Abstract
Neurodegenerative disorders are characterized by a progressive process of degeneration and neuronal death, where oxidative stress and neuroinflammation are key factors that contribute to the progression of these diseases. Therefore, two major pathways involved in these pathologies have been proposed as relevant therapeutic targets: The nuclear transcription factor erythroid 2 (Nrf2), which responds to oxidative stress with cytoprotecting activity; and the nuclear factor NF-κB pathway, which is highly related to the neuroinflammatory process by promoting cytokine expression. Caffeic acid phenethyl ester (CAPE) is a phenylpropanoid naturally found in propolis that shows important biological activities, including neuroprotective activity by modulating the Nrf2 and NF-κB pathways, promoting antioxidant enzyme expression and inhibition of proinflammatory cytokine expression. Its simple chemical structure has inspired the synthesis of many derivatives, with aliphatic and/or aromatic moieties, some of which have improved the biological properties. Moreover, new drug delivery systems increase the bioavailability of these compounds in vivo, allowing its transcytosis through the blood-brain barrier, thus protecting brain cells from the increased inflammatory status associated to neurodegenerative and psychiatric disorders. This review summarizes the biosynthesis and chemical synthesis of CAPE derivatives, their miscellaneous activities, and relevant studies (from 2010 to 2023), addressing their neuroprotective activity in vitro and in vivo.
1. Introduction
The current demographic shift has led to a surge in the prevalence of diseases affecting older adults, including neurodegenerative disorders. Among them, Alzheimer’s disease (AD) is the first cause of dementia and a significant global public health problem, estimated to affect about 131.5 million people worldwide, with an annual incidence of 4 to 6 million new cases [1]. Furthermore, the second neurodegenerative disorder is Parkinson’s disease (PD), affecting one in every hundred people over 60 years of age. It is estimated that by 2030 there will be 9 million patients with idiopathic PD worldwide [2]. Moreover, psychiatric disorders with increasing worldwide prevalence, such as major depressive disorder (MDD), are relevant and potentially modifiable risk factors for dementia. Neurodegenerative disorders are characterized by excessive damage of key brain structures, which is followed by neuronal function loss, structural alterations, and decrease of cellular survival [3]. However, despite our increasing knowledge about their pathogenic mechanisms, successful therapeutic approaches to tackle neurodegeneration have remained highly elusive.
A wealth of evidence has indicated that oxidative stress and neuroinflammation may have a crucial role in the pathogenesis of neurodegenerative disorders, as they are associated with complex systems that activate programmed cell death cascades [4,5,6,7].
Activation of the Nrf2 and NF-κB pathways is expected to have a prominent role in the control of oxidative stress and inflammation. The nuclear erythroid transcription factor 2 (Nrf2) responds to oxidative stress, mediating cytoprotection in mammalian cells by the production of a set of antioxidant genes called phase II genes, which produce phase II proteins associated with ROS stabilization [8,9,10]. In turn, NF-κB controls pro-inflammatory gene expression. The synthesis of cytokines such as the tumor necrosis factor alpha (TNF-α), interleukin (IL)-1β, IL-6, and IL-8 is directly mediated by NF-κB, as well as the expression of cyclooxygenase-2 (COX2) [11].
To date, conventional single drug-based therapeutic approaches for addressing neurodegenerative disorders have not been entirely satisfactory. For instance, in the pharmacological treatment of AD, since the 1990s, only three small molecules as cholinesterase inhibitors, including galantamine, rivastigmine, and donepezil, together with memantine, a glutamatergic antagonist, are available, alongside two antibodies, aducanumab and lecanemab. Therefore, targeting multiple pharmacological pathways such as inflammation and oxidative stress holds great promise for increasing the likelihood of obtaining potent neuroprotective effects. Among the novel and emerging therapeutic approaches, consuming functional foods enriched with natural bioactive molecules has shown great potential as a palliative or preventative measure for the middle-aged population. For instance, propolis is considered a food supplement with relevant therapeutic properties, including antidiabetic, anticancer or antibacterial activities. Propolis is a large mixture of polyphenols, essential oils, and waxes produced by plants as resinous secretions. This is collected by honeybees, which use it as a waterproof substance to seal hive cracks or holes [12]. Furthermore, bees use propolis as an antiseptic material to prevent infections due to its powerful antibacterial [13] and antiparasitic properties [14]. The large molecular variety of propolis depends on many factors, such as location, the season, and plants distributed around the hive [15]. Despite this, propolis always shows antioxidant, anti-inflammatory, bactericidal, and antifungal properties that could be explained due to the high content and variety of flavonoids with a particular chemical composition [16,17,18].
2. Natural Sources of Caffeic Acid Phenethyl Ester
Caffeic acid phenethyl ester (CAPE) is found mainly in propolis. It is a natural polyphenol from the phenylpropanoid family, formed by the esterification of caffeic acid and phenethyl alcohol (Figure 1) [19,20,21].
Figure 1.
Chemical structure of caffeic acid phenethyl ester (CAPE).
CAPE is not the major component of propolis, but it is one of the most potent antioxidants supplied by the caffeic acid moiety, which has a higher antioxidant capacity than related phenylpropanoids such as ferulic acid and p-coumaric acid [22]. The concentration of CAPE in propolis varies greatly, from 0 to 11 mg/g of propolis collected in different regions of Turkey [23]. Quantification by high-performance liquid chromatography (HPLC) is a suitable method for its determination [24]. Table 1 shows the concentration of CAPE in some sources.
Table 1.
Concentration of CAPE in different natural sources.
The presence of CAPE and caffeic acid was analyzed in 25 species of mushrooms. CAPE was not found in any any of them, unlike caffeic acid, which was quantified in seven mushrooms, including B. edulis, S. commune, F. velutipes, Agrocybe aegerita, P. eryngii, P. cystidiosus and P. adiposa in concentrations from 0.004 to 0.577 mg g−1 [28].
3. Biosynthesis of CAPE
CAPE displays a broad spectrum of beneficial activities, including antitumor activity by inducing apoptosis in many cancer cell lines [26,29,30,31]. For example, on human leukemia HL-60 cells, CAPE inhibits DNA, RNA, and protein synthesis with an IC50 of 1.0 μM, 5.0 μM, and 1.5 μM, respectively [32]. Moreover, CAPE induces anti-inflammatory and immunomodulatory responses. These activities have been explained by the activation of Nrf2 and the inhibition of NF-κB. Thus, CAPE is commercially available as an NF-κB inhibitor for in vitro and in vivo studies [33].
This review provides an in-depth examination of the biosynthesis and chemical synthesis of CAPE derivatives, as well as their various activities, with a particular focus on their effects on the Nrf2 and NF-κB signaling pathways implicated in oxidative and inflammatory damage underlying neurodegeneration.
CAPE is naturally synthesized by the phenylpropanoid pathway, beginning with the amino acids phenylalanine or tyrosine, which produce 4-coumaric acid. The biosynthesis of CAPE is summarized in Figure 2.
Figure 2.
Biosynthetic pathways for the formation of CAPE. The involved enzymes are abbreviated: PAL = phenylalanine ammonia lyase; C4H = cinnamate 4-hydroxilase; 4CL = 4-coumaric acid CoA-ligase; C3H = p-coumarate 3-hydroxylase.
Coenzyme A and 4-coumaric acid are bound by 4-coumaric acid CoA-ligase (4CL) enzymatic activity, producing 4-coumaroyl CoA with an activated carbonyl. This product is further meta hydroxylated by p-coumarate 3-hydroxylase, producing the intermediate caffeoyl CoA, which is the precursor of caffeic acid by hydrolysis of CoA. In the biosynthesis of CAPE, however, the CoA is substituted in one step with phenethyl alcohol by ester linkage. Phenethyl alcohol is synthesized by two enzymes, an aromatic amino acid decarboxylase such as phenylalanine decarboxylase (PDC), followed by a monoamine oxidase such as phenethylamine oxidase (PEO) [34].
The absorption and metabolism of CAPE have not yet been well studied, but these processes should be like those of caffeic acid or related caffeic acid esters. The absorption and metabolism of the radiolabel [3-14C] caffeic acid have been studied in rats, showing that absorption starts in the stomach after 1 h post-ingestion and is quickly absorbed in the first portion of the intestine, obtaining high concentrations in plasma after 2 h, and then is excreted mainly by urine as nine derivatives of type sulfonated and glucuronide, with no accumulation in tissues [35]. CAPE is hydrolyzed after 6 h in rat plasma, producing caffeic acid by a carboxylesterase [36].
Caffeic acid esters, such as chlorogenic and rosmarinic acid, have shown a similar pattern, being excreted by urine 4–8 h post-ingestion, with only 3.3 to 4.0% of total polyphenol content remaining [35,37]. The pharmacodynamic and pharmacokinetics of murine and human organisms are different, however. For instance, CAPE shows more stability in human than in rat plasma, where its concentration decreases quickly, producing caffeic acid and by-products, suggesting that CAPE is hydrolyzed by enzymes present in rat plasma but not in human [36].
4. CAPE Derivatives as Novel Bioactive Compounds
The structure of CAPE inspired organic chemists to develop chemical analogs that improve the activities of the original molecule. The synthesis of CAPE derivatives has been improved over the years, from the initial Fisher esterification catalyzed with acids, giving low yields, to the utilization of coupling reagents as DCC, the condensation of acid chlorine derivative or microwave assistance. Here we summarize some methods that produce acceptable yields and are easy to apply (Figure 3).
Figure 3.
Synthesis of CAPE and derivatives by Knoevenagel condensation using thermal or microwave methods.
Choi et al. (2019) produced ester derivatives by reflux overnight with starting alcohol and 1.2 equivalents of Meldrum’s acid, obtining the corresponding malonic acid monoester. Next, 1 eq. of an aldehyde produces the corresponding CAPE derivative by Knoevenagel condensation, as shown in Figure 3, entries 1 to 3 [38]. An alternative pathway involves microwave assistance, considerably reducing reaction times but giving moderate yields (entries 4 to 6).
The N,N′dicyclohexylcarbodiimide (DCC) coupling method was used by Chen et al. in the synthesis of CAPE. Starting with caffeic acid and 5 equivalents of phenethyl alcohol, a 38% yield of CAPE was produced after purification (Figure 4, entry 1). Nagaoka synthetized twenty CAPE analogues by acyl chlorine condensation, starting with caffeic acid and chlorine thionyl in a dry atmosphere. The corresponding alcohol was then added, producing the corresponding CAPE derivative (Figure 4, entry 2a to 2c). The product 4-phenylbutyl caffeate showed antiproliferative activity with EC50 of 20 μM against murine colon 26-L5 carcinoma cells [39].
Figure 4.
Synthesis of CAPE derivatives by DCC and acyl chlorine condensation [32,39].
Different methods have achieved the synthesis of CAPE and its derivatives. However, some routes were not discussed here because they present low yields, inconvenient reagents, or burdensome purification procedures, unlike the methods summarized in Figure 3 and Figure 4. CAPE derivatives were studied in vitro and in vivo due to the antiviral and anticancer activities displayed. In Figure 5, some of its esters are shown.
Figure 5.
Chemical structure of caffeoyl ester derivatives.
A compound (E)-phenyl 3-(3,4-dihydroxyphenyl) acrylate is the best result of a screening of 19 CAPE-derivatives in a search for inhibitors of the enzyme xanthine oxidase (XO). XO inhibition is a therapeutic strategy for treating hyperuricemia, which results in uric acid crystal accumulation in joints, producing gout or inflammatory arthritis. This CAPE derivative inhibits XO more efficiently than CAPE by π-π interactions with the enzyme. This enzymatic activity, together with the anti-inflammatory capacities of the related molecules, suggests its use in the treatment of hyperuricemia [38]. Moreover, n-Alkyl esters of CAPE have shown antiviral activity against the hepatitis C virus (HCV), with actions depending on the length of the aliphatic chain and substituents in the catechol moiety. Among derivatives with 1, 4, 6, 8, and 10 carbons, octyl caffeate (CAOE, Figure 5) exhibited the highest activity against HCV with an EC50 value of 2.7 mM, inhibiting genotype 1b and 2a of the virus, independent of interferon signaling. Moreover, CAOE showed synergistic activity with antivirals such as interferon-alpha 2b, daclatasvir, and VX-222, enhancing their activities. Shen and collaborators evidenced that CAOE is protective against hepato-toxic stimuli and mitochondrial dysfunction induced by tert-butyl hydroperoxide in HepG2 Cells. CAOE showed the best results compared to ten different compounds, including amides and esters of caffeic acid [40,41].
A more extended side chain derivative with 12 carbons, decyl caffeate (DC, Figure 5) showed inhibition of human colorectal cancer cells HT-29 and HCT-116 cell proliferation in vivo and in vitro on a xenograft mouse model, enhancing cell-cycle arrest at the S phase via blockade of the STAT3 and Akt signaling pathways. Therefore, DC inhibits cell proliferation by inducing autophagy in HCT-116 colon cells [42].
The replacement of the ester bonding by amide bonding could increase the stability of the molecules in acidic pH and esterase activity, increasing their bioavailability. Thus, many caffeoyl amides have been synthesized (Figure 6), and some of them showed neuroprotective and photoprotective effects in cell and animal models.
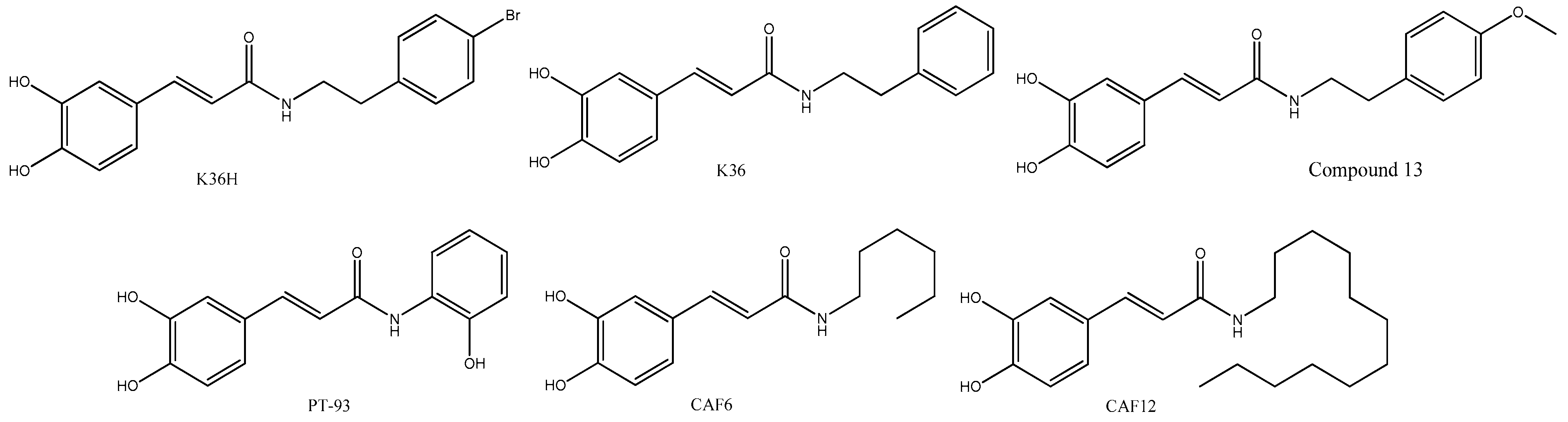
Figure 6.
Chemical structure of caffeoyl amide derivatives.
Compounds K36 and K36H are closely related to CAPE. They change the ester bonding by amide linkage, showing antiphotodamage properties induced by ultraviolet A (UVA), which is a preponderant factor in skin damage and aging. They were synthesized by the condensation of caffeic acid with 2-phenylethanamine or 2-(4-bromophenyl)ethanamine producing K36 or K36H, respectively. K36 reduces ROS levels via Nrf2, with the consequent antioxidant response mechanisms, such as the expression of the antioxidant enzyme heme oxygenase-1 (HO-1) and the inhibition of metalloproteinase (MMP)-1, MMP-2, IL-6, and PGE2. K36, as well as CAPE, reduces iNOS and COX-2 expression by inhibition of NF-κB [43]. Moreover, K36 reduces the activation of extracellular signal-regulated kinase (ERK) and c-Jun N-terminal kinases (JNK), as well as 8-hydroxy-20-deoxyguanosine (8-OHdG) levels [44]. The p-bromine derivative K36H displays a behavior similar to that of K36, reducing ROS generation, PGE2, NO formation, DNA damage, overexpression of matrix metalloproteinase (MMP)-1, and MMP-2, as well as the expression of Bax and caspase-3, in line with its photoprotective properties. These effects suggest that K36 and K36H could be used as active components of new photoprotector products [45].
The long-chain amides, CAPE dodecyl amide (CAF12) together with CAPE hexyl amide (CAF6), showed neuroprotective effects in an animal model of diabetic retinopathy by ameliorating oxidative stress via increasing the antioxidant enzyme retinal superoxide dismutase (SOD). Moreover, treatment with CAF12 or CAF6 decreased iPF2α levels and AKT phosphorylation in diabetic rats, promoting the survival and growth of retinal neurons. This resulted in the prevention of negative morphological changes in the retina of diabetic rat models treated with streptozotocin (a diabetic inductor drug) compared to rats treated with CAF12 or CAF6 intravitreally for two weeks [46]. Moreover, prior studies with aliphatic amides of caffeic acid with C3, C4, C6, C8, and C12 were evaluated on AD models, showing that CAF12 increases PC12 pheochromocytoma cell survival in serum-deprived conditions, enhancing the nerve growth factor (NGF) effect, and inducing neurite outgrowth via the ERK1/2 and AKT pathways by activation of PI3K. Moosavi and colleagues suggested that these amides could have neuroprotective properties [47]. A CAF12 and CAF6-related amide, denominated compound 13, with a p-methoxy group incorporated into the phenyl moiety, revealed a potent antioxidant and neuroprotective activity with better results than those of 20 other related compounds evaluated [48]. Compound 13 induced memory loss impairment in a transgenic Drosophila model, as well as inhibitory or disaggregation activity on Aβ peptides in Alzheimer’s disease (AD) models [49]. Although these amides are structurally related to the esters shown in Figure 3, and possess antiviral and anticancer activities, they have not yet been studied adequately in these disease models. Only a molecule with a shorter side chain, the amide PT-93, was studied in glioblastoma multiforme (GBM), such as T98G, U87, U251 and HT22 cell lines. The compound showed antiproliferative activities in these models by MMP-2 and MMP-9 inhibition [50].
Amides and esters presented here are the result of inducing chemical variations in the phenethyl moiety of CAPE, producing a variety of bioactive compounds. Moreover, Wan et al. (2019) improved the solubility and absorption of CAPE with the synthesis of the 4-O-glucoside of CAPE, called FA-97, by coupling CAPE to an acetyl-protected brominated D-glucose, according to Figure 7 [51].
Figure 7.
Synthesis of caffeic acid phenethyl ester 4-O-glucoside, or FA-97 [51].
FA-97 enhances antioxidant and scavenger properties in neuronal cell cultures by directly inhibiting ROS production while also activating Nrf2, which produces an antioxidant cell response. In SH-SY5Y human neuroblastoma and PC12 rat pheochromocytoma cells, FA-97 attenuated H2O2-induced apoptosis by decreasing ROS and malondialdehyde (MDA) levels, also inducing cellular superoxide (SOD) and glutathione (GSH) dismutase, quinone oxidoreductase 1(NQO1), and HO-1 by activation of the Nrf2 pathway. On AD models, FA-97 reduced learning and memory impairments in mice via reducing neuronal apoptosis [51]. Furthermore, FA-97 proved to be a potential drug against inflammatory bowel disease (IBD), which is an inflammatory intestinal disorder. On a mouse model of colitis employing dextran sodium sulfate (DSS) to induce epithelial damage, FA-97 reduced body weight loss as well as colon damage and length shortening via the activation of HO-1/Nrf2, showing the excellent properties of this compound in gastrointestinal affections [51].
5. CAPE Inhibits Oxidative Stress by Modulation of the Nrf2 Pathway
The metabolic activity of the brain renders it particularly susceptible to oxidative damage. Indeed, although the brain accounts for only 2% of our body weight, it consumes 20% of the whole body’s oxygen supply. This puts neuronal cells at risk of generating an excess of free radicals that can overwhelm the available antioxidant systems, leading to oxidative stress (OS). Furthermore, OS is associated with the development and progression of different neurodegenerative disorders, including Alzheimer’s disease (AD), Parkinson’s disease (PD), and Huntington’s disease (HD) [52,53]. Interestingly, transcription factors such as Nrf2 govern the homeostatic oxidative responses, highlighting its potential as a therapeutic target for counterbalancing oxidative damage during neurodegenerative disorders. Indeed, Nrf2 has been shown to upregulate the expression of various antioxidant enzymes, which can be further stimulated with CAPE. Next, we will briefly provide mechanistic insights on the effects of chemical modifications during OS associated with neurodegeneration. Further, we will examine evidence supporting the potential of CAPE for positively impacting Nrf2 signaling during neurodegeneration [54,55].
Metabolic activity is a major source of OS in the cells. As such, mitochondria are the major sources of cellular ATP and the main generators of ROS and OS inside the cells. Indeed, around 2% of the oxygen consumed by cells is converted into ROS during oxidative phosphorylation in the mitochondria. Different mechanisms may account for the tight association of OS with neurodegeneration. For instance, mitochondrial exposure to ROS may cause damage of its DNA (DNAmit), including DNA fragmentation, chromatid exchange, translocations, and consequent mutations. Altered DNAmit impacts the expression and abnormal activity of proteins involved in ATP synthesis by uncoupling the electronic transport chain from oxidative phosphorylation [54,55], decreasing ATP production and therefore the activity of the plasma membrane ATPase. Decreased activity of the sodium/potassium transporter (Na/K-ATPase) leads to neuronal membrane depolarization, thus generating an increase in cellular excitation and facilitating the opening of voltage-sensitive Ca2+ channels. In turn, increased glutamate release (and decreased uptake by the glutamate transporter) leads to activation of the N-methyl-D-aspartate (NMDA)-glutamate receptor, thus contributing to increased Ca2+ influx [55,56]. Moreover, calcium activates several Ca2+-dependent signaling pathways, such as nitric oxide synthases (NOS), leading to an excess in the production of nitric oxide (NO), which also generates free radicals causing oxidative damage [57,58,59,60].
Oxidative damage is manifested as covalent modifications of different subcellular structures and compartments. Accordingly, ROS can oxidate macromolecules of various kinds, including lipids, proteins and nucleic acids, modifying their structure and function [61,62]. As such, lipid damage by peroxidation is associated with early and late markers, including hexanonyl-lysine (HEL), acrolein-lysine (ACR), malondialdehyde, F2-isoprostanes and 4-hydroxynonenal (4-HNE) adducts. In turn, oxidative damage of DNA and RNA is reflected in markers such as 8-hydroxy-2-deoxyguanosine (8-OHdG) and 8-hydroxyguanine (8-oxo-dGo), respectively, which have a high mutagenic power [53,63]. For AD and HD, an increase of oxidized molecules such as proteins, lipids and nucleic acids is generated by the presence of 3-nitrotyrosine and 3,3’-dithyrosine in the hippocampus, neocortex and cerebrospinal ventricular fluid of patients with the condition [64]. Furthermore, nuclear and mitochondrial DNA modification and lipoperoxidation are associated with increased 8-OHdG, acrolein, malondialdehyde, 4-HNE and F2-isoprostanes [65]. It has been shown that there is a relationship between increased 4-HNE in cultured hippocampal cells and altered Na+/K+ ATPase function [66,67]. PD patients show a reduced activity of antioxidant enzymes such as catalase and glutathione peroxidase, and the most affected dopaminergic brain region presents a decrease in glutathione (GSH) levels, so the ratio of GSH/GSSG (oxidized glutathione) decreases during neuronal degeneration, which favors the formation of free radicals [68,69]. Moreover, as in amyotrophic lateral sclerosis (ALS), there is a decrease in the activity of Complex I of the mitochondrial electron transport chain accompanied by an increase of up to 7 fold in O2, H2O2 and NO production [6].
The transcription factor Nrf2 is the intrinsic controller of cellular redox homeostasis and regulates the expression of a set of antioxidant genes called phase II genes, which produce phase II proteins associated to ROS stabilization. Under normal redox conditions, Nrf2 associates with the Keap1 protein, forming the Keap1–Nrf2 complex that is retained in the cytosol (cytoskeleton) [8,9,10]. Nevertheless, in an oxidizing environment, phosphatidylinositol 3-kinase (PI3K) produces depolymerization of actin microfilaments, realizing the Nrf2 from the cytoskeleton [70], facilitating its nuclear translocation, allowing its binding to a specific DNA sequence known as ARE (Antioxidant Response Element). PI3K furthermore produces enzymes of phase II as NQO1 (NADPH Quinone Dehydrogenase 1), glutathione S-transferase (GST) that conjugates ROS and hydrophobic electrophiles to glutathione, UDP-glucuronosyl transferases that conjugate xenobiotics to glucuronic acid for excretion, ferritin for iron storage, epoxide hydrolase that inactivates epoxides, and γ-glutamyl cysteine synthetase (γ-GCS) involved in GSH synthesis, heme oxygenase 1 (HO-1) that catabolizes heme groups, as well as exerting antioxidant and anti-inflammatory actions [71,72].
CAPE shows potent antioxidant activity, reducing the formation of the superoxide anion produced during the autoxidation of β-mercaptoethanol and quenching the 2,2-diphenyl-1-picrylhydrazyl (DPPH) radical. It also inhibits the activity of xanthine oxidase (XO). In addition, CAPE exhibits potent cytoprotective and antigenotoxic antilipoperoxidative potential against oxidative damage [73,74,75]. CAPE activates the expression of the antioxidant HO-1 and protects the kidneys from aging-related oxidative injury in rats by reducing malondialdehyde (MDA) levels with a simultaneous elevation of superoxide dismutase, catalase, glutathione peroxidase, and reduced glutathione in the renal tissues of old rats [76,77]. CAPE possesses a marked iron-binding capacity and therefore interferes with the formation of the ferrous-ferrozin complex [78]. Sun et al. demonstrated that at micromolar concentrations in a concentration-dependent manner, CAPE is capable of increasing Nrf2 by inhibiting ubiquitination and promoting Nrf2 with subsequent HO-1 expression [79]. Furthermore, Sun et al. demonstrated that CAPE regulates NF-κB signaling and the inflammatory response through the Nrf2/HO-1 signaling pathway in IL-1β-stimulated chondrocytes [80]. In HepG2 cells, CAPE induces accumulation of Nrf2 in the nucleus with the expression of HO-1 regulated by Kelch-like ECH-associated protein 1, where the oxidized state of the catechol moiety of CAPE activates the via more potently due to oxidized CAPE binds to keap-1, releasing the Nrf2 factor and allowing its nuclear translocation [81].
CAPE attenuates oxidative stress and neurotoxicity by modulating MAPK and Akt/glycogen synthase kinase 3β (GSK3β)-signaling pathways and reducing dead hippocampal cells in an AD mouse model. CAPE thus is particularly beneficial in AD treatment because the disease is closely related to toxicity in the hippocampus. Moreover, CAPE was found to protect transient ischemic injury and prevent neonatal encephalopathy by blocking NF-κB-mediated neuronal inflammation, evoking antioxidant effects and mitochondrial apoptosis [82].
CAPE may be able to ameliorate Parkinson’s disease in PD murine models, attenuating dopaminergic loss and decreasing behavioral abnormality through oxidative stress and reducing neuroinflammation, causing a protective effect on nigral dopaminergic neurons by HO-1-dependent MAPK signaling [83,84].
In an acute brain damage model of stroke, CAPE decreased MDA levels, prevented lipid peroxidation due to ROS scavenging, and increased GSH levels and NO in brain tissue [85]. When CAPE was compared with alpha-tocopherol, a potent free radical scavenger molecule (Vitamin E) on ischemia-reperfusion brain injury, the former proved to be better than Vitamin E in reducing the brain level of MDA, a marker of oxidative stress [86]. Moreover, CAPE is highly effective in scavenging free radicals, even more than the structurally related ferulic acid and ethyl ferulate, as well as in blocking the enhanced release of cardiolipin and cytochrome c. Therefore it protects from functional alterations in isolated mouse brain mitochondria challenged by anoxia/reoxygenation [87]. This compound further exhibits an effect on isolated brain mitochondria by directly inhibiting Ca2+-induced cytochrome c release, caspase-3, caspase-1, and reducing the expression of inducible nitric oxide synthase by hypoxia-mediated mechanisms, showing neuroprotection activity in vivo. Moreover, CAPE potently blocked nitric oxide-induced neurotoxicity in vitro [88]. The mechanisms of CAPE on oxidative stress and activation of the Nrf2 pathway are summarized in Figure 8.
Figure 8.
CAPE action mechanisms on oxidative stress and activation of the Nrf2 pathway. (-) routes that inactivate. (+) activating routes.
6. CAPE Inhibits Neuroinflammation by Modulation of the NF-κB Pathway
Cumulating evidence supports that NF-κB plays a critical role in regulating the immune response and inflammation implicated in the pathogenesis of neurodegenerative disorders. The inflammatory response involves the activation of the innate and adaptive immune system, leading to the release of proinflammatory and anti-inflammatory cytokines, which play a crucial role in resolving inflammation. These systemic inflammatory responses, known as neuroinflammation, are also manifested inside the brain’s parenchyma. Furthermore, there is a particular inflammatory signature in the bloodstreams and brains of patients with different neurodegenerative disorders, including AD, PD, ALS, and FTD. Interestingly, CAPE may be a relevant therapeutic agent for controlling NF-κB signaling and reducing neuroinflammation in these disorders.
NF-κB activation can be mediated through three pathways: canonical (or classical), the non-canonical (or alternative), and a non-enzymatic regulatory component. In the canonical pathway, NF-κB is activated in response to viral and microbial infections or exposure to pro-inflammatory cytokines. This occurs with the participation of RelA and c-Rel dimers together with P50. After activation, the IKKB subunit phosphorylates IkB at serine residues, causing its ubiquitin-dependent degradation via proteasome, translocating NF-κB (p65/p50) to the nucleus to act as a transcription factor for the target gene [89]. The alternative pathway is activated via members of the TNF-α family, such as lymphotoxin B and BAFF; CK2 is independent of the IKK complex (IKKα and IKKβ). The pathway mainly activates IKKa, which is responsible for the phosphorylation of p100, causing proteolysis to take an active form, which is p52. The dimers can then be translocated into the nucleus, acting as transcription factors [90].
Most of the genes under NF-κB transcriptional control are involved in immune system signaling and inflammatory responses. The transcriptional control of cytokine expression by NF-κB is probably one of the most important factors the pathogenic role of NF-κB in some diseases is assessed. Some of these cytokines include TNFα, IL-1α/β, IL-2, 3, 6, 12, GM-CSF, M-CSF and G-CSF, the chemokines MCP-1, KC, MIP-1 and CCL, together with adhesion molecules ICAM-1, E-selectin and VCAM-1, which enable the recruitment and binding of immune system cells to sites where the inflammatory process develops [91]. NF-κB prevents apoptosis in several inflammatory cells, including macrophages, dendritic cells, T and B-lymphocytes, and neutrophils, and promotes survival of several malignant tumors, especially of lymphomas. In contrast, the inflammatory response can induce apoptotic cell death. This inflammatory cell death response is initiated by the production of cell death receptors (Fas and FasL) and intracellular apoptosis-inducing proteins. This apoptotic death is further assisted by activated immune cells, which secrete granzyme, perforin and nitric oxide, all apoptosis-inducing factors regulated by NF-κB [91].
The mammalian NF-κB family consists of five subfamilies: NF-κB1 (p105 and p50), NF-κB2 (p100 and p52), RelA (p65), RelB, and c-Rel. In most cell types, NF-κB dimers are predominantly cytoplasmic because they are in constant interaction with NF-κB inhibitors (IkBα, IkBβ, IkBε and Bcl-3) remaining transcriptionally inactive [92]. IkBα, IkBβ, and IkBε interact with NF-κB dimers and are responsible for their retention in the cytoplasm. These NF-κB inhibitors contain conserved serine residues that can be phosphorylated by IkB kinases (or IKKs) to be subsequently degraded by the proteasome and finally generate the translocation of NF-κB dimers to the nucleus [80,93].
In 1996, the molecular mechanisms by which caffeic acid derivatives prevent NF-κB activation were analyzed for the first time. Initially, it was shown that the activation of NF-κB by a tumor necrosis factor (TNF) is completely blocked by CAPE in a dose- and time-dependent manner. In addition to TNF, CAPE also inhibits NF-κB activation induced by other inflammatory agents, including phorbol ester, ceramide, hydrogen peroxide, and okadaic acid. However, reducing agents reverse the inhibitory effects exerted by CAPE, suggesting a role for critical sulfhydryl groups in NF-κB activation [94]. CAPE prevents translocation of the p65 subunit of NF-κB to the nucleus but has no significant effect on TNF-induced degradation of IκBα; however, it delays IκBα resynthesis. Therefore, these data suggest that CAPE prevented NF-κB activation by inhibiting p65 translocation and IκBα degradation in human chondrocytes [80]. In HCT116 cells, CAPE inhibited NF-κB by direct inhibition of IKK [95].
The effect of CAPE on the inhibition of NF-κB is to binding specific target-DNA sites, whereas other transcription factors including AP-1, Oct-1, and TFIID, were found to be unaffected by CAPE [94]. When several synthetic structural analogs of CAPE were tested, it was found that a bicyclic, rotationally restricted, 5,6-dihydroxy form exhibits high inhibitory activity, whereas the 6,7-dihydroxy variant is less active. In this sense, other investigations in which caffeic acid phenethyl ester (CAPE) and 3,4-dihydroxybenzalacetone (DBL), both phenylpropanoid derivatives containing catechol with and presenting diverse bioactivities, have been evaluated. It was determined that the proinflammatory effects on NO synthase expression were strongly suppressed by CAPE and, to a lesser extent, by DBL and caffeic acid ethyl ester. Thus, the induction of genes downstream of LPS-activated NF-κB, such as NO synthase, IL-1β and IL6, and the translocation of NF-κB p65 to the nucleus were reduced, to a greater extent by CAPE than by DBL. Interestingly, phosphorylation of p65 was reduced by both compounds, especially by CAPE, even when the levels of IκB were not altered. One explanation for the action of these compounds is related to the effect of CAPE and DBL on the thiol groups of p65, which were modified by these molecules. However, the inhibitory effects on p65 phosphorylation and nitrite production were reversed by pretreatment with thiol-containing reagents, suggesting that CAPE has strong inhibitory effects on NF-κB activation due to the modification of thiol groups and the phosphorylation of p65 [94].
In activated astroglia cells, CAPE pretreatment abrogated TNF-α-induced expression of chemokine (CC motif) ligand 2 (CCL-2) and intercellular adhesion molecule 1 (ICAM-1) through the inhibition of NF-κB activation in a cell-specific manner [96]. In another study, CAPE was found to mediate up-regulation of Abcd2 expression and peroxisomal β-oxidation. This causes a decrease in the very long chain fatty acid (VLCFA) levels in ABCD1-deficient U87 cells; VLCFA accumulation is characteristic of a neuroinflammatory disease associated with demyelination of the cerebral white matter known as: X-linked adrenoleukodystrophy (X-ALD). CAPE reduces NF-κB activation, iNOS expression. and inflammatory cytokines in primary cultures of astrocytes derived from ABCD1/ABCD2- silenced mice [97].
Microglial activation mediates inflammatory processes crucial in the development of neurodegenerative disorders. CAPE proved to inhibit cyclooxygenase-2 (COX-2) and subsequent NO production for both in vitro and in vivo models of microglial activation, mediated by α-adenosine monophosphate-activated protein kinase 5′ (AMPK), erythropoietin (EPO), and HO-1 [41]. It is known that with Amyotrophic Lateral Sclerosis, the mutation of superoxide dismutase (SOD) is highly correlated with the pathogenesis of the disease. A study using a murine model showed that CAPE prolongs the survival of mice expressing mutant SOD1 (G93A) by attenuating neuroinflammation and motor-neuron cell death as a consequence of p38 phosphorylation reduction [98]. CAPE may exert its anti-inflammatory effects by inhibiting ROS production at the transcriptional level, suppressing NF-κB activation, and directly inhibiting the catalytic activity of iNOS [99]. Supposed mechanisms of CAPE actions through the NF-κB pathway are summarized in Figure 9.
Figure 9.
Mechanism of action of CAPE against neuroinflammation and NF-κB pathway activation. (-) routes that inactivate. (+) activating routes.
7. Biological Properties of CAPE
Numerous studies have evidenced the medicinal properties of propolis, considering it a superfood. Many of these beneficial effects are attributable to CAPE. See Table 2.
Table 2.
Biological properties of CAPE.
The low solubility of CAPE and therefore its low bioavailability limit its therapeutical use. These problems can be overcome by packing the drug in nanoparticles or vesicles, which provide better therapeutic effects at lower doses. Table 3 summarizes the main delivery systems that have been used to enhance the pharmacological effects of CAPE.
Table 3.
Delivery systems for novel CAPE formulations.
8. Conclusions
Nowadays neurodegenerative diseases are a global concern with a dramatically rapid increase. Existing treatments are still palliatives. In this context, functional food could be an alternative in the prevention or deceleration of neurodegenerative problems. For future treatment of AD, propolis has proven to potentiate the neuroprotective effect of memantine in preclinical models [133]. This evidence supports a new potential avenue of investigation of a combination therapy of CAPE with other drugs to modify the evolution of AD. CAPE has a wide range of pharmacological activities, including neuroprotective effects by inhibiting NF-κB pathways and evoking intrinsic cell protection by increasing the Nrf2 pathway. The main objective of this review is to provide a comprehensive overview of the therapeutic potential of CAPE in the treatment of neurodegenerative disorders through reviewing the published data about its neuroprotective effects in the last decade. We also shed light on its molecular mechanisms of action and summarize the structure--activity relationship of synthetic derivatives of CAPE, which will be useful for the further design and development of better derivatives.
Author Contributions
Manuscript writing, R.P., V.B., V.M., J.O. and L.O.; manuscript editing, A.C., H.U., I.G.-C., U.W., A.L. and C.P. All authors have read and agreed to the published version of the manuscript.
Funding
Authors thank the financial support from ANID FONDECYT 1220831 and FAPESP 2018/07366-4 to C.P., also the project FB210024 is gratefully acknowledged by U.W.
Conflicts of Interest
The authors declare no conflict of interest.
References
- Dubois, B.; Villain, N.; Frisoni, G.B.; Rabinovici, G.D.; Sabbagh, M.; Cappa, S.; Bejanin, A.; Bombois, S.; Epelbaum, S.; Teichmann, M.; et al. Clinical Diagnosis of Alzheimer’s Disease: Recommendations of the International Working Group. Lancet Neurol. 2021, 20, 484–496. [Google Scholar] [CrossRef]
- Fukuhara, S.; Tanigaki, R.; Kimura, K.; Kataoka, T. International Immunopharmacology Kujigamberol Interferes with Pro-in Fl Ammatory Cytokine-Induced Expression of and N-Glycan Modi Fi Cations to Cell Adhesion Molecules at Di Ff Erent Stages in Human Umbilical Vein Endothelial Cells. Int. Immunopharmacol. 2018, 62, 313–325. [Google Scholar] [CrossRef]
- Heppner, F.L.; Ransohoff, R.M.; Becher, B. Immune Attack: The Role of Inflammation in Alzheimer Disease. Nat. Rev. Neurosci. 2015, 16, 358–372. [Google Scholar] [CrossRef]
- Ebadi, M.; Srinivasan, S.K.; Baxi, M.D. Oxidative Stress and Antioxidant Therapy in Parkinson’s Disease. Prog. Neurobiol. 1996, 48, 1–19. [Google Scholar] [CrossRef]
- Markesbery, W.R.; Carney, J.M. Oxidative Alterations in Alzheimer’s Disease. Brain Pathol. 1999, 9, 133–146. [Google Scholar] [CrossRef]
- Barber, S.C.; Shaw, P.J. Oxidative Stress in ALS: Key Role in Motor Neuron Injury and Therapeutic Target. Free Radic. Biol. Med. 2010, 48, 629–641. [Google Scholar] [CrossRef]
- Leiva, A.M.; Martínez-Sanguinetti, M.A.; Troncoso-Pantoja, C.; Nazar, G.; Petermann-Rocha, F.; Celis-Morales, C. Parkinson’s Disease in Chile: Highest Prevalence in Latin America. Rev. Med. Chil. 2019, 147, 535–536. [Google Scholar] [CrossRef]
- Kobayashi, A.; Kang, M.-I.; Okawa, H.; Ohtsuji, M.; Zenke, Y.; Chiba, T.; Igarashi, K.; Yamamoto, M. Oxidative Stress Sensor Keap1 Functions as an Adaptor for Cul3-Based E3 Ligase to Regulate Proteasomal Degradation of Nrf2. Mol. Cell. Biol. 2004, 24, 7130–7139. [Google Scholar] [CrossRef]
- Cullinan, S.B.; Gordan, J.D.; Jin, J.; Harper, J.W.; Diehl, J.A. The Keap1-BTB Protein Is an Adaptor That Bridges Nrf2 to a Cul3-Based E3 Ligase: Oxidative Stress Sensing by a Cul3-Keap1 Ligase. Mol. Cell. Biol. 2004, 24, 8477–8486. [Google Scholar] [CrossRef]
- Sykiotis, G.P.; Bohmann, D. Stress-Activated Cap’n’collar Transcription Factors in Aging and Human Disease. Sci. Signal. 2010, 3, re3. [Google Scholar] [CrossRef]
- Almowallad, S.; Alqahtani, L.S.; Mobashir, M. NF-ΚB in Signaling Patterns and Its Temporal Dynamics Encode/Decode Human Diseases. Life 2022, 12, 2012. [Google Scholar] [CrossRef]
- Borba, R.S.; Wilson, M.B.; Spivak, M. Hidden Benefits of Honeybee Propolis in Hives. In Beekeeping—From Science to Practice; Springer: Cham, Switzerland, 2017; pp. 17–38. [Google Scholar]
- Przybyłek, I.; Karpiński, T.M. Antibacterial Properties of Propolis. Molecules 2019, 24, 2047. [Google Scholar] [CrossRef]
- Drescher, N.; Klein, A.-M.; Neumann, P.; Yañez, O.; Leonhardt, S.D. Inside Honeybee Hives: Impact of Natural Propolis on the Ectoparasitic Mite Varroa Destructor and Viruses. Insects 2017, 8, 15. [Google Scholar] [CrossRef]
- Machado, B.A.S.; Silva, R.P.D.; Barreto, G.d.A.; Costa, S.S.; Silva, D.F.d.; Brandão, H.N.; Rocha, J.L.C.d.; Dellagostin, O.A.; Henriques, J.A.P.; Umsza-Guez, M.A.; et al. Chemical Composition and Biological Activity of Extracts Obtained by Supercritical Extraction and Ethanolic Extraction of Brown, Green and Red Propolis Derived from Different Geographic Regions in Brazil. PLoS ONE 2016, 11, e0145954. [Google Scholar] [CrossRef]
- Freires, I.A.; Queiroz, V.C.P.P.; Furletti, V.F.; Ikegaki, M.; de Alencar, S.M.; Duarte, M.C.T.; Rosalen, P.L. Chemical Composition and Antifungal Potential of Brazilian Propolis against Candida spp. J. Mycol. Med. 2016, 26, 122–132. [Google Scholar] [CrossRef]
- Pazin, W.M.; Monaco, L.d.M.; Egea Soares, A.E.; Miguel, F.G.; Berretta, A.A.; Ito, A.S. Antioxidant Activities of Three Stingless Bee Propolis and Green Propolis Types. J. Apic. Res. 2017, 56, 40–49. [Google Scholar] [CrossRef]
- Tiveron, A.P.; Rosalen, P.L.; Franchin, M.; Lacerda, R.C.C.; Bueno-Silva, B.; Benso, B.; Denny, C.; Ikegaki, M.; de Alencar, S.M. Chemical Characterization and Antioxidant, Antimicrobial, and Anti-Inflammatory Activities of South Brazilian Organic Propolis. PLoS ONE 2016, 11, e0165588. [Google Scholar] [CrossRef]
- Metzner, J.; Bekemeier, H.; Paintz, M.; Schneidewind, E. On the antimicrobial activity of propolis and propolis constituents (author’s transl). Pharmazie 1979, 34, 97–102. [Google Scholar]
- Romero, F.; Palacios, J.; Jofré, I.; Paz, C.; Nwokocha, C.R.; Paredes, A.; Cifuentes, F. Aristoteline, an Indole-Alkaloid, Induces Relaxation by Activating Potassium Channels and Blocking Calcium Channels in Isolated Rat Aorta. Molecules 2019, 24, 2748. [Google Scholar] [CrossRef]
- Kurek-Górecka, A.; Rzepecka-Stojko, A.; Górecki, M.; Stojko, J.; Sosada, M.; Swierczek-Zieba, G. Structure and Antioxidant Activity of Polyphenols Derived from Propolis. Molecules 2013, 19, 78–101. [Google Scholar] [CrossRef]
- Rice-Evans, C.A.; Miller, N.J.; Paganga, G. Structure-Antioxidant Activity Relationships of Flavonoids and Phenolic Acids. Free Radic. Biol. Med. 1996, 20, 933–956. [Google Scholar] [CrossRef]
- Ozdal, T.; Ceylan, F.D.; Eroglu, N.; Kaplan, M.; Olgun, E.O.; Capanoglu, E. Investigation of Antioxidant Capacity, Bioaccessibility and LC-MS/MS Phenolic Profile of Turkish Propolis. Food Res. Int. 2019, 122, 528–536. [Google Scholar] [CrossRef]
- Gómez-Caravaca, A.M.; Gómez-Romero, M.; Arráez-Román, D.; Segura-Carretero, A.; Fernández-Gutiérrez, A. Advances in the Analysis of Phenolic Compounds in Products Derived from Bees. J. Pharm. Biomed. Anal. 2006, 41, 1220–1234. [Google Scholar] [CrossRef]
- Zhu, Y.; Shen, T.; Lin, Y.; Chen, B.; Ruan, Y.; Cao, Y.; Qiao, Y.; Man, Y.; Wang, S.; Li, J. Astragalus Polysaccharides Suppress ICAM-1 and VCAM-1 Expression in TNF-α-Treated Human Vascular Endothelial Cells by Blocking NF-ΚB Activation. Nat. Publ. Gr. 2013, 34, 1036–1042. [Google Scholar] [CrossRef]
- Hernandez, J.; Goycoolea, F.M.; Quintero, J.; Acosta, A.; Castañeda, M.; Dominguez, Z.; Robles, R.; Vazquez-Moreno, L.; Velazquez, E.F.; Astiazaran, H.; et al. Sonoran Propolis: Chemical Composition and Antiproliferative Activity on Cancer Cell Lines. Planta Med. 2007, 73, 1469–1474. [Google Scholar] [CrossRef]
- Borrás, M.J. Universitat Politècnica De València Perfil Fenólico De Propóleos De Diferentes Orígenes Geográficos. Master’s Thesis, Universitat Politècnica de València, València, Spain, 2018. [Google Scholar]
- Li, N.; Ng, T.B.; Wong, J.H.; Qiao, J.X.; Zhang, Y.N.; Zhou, R.; Chen, R.R.; Liu, F. Separation and Purification of the Antioxidant Compounds, Caffeic Acid Phenethyl Ester and Caffeic Acid from Mushrooms by Molecularly Imprinted Polymer. Food Chem. 2013, 139, 1161–1167. [Google Scholar] [CrossRef]
- Chen, Y.J.; Shiao, M.S.; Hsu, M.L.; Tsai, T.H.; Wang, S.Y. Effect of Caffeic Acid Phenethyl Ester, an Antioxidant from Propolis, on Inducing Apoptosis in Human Leukemic HL-60 Cells. J. Agric. Food Chem. 2001, 49, 5615–5619. [Google Scholar] [CrossRef]
- Watabe, M.; Hishikawa, K.; Takayanagi, A.; Shimizu, N.; Nakaki, T. Caffeic Acid Phenethyl Ester Induces Apoptosis by Inhibition of NFkappaB and Activation of Fas in Human Breast Cancer MCF-7 Cells. J. Biol. Chem. 2004, 279, 6017–6026. [Google Scholar] [CrossRef]
- Xiang, D.; Wang, D.; He, Y.; Xie, J.; Zhong, Z.; Li, Z.; Xie, J. Caffeic Acid Phenethyl Ester Induces Growth Arrest and Apoptosis of Colon Cancer Cells via the Beta-Catenin/T-Cell Factor Signaling. Anticancer. Drugs 2006, 17, 753–762. [Google Scholar] [CrossRef]
- Chen, J.H.; Shao, Y.; Huang, M.T.; Chin, C.K.; Ho, C.T. Inhibitory Effect of Caffeic Acid Phenethyl Ester on Human Leukemia HL-60 Cells. Cancer Lett. 1996, 108, 211–214. [Google Scholar] [CrossRef]
- Murtaza, G.; Sajjad, A.; Mehmood, Z.; Shah, S.H.; Siddiqi, A.R. Possible Molecular Targets for Therapeutic Applications of Caffeic Acid Phenethyl Ester in Inflammation and Cancer. J. Food Drug Anal. 2015, 23, 11–18. [Google Scholar] [CrossRef]
- Jiang, M.; Wu, N.; Xu, B.; Chu, Y.; Li, X.; Su, S.; Chen, D.; Li, W.; Shi, Y.; Gao, X.; et al. Fatty Acid-Induced CD36 Expression via O-GlcNAcylation Drives Gastric Cancer Metastasis. Theranostics 2019, 9, 5359–5373. [Google Scholar] [CrossRef]
- Omar, M.H.; Mullen, W.; Stalmach, A.; Auger, C.; Rouanet, J.-M.; Teissedre, P.-L.; Caldwell, S.T.; Hartley, R.C.; Crozier, A. Absorption, Disposition, Metabolism, and Excretion of [3-(14)C]Caffeic Acid in Rats. J. Agric. Food Chem. 2012, 60, 5205–5214. [Google Scholar] [CrossRef]
- Celli, N.; Dragani, L.K.; Murzilli, S.; Pagliani, T.; Poggi, A. In Vitro and in Vivo Stability of Caffeic Acid Phenethyl Ester, a Bioactive Compound of Propolis. J. Agric. Food Chem. 2007, 55, 3398–3407. [Google Scholar] [CrossRef]
- de Oliveira, D.M.; Sampaio, G.R.; Pinto, C.B.; Catharino, R.R.; Bastos, D.H.M. Bioavailability of Chlorogenic Acids in Rats after Acute Ingestion of Maté Tea (Ilex Paraguariensis) or 5-Caffeoylquinic Acid. Eur. J. Nutr. 2017, 56, 2541–2556. [Google Scholar] [CrossRef]
- Choi, W.; Villegas, V.; Istre, H.; Heppler, B.; Gonzalez, N.; Brusman, N.; Snider, L.; Hogle, E.; Tucker, J.; Oñate, A.; et al. Synthesis and Characterization of CAPE Derivatives as Xanthine Oxidase Inhibitors with Radical Scavenging Properties. Bioorg. Chem. 2019, 86, 686–695. [Google Scholar] [CrossRef]
- Nagaoka, T.; Banskota, A.H.; Tezuka, Y.; Saiki, I.; Kadota, S. Selective Antiproliferative Activity of Caffeic Acid Phenethyl Ester Analogues on Highly Liver-Metastatic Murine Colon 26-L5 Carcinoma Cell Line. Bioorg. Med. Chem. 2002, 10, 3351–3359. [Google Scholar] [CrossRef]
- Shen, H.; Yamashita, A.; Nakakoshi, M.; Yokoe, H.; Sudo, M.; Kasai, H.; Tanaka, T.; Fujimoto, Y.; Ikeda, M.; Kato, N.; et al. Inhibitory Effects of Caffeic Acid Phenethyl Ester Derivatives on Replication of Hepatitis C Virus. PLoS ONE 2013, 8, e82299. [Google Scholar] [CrossRef]
- Tsai, T.-H.; Yu, C.-H.; Chang, Y.-P.; Lin, Y.-T.; Huang, C.-J.; Kuo, Y.-H.; Tsai, P.-J. Protective Effect of Caffeic Acid Derivatives on Tert-Butyl Hydroperoxide-Induced Oxidative Hepato-Toxicity and Mitochondrial Dysfunction in HepG2 Cells. Molecules 2017, 22, 702. [Google Scholar] [CrossRef]
- Chen, C.; Kuo, Y.-H.; Lin, C.-C.; Chao, C.-Y.; Pai, M.-H.; Chiang, E.-P.I.; Tang, F.-Y. Decyl Caffeic Acid Inhibits the Proliferation of Colorectal Cancer Cells in an Autophagy-Dependent Manner in Vitro and in Vivo. PLoS ONE 2020, 15, e0232832. [Google Scholar] [CrossRef]
- Kuo, Y.-H.; Chen, C.-W.; Chu, Y.; Lin, P.; Chiang, H.-M. In Vitro and In Vivo Studies on Protective Action of N-Phenethyl Caffeamide against Photodamage of Skin. PLoS ONE 2015, 10, e0136777. [Google Scholar] [CrossRef]
- Chu, Y.; Wu, P.-Y.; Chen, C.-W.; Lyu, J.-L.; Liu, Y.-J.; Wen, K.-C.; Lin, C.-Y.; Kuo, Y.-H.; Chiang, H.-M. Protective Effects and Mechanisms of N-Phenethyl Caffeamide from UVA-Induced Skin Damage in Human Epidermal Keratinocytes through Nrf2/HO-1 Regulation. Int. J. Mol. Sci. 2019, 20, 164. [Google Scholar] [CrossRef]
- Kuo, Y.-H.; Chiang, H.-L.; Wu, P.-Y.; Chu, Y.; Chang, Q.-X.; Wen, K.-C.; Lin, C.-Y.; Chiang, H.-M. Protection against Ultraviolet A-Induced Skin Apoptosis and Carcinogenesis through the Oxidative Stress Reduction Effects of N-(4-Bromophenethyl) Caffeamide, A Propolis Derivative. Antioxidants 2020, 9, 335. [Google Scholar] [CrossRef]
- Fathalipour, M.; Eghtedari, M.; Borges, F.; Silva, T.; Moosavi, F.; Firuzi, O.; Mirkhani, H. Caffeic Acid Alkyl Amide Derivatives Ameliorate Oxidative Stress and Modulate ERK1/2 and AKT Signaling Pathways in a Rat Model of Diabetic Retinopathy. Chem. Biodivers. 2019, 16, e1900405. [Google Scholar] [CrossRef]
- Moosavi, F.; Hosseini, R.; Rajaian, H.; Silva, T.; Magalhães e Silva, D.; Saso, L.; Edraki, N.; Miri, R.; Borges, F.; Firuzi, O. Derivatives of Caffeic Acid, a Natural Antioxidant, as the Basis for the Discovery of Novel Nonpeptidic Neurotrophic Agents. Bioorg. Med. Chem. 2017, 25, 3235–3246. [Google Scholar] [CrossRef]
- Cardiology, M.; Zhang, M.; Zhao, G.; Yin, K.; Xia, X.; Gong, D.; Zhao, Z.; Chen, L.; Zheng, X.; Tang, X.; et al. Apolipoprotein A-1 Binding Protein Inhibits Inflammatory Signaling Pathways by Binding to Apolipoprotein A-1 in THP-1 Macrophages. Circ. J. 2018, 82, 1396–1404. [Google Scholar] [CrossRef]
- Chai, T.; Zhao, X.-B.; Wang, W.-F.; Qiang, Y.; Zhang, X.-Y.; Yang, J.-L. Design, Synthesis of N-Phenethyl Cinnamide Derivatives and Their Biological Activities for the Treatment of Alzheimer’s Disease: Antioxidant, Beta-Amyloid Disaggregating and Rescue Effects on Memory Loss. Molecules 2018, 23, 2663. [Google Scholar] [CrossRef]
- Physiology, C. Tanshinone II a Attenuates TNF-α-Induced Expression of VCAM-1 and ICAM-1 in Endothelial Progenitor Cells by Blocking Activation of NF-ΚB. Cell. Physiol. Biochem. 2016, 40, 195–206, Erratum in Cell. Physiol. Biochem. 2017, 41, 2132. [Google Scholar] [CrossRef]
- Wan, T.; Wang, Z.; Luo, Y.; Zhang, Y.; He, W.; Mei, Y.; Xue, J.; Li, M.; Pan, H.; Li, W.; et al. FA-97, a New Synthetic Caffeic Acid Phenethyl Ester Derivative, Protects against Oxidative Stress-Mediated Neuronal Cell Apoptosis and Scopolamine-Induced Cognitive Impairment by Activating Nrf2/HO-1 Signaling. Oxid. Med. Cell. Longev. 2019, 2019, 8239642. [Google Scholar] [CrossRef]
- Sies, H. Biochemistry of Oxidative Stress. Angew. Chem. Int. Ed. Engl. 1986, 25, 1058–1071. [Google Scholar] [CrossRef]
- Halliwell, B.; Gutteridge, J.M.C. Free Radicals in Biology and Medicine; Oxford University Press: Oxford, UK, 2015; ISBN 0198717474. [Google Scholar]
- Dawson, T.M.; Dawson, V.L. Nitric Oxide Synthase: Role as a Transmitter/Mediator in the Brain and Endocrine System. Annu. Rev. Med. 1996, 47, 219–227. [Google Scholar] [CrossRef]
- Halliwell, B. Role of Free Radicals in the Neurodegenerative Diseases: Therapeutic Implications for Antioxidant Treatment. Drugs Aging 2001, 18, 685–716. [Google Scholar] [CrossRef]
- Hammer, B.; Parker, W.D.J.; Bennett, J.P.J. NMDA Receptors Increase OH Radicals in Vivo by Using Nitric Oxide Synthase and Protein Kinase C. Neuroreport 1993, 5, 72–74. [Google Scholar] [CrossRef]
- Sapolsky, R.M. Why Stress Is Bad for Your Brain. Science 1996, 273, 749–750. [Google Scholar] [CrossRef]
- Egan, M.F.; Kojima, M.; Callicott, J.H.; Goldberg, T.E.; Kolachana, B.S.; Bertolino, A.; Zaitsev, E.; Gold, B.; Goldman, D.; Dean, M.; et al. The BDNF Val66met Polymorphism Affects Activity-Dependent Secretion of BDNF and Human Memory and Hippocampal Function. Cell 2003, 112, 257–269. [Google Scholar] [CrossRef]
- Ceccatelli, S.; Tamm, C.; Zhang, Q.; Chen, M. Mechanisms and Modulation of Neural Cell Damage Induced by Oxidative Stress. Physiol. Behav. 2007, 92, 87–92. [Google Scholar] [CrossRef]
- Lee, C.; Fletcher, T.D.; Sun, G. Nitrogen Removal in Constructed Wetland Systems. Eng. Life Sci. 2009, 9, 11–22. [Google Scholar] [CrossRef]
- Anand, P.; Kunnumakkara, A.B.; Newman, R.A.; Aggarwal, B.B. Bioavailability of Curcumin: Problems and Promises. Mol. Pharm. 2007, 4, 807–818. [Google Scholar] [CrossRef]
- Tonda-Turo, C.; Origlia, N.; Mattu, C.; Accorroni, A.; Chiono, V. Current Limitations in the Treatment of Parkinson’s and Alzheimer’s Diseases: State-of-the-Art and Future Perspective of Polymeric Carriers. Curr. Med. Chem. 2018, 25, 5755–5771. [Google Scholar] [CrossRef]
- Hayashi, M. Oxidative Stress in Developmental Brain Disorders. Neuropathology 2009, 29, 1–8. [Google Scholar] [CrossRef]
- Marlatt, M.W.; Lucassen, P.J.; Perry, G.; Smith, M.A.; Zhu, X. Alzheimer’s Disease: Cerebrovascular Dysfunction, Oxidative Stress, and Advanced Clinical Therapies. J. Alzheimers. Dis. 2008, 15, 199–210. [Google Scholar] [CrossRef] [PubMed]
- Kamat, C.D.; Gadal, S.; Mhatre, M.; Williamson, K.S.; Pye, Q.N.; Hensley, K. Antioxidants in Central Nervous System Diseases: Preclinical Promise and Translational Challenges. J. Alzheimers. Dis. 2008, 15, 473–493. [Google Scholar] [CrossRef] [PubMed]
- Tabrizi, S.J.; Cleeter, M.W.; Xuereb, J.; Taanman, J.W.; Cooper, J.M.; Schapira, A.H. Biochemical Abnormalities and Excitotoxicity in Huntington’s Disease Brain. Ann. Neurol. 1999, 45, 25–32. [Google Scholar] [CrossRef] [PubMed]
- Sonnen, J.A.; Breitner, J.C.; Lovell, M.A.; Markesbery, W.R.; Quinn, J.F.; Montine, T.J. Free Radical-Mediated Damage to Brain in Alzheimer’s Disease and Its Transgenic Mouse Models. Free Radic. Biol. Med. 2008, 45, 219–230. [Google Scholar] [CrossRef]
- Borrás, C.; Sastre, J.; García-Sala, D.; Lloret, A.; Pallardó, F.V.; Viña, J. Mitochondria from Females Exhibit Higher Antioxidant Gene Expression and Lower Oxidative Damage than Males. Free Radic. Biol. Med. 2003, 34, 546–552. [Google Scholar] [CrossRef] [PubMed]
- Zhou, C.; Huang, Y.; Przedborski, S. Oxidative Stress in Parkinson’s Disease: A Mechanism of Pathogenic and Therapeutic Significance. Ann. N. Y. Acad. Sci. 2008, 1147, 93–104. [Google Scholar] [CrossRef]
- Lee, J.-M.; Johnson, J.A. An Important Role of Nrf2-ARE Pathway in the Cellular Defense Mechanism. J. Biochem. Mol. Biol. 2004, 37, 139–143. [Google Scholar] [CrossRef]
- Itoh, K.; Tong, K.I.; Yamamoto, M. Molecular Mechanism Activating Nrf2-Keap1 Pathway in Regulation of Adaptive Response to Electrophiles. Free Radic. Biol. Med. 2004, 36, 1208–1213. [Google Scholar] [CrossRef]
- Loboda, A.; Damulewicz, M.; Pyza, E.; Jozkowicz, A.; Dulak, J. Role of Nrf2/HO-1 System in Development, Oxidative Stress Response and Diseases: An Evolutionarily Conserved Mechanism. Cell. Mol. Life Sci. 2016, 73, 3221–3247. [Google Scholar] [CrossRef]
- Wang, T.; Chen, L.; Wu, W.; Long, Y.; Wang, R. Potential Cytoprotection: Antioxidant Defence by Caffeic Acid Phenethyl Ester against Free Radical-Induced Damage of Lipids, DNA, and Proteins. Can. J. Physiol. Pharmacol. 2008, 86, 279–287. [Google Scholar] [CrossRef]
- Chen, Y.-J.; Huang, A.-C.; Chang, H.-H.; Liao, H.-F.; Jiang, C.-M.; Lai, L.-Y.; Chan, J.-T.; Chen, Y.-Y.; Chiang, J. Caffeic Acid Phenethyl Ester, an Antioxidant from Propolis, Protects Peripheral Blood Mononuclear Cells of Competitive Cyclists against Hyperthermal Stress. J. Food Sci. 2009, 74, H162–H167. [Google Scholar] [CrossRef] [PubMed]
- Wang, X.; Stavchansky, S.; Kerwin, S.M.; Bowman, P.D. Structure-Activity Relationships in the Cytoprotective Effect of Caffeic Acid Phenethyl Ester (CAPE) and Fluorinated Derivatives: Effects on Heme Oxygenase-1 Induction and Antioxidant Activities. Eur. J. Pharmacol. 2010, 635, 16–22. [Google Scholar] [CrossRef] [PubMed]
- Chen, H.; Tran, J.-T.A.; Anderson, R.E.; Mandal, M.N.A. Caffeic Acid Phenethyl Ester Protects 661W Cells from H2O2-Mediated Cell Death and Enhances Electroretinography Response in Dim-Reared Albino Rats. Mol. Vis. 2012, 18, 1325–1338. [Google Scholar] [PubMed]
- Eşrefoğlu, M.; Iraz, M.; Ateş, B.; Gül, M. Not Only Melatonin but Also Caffeic Acid Phenethyl Ester Protects Kidneys against Aging-Related Oxidative Damage in Sprague Dawley Rats. Ultrastruct. Pathol. 2012, 36, 244–251. [Google Scholar] [CrossRef]
- Göçer, H.; Gülçin, I. Caffeic Acid Phenethyl Ester (CAPE): Correlation of Structure and Antioxidant Properties. Int. J. Food Sci. Nutr. 2011, 62, 821–825. [Google Scholar] [CrossRef]
- Kim, H.; Kim, W.; Yum, S.; Hong, S.; Oh, J.-E.; Lee, J.-W.; Kwak, M.-K.; Park, E.J.; Na, D.H.; Jung, Y. Caffeic Acid Phenethyl Ester Activation of Nrf2 Pathway Is Enhanced under Oxidative State: Structural Analysis and Potential as a Pathologically Targeted Therapeutic Agent in Treatment of Colonic Inflammation. Free Radic. Biol. Med. 2013, 65, 552–562. [Google Scholar] [CrossRef]
- Sun, W.; Xie, W.; Huang, D.; Cui, Y.; Yue, J.; He, Q.; Jiang, L.; Xiong, J.; Sun, W.; Yi, Q. Caffeic Acid Phenethyl Ester Attenuates Osteoarthritis Progression by Activating NRF2/HO-1 and Inhibiting the NF-κB Signaling Pathway. Int. J. Mol. Med. 2022, 50, 134. [Google Scholar] [CrossRef]
- Kim, J.-K.; Jang, H.-D. Nrf2-Mediated HO-1 Induction Coupled with the ERK Signaling Pathway Contributes to Indirect Antioxidant Capacity of Caffeic Acid Phenethyl Ester in HepG2 Cells. Int. J. Mol. Sci. 2014, 15, 12149–12165. [Google Scholar] [CrossRef]
- Khan, M.; Elango, C.; Ansari, M.A.; Singh, I.; Singh, A.K. Caffeic Acid Phenethyl Ester Reduces Neurovascular Inflammation and Protects Rat Brain Following Transient Focal Cerebral Ischemia. J. Neurochem. 2007, 102, 365–377. [Google Scholar] [CrossRef]
- Fontanilla, C.V.; Ma, Z.; Wei, X.; Klotsche, J.; Zhao, L.; Wisniowski, P.; Dodel, R.C.; Farlow, M.R.; Oertel, W.H.; Du, Y. Caffeic Acid Phenethyl Ester Prevents 1-Methyl-4-Phenyl-1,2,3,6-Tetrahydropyridine-Induced Neurodegeneration. Neuroscience 2011, 188, 135–141. [Google Scholar] [CrossRef]
- Kurauchi, Y.; Hisatsune, A.; Isohama, Y.; Mishima, S.; Katsuki, H. Caffeic Acid Phenethyl Ester Protects Nigral Dopaminergic Neurons via Dual Mechanisms Involving Haem Oxygenase-1 and Brain-Derived Neurotrophic Factor. Br. J. Pharmacol. 2012, 166, 1151–1168. [Google Scholar] [CrossRef] [PubMed]
- Aladag, M.A.; Turkoz, Y.; Ozcan, C.; Sahna, E.; Parlakpinar, H.; Akpolat, N.; Cigremis, Y. Caffeic Acid Phenethyl Ester (CAPE) Attenuates Cerebral Vasospasm after Experimental Subarachnoidal Haemorrhage by Increasing Brain Nitric Oxide Levels. Int. J. Dev. Neurosci. Off. J. Int. Soc. Dev. Neurosci. 2006, 24, 9–14. [Google Scholar] [CrossRef]
- Irmak, M.K.; Fadillioglu, E.; Sogut, S.; Erdogan, H.; Gulec, M.; Ozer, M.; Yagmurca, M.; Gozukara, M.E. Effects of Caffeic Acid Phenethyl Ester and Alpha-Tocopherol on Reperfusion Injury in Rat Brain. Cell Biochem. Funct. 2003, 21, 283–289. [Google Scholar] [CrossRef] [PubMed]
- Feng, Y.; Lu, Y.-W.; Xu, P.-H.; Long, Y.; Wu, W.-M.; Li, W.; Wang, R. Caffeic Acid Phenethyl Ester and Its Related Compounds Limit the Functional Alterations of the Isolated Mouse Brain and Liver Mitochondria Submitted to in Vitro Anoxia-Reoxygenation: Relationship to Their Antioxidant Activities. Biochim. Biophys. Acta 2008, 1780, 659–672. [Google Scholar] [CrossRef]
- Wei, X.; Zhao, L.; Ma, Z.; Holtzman, D.M.; Yan, C.; Dodel, R.C.; Hampel, H.; Oertel, W.; Farlow, M.R.; Du, Y. Caffeic Acid Phenethyl Ester Prevents Neonatal Hypoxic-Ischaemic Brain Injury. Brain 2004, 127, 2629–2635. [Google Scholar] [CrossRef]
- Mincheva, S.; Garcera, A.; Gou-Fabregas, M.; Encinas, M.; Dolcet, X.; Soler, R.M. The Canonical Nuclear Factor-ΚB Pathway Regulates Cell Survival in a Developmental Model of Spinal Cord Motoneurons. J. Neurosci. Off. J. Soc. Neurosci. 2011, 31, 6493–6503. [Google Scholar] [CrossRef]
- Demchenko, Y.N.; Glebov, O.K.; Zingone, A.; Keats, J.J.; Bergsagel, P.L.; Kuehl, W.M. Classical and/or Alternative NF-KappaB Pathway Activation in Multiple Myeloma. Blood 2010, 115, 3541–3552. [Google Scholar] [CrossRef] [PubMed]
- Lai, J.-L.; Liu, Y.-H.; Liu, C.; Qi, M.-P.; Liu, R.-N.; Zhu, X.-F.; Zhou, Q.-G.; Chen, Y.-Y.; Guo, A.-Z.; Hu, C.-M. Indirubin Inhibits LPS-Induced Inflammation via TLR4 Abrogation Mediated by the NF-ΚB and MAPK Signaling Pathways. Inflammation 2017, 40, 1–12. [Google Scholar] [CrossRef]
- Karin, M.; Ben-Neriah, Y. Phosphorylation Meets Ubiquitination: The Control of NF-[Kappa]B Activity. Annu. Rev. Immunol. 2000, 18, 621–663. [Google Scholar] [CrossRef]
- Oeckinghaus, A.; Ghosh, S. The NF-KappaB Family of Transcription Factors and Its Regulation. Cold Spring Harb. Perspect. Biol. 2009, 1, a000034. [Google Scholar] [CrossRef]
- Natarajan, K.; Singh, S.; Burke, T.R.J.; Grunberger, D.; Aggarwal, B.B. Caffeic Acid Phenethyl Ester Is a Potent and Specific Inhibitor of Activation of Nuclear Transcription Factor NF-Kappa B. Proc. Natl. Acad. Sci. USA 1996, 93, 9090–9095. [Google Scholar] [CrossRef] [PubMed]
- Lee, Y.; Shin, D.-H.; Kim, J.-H.; Hong, S.; Choi, D.; Kim, Y.-J.; Kwak, M.-K.; Jung, Y. Caffeic Acid Phenethyl Ester-Mediated Nrf2 Activation and IkappaB Kinase Inhibition Are Involved in NFkappaB Inhibitory Effect: Structural Analysis for NFkappaB Inhibition. Eur. J. Pharmacol. 2010, 643, 21–28. [Google Scholar] [CrossRef]
- Choi, K.; Choi, C. Differential Regulation of C-Jun N-Terminal Kinase and NF-KappaB Pathway by Caffeic Acid Phenethyl Ester in Astroglial and Monocytic Cells. J. Neurochem. 2008, 105, 557–564. [Google Scholar] [CrossRef]
- Singh, J.; Khan, M.; Singh, I. Caffeic Acid Phenethyl Ester Induces Adrenoleukodystrophy (Abcd2) Gene in Human X-ALD Fibroblasts and Inhibits the Proinflammatory Response in Abcd1/2 Silenced Mouse Primary Astrocytes. Biochim. Biophys. Acta 2013, 1831, 747–758. [Google Scholar] [CrossRef]
- Fontanilla, C.V.; Wei, X.; Zhao, L.; Johnstone, B.; Pascuzzi, R.M.; Farlow, M.R.; Du, Y. Caffeic Acid Phenethyl Ester Extends Survival of a Mouse Model of Amyotrophic Lateral Sclerosis. Neuroscience 2012, 205, 185–193. [Google Scholar] [CrossRef] [PubMed]
- Ilhan, A.; Akyol, O.; Gurel, A.; Armutcu, F.; Iraz, M.; Oztas, E. Protective Effects of Caffeic Acid Phenethyl Ester against Experimental Allergic Encephalomyelitis-Induced Oxidative Stress in Rats. Free Radic. Biol. Med. 2004, 37, 386–394. [Google Scholar] [CrossRef] [PubMed]
- Serarslan, G.; Altuğ, E.; Kontas, T.; Atik, E.; Avci, G. Caffeic Acid Phenethyl Ester Accelerates Cutaneous Wound Healing in a Rat Model and Decreases Oxidative Stress. Clin. Exp. Dermatol. 2007, 32, 709–715. [Google Scholar] [CrossRef]
- dos Santos, J.S.; Monte-Alto-Costa, A. Caffeic Acid Phenethyl Ester Improves Burn Healing in Rats through Anti-Inflammatory and Antioxidant Effects. J. Burn Care Res. Off. Publ. Am. Burn Assoc. 2013, 34, 682–688. [Google Scholar] [CrossRef]
- Hassan, N.A.; El-Bassossy, H.M.; Mahmoud, M.F.; Fahmy, A. Caffeic Acid Phenethyl Ester, a 5-Lipoxygenase Enzyme Inhibitor, Alleviates Diabetic Atherosclerotic Manifestations: Effect on Vascular Reactivity and Stiffness. Chem. Biol. Interact. 2014, 213, 28–36. [Google Scholar] [CrossRef]
- Pittalà, V.; Salerno, L.; Romeo, G.; Acquaviva, R.; Di Giacomo, C.; Sorrenti, V. Therapeutic Potential of Caffeic Acid Phenethyl Ester (CAPE) in Diabetes. Curr. Med. Chem. 2018, 25, 4827–4836. [Google Scholar] [CrossRef]
- Sorrenti, V.; Raffaele, M.; Vanella, L.; Acquaviva, R.; Salerno, L.; Pittalà, V.; Intagliata, S.; Di Giacomo, C. Protective Effects of Caffeic Acid Phenethyl Ester (CAPE) and Novel Cape Analogue as Inducers of Heme Oxygenase-1 in Streptozotocin-Induced Type 1 Diabetic Rats. Int. J. Mol. Sci. 2019, 20, 2441. [Google Scholar] [CrossRef] [PubMed]
- Choi, J.H.; Choi, S.-S.; Kim, E.S.; Jedrychowski, M.P.; Yang, Y.R.; Jang, H.-J.; Suh, P.-G.; Banks, A.S.; Gygi, S.P.; Spiegelman, B.M. Thrap3 Docks on Phosphoserine 273 of PPARγ and Controls Diabetic Gene Programming. Genes Dev. 2014, 28, 2361–2369. [Google Scholar] [CrossRef] [PubMed]
- Mosser, D.M.; Edwards, J.P. Exploring the Full Spectrum of Macrophage Activation. Nat. Rev. Immunol. 2008, 8, 958–969. [Google Scholar] [CrossRef] [PubMed]
- Roos, T.U.; Heiss, E.H.; Schwaiberger, A.V.; Schachner, D.; Sroka, I.M.; Oberan, T.; Vollmar, A.M.; Dirsch, V.M. Caffeic Acid Phenethyl Ester Inhibits PDGF-Induced Proliferation of Vascular Smooth Muscle Cells via Activation of P38 MAPK, HIF-1α, and Heme Oxygenase-1. J. Nat. Prod. 2011, 74, 352–356. [Google Scholar] [CrossRef]
- Chan, G.C.-F.; Cheung, K.-W.; Sze, D.M.-Y. The Immunomodulatory and Anticancer Properties of Propolis. Clin. Rev. Allergy Immunol. 2013, 44, 262–273. [Google Scholar] [CrossRef]
- Yasui, N.; Nishiyama, E.; Juman, S.; Negishi, H.; Miki, T.; Yamori, Y.; Ikeda, K. Caffeic Acid Phenethyl Ester Suppresses Oxidative Stress in 3T3-L1 Adipocytes. J. Asian Nat. Prod. Res. 2013, 15, 1189–1196. [Google Scholar] [CrossRef]
- Kazancioglu, H.O.; Bereket, M.C.; Ezirganli, S.; Aydin, M.S.; Aksakalli, S. Effects of Caffeic Acid Phenethyl Ester on Wound Healing in Calvarial Defects. Acta Odontol. Scand. 2015, 73, 21–27. [Google Scholar] [CrossRef]
- Kızıldağ, A.; Arabacı, T.; Albayrak, M.; Taşdemir, U.; Şenel, E.; Dalyanoglu, M.; Demirci, E. Therapeutic Effects of Caffeic Acid Phenethyl Ester on Alveolar Bone Loss in Rats with Endotoxin-Induced Periodontitis. J. Dent. Sci. 2019, 14, 339–345. [Google Scholar] [CrossRef]
- Krol, W.; Scheller, S.; Shani, J.; Pietsz, G.; Czuba, Z. Synergistic Effect of Ethanolic Extract of Propolis and Antibiotics on the Growth of Staphylococcus Aureus. Arzneimittelforschung 1993, 43, 607–609. [Google Scholar]
- Scheller, S.; Dworniczak, S.; Waldemar-Klimmek, K.; Rajca, M.; Tomczyk, A.; Shani, J. Synergism between Ethanolic Extract of Propolis (EEP) and Anti-Tuberculosis Drugs on Growth of Mycobacteria. Z. Naturforsch. C. 1999, 54, 549–553. [Google Scholar] [CrossRef]
- Veloz, J.J.; Alvear, M.; Salazar, L.A. Antimicrobial and Antibiofilm Activity against Streptococcus Mutans of Individual and Mixtures of the Main Polyphenolic Compounds Found in Chilean Propolis. BioMed Res. Int. 2019, 2019, 7602343. [Google Scholar] [CrossRef] [PubMed]
- Niu, Y.; Wang, K.; Zheng, S.; Wang, Y.; Ren, Q.; Li, H.; Ding, L.; Li, W.; Zhang, L. Antibacterial Effect of Caffeic Acid Phenethyl Ester on Cariogenic Bacteria and Streptococcus Mutans Biofilms. Antimicrob. Agents Chemother. 2020, 64, e00251-20. [Google Scholar] [CrossRef]
- Chen, T.-G.; Lee, J.-J.; Lin, K.-H.; Shen, C.-H.; Chou, D.-S.; Sheu, J.-R. Antiplatelet Activity of Caffeic Acid Phenethyl Ester Is Mediated through a Cyclic GMP-Dependent Pathway in Human Platelets. Chin. J. Physiol. 2007, 50, 121–126. [Google Scholar] [PubMed]
- Jung, B.; Kim, M.; Kim, H.-A.; Kim, D.; Yang, J.; Her, S.; Song, Y.S. Caffeic Acid Phenethyl Ester, a Component of Beehive Propolis, Is a Novel Selective Estrogen Receptor Modulator. Phytother. Res. 2010, 24, 295–300. [Google Scholar] [CrossRef] [PubMed]
- Tomur, A.; Kanter, M.; Gurel, A.; Erboga, M. The Efficiency of CAPE on Retardation of Hepatic Fibrosis in Biliary Obstructed Rats. J. Mol. Histol. 2011, 42, 451–458. [Google Scholar] [CrossRef]
- Cheng, C.-C.; Chi, P.-L.; Shen, M.-C.; Shu, C.-W.; Wann, S.-R.; Liu, C.-P.; Tseng, C.-J.; Huang, W.-C. Caffeic Acid Phenethyl Ester Rescues Pulmonary Arterial Hypertension through the Inhibition of AKT/ERK-Dependent PDGF/HIF-1α In Vitro and In Vivo. Int. J. Mol. Sci. 2019, 20, 1468. [Google Scholar] [CrossRef]
- Ang, E.S.M.; Pavlos, N.J.; Chai, L.Y.; Qi, M.; Cheng, T.S.; Steer, J.H.; Joyce, D.A.; Zheng, M.H.; Xu, J. Caffeic Acid Phenethyl Ester, an Active Component of Honeybee Propolis Attenuates Osteoclastogenesis and Bone Resorption via the Suppression of RANKL-Induced NF-KappaB and NFAT Activity. J. Cell. Physiol. 2009, 221, 642–649. [Google Scholar] [CrossRef]
- Tolba, M.F.; El-Serafi, A.T.; Omar, H.A. Caffeic Acid Phenethyl Ester Protects against Glucocorticoid-Induced Osteoporosis in Vivo: Impact on Oxidative Stress and RANKL/OPG Signals. Toxicol. Appl. Pharmacol. 2017, 324, 26–35. [Google Scholar] [CrossRef]
- Ha, J.; Choi, H.-S.; Lee, Y.; Lee, Z.H.; Kim, H.-H. Caffeic Acid Phenethyl Ester Inhibits Osteoclastogenesis by Suppressing NF KappaB and Downregulating NFATc1 and C-Fos. Int. Immunopharmacol. 2009, 9, 774–780. [Google Scholar] [CrossRef]
- Morroni, F.; Sita, G.; Graziosi, A.; Turrini, E.; Fimognari, C.; Tarozzi, A.; Hrelia, P. Neuroprotective Effect of Caffeic Acid Phenethyl Ester in A Mouse Model of Alzheimer’s Disease Involves Nrf2/HO-1 Pathway. Aging Dis. 2018, 9, 605–622. [Google Scholar] [CrossRef]
- Colpan, R.D.; Erdemir, A. Co-Delivery of Quercetin and Caffeic-Acid Phenethyl Ester by Polymeric Nanoparticles for Improved Antitumor Efficacy in Colon Cancer Cells. J. Microencapsul. 2021, 38, 381–393. [Google Scholar] [CrossRef] [PubMed]
- Yordanov, Y.; Aluani, D.; Tzankova, V.; Rangelov, S.; Odzhakov, F.; Apostolov, A.; Yoncheva, K. Safety Assessment of a Newly Synthesized Copolymer for Micellar Delivery of Hydrophobic Caffeic Acid Phenethyl Ester. Pharm. Dev. Technol. 2020, 25, 1271–1280. [Google Scholar] [CrossRef] [PubMed]
- Gupta, V.K.; Fakhri, A.; Agarwal, S.; Ahmadi, E.; Nejad, P.A. Synthesis and Characterization of MnO(2)/NiO Nanocomposites for Photocatalysis of Tetracycline Antibiotic and Modification with Guanidine for Carriers of Caffeic Acid Phenethyl Ester-an Anticancer Drug. J. Photochem. Photobiol. B. 2017, 174, 235–242. [Google Scholar] [CrossRef] [PubMed]
- Choi, S.-H.; Lee, D.-Y.; Kang, S.; Lee, M.-K.; Lee, J.-H.; Lee, S.-H.; Lee, H.-L.; Lee, H.-Y.; Jeong, Y.-I. Caffeic Acid Phenethyl Ester-Incorporated Radio-Sensitive Nanoparticles of Phenylboronic Acid Pinacol Ester-Conjugated Hyaluronic Acid for Application in Radioprotection. Int. J. Mol. Sci. 2021, 22, 6347. [Google Scholar] [CrossRef] [PubMed]
- Lee, H.-Y.; Jeong, Y.-I.; Kim, E.J.; Lee, K.D.; Choi, S.-H.; Kim, Y.J.; Kim, D.H.; Choi, K.-C. Preparation of Caffeic Acid Phenethyl Ester-Incorporated Nanoparticles and Their Biological Activity. J. Pharm. Sci. 2015, 104, 144–154. [Google Scholar] [CrossRef]
- Wang, J.; Bhargava, P.; Yu, Y.; Sari, A.N.; Zhang, H.; Ishii, N.; Yan, K.; Zhang, Z.; Ishida, Y.; Terao, K.; et al. Novel Caffeic Acid Phenethyl Ester-Mortalin Antibody Nanoparticles Offer Enhanced Selective Cytotoxicity to Cancer Cells. Cancers 2020, 12, 2370. [Google Scholar] [CrossRef]
- Kapare, H.S.; Lohidasan, S.; Sinnathambi, A.; Mahadik, K. Formulation Development of Folic Acid Conjugated PLGA Nanoparticles for Improved Cytotoxicity of Caffeic Acid Phenethyl Ester. Pharm. Nanotechnol. 2021, 9, 111–119. [Google Scholar] [CrossRef]
- Lu, H.; Li, S.; Dai, D.; Zhang, Q.; Min, Z.; Yang, C.; Sun, S.; Ye, L.; Teng, C.; Cao, X.; et al. Enhanced Treatment of Cerebral Ischemia-Reperfusion Injury by Intelligent Nanocarriers through the Regulation of Neurovascular Units. Acta Biomater. 2022, 147, 314–326. [Google Scholar] [CrossRef]
- Shahin, N.N.; Shamma, R.N.; Ahmed, I.S. A Nano-Liposomal Formulation of Caffeic Acid Phenethyl Ester Modulates Nrf2 and NF-Κβ Signaling and Alleviates Experimentally Induced Acute Pancreatitis in a Rat Model. Antioxidants 2022, 11, 1536. [Google Scholar] [CrossRef]
- Moriguchi, S.; Inagaki, R.; Saito, T.; Saido, T.C.; Fukunaga, K. Propolis Promotes Memantine-Dependent Rescue of Cognitive Deficits in APP-KI Mice. Mol. Neurobiol. 2022, 59, 4630–4646. [Google Scholar] [CrossRef]
Disclaimer/Publisher’s Note: The statements, opinions and data contained in all publications are solely those of the individual author(s) and contributor(s) and not of MDPI and/or the editor(s). MDPI and/or the editor(s) disclaim responsibility for any injury to people or property resulting from any ideas, methods, instructions or products referred to in the content. |
© 2023 by the authors. Licensee MDPI, Basel, Switzerland. This article is an open access article distributed under the terms and conditions of the Creative Commons Attribution (CC BY) license (https://creativecommons.org/licenses/by/4.0/).








