Chitosan Oligosaccharides Alleviate Heat-Stress-Induced Lipid Metabolism Disorders by Suppressing the Oxidative Stress and Inflammatory Response in the Liver of Broilers
Abstract
1. Introduction
2. Materials and Methods
2.1. Animals and Experiment Design
2.2. Growth Performance
2.3. Sampling
2.4. Aminotransferase, Anti-Oxidant, and Lipid Metabolism Parameters
2.5. Real-Time Quantitative PCR
2.6. Statistical Analysis
3. Results
3.1. Growth Performance, and Liver and Abdominal Adipose Index
3.2. Liver Function Index
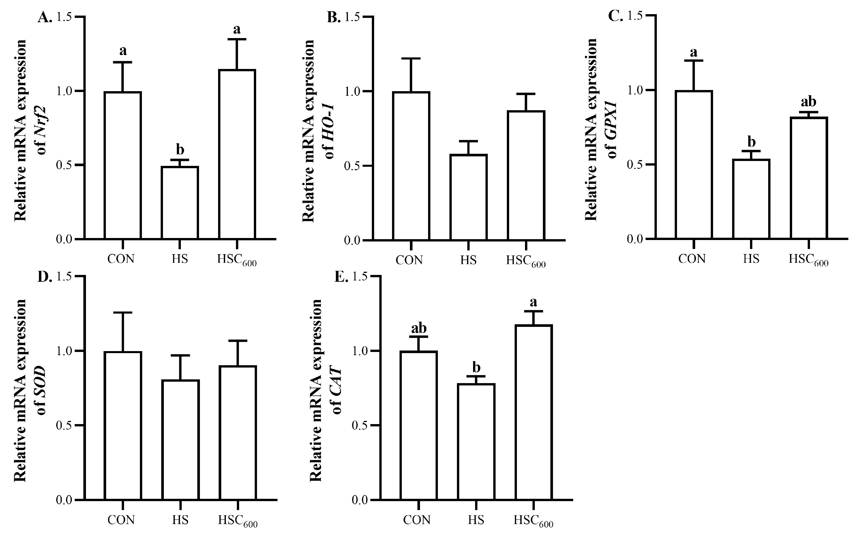
3.3. Anti-Oxidant Capacity
3.4. Inflammatory Response
3.5. Lipid Metabolism
3.6. Correlation between Hepatic-Lipid-Metabolism-Related Gene and Indices Related to Oxidative Stress and Inflammatory Response
4. Discussion
5. Conclusions
Supplementary Materials
Author Contributions
Funding
Institutional Review Board Statement
Informed Consent Statement
Data Availability Statement
Acknowledgments
Conflicts of Interest
References
- Tůmová, E.; Teimouri, A. Fat deposition in the broiler chicken: A review. Sci. Agric. Bohem. 2010, 41, 121–128. [Google Scholar]
- Zhang, H.; Xu, Z.; Yang, L.; Wang, Y.; Li, Y.; Dong, J.; Zhang, X.; Jiang, X.; Jiang, X.; Li, H. Genetic parameters for the prediction of abdominal fat traits using blood biochemical indicators in broilers. Brit. Poult. Sci. 2018, 59, 28–33. [Google Scholar] [CrossRef]
- Flees, J.; Rajaei-Sharifabadi, H.; Greene, E.; Beer, L.; Hargis, B.M.; Ellestad, L.; Porter, T.; Donoghue, A.; Bottje, W.G.; Dridi, S. Effect of Morinda citrifolia (noni)-enriched diet on hepatic heat shock protein and lipid metabolism-related genes in heat stressed broiler chickens. Front. Physiol. 2017, 8, 919. [Google Scholar] [CrossRef] [PubMed]
- Lan, R.; Wang, Y.; Wei, L.; Wu, F.; Yin, F. Heat stress exposure changed liver lipid metabolism and abdominal fat deposition in broilers. Ital. J. Anim. Sci. 2022, 21, 1326–1333. [Google Scholar] [CrossRef]
- Lu, Z.; He, X.; Ma, B.; Zhang, L.; Li, J.; Jiang, Y.; Zhou, G.; Gao, F. Increased fat synthesis and limited apolipoprotein B cause lipid accumulation in the liver of broiler chickens exposed to chronic heat stress. Poult. Sci. 2019, 98, 3695–3704. [Google Scholar] [CrossRef]
- Chang, Q.; Lu, Y.; Lan, R. Chitosan oligosaccharide as an effective feed additive to maintain growth performance, meat quality, muscle glycolytic metabolism, and oxidative status in yellow-feather broilers under heat stress. Poult. Sci. 2020, 99, 4824–4831. [Google Scholar] [CrossRef]
- Emami, N.K.; Jung, U.; Voy, B.; Dridi, S. Radical response: Effects of heat stress-induced oxidative stress on lipid metabolism in the avian liver. Antioxidants 2020, 10, 35. [Google Scholar] [CrossRef]
- Du, M.; Cheng, Y.; Chen, Y.; Wang, S.; Zhao, H.; Wen, C.; Zhou, Y. Dietary supplementation with synbiotics improves growth performance, antioxidant status, immune function, and intestinal barrier function in broilers subjected to cyclic heat stress. Environ. Sci. Pollut. Res. 2023, 30, 18026–18038. [Google Scholar] [CrossRef]
- Tang, X.; Meng, Q.; Gao, J.; Zhang, S.; Zhang, H.; Zhang, M. Label-free quantitative analysis of changes in broiler liver proteins under heat stress using SWATH-MS technology. Sci. Rep. 2015, 5, 15119. [Google Scholar] [CrossRef]
- Tang, L.P.; Liu, Y.L.; Zhang, J.X.; Ding, K.N.; Lu, M.H.; He, Y.M. Heat stress in broilers of liver injury effects of heat stress on oxidative stress and autophagy in liver of broilers. Poult. Sci. 2022, 101, 102085. [Google Scholar] [CrossRef] [PubMed]
- Chen, S.; Zhou, J.; Igbokwe, C.J.; Duan, Y.; Cai, M.; He, Y.; Zhang, H. Oligopeptide of RDPEER from watermelon seeds prevents heat stress-induced liver injury by suppressing oxidative stress and inflammation responses. J. Funct. Foods 2023, 105, 105563. [Google Scholar] [CrossRef]
- Laliotis, G.; Bizelis, I.; Rogdakis, E. Comparative approach of the de novo fatty acid synthesis (lipogenesis) between ruminant and non ruminant mammalian species: From biochemical level to the main regulatory lipogenic genes. Curr. Genom. 2010, 11, 168–183. [Google Scholar] [CrossRef] [PubMed]
- Fouad, A.; El-Senousey, H. Nutritional factors affecting abdominal fat deposition in poultry: A review. Asian-Australas. J. Anim. Sci. 2014, 27, 1057–1068. [Google Scholar] [CrossRef] [PubMed]
- Horton, J.D.; Goldstein, J.L.; Brown, M.S. SREBPs: Activators of the complete program of cholesterol and fatty acid synthesis in the liver. J. Clin. Investig. 2002, 109, 1125–1131. [Google Scholar] [CrossRef]
- Qian, M.; Lyu, Q.; Liu, Y.; Hu, H.; Wang, L. Chitosan Oligosaccharide Ameliorates Nonalcoholic Fatty Liver Disease (NAFLD) in Diet-Induced Obese Mice. Mar. Drugs 2019, 17, 391. [Google Scholar]
- Ding, K.N.; Lu, M.H.; Guo, Y.N.; Liang, S.S.; Mou, R.W.; He, Y.M.; Tang, L.P. Resveratrol relieves chronic heat stress-induced liver oxidative damage in broilers by activating the Nrf2-Keap1 signaling pathway. Ecotox. Environ. Saf. 2023, 249, 114411. [Google Scholar] [CrossRef]
- Wang, W.; Yan, F.; Hu, J.; Amen, O.; Cheng, H. Supplementation of Bacillus subtilis-based probiotic reduces heat stress-related behaviors and inflammatory response in broiler chickens. J. Anim. Sci. 2018, 96, 1654–1666. [Google Scholar] [CrossRef]
- Tolba, S.A.; Magnuson, A.D.; Sun, T.; Lei, X.G. Dietary supplemental microalgal astaxanthin modulates molecular profiles of stress, inflammation, and lipid metabolism in broiler chickens and laying hens under high ambient temperatures. Poult. Sci. 2020, 99, 4853–4860. [Google Scholar] [CrossRef]
- Li, L.; Cui, Z.; Wang, H.; Huang, B.; Ma, H. Dietary supplementation of dimethyl itaconate protects against chronic heat stress-induced growth performance impairment and lipid metabolism disorder in broiler chickens. J. Anim. Sci. 2023, skad120. [Google Scholar] [CrossRef]
- Naveed, M.; Phil, L.; Sohail, M.; Hasnat, M.; Baig, M.M.F.A.; Ihsan, A.U.; Shumzaid, M.; Kakar, M.U.; Khan, T.M.; Akabar, M. Chitosan oligosaccharide (COS): An overview. Int. J. Biol. Macromol. 2019, 129, 827–843. [Google Scholar] [CrossRef]
- Pan, H.; Fu, C.; Huang, L.; Jiang, Y.; Deng, X.; Guo, J.; Su, Z. Anti-obesity effect of chitosan oligosaccharide capsules (COSCs) in obese rats by ameliorating leptin resistance and adipogenesis. Mar. Drugs 2018, 16, 198. [Google Scholar] [CrossRef]
- Li, T.; Gong, H.; Zhan, B.; Mao, X. Chitosan oligosaccharide attenuates hepatic steatosis in HepG2 cells via the activation of AMP-activated protein kinase. J. Food. Biochem. 2022, 46, e14045. [Google Scholar] [CrossRef]
- Bai, Y.; Zheng, J.; Yuan, X.; Jiao, S.; Feng, C.; Du, Y.; Liu, H.; Zheng, L. Chitosan oligosaccharides improve glucolipid metabolism disorder in liver by suppression of obesity-related inflammation and restoration of peroxisome proliferator-activated receptor gamma (PPARγ). Mar. Drugs 2018, 16, 455. [Google Scholar] [CrossRef] [PubMed]
- Lee, J.Y.; Kim, T.Y.; Kang, H.; Oh, J.; Park, J.W.; Kim, S.C.; Kim, M.; Apostolidis, E.; Kim, Y.C.; Kwon, Y.I. Anti-obesity and anti-adipogenic effects of chitosan oligosaccharide (GO2KA1) in SD rats and in 3T3-L1 preadipocytes models. Molecules 2021, 26, 331. [Google Scholar] [CrossRef] [PubMed]
- Tao, W.; Wang, G.; Wei, J. The Role of Chitosan Oligosaccharide in Metabolic Syndrome: A Review of Possible Mechanisms. Mar. Drugs 2021, 19, 501. [Google Scholar] [CrossRef]
- Choi, E.H.; Yang, H.P.; Chun, H.S. Chitooligosaccharide ameliorates diet-induced obesity in mice and affects adipose gene expression involved in adipogenesis and inflammation. Nutr. Res. 2012, 32, 218–228. [Google Scholar] [CrossRef] [PubMed]
- Bai, S.; Luo, W.; Liu, H.; Zhang, K.; Wang, J.; Ding, X.; Zeng, Q.; Peng, H.; Bai, J.; Xuan, Y. Effects of high dietary iron on the lipid metabolism in the liver and adipose tissue of male broiler chickens. Anim. Feed. Sci. Technol. 2021, 282, 115131. [Google Scholar] [CrossRef]
- Tao, W.; Sun, W.; Liu, L.; Wang, G.; Xiao, Z.; Pei, X.; Wang, M. Chitosan oligosaccharide attenuates nonalcoholic fatty liver disease induced by high fat diet through reducing lipid accumulation, inflammation and oxidative stress in C57BL/6 mice. Mar. Drugs 2019, 17, 645. [Google Scholar] [CrossRef]
- Lan, R.; Chang, Q.; Wei, L.; Zhao, Z. The protect effects of chitosan oligosaccharides on intestinal integrity by regulating oxidative status and inflammation under oxidative stress. Mar. Drugs 2021, 19, 57. [Google Scholar] [CrossRef]
- Lan, R.; Wei, L.; Chang, Q.; Wu, S.; Zhihui, Z. Effects of dietary chitosan oligosaccharides on oxidative stress and inflammation response in liver and spleen of yellow-feather broilers exposed to high ambient temperature. Ital. J. Anim. Sci. 2020, 19, 1508–1517. [Google Scholar] [CrossRef]
- Chang, Q.; Cai, H.; Wei, L.; Lan, R. Chitosan oligosaccharides alleviate acute heat stress-induced oxidative damage by activating ERK1/2-mediated HO-1 and GSH-Px gene expression in breast muscle of broilers. Poult. Sci. 2022, 101, 101515. [Google Scholar] [CrossRef] [PubMed]
- Lan, R.; Liu, F.; He, Z.; Chen, C.; Liu, S.; Shi, Y.; Liu, Y.; Yoshimura, Y.; Zhang, M. Immunolocalization of GnRHRI, gonadotropin receptors, PGR, and PGRMCI during follicular development in the rabbit ovary. Theriogenology 2014, 81, 1139–1147. [Google Scholar] [CrossRef] [PubMed]
- Liu, W.C.; Ou, B.H.; Liang, Z.L.; Zhang, R.; Zhao, Z.H. Algae-derived polysaccharides supplementation ameliorates heat stress-induced impairment of bursa of Fabricius via modulating NF-κB signaling pathway in broilers. Poult. Sci. 2021, 100, 101139. [Google Scholar] [CrossRef]
- Livak, K.J.; Schmittgen, T.D. Analysis of relative gene expression data using real-time quantitative PCR and the 2−ΔΔCT method. Methods 2001, 25, 402–408. [Google Scholar] [CrossRef] [PubMed]
- Liu, L.; He, J.; Xie, H.; Yang, Y.; Li, J.; Zou, Y. Resveratrol induces antioxidant and heat shock protein mRNA expression in response to heat stress in black-boned chickens. Poult. Sci. 2014, 93, 54–62. [Google Scholar] [CrossRef] [PubMed]
- Lara, L.J.; Rostagno, M.H. Impact of heat stress on poultry production. Animals 2013, 3, 356–369. [Google Scholar] [CrossRef]
- Slawinska, A.; Zampiga, M.; Sirri, F.; Meluzzi, A.; Bertocchi, M.; Tavaniello, S.; Maiorano, G. Impact of galactooligosaccharides delivered in ovo on mitigating negative effects of heat stress on performance and welfare of broilers. Poult. Sci. 2020, 99, 407–415. [Google Scholar] [CrossRef]
- Cheng, Y.; Chen, Y.; Chen, R.; Su, Y.; Zhang, R.; He, Q.; Wang, K.; Wen, C.; Zhou, Y. Dietary mannan oligosaccharide ameliorates cyclic heat stress-induced damages on intestinal oxidative status and barrier integrity of broilers. Poult. Sci. 2019, 98, 4767–4776. [Google Scholar] [CrossRef]
- Wu, Q.; Liu, N.; Wu, X.; Wang, G.; Lin, L. Glutamine alleviates heat stress-induced impairment of intestinal morphology, intestinal inflammatory response, and barrier integrity in broilers. Poult. Sci. 2018, 97, 2675–2683. [Google Scholar] [CrossRef]
- Deng, C.; Zheng, J.; Zhou, H.; You, J.; Li, G. Dietary glycine supplementation prevents heat stress-induced impairment of antioxidant status and intestinal barrier function in broilers. Poult. Sci. 2023, 102, 102408. [Google Scholar] [CrossRef]
- Elnesr, S.S.; Elwan, H.A.; El Sabry, M.I.; Shehata, A.M.; Alagawany, M. Impact of chitosan on productive and physiological performance and gut health of poultry. World’s Poult. Sci. J. 2022, 78, 483–498. [Google Scholar] [CrossRef]
- Li, J.; Cheng, Y.; Chen, Y.; Qu, H.; Zhao, Y.; Wen, C.; Zhou, Y. Dietary chitooligosaccharide inclusion as an alternative to antibiotics improves intestinal morphology, barrier function, antioxidant capacity, and immunity of broilers at early age. Animals 2019, 9, 493. [Google Scholar] [CrossRef]
- Li, X.; Piao, X.; Kim, S.; Liu, P.; Wang, L.; Shen, Y.; Jung, S.; Lee, H. Effects of chito-oligosaccharide supplementation on performance, nutrient digestibility, and serum composition in broiler chickens. Poult. Sci. 2007, 86, 1107–1114. [Google Scholar] [CrossRef] [PubMed]
- Lochi, G.M.; Shah, M.G.; Gandahi, J.A.; Gadahi, J.A.; Hadi, S.A.; Farooq, T.; Vistro, W.A.; Rahmani, M.M. Effect of selenium nanoparticles and chitosan on production performance and antioxidant integrity of heat-stressed broiler. Biol. Trace. Elem. Res. 2023, 201, 1977–1986. [Google Scholar] [CrossRef] [PubMed]
- Zhang, Y.; Mahmood, T.; Wu, Y.; Tang, Z.; Wang, Y.; Wu, W.; Zhou, H.; Guo, Y.; Yuan, J. Oxidized corn oil changes the liver lipid metabolism of broilers by upregulating peroxisome proliferators activate receptor-α. Poult. Sci. 2022, 102, 102437. [Google Scholar] [CrossRef]
- Chen, Y.; Cheng, Y.; Wen, C.; Zhou, Y. Protective effects of dietary mannan oligosaccharide on heat stress–induced hepatic damage in broilers. Environ. Sci. Pollut. Res. 2020, 27, 29000–29008. [Google Scholar] [CrossRef]
- Ahmed, O.; Robinson, M.W.; O’Farrelly, C. Inflammatory processes in the liver: Divergent roles in homeostasis and pathology. Cell. Mol. Immunol. 2021, 18, 1375–1386. [Google Scholar] [CrossRef]
- Gasparino, E.; Del Vesco, A.; Khatlab, A.; Zancanela, V.; Grieser, D.; Silva, S. Effects of methionine hydroxy analogue supplementation on the expression of antioxidant-related genes of acute heat stress-exposed broilers. Animal 2018, 12, 931–939. [Google Scholar] [CrossRef] [PubMed]
- Shan, Q.; Ma, F.; Jin, Y.; Gao, D.; Li, H.; Sun, P. Chromium yeast alleviates heat stress by improving antioxidant and immune function in Holstein mid-lactation dairy cows. Anim. Feed. Sci. Technol. 2020, 269, 114635. [Google Scholar] [CrossRef]
- Sun, T.; Zhou, D.; Xie, J.; Mao, F. Preparation of chitosan oligomers and their antioxidant activity. Eur. Food. Res. Technol. 2007, 225, 451–456. [Google Scholar] [CrossRef]
- Lan, R.; Li, Y.; Chang, Q.; Zhao, Z. Dietary chitosan oligosaccharides alleviate heat stress–induced intestinal oxidative stress and inflammatory response in yellow-feather broilers. Poult. Sci. 2020, 99, 6745–6752. [Google Scholar] [CrossRef]
- Wang, Y.; Xiong, Y.; Zhang, A.; Zhao, N.; Zhang, J.; Zhao, D.; Yu, Z.; Xu, N.; Yin, Y.; Luan, X. Oligosaccharide attenuates aging-related liver dysfunction by activating Nrf2 antioxidant signaling. Food. Sci. Nutr. 2020, 8, 3872–3881. [Google Scholar] [CrossRef] [PubMed]
- Zhang, X.; Liang, S.; Gao, X.; Huang, H.; Lao, F.; Dai, X. Protective effect of chitosan oligosaccharide against hydrogen peroxide-mediated oxidative damage and cell apoptosis via activating Nrf2/ARE signaling pathway. Neurotox. Res. 2021, 39, 1708–1720. [Google Scholar] [CrossRef]
- Chen, S.; Xue, Y.; Shen, Y.; Ju, H.; Zhang, X.; Liu, J.; Wang, Y. Effects of different selenium sources on duodenum and jejunum tight junction network and growth performance of broilers in a model of fluorine-induced chronic oxidative stress. Poult. Sci. 2022, 101, 101664. [Google Scholar] [CrossRef]
- Wei, L.; Li, Y.; Chang, Q.; Guo, G.; Lan, R. Effects of chitosan oligosaccharides on intestinal oxidative stress and inflammation response in heat stressed rats. Exp. Anim. 2021, 70, 45–53. [Google Scholar] [CrossRef] [PubMed]
- Mohyuddin, S.G.; Qamar, A.; Hu, C.; Chen, S.; Wen, J.; Liu, X.; Ma, X.; Yu, Z.; Yong, Y.; Wu, L.Y. Effect of chitosan on blood profile, inflammatory cytokines by activating TLR4/NF-κB signaling pathway in intestine of heat stressed mice. Sci. Rep. 2021, 11, 20608. [Google Scholar] [CrossRef]
- Baumgard, L.H.; Rhoads, R.P., Jr. Effects of heat stress on postabsorptive metabolism and energetics. Annu. Rev. Anim. Biosci. 2013, 1, 311–337. [Google Scholar] [CrossRef] [PubMed]
- Li, Q.; Gooneratne, S.R.; Wang, R.; Zhang, R.; An, L.; Chen, J.; Pan, W. Effect of different molecular weight of chitosans on performance and lipid metabolism in chicken. Anim. Feed. Sci. Technol. 2016, 211, 174–180. [Google Scholar] [CrossRef]
- Wang, R.; Chen, J.; Gooneratne, R.; He, X.; Huang, J.; Zhao, Z. Effects of varied molecular weight of chitosan oligosaccharides on growth performance, carcass trait, meat quality, and fat metabolism in indigenous yellow-feathered chickens. J. Appl. Poult. Res. 2022, 31, 100221. [Google Scholar] [CrossRef]
- Liu, X.; Li, P.; He, C.; Qu, X.; Guo, S. Comparison of overfed Xupu and Landes geese in performance, fatty acid composition, enzymes and gene expression related to lipid metabolism. Asian-Australas. J. Anim. Sci. 2020, 33, 1957. [Google Scholar] [CrossRef]
- Liu, Y.; Liu, X.; Zhou, J.; Ren, Z.; Yang, X.; Cao, Y. Folic acid perfusion administration reduced abdominal fat deposition in starter Arbor Acres broilers. Poult. Sci. 2019, 98, 6816–6825. [Google Scholar] [CrossRef] [PubMed]
- Matsuzaka, T.; Shimano, H.; Yahagi, N.; Kato, T.; Atsumi, A.; Yamamoto, T.; Inoue, N.; Ishikawa, M.; Okada, S.; Ishigaki, N.; et al. Crucial role of a long-chain fatty acid elongase, Elovl6, in obesity-induced insulin resistance. Nat. Med. 2007, 13, 1193–1202. [Google Scholar] [CrossRef] [PubMed]
- Ji, C.; Chan, C.; Kaplowitz, N. Predominant role of sterol response element binding proteins (SREBP) lipogenic pathways in hepatic steatosis in the murine intragastric ethanol feeding model. J. Hepatol. 2006, 45, 717–724. [Google Scholar] [CrossRef] [PubMed]
- Higuchi, N.; Kato, M.; Shundo, Y.; Tajiri, H.; Tanaka, M.; Yamashita, N.; Kohjima, M.; Kotoh, K.; Nakamuta, M.; Takayanagi, R. Liver X receptor in cooperation with SREBP-1c is a major lipid synthesis regulator in nonalcoholic fatty liver disease. Hepatol. Res. 2008, 38, 1122–1129. [Google Scholar] [CrossRef] [PubMed]
- Pan, H.; Yang, Q.; Huang, G.; Ding, C.; Cao, P.; Huang, L.; Xiao, T.; Guo, J.; Su, Z. Hypolipidemic effects of chitosan and its derivatives in hyperlipidemic rats induced by a high-fat diet. Food. Nutr. Res. 2016, 60, 31137. [Google Scholar] [CrossRef]






| Item 1 | CON | HS | HSC600 | SEM 2 | p-Value |
|---|---|---|---|---|---|
| Initial BW (aged 14-day), g | 358.22 | 352.21 | 350.53 | 10.58 | 0.2836 |
| Final BW (aged 42-day), g | 2403.67 a | 1972.33 b | 2327.00 a | 40.41 | 0.0004 |
| ADG, g | 73.05 a | 57.86 b | 70.59 a | 1.50 | 0.0002 |
| ADFI, g | 126.25 a | 111.96 b | 121.67 a | 2.46 | 0.0004 |
| FCR | 1.73 a | 1.94 b | 1.73 a | 0.05 | 0.0083 |
| Abdominal adipose weight, g | 32.60 a | 43.66 b | 34.21 a | 0.87 | 0.0001 |
| Relative abdominal adipose weight 3, % | 1.16 a | 1.56 b | 1.16 a | 0.04 | 0.0001 |
| Liver weight, g | 67.56 | 69.52 | 66.80 | 4.72 | 0.8058 |
| Relative liver weight 3, % | 2.39 | 2.50 | 2.26 | 0.19 | 0.5596 |
| Items 1 | SREBP-1c | ACC | FAS | SCD | ELOVA6 | LPL | MTTP | PPARα | CPT1 |
|---|---|---|---|---|---|---|---|---|---|
| MDA | 0.75 ** | 0.49 * | 0.69 ** | 0.21 | 0.17 | −0.50 * | −0.48 * | −0.58 * | −0.61 ** |
| GSH-Px | −0.52 * | −0.52 * | −0.65 ** | −0.17 | −0.21 | 0.37 | 0.47 | 0.61 ** | 0.64 ** |
| SOD | −0.46 | −0.49 * | −0.51 * | −0.14 | −0.16 | 0.15 | 0.21 | 0.45 | 0.64 ** |
| CAT | −0.14 | 0.12 | −0.17 | −0.23 | −0.12 | 0.11 | 0.13 | −0.06 | 0.37 |
| Nrf2 | −0.45 * | −0.43 | −0.34 | −0.32 | −0.19 | 0.31 | 0.39 | 0.20 | 0.55 * |
| HO-1 | −0.72 ** | −0.25 | −0.39 | −0.04 | 0.03 | 0.06 | 0.29 | 0.60 * | 0.39 |
| GPX1 | −0.67 ** | −0.66 ** | −0.72 ** | −0.18 | −0.02 | 0.38 | 0.42 | 0.43 | 0.81 ** |
| SOD | −0.10 | −0.13 | 0.02 | −0.18 | 0.10 | −0.11 | 0.36 | 0.34 | −0.06 |
| CAT | −0.51 * | −0.21 | −0.66 ** | −0.13 | −0.17 | 0.38 | 0.42 | 0.67 ** | 0.50 * |
| IL-1β | 0.41 | 0.19 | 0.63 ** | −0.19 | 0.64 ** | −0.56 * | −0.71 ** | −0.55 * | −0.52 * |
| IL-6 | 0.67 ** | 0.34 | 0.73 ** | 0.04 | 0.21 | −0.57 * | −0.59 ** | −0.57 * | −0.42 |
| TNF-α | 0.13 | 0.28 | −0.13 | 0.28 | −0.13 | −0.02 | −0.16 | −0.03 | −0.09 |
| IL-10 | −0.65 ** | −0.44 | −0.39 | −0.34 | 0.15 | 0.13 | 0.07 | 0.44 | 0.64 ** |
Disclaimer/Publisher’s Note: The statements, opinions and data contained in all publications are solely those of the individual author(s) and contributor(s) and not of MDPI and/or the editor(s). MDPI and/or the editor(s) disclaim responsibility for any injury to people or property resulting from any ideas, methods, instructions or products referred to in the content. |
© 2023 by the authors. Licensee MDPI, Basel, Switzerland. This article is an open access article distributed under the terms and conditions of the Creative Commons Attribution (CC BY) license (https://creativecommons.org/licenses/by/4.0/).
Share and Cite
Lan, R.; Luo, H.; Wu, F.; Wang, Y.; Zhao, Z. Chitosan Oligosaccharides Alleviate Heat-Stress-Induced Lipid Metabolism Disorders by Suppressing the Oxidative Stress and Inflammatory Response in the Liver of Broilers. Antioxidants 2023, 12, 1497. https://doi.org/10.3390/antiox12081497
Lan R, Luo H, Wu F, Wang Y, Zhao Z. Chitosan Oligosaccharides Alleviate Heat-Stress-Induced Lipid Metabolism Disorders by Suppressing the Oxidative Stress and Inflammatory Response in the Liver of Broilers. Antioxidants. 2023; 12(8):1497. https://doi.org/10.3390/antiox12081497
Chicago/Turabian StyleLan, Ruixia, Huiwen Luo, Fan Wu, Yuchen Wang, and Zhihui Zhao. 2023. "Chitosan Oligosaccharides Alleviate Heat-Stress-Induced Lipid Metabolism Disorders by Suppressing the Oxidative Stress and Inflammatory Response in the Liver of Broilers" Antioxidants 12, no. 8: 1497. https://doi.org/10.3390/antiox12081497
APA StyleLan, R., Luo, H., Wu, F., Wang, Y., & Zhao, Z. (2023). Chitosan Oligosaccharides Alleviate Heat-Stress-Induced Lipid Metabolism Disorders by Suppressing the Oxidative Stress and Inflammatory Response in the Liver of Broilers. Antioxidants, 12(8), 1497. https://doi.org/10.3390/antiox12081497

