [PubMed]
- Montemurro, M.; Celano, G.; De Angelis, M.; Gobbetti, M.; Rizzello, C.G.; Pontonio, E. Selection of non-Lactobacillus strains to be used as starters for sourdough fermentation. Food Microbiol. 2020, 90, 103491. [Google Scholar] [CrossRef]
- Schirone, M.; Tofalo, R.; Visciano, P.; Corsetti, A.; Suzzi, G. Biogenic amines in Italian Pecorino cheese. Front. Microbiol. 2012, 3, 171. [Google Scholar] [CrossRef]
- Gänzle, M.G.; Ehmann, M.; Hammes, W.P. Modeling of growth of Lactobacillus sanfranciscensis and Candida milleri in response to process parameters of sourdough fermentation. Appl. Environ. Microbiol. 1998, 64, 2616–2623. [Google Scholar] [CrossRef]
- Mohammed, S.I.; Steenson, L.R.; Kirleis, A.W. Isolation and characterization of microorganisms associated with the traditional sorghum fermentation for production of Sudanese kisra. Appl. Environ. Microbiol. 1991, 57, 2529–2533. [Google Scholar] [CrossRef] [PubMed]
- Hamad, S.H.; Böcker, G.; Vogel, R.F.; Hammes, W.P. Microbiological and chemical analysis of fermented sorghum dough for Kisra production. Appl. Microbiol. Biotechnol. 1992, 37, 728–731. [Google Scholar] [CrossRef]
- Ali, A.A.; Mustafa, M.M. Isolation, characterization and identification of lactic acid bacteria from fermented sorghum dough used in Sudanese Kisra preparation. Pak. J. Nutr. 2009, 8, 1814–1818. [Google Scholar] [CrossRef][Green Version]
- Lee, Y.-C.; Kung, H.-F.; Huang, Y.-L.; Wu, C.-H.; Huang, Y.-R.; Tsai, Y.-H. Reduction of biogenic amines during miso fermentation by Lactobacillus plantarum as a starter culture. J. Food Prot. 2016, 79, 1556–1561. [Google Scholar] [CrossRef]
- Park, Y.K.; Lee, J.H.; Mah, J.-H. Occurrence and reduction of biogenic amines in traditional Asian fermented soybean foods: A review. Food Chem. 2019, 278, 1–9. [Google Scholar] [CrossRef] [PubMed]
- Ertürkmen, P.; Turhan, İ.; Öner, Z. Amino Acid Decarboxylase Activity of Some Lactic Acid Bacteria. Mehmet Akif Ersoy Üniversitesi Fen Bilim. Enstitüsü Derg. 2015, 6, 89–94. [Google Scholar]
- Hassan, A.A.A.; Jin, Y.H.; Mah, J.-H. Effects of Lactic Acid Bacteria on Reducing the Formation of Biogenic Amines and Improving the Formation of Antioxidant Compounds in Traditional African Sourdough Flatbread Fermentation. Antioxidants 2024, 13, 844. [Google Scholar] [CrossRef]
- Banwo, K.; Asogwa, F.C.; Ogunremi, O.R.; Adesulu-Dahunsi, A.; Sanni, A. Nutritional profile and antioxidant capacities of fermented millet and sorghum gruels using lactic acid bacteria and yeasts. Food Biotechnol. 2021, 35, 199–220. [Google Scholar] [CrossRef]
- Abdualrahman, M.A.Y.; Ma, H.; Yagoub, A.E.A.; Zhou, C.; Ali, A.O.; Yang, W. Nutritional value, protein quality and antioxidant activity of Sudanese sorghum-based kissra bread fortified with bambara groundnut (Voandzeia subterranea) seed flour. J. Saudi Soc. Agric. Sci. 2019, 18, 32–40. [Google Scholar] [CrossRef]
- Adebo, O.A. African Sorghum-Based Fermented Foods: Past, Current and Future Prospects. Nutrients 2020, 12, 1111. [Google Scholar] [CrossRef]
- Zaroug, M.; Orhan, I.E.; Senol, F.S.; Yagi, S. Comparative antioxidant activity appraisal of traditional Sudanese kisra prepared from two sorghum cultivars. Food Chem. 2014, 156, 110–116. [Google Scholar] [CrossRef]
- Ben-Gigirey, B.; De Sousa, J.M.V.B.; Villa, T.G.; Barros-Velazquez, J. Changes in biogenic amines and microbiological analysis in albacore (Thunnus alalunga) muscle during frozen storage. J. Food Prot. 1998, 61, 608–615. [Google Scholar] [CrossRef]
- Ben-Gigirey, B.; De Sousa, J.M.V.B.; Villa, T.G.; Barros-Velazquez, J. Histamine and cadaverine production by bacteria isolated from fresh and frozen albacore (Thunnus alalunga). J. Food Prot. 1999, 62, 933–939. [Google Scholar] [CrossRef]
- Lee, J.; Jin, Y.H.; Pawluk, A.M.; Mah, J.-H. Reduction in biogenic amine content in Baechu (Napa cabbage) kimchi by biogenic amine-degrading lactic acid bacteria. Microorganisms 2021, 9, 2570. [Google Scholar] [CrossRef]
- Sinnelä, M.T.; Park, Y.K.; Lee, J.H.; Jeong, K.C.; Kim, Y.-W.; Hwang, H.-J.; Mah, J.-H. Effects of calcium and manganese on sporulation of Bacillus species involved in food poisoning and spoilage. Foods 2019, 8, 119. [Google Scholar] [CrossRef] [PubMed]
- Thiex, N.; Novotny, L.; Crawford, A. AOAC International. AOAC Official Method 842.15: Acidity (titratable) of fruit products. J. AOAC 2007, 71, 86. [Google Scholar]
- Braca, A.; Sortino, C.; Politi, M.; Morelli, I.; Mendez, J. Antioxidant activity of flavonoids from Licania licaniaeflora. J. Ethnopharmacol. 2002, 79, 379–381. [Google Scholar] [CrossRef]
- Singleton, V.L.; Rossi, J.A. Colorimetry of total phenolics with phosphomolybdic-phosphotungstic acid reagents. Am. J. Enol. Vitic. 1965, 16, 144–158. [Google Scholar] [CrossRef]
- Hamad, S.; Dieng, M.; Ehrmann, M.A.; Vogel, R.F. Characterization of the bacterial flora of Sudanese sorghum flour and sorghum sourdough. J. Appl. Microbiol. 1997, 83, 764–770. [Google Scholar] [CrossRef]
- El Nour, M.; El-Tigani, S.; Dirar, H. A microbiological study of Hussuwa: A traditional Sudanese fermented food from germinated Sorghum bicolor c.v. feterita. World J. Microbiol. Biotechnol. 1999, 15, 305–308. [Google Scholar] [CrossRef]
- Świder, O.; Roszko, M.Ł.; Wójcicki, M.; Bujak, M.; Szczepańska, M.; Juszczuk-Kubiak, E.; Średnicka, P.; Cieślak, H. Non-aminobiogenic starter cultures in a model system of cucumber fermentation. LWT 2023, 177, 114574. [Google Scholar] [CrossRef]
- García-Ruiz, A.; González-Rompinelli, E.M.; Bartolomé, B.; Moreno-Arribas, M.V. Potential of wine-associated lactic acid bacteria to degrade biogenic amines. Int. J. Food Microbiol. 2011, 148, 115–120. [Google Scholar] [CrossRef] [PubMed]
- Jideani, V.A.; Ratau, M.A.; Okudoh, V.I. Non-alcoholic pearl millet beverage innovation with own bioburden: Leuconostoc mesenteroides, Pediococcus pentosaceus and Enterococcus gallinarum. Foods 2021, 10, 1447. [Google Scholar] [CrossRef]
- Luti, S.; Mazzoli, L.; Ramazzotti, M.; Galli, V.; Venturi, M.; Marino, G.; Lehmann, M.; Guerrini, S.; Granchi, L.; Paoli, P. Antioxidant and anti-inflammatory properties of sourdoughs containing selected Lactobacilli strains are retained in breads. Food Chem. 2020, 322, 126710. [Google Scholar] [CrossRef]
- Pereira, C.I.; Matos, D.; San Romão, M.V.; Barreto Crespo, M.T. Dual role for the tyrosine decarboxylation pathway in Enterococcus faecium E17: Response to an acid challenge and generation of a proton motive force. Appl. Environ. Microbiol. 2009, 75, 345–352. [Google Scholar] [CrossRef] [PubMed]
- Arena, M.E.; Landete, J.M.; Manca de Nadra, M.C.; Pardo, I.; Ferrer, S. Factors affecting the production of putrescine from agmatine by Lactobacillus hilgardii X1B isolated from wine. J. Appl. Microbiol. 2008, 105, 158–165. [Google Scholar] [CrossRef] [PubMed]
- Doeun, D.; Davaatseren, M.; Chung, M.-S. Biogenic amines in foods. Food Sci. Biotechnol. 2017, 26, 1463–1474. [Google Scholar] [CrossRef]
- Zhang, C.; Zhang, J.; Xin, X.; Niu, H.; Liao, X.; Liu, D. Reduced formation of biogenic amines in low-salt Zhacai via fermentation under CO2-modified atmosphere. Food Res. Int. 2023, 163, 112256. [Google Scholar] [CrossRef]
- Špička, J.; Kalač, P.; Bover-Cid, S.; Křížek, M. Application of lactic acid bacteria starter cultures for decreasing the biogenic amine levels in sauerkraut. Eur. Food Res. Technol. 2002, 215, 509–514. [Google Scholar] [CrossRef]
- Punia, H.; Tokas, J.; Malik, A.; Satpal; Sangwan, S. Characterization of phenolic compounds and antioxidant activity in sorghum [Sorghum bicolor (L.) Moench] grains. Cereal Res. Commun. 2021, 49, 343–353. [Google Scholar] [CrossRef]
- Hong, S.; Pangloli, P.; Perumal, R.; Cox, S.; Noronha, L.E.; Dia, V.P.; Smolensky, D. A comparative study on phenolic content, antioxidant activity and anti-inflammatory capacity of aqueous and ethanolic extracts of sorghum in lipopolysaccharide-induced RAW 264.7 macrophages. Antioxidants 2020, 9, 1297. [Google Scholar] [CrossRef]
- Ofosu, F.K.; Elahi, F.; Daliri, E.B.-M.; Han, S.-I.; Oh, D.-H. Impact of thermal treatment and fermentation by lactic acid bacteria on sorghum metabolite changes, their antioxidant and antidiabetic activities. Food Biosci. 2022, 45, 101502. [Google Scholar] [CrossRef]
- Zhang, H.; Kong, B.; Liu, H.; Sun, F.; Chen, Q. Physiology and antioxidant activity of Pediococcus pentosaceus R1 and Lactobacillus fermentum R6 in response to lactic acid stress. LWT 2021, 149, 111878. [Google Scholar] [CrossRef]
- Gänzle, M.G. Enzymatic and bacterial conversions during sourdough fermentation. Food Microbiol. 2014, 37, 2–10. [Google Scholar] [CrossRef]
- Olojede, A.O.; Sanni, A.I.; Banwo, K.; Michael, T. Improvement of texture, nutritional qualities, and consumers’ perceptions of sorghum-based sourdough bread made with Pediococcus pentosaceus and Weissella confusa strains. Fermentation 2022, 8, 32. [Google Scholar] [CrossRef]
- Omedi, J.O.; Huang, W.; Zheng, J. Effect of sourdough lactic acid bacteria fermentation on phenolic acid release and antifungal activity in pitaya fruit substrate. LWT 2019, 111, 309–317. [Google Scholar] [CrossRef]
- Sidari, R.; Martorana, A.; Zappia, C.; Mincione, A.; Giuffrè, A.M. Persistence and effect of a multistrain starter culture on antioxidant and rheological properties of novel wheat sourdoughs and bread. Foods 2020, 9, 1258. [Google Scholar] [CrossRef] [PubMed]
- Lu, Y.; Luthria, D.; Fuerst, E.P.; Kiszonas, A.M.; Yu, L.; Morris, C.F. Effect of processing on phenolic composition of dough and bread fractions made from refined and whole wheat flour of three wheat varieties. J. Agric. Food Chem. 2014, 62, 10431–10436. [Google Scholar] [CrossRef]
- Michalska, A.; Amigo-Benavent, M.; Zielinski, H.; del Castillo, M.D. Effect of bread making on formation of Maillard reaction products contributing to the overall antioxidant activity of rye bread. J. Cereal Sci. 2008, 48, 123–132. [Google Scholar] [CrossRef]

: K-B21 group (kisra inoculated with P. pentosaceus K-B21), ▨: K-B01 group (kisra inoculated with P. pentosaceus K-B01). Values of bars in the same period of kisra processing with different letters (A–C) are significantly different (p < 0.05). Error bars indicate standard deviations calculated from triplicate experiments.
: K-B21 group (kisra inoculated with P. pentosaceus K-B21), ▨: K-B01 group (kisra inoculated with P. pentosaceus K-B01). Values of bars in the same period of kisra processing with different letters (A–C) are significantly different (p < 0.05). Error bars indicate standard deviations calculated from triplicate experiments.
| BA-Related Metabolic Capabilities | LAB Strains Isolated from Kisra Sourdough | |||
|---|---|---|---|---|
| P. pentosaceus K-B21 | P. pentosaceus K-B01 | Other Strains (n = 44 1) | ||
| BA Production (μg/mL) | HIS 2 | ND 3,b | 0.19 ± 0.01 4,a | 0.17 ± 0.17 5,a |
| TYR | 0.69 ± 0.02 b | 0.63 ± 0.01 b | 142.55 ± 78.15 a | |
| PUT | 0.37 ± 0.01 a | 0.37 ± 0.01 a | 0.26 ± 0.08 a | |
| CAD | 0.08 ± 0.01 a | 0.08 ± 0.01 a | 0.14 ± 0.05 a | |
| Degradation Rate (%) | HIS | 8.06 ± 5.86 a (3.91–12.20) 6 | 3.28 ± 4.64 b (0.00–6.56) | - 7 |
| TYR | 8.38 ± 9.01 a (2.00–14.75) | 6.20 ± 6.33 b (1.72–10.66) | - | |
Disclaimer/Publisher’s Note: The statements, opinions and data contained in all publications are solely those of the individual author(s) and contributor(s) and not of MDPI and/or the editor(s). MDPI and/or the editor(s) disclaim responsibility for any injury to people or property resulting from any ideas, methods, instructions or products referred to in the content. |
© 2024 by the authors. Licensee MDPI, Basel, Switzerland. This article is an open access article distributed under the terms and conditions of the Creative Commons Attribution (CC BY) license (https://creativecommons.org/licenses/by/4.0/).
Share and Cite
Hassan, A.A.A.; Jin, Y.H.; Mah, J.-H. Influence of Pediococcus pentosaceus Starter Cultures on Biogenic Amine Content and Antioxidant Activity in African Sourdough Flatbread Fermentation. Antioxidants 2024, 13, 1204. https://doi.org/10.3390/antiox13101204
Hassan AAA, Jin YH, Mah J-H. Influence of Pediococcus pentosaceus Starter Cultures on Biogenic Amine Content and Antioxidant Activity in African Sourdough Flatbread Fermentation. Antioxidants. 2024; 13(10):1204. https://doi.org/10.3390/antiox13101204
Chicago/Turabian StyleHassan, Alaa Ahmed Alsiddig, Young Hun Jin, and Jae-Hyung Mah. 2024. "Influence of Pediococcus pentosaceus Starter Cultures on Biogenic Amine Content and Antioxidant Activity in African Sourdough Flatbread Fermentation" Antioxidants 13, no. 10: 1204. https://doi.org/10.3390/antiox13101204
APA StyleHassan, A. A. A., Jin, Y. H., & Mah, J.-H. (2024). Influence of Pediococcus pentosaceus Starter Cultures on Biogenic Amine Content and Antioxidant Activity in African Sourdough Flatbread Fermentation. Antioxidants, 13(10), 1204. https://doi.org/10.3390/antiox13101204

