An Original Asteraceae Based Infused Drink Prevents Metabolic Syndrome in Fructose-Rat Model
Abstract
1. Introduction
2. Materials and Methods
2.1. Materials
2.2. Methods
2.2.1. Infused Drink Preparation
2.2.2. Chemical Analysis by HPCL and LC-MS
2.2.3. In Vivo Experiment
Experimental Procedure
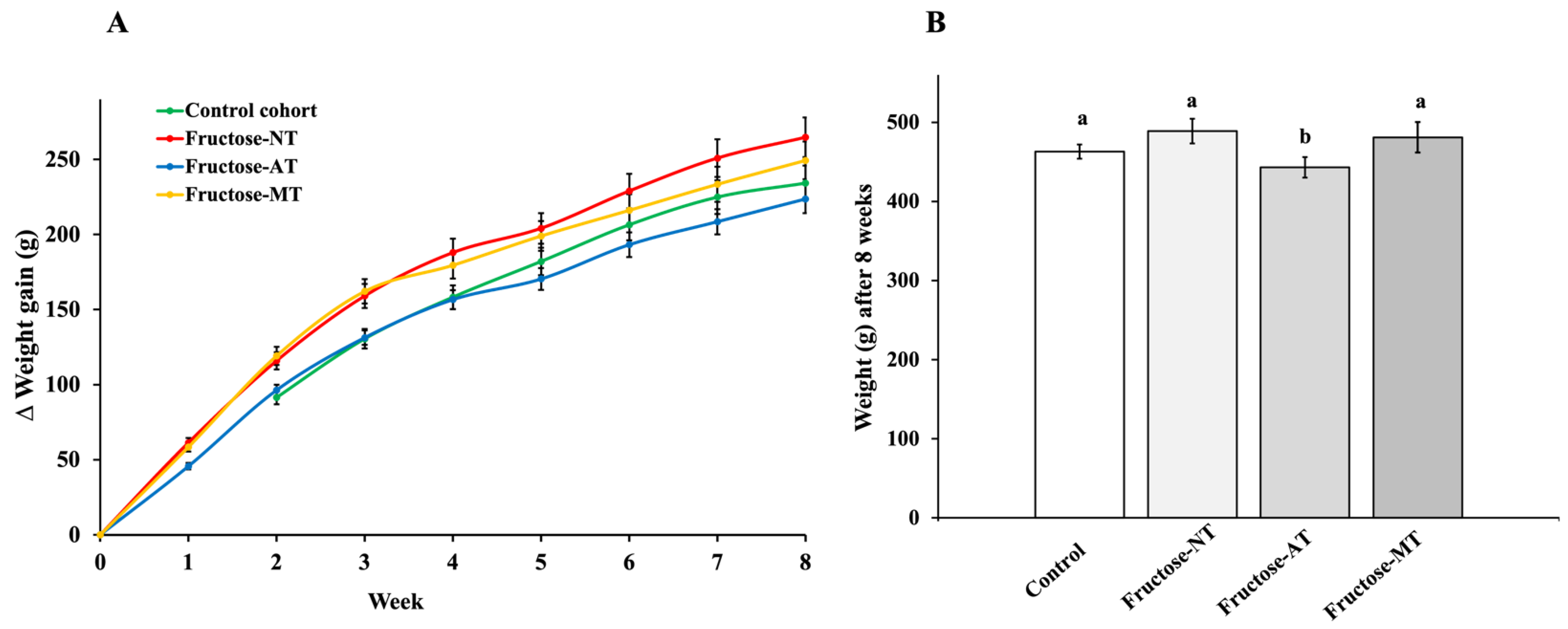
Weight Evolution
Glycemia, Insulinemia and Triglyceride Levels
Oral Glucose Tolerance Test (OGTT)
Insulin Tolerance Test (ITT)
Blood Pressure Measurement
2.2.4. In Vitro Experiment
Microsome Purification
Glucose-6-Phosphatase Activity
Statistical Analysis
3. Results
3.1. Chemical Composition Analysis of the Asteraceae Infused-Drink by LC-MS
| Peak | RT (min) | Abs 326 nm% | UV λmax/λmin (nm) | Tentative identification | Parention | Monoisotopic ratio m/z | Masse deviation | Fragmentation data m/Z (% base peak) | References | |
|---|---|---|---|---|---|---|---|---|---|---|
| Theo m/z | Precision m/z | |||||||||
| P1 | 4.20 | 0.6 | 298sh, 324 | 1-O-caffeoylquinic acid | C16H11O9− | 353,0873 | 353,0871 | 0.6 | 191(100),179(67), 93(64) | [22,26,27] | 
| P2 | 5.25 | 2.8 | 241, 310sh, 327 | 2-O-caffeoyl-L-tartaric acid (caftaric acid) | C13H11O9− | 311,0403 | 311,0402 | 0.3 | 149(100), 179(40), 135(5) | [21,22] | 
| P3 | 8.90 | 4.7 | 298sh, 325 | 3-O-caffeoylquinic acid | C16H17O9− | 353,0873 | 353,0875 | −0.6 | 179(75), 161(10), 135(19), 85(25) | [22,27] | 
| P4 | 19.10 | 17.7 | 252, 304sh, 324 | 5-O-caffeoylquinic acid (chlorogenic acid) | C16H17O9− | 353,0873 | 353,0872 | 0.3 | 191(100), 85(12) | [20,22,27] | 
| P5 | 26.44 | 0.8 | 240, 306sh, 324 | 4-O-caffeoylquinic acid | C16H17O9− | 353,0873 | 353,0875 | −0.6 | 173(100), 191(34), 179(75), 135(26) | [22,27] | 
| P6 | 32.20 | 0.1 | 240, 302sh, 324 | 1,4-di-O-caffeoylquinic acid | C25H23O12− | 515,119 | 515,1189 | 0.2 | 353(100), 299(37), 255(28), 203(61), 179(3), 173(19) | [20,22,27] | 
| P7 | 52.67 | 1.1 | 243, 303sh, 327 | 3,5-di-O-caffeoylquinic acid | C25H23O12− | 515,119 | 515,1189 | 0.2 | 353(100), 191(12), 179(9), 85(10) | [20,22,27] | 
| P8 | 54.20 | 31.9 | 242, 305sh, 328 | (2S, 3S)-di-O-caffeoyltartaric acid (L-chicoric acid) | C22H17O12− | 473,072 | 473,0721 | −0.2 | 311(100), 293(45), 149(25), 179(23), 312(15), 294(6), 219(8), 341(4), 135(4) | [21,22] | 
| P9 | 55.05 | 23.2 | 242, 305sh, 328 | (2R, 3R)-di-O-caffeoyltartaric acid (chicoric acid isomer) | C22H17O12− | 473,072 | 473,0719 | 0.2 | 311(100), 293(46), 149(26), 179(21), 312(14), 294(8), 219(7), 341(5), 135(3) | [21,22] | 
| P10 | 55.45 | 6.4 | 217, 307sh, 327 | 1,5-di-O-caffeoyl-4-O-maloylquinic acid | C29H27O16− | 631,1299 | 631,1298 | 0.2 | 515(100), 469(91), 353(100), 191(95), 179(15), 161(11), 135(8), 111(10) | [20,26] | 
| P11 | 55.81 | 2.1 | 216, 306sh, 328 | 1,5-di-O-caffeoyl-3-O-succinoylquinic acid | C29H27O15− | 615,135 | 615,1348 | 0.3 | 515(15), 453(25), 353(100), 335(5), 191(25), 127(14), 93(12), 85(10) | [21,26,27] | 
| P12 | 56.20 | 1.7 | 214, 310sh, 326 | 1,5-di-O-caffeoylquinic acid | C25H23O12− | 515,119 | 515,1191 | −0.2 | 353(100), 191(10), 173(25), 179(10) | [26,27] | 
3.2. In Vivo Experiment
3.2.1. Animal Weight Evolution
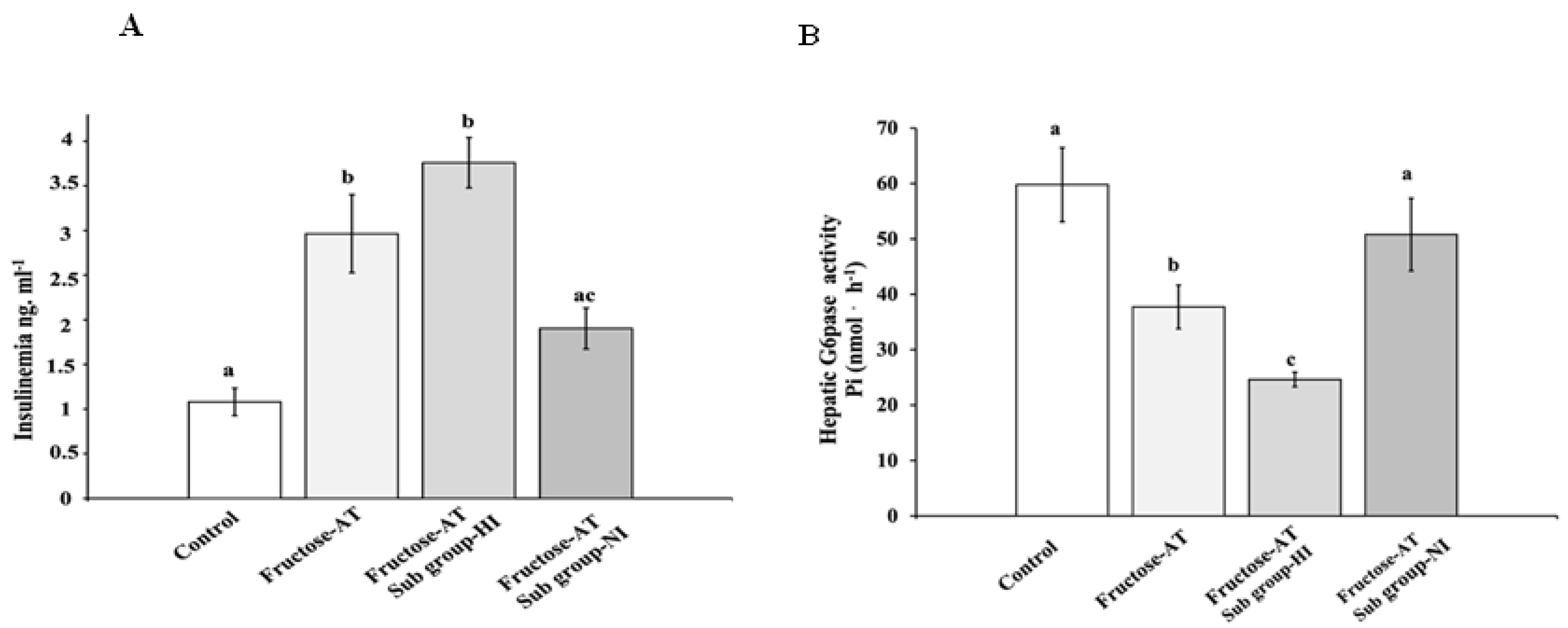
3.2.2. Biological Parameters
3.2.3. Oral Glucose Tolerance Test (OGTT)
3.2.4. Insulin Tolerance Test (ITT)
3.2.5. Specific Rat-by-Rat Analysis of Results Obtained with Asteraceae Infused Drink
4. Discussion
5. Conclusions
Author Contributions
Funding
Institutional Review Board Statement
Informed Consent Statement
Data Availability Statement
Acknowledgments
Conflicts of Interest
References
- Alberti, K.G.M.M.; Eckel, R.H.; Grundy, S.M.; Zimmet, P.Z.; Cleeman, J.I.; Donato, K.A.; Fruchart, J.-C.; James, W.P.T.; Loria, C.M.; Smith, S.C.; et al. Harmonizing the Metabolic Syndrome: A Joint Interim Statement of the International Diabetes Federation Task Force on Epidemiology and Prevention; National Heart, Lung, and Blood Institute; American Heart Association; World Heart Federation; International Atherosclerosis Society; and International Association for the Study of Obesity. Circulation 2009, 120, 1640–1645. [Google Scholar] [CrossRef] [PubMed]
- Aguilar, M.; Bhuket, T.; Torres, S.; Liu, B.; Wong, R.J. Prevalence of the Metabolic Syndrome in the United States, 2003–2012. JAMA 2015, 313, 1973–1974. [Google Scholar] [CrossRef] [PubMed]
- Esser, N.; Legrand-Poels, S.; Piette, J.; Scheen, A.J.; Paquot, N. Inflammation as a Link between Obesity, Metabolic Syndrome and Type 2 Diabetes. Diabetes Res. Clin. Pract. 2014, 105, 141–150. [Google Scholar] [CrossRef] [PubMed]
- Johnson, A.R.; Justin Milner, J.; Makowski, L. The Inflammation Highway: Metabolism Accelerates Inflammatory Traffic in Obesity. Immunol. Rev. 2012, 249, 218–238. [Google Scholar] [CrossRef]
- Khodabandehloo, H.; Gorgani-Firuzjaee, S.; Panahi, G.; Meshkani, R. Molecular and Cellular Mechanisms Linking Inflammation to Insulin Resistance and β-Cell Dysfunction. Transl. Res. 2016, 167, 228–256. [Google Scholar] [CrossRef]
- Giulio Marchesini, G. Lifestyle Modification in the Management of the Metabolic Syndrome: Achievements and Challenges. DMSOTT 2010, 2, 373–385. [Google Scholar] [CrossRef]
- Rask Larsen, J.; Dima, L.; Correll, C.U.; Manu, P. The Pharmacological Management of Metabolic Syndrome. Expert Rev. Clin. Pharmacol. 2018, 11, 397–410. [Google Scholar] [CrossRef]
- Awwad, A.; Poucheret, P.; Idres, A.Y.; Bidel, L.P.R.; Tousch, D. The Bitter Asteraceae: An Interesting Approach to Delay the Metabolic Syndrome Progression. NFS J. 2020, 18, 29–38. [Google Scholar] [CrossRef]
- Olayinka, E.; Ola, O.; Ore, A.; Adeyemo, O. Ameliorative Effect of Caffeic Acid on Capecitabine-Induced Hepatic and Renal Dysfunction: Involvement of the Antioxidant Defence System. Medicines 2017, 4, 78. [Google Scholar] [CrossRef]
- Sato, Y.; Itagaki, S.; Kurokawa, T.; Ogura, J.; Kobayashi, M.; Hirano, T.; Sugawara, M.; Iseki, K. In Vitro and in Vivo Antioxidant Properties of Chlorogenic Acid and Caffeic Acid. Int. J. Pharm. 2011, 403, 136–138. [Google Scholar] [CrossRef]
- Hwang, S.J.; Kim, Y.-W.; Park, Y.; Lee, H.-J.; Kim, K.-W. Anti-Inflammatory Effects of Chlorogenic Acid in Lipopolysaccharide-Stimulated RAW 264.7 Cells. Inflamm. Res. 2014, 63, 81–90. [Google Scholar] [CrossRef]
- Liu, Q.; Chen, Y.; Shen, C.; Xiao, Y.; Wang, Y.; Liu, Z.; Liu, X. Chicoric Acid Supplementation Prevents Systemic Inflammation-induced Memory Impairment and Amyloidogenesis via Inhibition of NF-κB. FASEB J. 2017, 31, 1494–1507. [Google Scholar] [CrossRef]
- Ong, K.W.; Hsu, A.; Tan, B.K.H. Anti-Diabetic and Anti-Lipidemic Effects of Chlorogenic Acid Are Mediated by Ampk Activation. Biochem. Pharmacol. 2013, 85, 1341–1351. [Google Scholar] [CrossRef]
- Schlernitzauer, A.; Oiry, C.; Hamad, R.; Galas, S.; Cortade, F.; Chabi, B.; Casas, F.; Pessemesse, L.; Fouret, G.; Feillet-Coudray, C.; et al. Chicoric Acid Is an Antioxidant Molecule That Stimulates AMP Kinase Pathway in L6 Myotubes and Extends Lifespan in Caenorhabditis Elegans. PLoS ONE 2013, 8, e78788. [Google Scholar] [CrossRef]
- Tousch, D.; Lajoix, A.-D.; Hosy, E.; Azay-Milhau, J.; Ferrare, K.; Jahannault, C.; Cros, G.; Petit, P. Chicoric Acid, a New Compound Able to Enhance Insulin Release and Glucose Uptake. Biochem. Biophys. Res. Commun. 2008, 377, 131–135. [Google Scholar] [CrossRef]
- Azay-Milhau, J.; Ferrare, K.; Leroy, J.; Aubaterre, J.; Tournier, M.; Lajoix, A.-D.; Tousch, D. Antihyperglycemic Effect of a Natural Chicoric Acid Extract of Chicory (Cichorium Intybus L.): A Comparative in Vitro Study with the Effects of Caffeic and Ferulic Acids. J. Ethnopharmacol. 2013, 150, 755–760. [Google Scholar] [CrossRef]
- Ferrare, K.; Bidel, L.P.R.; Awwad, A.; Poucheret, P.; Cazals, G.; Lazennec, F.; Azay-Milhau, J.; Tournier, M.; Lajoix, A.-D.; Tousch, D. Increase in Insulin Sensitivity by the Association of Chicoric Acid and Chlorogenic Acid Contained in a Natural Chicoric Acid Extract (NCRAE) of Chicory (Cichorium Intybus L.) for an Antidiabetic Effect. J. Ethnopharmacol. 2018, 215, 241–248. [Google Scholar] [CrossRef]
- Dhuique-Mayer, C.; Gence, L.; Portet, K.; Tousch, D.; Poucheret, P. Preventive Action of Retinoids in Metabolic Syndrome/Type 2 Diabetic Rats Fed with Citrus Functional Food Enriched in β-Cryptoxanthin. Food Funct. 2020, 11, 9263–9271. [Google Scholar] [CrossRef]
- Daniele, n.; Rajas, F.; Payrastre, B.; Mauco, G.; Zitoun, C.; Mithieux, G. Phosphatidylinositol 3-Kinase Translocates onto Liver Endoplasmic Reticulum and May Account for the Inhibition of Glucose-6-Phosphatase during Refeeding. J. Biol. Chem. 1999, 274, 3597–3601. [Google Scholar] [CrossRef]
- Jaiswal, R.; Kuhnert, N. How to Identify and Discriminate between the Methyl Quinates of Chlorogenic Acids by Liquid Chromatography-Tandem Mass Spectrometry. J. Mass Spectrom 2011, 46, 269–281. [Google Scholar] [CrossRef]
- Schütz, K.; Kammerer, D.R.; Carle, R.; Schieber, A. Characterization of Phenolic Acids and Flavonoids in Dandelion (Taraxacum Officinale WEB. Ex WIGG.) Root and Herb by High-Performance Liquid Chromatography/Electrospray Ionization Mass Spectrometry: Phenolic Acids and Flavonoids in Dandelion Root and Herb. Rapid Commun. Mass Spectrom. 2005, 19, 179–186. [Google Scholar] [CrossRef]
- Dias, M.I.; Barros, L.; Alves, R.C.; Oliveira, M.B.P.P.; Santos-Buelga, C.; Ferreira, I.C.F.R. Nutritional Composition, Antioxidant Activity and Phenolic Compounds of Wild Taraxacum Sect. Ruderalia. Food Res. Int. 2014, 56, 266–271. [Google Scholar] [CrossRef]
- Lim, T.K. Edible Medicinal and Non Medicinal Plants; Springer Netherlands: Dordrecht, The Netherlands, 2015; ISBN 978-94-017-9510-4. [Google Scholar]
- Wang, D.; Bădărau, A.S.; Swamy, M.K.; Shaw, S.; Maggi, F.; da Silva, L.E.; López, V.; Yeung, A.W.K.; Mocan, A.; Atanasov, A.G. Arctium Species Secondary Metabolites Chemodiversity and Bioactivities. Front Plant Sci. 2019, 10, 834. [Google Scholar] [CrossRef] [PubMed]
- Esatbeyoglu, T.; Obermair, B.; Dorn, T.; Siems, K.; Rimbach, G.; Birringer, M. Sesquiterpene Lactone Composition and Cellular Nrf2 Induction of Taraxacum Officinale Leaves and Roots and Taraxinic Acid β-d -Glucopyranosyl Ester. J. Med. Food 2017, 20, 71–78. [Google Scholar] [CrossRef] [PubMed]
- Maruta, Y.; Kawabata, J.; Niki, R. Antioxidative Caffeoylquinic Acid Derivatives in the Roots of Burdock (Arctium Lappa L.). J. Agric. Food Chem. 1995, 43, 2592–2595. [Google Scholar] [CrossRef]
- Lin, L.-Z.; Harnly, J.M. Identification of Hydroxycinnamoylquinic Acids of Arnica Flowers and Burdock Roots Using a Standardized LC-DAD-ESI/MS Profiling Method. J. Agric. Food Chem. 2008, 56, 10105–10114. [Google Scholar] [CrossRef]
- Dupas, J.; Goanvec, C.; Feray, A.; Guernec, A.; Alain, C.; Guerrero, F.; Mansourati, J. Progressive Induction of Type 2 Diabetes: Effects of a Reality–Like Fructose Enriched Diet in Young Wistar Rats. PLoS ONE 2016, 11, e0146821. [Google Scholar] [CrossRef]
- Mamikutty, n.; Thent, Z.C.; Sapri, S.R.; Sahruddin, n.n.; Mohd Yusof, M.R.; Haji Suhaimi, F. The Establishment of Metabolic Syndrome Model by Induction of Fructose Drinking Water in Male Wistar Rats. BioMed Res. Int. 2014, 2014, 1–8. [Google Scholar] [CrossRef]
- Kannappan, S.; Anuradha, C.V. Insulin Sensitizing Actions of Fenugreek Seed Polyphenols, Quercetin & Metformin in a Rat Model. Indian J. Med. Res. 2009, 129, 401–408. [Google Scholar]
- Anurag, P.; Anuradha, C.V. Metformin Improves Lipid Metabolism and Attenuates Lipid Peroxidation in High Fructose-Fed Rats. Diabet. Obes. Metab. 2002, 4, 36–42. [Google Scholar] [CrossRef]
- Gonzales-Castejon, M.; Garcia-Carrasco, B.; Fernandez-Dacosta, R.; Davalos, A.; Rodriguez-Casado, A. Reduction of adipogenesis and lipid accumulation by Taraxacum officinale (Dandelion) extracts in 3T3L1 adipocytes: An in vitro study. Phytother. Res. 2014, 28, 745–752. [Google Scholar] [CrossRef]
- Clare, B.A.; Conroy, R.S.; Spelman, K. The Diuretic Effect in Human Subjects of an Extract of Taraxacum Officinale Folium over a Single Day. J. Altern Compl. Med. 2009, 15, 929–934. [Google Scholar] [CrossRef]
- Lim, T.K. Taraxacum officinale. In Edible Medicinal And Non-Medicinal Plants; Springer Netherlands: Dordrecht, The Netherlands, 2014; pp. 516–536. ISBN 978-94-007-7394-3. [Google Scholar]
- Hook, I.; McGee, A.; Henman, M. Evaluation of Dandelion for Diuretic Activity and Variation in Potassium Content. Int. J. Pharmacogn. 1993, 31, 29–34. [Google Scholar] [CrossRef]
- Sanchez, M.B.; Miranda-Perez, E.; Verjan, J.C.G.; de los Angeles Fortis Barrera, M.; Perez-Ramos, J.; Alarcon-Aguilar, F.J. Potential of the Chlorogenic Acid as Multitarget Agent: Insulin-Secretagogue and PPAR α/γ Dual Agonist. Biomed. Pharmacother. 2017, 94, 169–175. [Google Scholar] [CrossRef]
- Cho, A.-S.; Jeon, S.-M.; Kim, M.-J.; Yeo, J.; Seo, K.-I.; Choi, M.-S.; Lee, M.-K. Chlorogenic Acid Exhibits Anti-Obesity Property and Improves Lipid Metabolism in High-Fat Diet-Induced-Obese Mice. Food Chem. Tox 2010, 48, 937–943. [Google Scholar] [CrossRef]
- Arion, W.J.; Canfield, W.K.; Ramos, F.C.; Schindler, P.W.; Burger, H.-J.; Hemmerle, H.; Schubert, G.; Below, P.; Herling, A.W. Chlorogenic Acid and Hydroxynitrobenzaldehyde: New Inhibitors of Hepatic Glucose 6-Phosphatase. Arch. Biochem. Biophys. 1997, 339, 315–322. [Google Scholar] [CrossRef]
- Hemmerle, H.; Burger, H.-J.; Below, P.; Schubert, G.; Rippel, R.; Schindler, P.W.; Paulus, E.; Herling, A.W. Chlorogenic Acid and Synthetic Chlorogenic Acid Derivatives: Novel Inhibitors of Hepatic Glucose-6-Phosphate Translocase. J. Med. Chem. 1997, 40, 137–145. [Google Scholar] [CrossRef]
- Lafay, S.; Gil-Izquierdo, A.; Manach, C.; Morand, C.; Besson, C.; Scalbert, A. Chlorogenic Acid Is Absorbed in Its Intact Form in the Stomach of Rats. J. Nutr. 2006, 136, 1192–1197. [Google Scholar] [CrossRef]
- Lu, H.; Tian, Z.; Cui, Y.; Liu, Z.; Ma, X. Chlorogenic Acid: A Comprehensive Review of the Dietary Sources, Processing Effects, Bioavailability, Beneficial Properties, Mechanisms of Action, and Future Directions. Comp. Rev. Food Sci. Food Safety 2020, 19, 3130–3158. [Google Scholar] [CrossRef]
- Stalmach, A.; Steiling, H.; Williamson, G.; Crozier, A. Bioavailability of Chlorogenic Acids Following Acute Ingestion of Coffee by Humans with an Ileostomy. Arch. Biochem. Biophys. 2010, 501, 98–105. [Google Scholar] [CrossRef]
- Xiao, H.; Xie, G.; Wang, J.; Hou, X.; Wang, X.; Wu, W.; Liu, X. Chicoric Acid Prevents Obesity by Attenuating Hepatic Steatosis, Inflammation and Oxidative Stress in High-Fat Diet-Fed Mice. Food Res. Int. 2013, 54, 345–353. [Google Scholar] [CrossRef]






| Disclaimer/Publisher’s Note: The statements, opinions and data contained in all publications are solely those of the individual author(s) and contributor(s) and not of MDPI and/or the editor(s). MDPI and/or the editor(s) disclaim responsibility for any injury to people or property resulting from any ideas, methods, instructions or products referred to in the content. | 
© 2023 by the authors. Licensee MDPI, Basel, Switzerland. This article is an open access article distributed under the terms and conditions of the Creative Commons Attribution (CC BY) license (https://creativecommons.org/licenses/by/4.0/).
Share and Cite
Idres, A.Y.; Tousch, D.; Dhuyque-Mayer, C.; Hammad, I.; Lambert, K.; Cazals, G.; Portet, K.; Ferrare, K.; Bidel, L.P.R.; Poucheret, P. An Original Asteraceae Based Infused Drink Prevents Metabolic Syndrome in Fructose-Rat Model. Antioxidants 2023, 12, 340. https://doi.org/10.3390/antiox12020340
Idres AY, Tousch D, Dhuyque-Mayer C, Hammad I, Lambert K, Cazals G, Portet K, Ferrare K, Bidel LPR, Poucheret P. An Original Asteraceae Based Infused Drink Prevents Metabolic Syndrome in Fructose-Rat Model. Antioxidants. 2023; 12(2):340. https://doi.org/10.3390/antiox12020340
Chicago/Turabian StyleIdres, Arezki Yanis, Didier Tousch, Claudie Dhuyque-Mayer, Imane Hammad, Karen Lambert, Guillaume Cazals, Karine Portet, Karine Ferrare, Luc. P. R. Bidel, and Patrick Poucheret. 2023. "An Original Asteraceae Based Infused Drink Prevents Metabolic Syndrome in Fructose-Rat Model" Antioxidants 12, no. 2: 340. https://doi.org/10.3390/antiox12020340
APA StyleIdres, A. Y., Tousch, D., Dhuyque-Mayer, C., Hammad, I., Lambert, K., Cazals, G., Portet, K., Ferrare, K., Bidel, L. P. R., & Poucheret, P. (2023). An Original Asteraceae Based Infused Drink Prevents Metabolic Syndrome in Fructose-Rat Model. Antioxidants, 12(2), 340. https://doi.org/10.3390/antiox12020340
 
        


 
       