New Megastigmane and Polyphenolic Components of Henna Leaves and Their Tumor-Specific Cytotoxicity on Human Oral Squamous Carcinoma Cell Lines
Abstract
:1. Introduction
2. Materials and Methods
2.1. General Experimental Procedures
2.2. Plant Material
2.3. Extraction and Isolation
2.4. Spectroscopic Data of Isolated Compounds
- Lawsoiononoside (1): Colorless gummy solid, [α]27D: −125.6 (c 1.0, MeOH); UV λmax (MeOH) nm (log ε): 221 (4.2), 240 (4.0), 277 (3.6); ECD (MeOH) [θ] (nm): +2.0 × 103 (222), −2.1 × 103 (332), +0.3 × 103 (376); NMR data; HRESIMS m/z 563.2072 [M + Na]+ (calcd for C26H36O12Na, 563.2099) and m/z 539.2128 [M − H]− (calcd for C26H35O12, 539.2134).
- Benzoic acid (2): Colorless crystalline solid, 1H NMR (600 MHz, DMSO-d6) δH 12.9 (br.s, 1H, COOH), 7.95 (dd, J = 1.8, 7.2 Hz, 2H, H-2/H-6), 7.62 (tt, J = 1.8, 7.2 Hz, 1H, H-4), and 7.50 (dd, J = 7.2, 7.2 Hz, 2H, H-3/H-5); 13C NMR (151 MHz, DMSO-d6) δC 167.23 (C-7), 132.89 (C-4), 130.7 (C-1), 129.2 (C-2/C-6), 128.5 (C-3/C-5) [15].
- Benzyl 6′-O-galloyl-β-D-glucopyranoside (4): White amorphous powder, 1H NMR (600 MHz, Me2CO-d6: D2O; 9:1): δH 7.33 (2H, dd, J = 1.2, 7.8 Hz, H-2/H-6), 7.26 (2H, dt, J = 1.2, 7.8 Hz, H-3/H-5), 7.20 (1H, dt, J = 1.2, 7.8 Hz, H-4), 7.13 (2H, s, gal H-2″/H-6″), 4.79, 4.59 (each 1H, d, J = 12 Hz, H-7), 4.55 [1H, dd, J = 1.8, 12 Hz, glc H-6′], 4.39 (1H, d, J = 8.4 Hz, glc H-1′), 4.34 (1H, dd, J = 6.6, 12.6 Hz, glc H-6′), 3.29 (1H, dd, J = 8, 9 Hz, glc H-2′), 3.44 (1H, t, J = 9 Hz, glc H-3′), 3.44 (1H, t, J = 9 Hz, glc H-4′), 3.57 (1H, ddd, J = 1.8, 6, 9 Hz, glc H-5′); 13C NMR (151 MHz, Me2CO-d6: D2O; 9:1) δC: 167.2 (gal C-7″), 146.0 (2C, gal C-3″/C-5″), 138.6 (gal C-4″), 137.7 (C-1), 128.9 (2C, C-3/C-5), 128.8 (2C, C-2/C-6), 128.2 (C-4), 121.0 (gal C-1″), 109.7 (2C, gal C-2″/C-6″), 102.7 (glc C-1″), 77.5 (glc C-3′), 74.8 (glc C-5′), 74.5 (glc C-2′), 71.2 (glc C-4′), 70.9 (C-7′), 64.5 (glc C-6′); ESIMS m/z 421 [M − H]− [16].
- Ellagic acid (4): Pale-yellow amorphous powder, 1H NMR (600 MHz, DMSO-d6) δH 10.69 (br. s, OH), 7.50 (s, 2H, H-2/H-2′); 13C NMR (151MHz, DMSO-d6) δC: 159.5 (2C, C-7, C-7′), 148.5 (2C, C-4/C-4′), 140.00 (2C, C-2/C-2′), 136.8 (2C, C-3/C-3′), 112.7 (2C, C-6/C-6′), 110.6 (2C, C-5/C-5′), 108.0 (2C, C-1/C-1′); ESIMS m/z 301 [M − H]− [17].
- Heterophylliin A (5): Off-white amorphous powder; 1H NMR (600 MHz, (CH3)2CO-d6: D2O; 9:1) δH 7.23, 7.03 (each 2H, s, gal H-2/H-6), 6.61, 6.48 (each 1H, s, HHDP H-3, H-3′), 6.39 (1H, d, J = 4.2 Hz, glc H-1), 5.64 (1H, t, J = 10.2 Hz, glc H-3), 5.22 (1H, dd, J = 13.2, 6.6 Hz, glc H-6), 5.05 (1H, t, J = 10.2 Hz, glc H-4), 4.55 (1H, br. dd, J = 6.6, 10.2 Hz, glc H-5), 4.20 (1H, dd, J = 4.2, 10.2 Hz, glc H-2), Hz, 3.75 (1H, br. d, J = 13.2 Hz, glc H-6) [18].
- Gemin D (6): Off-white amorphous powder, 1H NMR (600 MHz, (CH3)2CO-d6: D2O; 9:1) (α- and β-anomers) δH: 7.01, 7.00 (each s, 2H in total, gal H-2/H-6), 6.59, 6.58 (each s, 1H in total, HHDP H-3), 6.44, 6.43 (each s, 1H in total, HHDP H-3ʹ), 5.46, 5.28 (1H in total, each t, J = 10.2 Hz, glc H-3α, β), 5.24 (1/2H, d, J = 4.2 Hz, glc H-1α), 5.21, 5.18 (1H in total, each dd, J = 6.6, 10.2 Hz, H-6α, β), 4.95, 4.92 (1H in total, each t, J = 10.2 Hz, H-4α, β), 4.72 (1/2H, d, J = 7.2 Hz, H-1β), 4.52, 4.06 (1H in total, each ddd, J = 1.2, 6.6, 10.2 Hz, H-5α, β), 3.81 (1/2H, dd, J = 4.2, 10.2 Hz, H-2α), 3.78, 3.71 (1H in total, each dd, J = 1.2, 13.2 Hz, H-6α, β), 3.57 (1/2H, dd, J = 7.2, 10.2 Hz, H-2β) [19].
- Lythracin D (7): Off-white amorphous powder, 1H NMR (600 MHz, (CH3)2CO-d6: D2O; 9:1) δH: 7.08, 6.57, 6.60 (each 1H, s, valoneoyl-H), 6.73, (1H, s, flavogallonyl-H), 6.91, 6.61, 6.54 (each 1H, s, HHDP-H); 4.90 (1H, d, J = 1.8 Hz, glc-1 H-1), 4.81 (1H, t, J = 1.8 Hz, glc-1 H-2), 5.08 (1H, t, J = 1.8 Hz, glc-1 H-3), 5.62 (1H, dd, J = 1.8, 8.4 Hz, glc-1 H-4), 5.38 (1H, ddd, J = 1.2, 4.8, 9.6 Hz, glc-1 H-5), 4.92 (1H, dd, J = 2.4, 12.6 Hz, glc H-6), 3.73 (1H, d, J = 12.6 Hz, glc-1 H-6), 4.75 (1H, d, J = 1.8 Hz, glc-2 H-1), 5.01 (1H, t, J = 1.8 Hz, glc H-2), 4.50 (1H, dd, J = 1.2, 6.6 Hz, glc-2 H-3), 5.12 (1H, t, J = 7.2 Hz, glc-2 H-4), 5.55 (1H, dt, J = 1.8, 7.2 Hz, glc-2 H-5), 4.93 (1H, dd, J = 2.4, 12.6 Hz, glc-2 H-6), 3.89 (1H, d, J = 12.6 Hz, glc-2 H-6) [13].
- Pedunculagin (8): Off-white amorphous powder, 1H NMR [600 MHz, (CH3)2CO-d6: D2O; 9:1] (α and β-anomer mixture) δH: 6.64, 6.63, 6,60, 6.59, 6.54, 6.50, 6.323, 6.321 (each, s, 4H in total, HHDP-H), 5.43 (1/H, t, J = 9.6 Hz, glc H-3α), 5.41 (1/2H, d, J = 3.6 Hz, glc H-1α), 5.24, 5.20 (1H in total, each dd, J = 6.6, 12.6 Hz, glc H-6 α, β), 5.19 (1/2H, t, J = 9.6 Hz, glc H-3β), 5.033, 5.027 (1H in total, each t, J = 9.6Hz, glc H-4 α, β), 5.01 (1/2H, d, J = 7.8 Hz, glc H-1β), 4.82 (1/2H, dd, J = 7.8, 9.6 Hz, glc H-2β), 4.57, 4.18 (1H in total, each ddd, J = 1.8, 6.6, 9.6 Hz, glc H-5α, β), 3.83, 3.76 (each 1H, dd, J = 1.2, 12.6 Hz, glc H-6α, β] [13].
- Flosin B (9): Off-white amorphous powder, 1H NMR [600 MHz, (CH3)2CO-d6: D2O; 9:1] δH: 7.57, 7.16, 7.12 (each 1H, s, valoneoyl dilactone-H), 6.84, 6.45, 6.35 (each 1H, s, HHDP-H), 5.51 (1H, dd, J = 2.4, 8.4 Hz, glc H-4), 5.18 (1H, br.dd, J = 4.8, 9.6 Hz, glc H-5), 4.98 (1H, t, J = 2.4 Hz, glc H-3), 4.97 (1H, d, J = 2.4 Hz, glc H-1), 4.78 (1H, t, J = 1.8 Hz, glc H-2), 4.70 (1H, dd, J = 3.6, 13.2 Hz, glc H-6), 3.71 (1H, d, J = 12.6 Hz, glc H-6) [13].
- Lagerstroemin (10): Off-white amorphous powder, 1H NMR [600 MHz, (CH3)2CO-d6: D2O; 9:1] δH: 7.57, 7.16, 7.13 (each 1H, s, valoneoyl dilactone-H), 6.76, 6.53, 6.36 (each 1H, s, HHDP-H), 5.57 (1H, d, J = 4.8 Hz, glc H-1), 5.38 (1H, t, J = 1.8 Hz, glc H-3), 5.36 (1H, dd, J = 2.4, 9 Hz, glc H-5), 5.19 (1H, dd, J = 3.6, 9 Hz, glc H-4), 4.64 (1H, dd, J = 3, 12.6, glc H-6), 4.61 (1H, dd, J = 1.8, 4.8, glc H-2), 3.72 (1H, d, J = 12.6, glc H-6) [13].
2.5. Cytotoxicity
2.5.1. Cell Culture
2.5.2. Cytotoxicity Assay
2.5.3. Statistical Analysis
3. Results and Discussions
3.1. Structure Determination of the Isolated Compounds
3.1.1. Structure of the New Megastigmane (1)
3.1.2. Structure of Known Compounds (2–10)
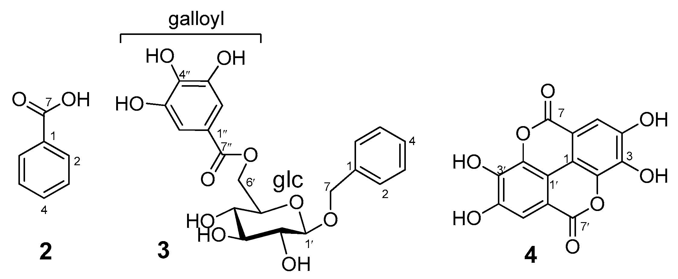
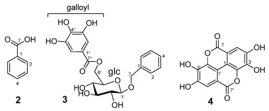
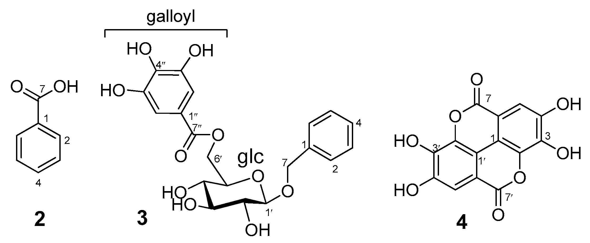
Structure of Compounds 2–4
- Benzoic acid (3), together with the tannin-related metabolite benzyl 6′-O-galloyl-β-D-glucopyranoside (2), and ellagic acid (4) are isolated for first time from henna, and their structures (Figure 4) were determined from the NMR and ESIMS data referenced to the literature values as follows:
- Compound 2 was isolated as a colorless crystalline solid. Its structure was identified from the 1H NMR pattern of a monosubstituted benzene [δH 7.95 (2H, dd, J = 1.8, 7.2 Hz, H-2/H-6), 7.62 (1H, tt, J = 1.8, 7.2 Hz, H-4), and 7.50 (2H, dd, J = 7.2, 7.2 Hz, H-3/H-5)] (Figure S18) and the 13C NMR data δC 132.89 (C-4), 130.7 (C-1), 129.2 (C-2/C-6), and 128.5 (C-3/C-5) (Figure S20), which are consistent with a monosubstituted benzene as well. The presence of a carboxyl group was recognized by a broad proton signal in the low-field region (δH 12.9) and a carbonyl carbon peak at δC 167.23 (C-7). The ESIMS molecular ion peak at m/z 121 [M–1]– confirmed the identification of 2 as a benzoic acid [15].
- Compound 3 was isolated as a white amorphous powder. Its 1H NMR spectrum (Figure S22) exhibited proton signals of a 1C4 β-D-glucopyranose core {δH 4.55 [1H, dd, J = 1.8, 12 Hz, glc H-6], 4.39 (1H, d, J = 8.4 Hz, glc H-1), 4.34 (1H, dd, J = 6.6, 12.6 Hz, glc H-6), 3.29 (1H, dd, J = 8, 9 Hz, glc H-2), 3.44 (1H, t, J = 9 Hz, glc H-3), 3.44 (1H, t, J = 9 Hz, glc H-4), and 3.57 (1H, ddd, J = 1.8, 6, 9 Hz, glc H-5)} [12,13,22]. The spectrum also exhibited a 2H singlet at δH 7.13 (2H, s, galloyl H-2/H-6), which exhibited a HSQC correlation with the 2C peak at δC 109.7 (2C, galloyl C-2/C-6). These are characteristic of a galloyl moiety [12,13,22]. The spectrum also exhibited a proton signal of a benzyl moiety at δH 7.33 (2H, dd, J = 1.2, 7.8 Hz, H-2/H-6), 7.26 (2H, dt, J = 1.2, 7.8 Hz, H-3/H-5), 7.20 (1H, dt, J = 1.2, 7.8 Hz, H-4), and 4.79, 4.59 (each 1H, d, J = 12 Hz, H-7). The 13C NMR spectrum (Figure S24) exhibited carbon peaks corresponding to the structural components of 2 (viz, benzyl, galloyl, and glucose). The HMBC correlations between the galloyl 2H singlet (δH 7.13) and the glucose H2-6 (δH 4.55 and 4.34) with the galloyl carbonyl carbon (δC 167.2) evidenced the placement of the galloyl moiety at C-6 of the glucose core. The HMBC correlations of the benzyl H2-7 at δH 4.79 and 4.59 (each 1H, d, J = 12 Hz) with the glucose anomeric carbon (δC 102.7), as well as the HMBC correlation of the glucose anomeric proton (δH 4.39) with the benzylic carbon C-7 (δC 70.9), indicated the placement of the benzyl moiety at the anomeric center of the glucose, as shown by the structural formula of 2 (Figure 4). The ESIMS negative ion peak at m/z 421 [M − H]− confirmed the identification of 2 as benzyl 6′-O-galloyl-β-D-glucopyranoside [16]. Compound 4 was isolated as a pale yellow amorphous powder. Its 1H NMR spectrum (Figure S27) exhibited a 2H singlet signal at δH 7.50 (H-2/H-2′) and a broad singlet at δH 10.69 (br. s, OH). The 13C NMR spectrum exhibited seven carbon peaks, each equivalent to two carbons [δC 159.5 (2C, C-7/C-7′), 148.5 (2C, C-4/C-4′), 140.0 (2C, C-2/C-2′), 136.8 (2C, C-3/C-3′), 112.7 (2C, C-6/C-6′), 110.6 (2C, C-5/C-5′), and 108.0 (2C, C-1/C-1′). These are characteristics for an ellagic acid. Based on the molecular ion peak at m/z 301 [M − H]− in the ESIMS spectrum, we confirmed the structure of 4 to be ellagic acid [17].
Structure of the O-Glycosidic Ellagitannins 5 and 6
- Compound 5 was isolated as an off-white amorphous powder. Its 1H NMR spectrum (Figure S29) exhibited aromatic proton signals at δH 7.23, 7.03 (each 2H, s, galloyl H-2/H-6) of two galloyl units and two 1H singlets (δH 6.61 and 6.48), indicative of the presence of a hexahydroxydiphenoyl (HHDP) unit [22]. A spin system of seven aliphatic proton sets, as evident from the 1H–1H COSY correlations (Figure S30), were assigned for the 4C1 D-glucopyranose core as follows: δH 6.39 (1H, d, J = 4.2 Hz, glc H-1), 5.64 (1H, t, J = 10.2 Hz, glc H-3), 5.22 (1H, dd, J = 13.2, 6.6 Hz, glc H-6), 5.05 (1H, t, J = 10.2 Hz, glc H-4), 4.55 (1H, br. dd, J = 6.6, 10.2 Hz, glc H-5), 4.20 (1H, dd, J = 4.2, 10.2 Hz, glc H-2), and Hz, 3.75 (1H, br. d, J = 13.2 Hz, glc H-6). The up-field shift of the glucose H-2 signals (δH 4.20) indicated the deacylation of the glucose 2-OH, whereas the small coupling constant (J = 4.2 Hz) of the anomeric proton signal indicated the alpha-oriented C-O bond at the glucose’s anomeric center [14,18]. The large difference in the chemical shifts of the glucose H2-6 signals (δH 4.20 and 3.75) indicated the placement of the HHDP group at O-4/O-6 of the glucose, and therefore, the remaining O-1 and O-3 should be acylated by the galloyl units [14]. These data, together with the comparison with the literature values [18], led to the identification of 5 as heterophylliin A (5, Figure 5).
- Compound 6 was isolated as an off-white amorphous powder. Its 1H NMR spectrum exhibited double resonances of all proton signals (Section 2.4. Spectroscopic Data of Isolated Compounds), which indicated the existence of 6 as a mixture of α- and β-anomer. The aromatic proton signals [δH 7.01, 7.00 (each s, 2H in total), δH 6.59, 6.58 (each s, 1H in total), and δH 6.44, 6.43 (each s, 1H in total) are consistent with the galloyl H-2/H-6, HHDP H-3, and HHDP H-3ʹ, respectively [22]. Proton signals of a glucose core [δH: 5.46, 5.28 (1H in total, each t, J = 10.2 Hz, glc H-3α, β), 5.24 (1/2H, d, J = 4.2 Hz, glc H-1α), 5.21, 5.18 (1H in total, each dd, J = 6.6, 10.2 Hz,), 4.95, 4.92 (1H in total, each t, J = 10.2 Hz, H-4α, β), 4.72 (1/2H, d, J = 7.2 Hz, H-1β), 4.52, 4.06 (1H in total, each ddd, J = 1.2, 6.6, 10.2 Hz, H-5α, β), 3.81 (1/2H, dd, J = 4.2, 10.2 Hz, H-2α), 3.78, 3.71 (1H in total, each dd, J = 1.2, 13.2 Hz, H-6α, β), and 3.57 (1/2H, dd, J = 7.2, 10.2 Hz, H-2β) were detected in the NMR spectrum of 6. These double resonances indicate the presence of the unacylated OH group of the anomeric center [14]. Resonances of the glucose H-2 signals with the up-field shifts (δH 3.81 and 3.57) also evidenced the existence of the free OH-2 on the glucose core. Similar to heterophylliin A (5), the wide difference in the chemical shifts of the glucose H2-6 signals (δH 5.21, 5.18, H-6α, β, and δH 3.78, 3.71, H-6α, β) indicated the bridging of the HHDP moiety at O-4/O-6 of the glucose core, leaving the glucose O-3 for the galloyl moiety. These spectroscopic data, which are reasonably identical with those previously published, confirmed the identity of 6 as gemin D (Figure 5) [19].
Structure of C-Glycosidic Ellagitannins (7–10)
3.2. Cytotoxicity of Ellagitannins against Oral Cancer Cell Lines
3.3. Previously Reported Bioactivities of the Known Compounds 2–10
4. Conclusions
Supplementary Materials
Author Contributions
Funding
Institutional Review Board Statement
Informed Consent Statement
Data Availability Statement
Acknowledgments
Conflicts of Interest
References
- Haslam, E. Natural polyphenols (vegetable tannins) as drugs: Possible modes of action. J. Nat. Prod. 1996, 59, 205–215. [Google Scholar] [CrossRef]
- Šamec, D.; Karalija, E.; Šola, I.; Vujčić Bok, V.; Salopek-Sondi, B. The Role of Polyphenols in Abiotic Stress Response: The Influence of Molecular Structure. Plants 2021, 10, 118. [Google Scholar] [CrossRef]
- Zumrutdal, E.; Ozaslan, M.A. Miracle Plant for the Herbal Pharmacy; Henna (Lawsonia Inermis). Int. J. Pharmacol. 2012, 8, 483–489. [Google Scholar] [CrossRef]
- Skowrońska, W.; Bazylko, A. The Potential of Medicinal Plants and Natural Products in the Treatment of Burns and Sunburn—A Review. Pharmaceutics 2023, 15, 633. [Google Scholar] [CrossRef]
- Singh, D.K.; Luqman, S. Lawsonia Inermis (L.): A Perspective on Anticancer Potential of Mehndi/Henna. Biomed. Res. Ther. 2014, 1, 112–120. [Google Scholar] [CrossRef]
- Hasan, K.M.; Yesmin, S.; Akhter, S.F.; Paul, S.; Sarker, S.; Islam, A.; Wahed, M.I.I.; Khan, M.R.I. Hepatoprotective potentiality of various fractions of ethanolic extracts of Lawsonia inermis (henna) leaves against chemical-induced hepatitis in rats. Biochem. Mol. Biol. 2016, 1, 17–22. [Google Scholar]
- Alia, B.H.; Bashir, A.K.; Tanira, M.O.M. Anti-inflammatory, antipyretic, and analgesic effects of Lawsonia inermis L.(henna) in rats. Pharmacology 1995, 51, 356–363. [Google Scholar] [CrossRef]
- Mikhaeil, B.R.; Badria, F.A.; Maatooq, G.T.; Amer, M.M.A. Antioxidant and Immunomodulatory Constituents of Henna Leaves. Z. Für Naturforschung C 2004, 59, 468–476. [Google Scholar] [CrossRef]
- Bekir, J.; Mars, M.; Souchard, J.P.; Bouajila, J. Assessment of Antioxidant, Anti-Inflammatory, Anti-Cholinesterase and Cytotoxic Activities of Pomegranate (Punica Granatum) Leaves. Food Chem. Toxicol. 2013, 55, 470–475. [Google Scholar] [CrossRef]
- Barani, M.; Mirzaei, M.; Torkzadeh-Mahani, M.; Nematollahi, M.H. Lawsone-Loaded Niosome and Its Antitumor Activity in MCF-7 Breast Cancer Cell Line: A Nano-Herbal Treatment for Cancer. DARU. J. Pharm. Sci. 2018, 26, 11–17. [Google Scholar] [CrossRef]
- Raja, W.; Pandey, S. Antitumoral effect of Lawsonia inermis extract on melanoma tumor-bearing C57BL/6 mice. Pharmacogn. Mag. 2020, 16, 435. [Google Scholar] [CrossRef]
- Orabi, M.A.A.; Sakagami, H.; Umemura, N.; Alyami, H.S.; Hatano, T. Two new C-glycosidic ellagitannins and accompanying tannins from Lawsonia inermis leaves and their cytotoxic effects. Fitoterapia 2021, 153, 104925. [Google Scholar] [CrossRef] [PubMed]
- Orabi, M.A.A.; Orabi, E.A.; Abdel-Sattar, E.S.; English, A.M.; Hatano, T.; Elimam, H. Structural determination and anticholinesterase assay of C-glycosidic ellagitannins from Lawsonia inermis leaves: A study supported by DFT calculations and molecular docking. Fitoterapia 2023, 164, 105360. [Google Scholar] [CrossRef] [PubMed]
- Okuda, T.; Yoshida, T.; Hatano, T. New Methods of Analyzing Tannins. J. Nat. Prod. 1989, 52, 1–31. [Google Scholar] [CrossRef]
- Trzeciak, K.; Kaźmierski, K.; Drużbicki, K.; Potrzebowski, M.J. Mapping of Guest Localization in Mesoporous Silica Particles by Solid-State NMR and Ab Initio Modeling: New insights into benzoic acid and p-fluorobenzoic acid embedded in MCM-41 via ball milling. J. Phys. Chem. C 2021, 125, 125–10096. [Google Scholar] [CrossRef]
- Isaza, J.H.; Ito, H.; Yoshida, T. A flavonol glycoside-lignan ester and accompanying acylated glucosides from Monochaetum multiflorum. Phytochemistry 2001, 58, 321–327. [Google Scholar] [CrossRef]
- Hillis, W.; Yazaki, Y. Properties of some methyl ellagic acids and their glycosides. Phytochemistry 1973, 12, 2963–2968. [Google Scholar] [CrossRef]
- Yoshida, T.; Jin, Z.X.; Okuda, T. Heterophylliins A, B, C, D and E, Ellagitannin Monomers and Dimers from Corylus heterophylla FISCH. Chem. Pharm. Bull. 1991, 39, 49–54. [Google Scholar] [CrossRef]
- Lee, M.W.; Tanaka, T.; Nonaka, G.I.; Nishioka, I. Dimeric ellagitannins from Alnus japonica. Phytochemistry 1992, 31, 2835–2839. [Google Scholar] [CrossRef]
- Sakagami, H.; Okudaira, N.; Masuda, Y.; Amano, O.; Yokose, S.; Kanda, Y.; Suguro, M.; Natori, T.; Oizumi, H.; Oizumi, T. Induction of apoptosis in human oral keratinocyte by doxorubicin. Anticancer. Res. 2017, 37, 1023–1029. Available online: https://ar.iiarjournals.org/content/anticanres/37/3/1023.full.pdf (accessed on 1 May 2023).
- Sakagami, H.; Jiang, Y.; Kusama, K.; Atsumi, T.; Ueha, T.; Toguchi, M.; Iwakura, I.; Satoh, K.; Ito, H.; Hatano, T.; et al. Cytotoxic activity of hydrolyzable tannins against human oral tumor cell lines—A possible mechanism. Phytomedicine 2000, 7, 39–47. [Google Scholar] [CrossRef] [PubMed]
- Orabi, M.A.A.; Taniguchi, S.; Sakagami, H.; Yoshimura, M.; Amakura, Y.; Hatano, T. Hydrolyzable Tannins of Tamaricaceous Plants. 7.1 Structures and Cytotoxic Properties of Oligomeric Ellagitannins from Leaves of Tamarix Nilotica and Cultured Tissues Of Tamarix tetrandra. J. Nat. Prod. 2016, 79, 984–995. [Google Scholar] [CrossRef] [PubMed]
- Orabi, M.A.A.; Orabi, E.A.; Taniguchi, S.; Sakagami, H.; Yoshimura, M.; Amakura, Y.; Hatano, T. Structures, NMR Spectroscopic Features, and Cytotoxic Properties of Oligomeric Hellinoyl (m-GO-m-GOG)-Type Ellagitannins from the Galls of Tamarix Aphylla. J. Nat. Prod. 2019, 82, 2682–2695. [Google Scholar] [CrossRef] [PubMed]
- Jo, M.S.; Lee, S.; Yu, J.S.; Baek, S.C.; Cho, Y.C.; Kim, K.H. Megastigmane Derivatives from the Cladodes of Opuntia Humifusa and Their Nitric Oxide Inhibitory Activities in Macrophages. J. Nat. Prod. 2020, 83, 684–692. [Google Scholar] [CrossRef] [PubMed]
- Ferguson, J.T.; Jiang, Q.; Marro, E.A.; Siegler, M.A.; Klausen, R.S. Long-range coupling in cyclic silanes. Dalton Trans. 2020, 49, 14951–14961. [Google Scholar] [CrossRef]
- Otsuka, H.; Zhong, X.N.; Hirata, E.; Shinzato, T.; Takeda, Y. Myrsinionosides AE: Megastigmane glycosides from the leaves of Myrsine seguinii Lev. Chem. Pharm. Bull. 2001, 49, 1093–1097. [Google Scholar] [CrossRef]
- Yu, Q.; Matsunami, K.; Otsuka, H.; Takeda, Y. Staphylionosides A—K: Megastigmane Glucosides from the Leaves of Staphylea bumalda DC. Chem. Pharm. Bull. 2005, 53, 800–807. [Google Scholar] [CrossRef]
- Baumes, R.; Wirth, J.; Bureau, S.; Gunata, Y.; Razungles, A. Biogeneration of C13-norisoprenoid compounds: Experiments supportive for an apo-carotenoid pathway in grapevines. Anal. Chim. Acta 2002, 458, 3–14. [Google Scholar] [CrossRef]
- Rao, A.S. Isolation, Absolute Configuration and Bioactivities of Megastigmanes or C13 Isonorterpinoides. Chem. Int. 2017, 3, 69–91. Available online: https://www.bosaljournals.com/chemint/article/view/57/57 (accessed on 20 January 2023).
- Ninomiya, K.; Morikawa, T.; Zhang, Y.; Nakamura, S.; Matsuda, H.; Muraoka, O.; Yoshikawa, M. Bioactive Constituents from Chinese Natural Medicines. XXIII. Absolute Structures of New Megastigmane Glycosides, Sedumosides A4, A5, A6, H, and I, and hepatoprotective megastigmanes from Sedum sarmentosum. Chem. Pharm. Bull. 2007, 3, 1185–1191. [Google Scholar] [CrossRef]
- Bao, X.-H.; Wang, Q.h.; Bao, B.y.q.e.; Han, J.j.; Ao, W.L.J. Antibacterial and Antioxidant Activities of Megastigmane Glycosides from Hosta Plantaginea. Chem. Nat. Compd. 2017, 53, 614–617. [Google Scholar] [CrossRef]
- Ye, G.; Peng, H.; Fan, M.; Huang, C.G. Ellagic Acid Derivatives from the Stem Bark of Dipentodon Sinicus. Chem. Nat. Compd. 2007, 43, 125–127. [Google Scholar] [CrossRef]
- Al-Snafi, A.E. A review on Lawsonia inermis: A potential medicinal plant. Int. J. Curr. Pharm. Res. 2019, 11, 1–13. [Google Scholar] [CrossRef]
- Ishteyaque, S.; Mishra, A.; Mohapatra, S.; Singh, A.; Bhatta, R.S.; Tadigoppula, N.; Mugale, M.N. In Vitro: Cytotoxicity, Apoptosis and Ameliorative Potential of Lawsonia Inermis Extract in Human Lung, Colon and Liver Cancer Cell Line. Cancer Investig. 2020, 38, 476–485. [Google Scholar] [CrossRef]
- Kumar, M.; Chandel, M.; Kaur, P.; Pandit, K.; Kaur, V.; Kaur, S.; Kaur, S. Chemical composition and inhibitory effects of water extract of Henna leaves on reactive oxygen species, DNA scission and proliferation of cancer cells. EXCLI J. 2016, 15, 842. [Google Scholar] [CrossRef]
- Hussain, G.; Huang, J.; Rasul, A.; Anwar, H.; Imran, A.; Maqbool, J.; Razzaq, A.; Aziz, N.; Makhdoom, E.U.H.; Konuk, M.; et al. Putative roles of plant-derived tannins in neurodegenerative and neuropsychiatry disorders: An updated review. Molecules 2019, 24, 2213. [Google Scholar] [CrossRef]
- Senobari, Z.; Karimi, G.; Jamialahmadi, K. Ellagitannins, Promising Pharmacological Agents for the Treatment of Cancer Stem Cells. Phytother. Res. 2022, 36, 231–242. [Google Scholar] [CrossRef]
- Chang, J.H.; Cho, J.H.; Kim, H.H.; Lee, K.P.; Lee, M.W.; Han, S.S.; Lee, D.I. Antitumor Activity of Pedunculagin, One of the Ellagitannin. Arch. Pharmacal Res. 1995, 18, 396–401. [Google Scholar] [CrossRef]
- Kashiwada, Y.; Nonaka, G.I.; Nishioka, I.; Chang, J.J.; Lee, K.H. Antitumor Agents, 129. Tannins and Related Compounds as Selective Cytotoxic Agents. J. Nat. Prod. 1992, 55, 1033–1043. [Google Scholar] [CrossRef]
- Marzouk, M.S.A.; Moharram, F.A.; Mohamed, M.A.; Gamal-Eldeen, A.M.; Aboutabl, E.A. Anticancer and Antioxidant Tannins from Pimenta Dioica Leaves. Z. Für Naturforschung C 2007, 62, 526–536. [Google Scholar] [CrossRef]
- Ismail, T.; Calcabrini, C.; Diaz, A.R.; Fimognari, C.; Turrini, E.; Catanzaro, E.; Akhtar, S.; Sestili, P. Ellagitannins in Cancer Chemoprevention and Therapy. Toxins 2016, 8, 151. [Google Scholar] [CrossRef] [PubMed]
- Iijima, Y.; Bandow, K.; Sano, M.; Hino, S.; Kaneko, T.; Horie, N.; Sakagami, H. In vitro assessment of antitumor potential and combination effect of classical and molecular-targeted anticancer drugs. Anticancer. Res. 2019, 39, 6673–6684. [Google Scholar] [CrossRef] [PubMed]
- Chaibi, R.; Romdhane, M.; Ferchichi, A.; Bouajila, J. Assessment of Antioxidant, Anti-Inflammatory, Anti-Cholinesterase and Cytotoxic Activities of Henna (Lawsonia Inermis) Flowers. J. Nat. Prod. 2015, 8, 85–92. Available online: https://www.cabdirect.org/globalhealth/abstract/20163041893 (accessed on 1 May 2023).
- De Leo, M.; Braca, A.; De Tommasi, N.; Norscia, I.; Morelli, I.; Battinelli, L.; Mazzanti, G. Phenolic Compounds from Baseonema Acuminatum Leaves: Isolation and Antimicrobial Activity. Planta Medica 2004, 70, 841–846. [Google Scholar] [CrossRef] [PubMed]
- Choi, J.; Cho, J.Y.; Choi, S.J.; Jeon, H.; Kim, Y.D.; Htwe, K.M.; Chin, Y.W.; Lee, W.S.; Kim, J.; Yoon, K.D. Two New Phenolic Glucosides from Lagerstroemia Speciosa. Molecules 2015, 20, 4483–4491. [Google Scholar] [CrossRef] [PubMed]
- Nair, B. Final report on the safety assessment of Benzyl Alcohol, Benzoic Acid, and Sodium Benzoate. Int. J. Toxicol. 2001, 20, 23–50. [Google Scholar] [CrossRef] [PubMed]
- Sharifi-Rad, J.; Quispe, C.; Castillo, C.M.S.; Caroca, R.; Lazo-Vélez, M.A.; Antonyak, H.; Polishchuk, A.; Lysiuk, R.; Oliinyk, P.; De Masi, L.; et al. Ellagic acid: A review on its natural sources, chemical stability, and therapeutic potential. Oxidative Med. Cell. Longev. 2022, 2022, 3848084. [Google Scholar] [CrossRef] [PubMed]
- Yu, Y.H.; Jia, L.; Zeng, H.T.; Yuan, T. Hydrolyzable tannins from flowers of Punica granatum and their anti-diabetic activities. Zhongguo Zhong Yao Za Zhi 2022, 47, 3258–3264. [Google Scholar] [CrossRef] [PubMed]
- Sugimoto, K.; Nakagawa, K.; Hayashi, S.; Amakura, Y.; Yoshimura, M.; Yoshida, T.; Yamaji, R.; Nakano, Y.; Inui, H. Hydrolyzable Tannins as Antioxidants in the Leaf Extract of Eucalyptus Globulus Possessing Tyrosinase and Hyaluronidase Inhibitory Activities. Food Sci. Technol. Res. 2009, 15, 331–336. [Google Scholar] [CrossRef]
- Costa Carneiro, C.; Vieira de Moraes-Filho, A.; Silva Fernandes, A.; da Costa Santos, S.; de Melo e Silva, D.; Chen Chen, L. Cytotoxic and Chemopreventive Effects of Gemin D Against Different Mutagens Using In Vitro and In Vivo Assays. Anti-Cancer Agents Med. Chem. 2017, 17, 712–718. [Google Scholar] [CrossRef]
- Silva Fernandes, A.; Hollanda Véras, J.; Silva, L.S.; Puga, S.C.; Luiz Cardoso Bailão, E.F.; de Oliveira, M.G.; Cardoso, C.G.; Carneiro, C.C.; Da Costa Santos, S.; Chen-Chen, L. Pedunculagin Isolated from Plinia Cauliflora Seeds Exhibits Genotoxic, Antigenotoxic and Cytotoxic Effects in Bacteria and Human Lymphocytes. J. Toxicol. Environ. Health Part A 2021, 85, 353–363. [Google Scholar] [CrossRef] [PubMed]
- Kim, M.; Yin, J.; Hwang, I.H.; Park, D.H.; Lee, E.K.; Kim, M.J.; Lee, M.W. Anti-Acne Vulgaris Effects of Pedunculagin from the Leaves of Quercus Mongolica by Anti-Inflammatory Activity and 5α-Reductase Inhibition. Molecules 2020, 25, 2154. [Google Scholar] [CrossRef] [PubMed]
- Al-Harbi, R.; Al-Wegaisi, R.; Moharram, F.A.; Shaaban, M.; El-Rahman, O.A. Antibacterial and Antihemolytic Activity of Tannins from Pimenta Dioica against Methicillin Resistant Staphylococcus Aureus. Bangladesh J. Pharmacol. 2017, 12, 63–68. [Google Scholar] [CrossRef]
- Hayashi, T.; Maruyama, H.; Kasai, R.; Hattori, K.; Takasuga, S.; Hazeki, O.; Yamasaki, K.; Tanaka, T. Ellagitannins from Lagerstroemia Speciosa as Activators of Glucose Transport in Fat Cells. Planta Medica 2002, 68, 173–175. [Google Scholar] [CrossRef] [PubMed]
- Kantapan, J.; Dechsupa, N.; Tippanya, D.; Nobnop, W.; Chitapanarux, I. Gallotannin from Bouea macrophylla seed extract suppresses cancer stem-like cells and radiosensitizes head and neck cancer. Int. J. Mol. Sci. 2021, 22, 9253. [Google Scholar] [CrossRef]
- Frisch, M.J.; Trucks, G.W.; Schlegel, H.B.; Scuseria, G.E.; Robb, M.A.; Cheeseman, J.R.; Scalmani, G.; Barone, V.; Petersson, G.A.; Nakatsuji, H.; et al. Gaussian 16, Revision A.03; Gaussian Inc.: Wallingford, CT, USA, 2016. [Google Scholar]
- Tomasi, J.; Mennucci, B.; Cammi, R. Quantum mechanical continuum solvation models. Chem. Rev. 2005, 105, 2999–3094. [Google Scholar] [CrossRef] [PubMed]
- Runge, E.; Gross, E.K. Density-functional theory for time-dependent systems. Phys. Rev. Lett. 1984, 52, 997. [Google Scholar] [CrossRef]
- El-Zohry, A.M.; Orabi, E.A.; Karlsson, M.; Zietz, B. Twisted Intramolecular Charge Transfer (TICT) Controlled by Dimerization: An Overlooked Piece of the TICT Puzzle. J. Phys. Chem. A 2021, 125, 2885–2894. [Google Scholar] [CrossRef]






| Position | δH | δC | HMBC | NOESY |
|---|---|---|---|---|
| 1 | 43.5 | |||
| 2ax | 1.21, 1H, t (12.6) | 41.6 | C-2, C-3, C-4, C-11, C-12 | H-11, H-2ex |
| 2eq | 2.25, 1H, br.dd (8.4, 14.4) | C-1 | H-2aq | |
| 3 | 4.14, 1H, m | 72.8 | H-1′, H-4eq, H-12 | |
| 4ax | 1.94, 1H, br.dd (9.6, 16.8) | 39.2 | C-3, C-5, C-6 | H-11, H-4eq |
| 4eq | 2.30, 1H, br. dd (5.4, 16.8) | C-2, C-5, C-6 | H-4ax | |
| 5 | 128.8 | |||
| 6 | 133.6 | |||
| 7 | 2.14, 1H, dd (8.4, 14.4) a, 2.20, 1H, dd (8.4, 14.4) a | 22.3 | C-5, C-6, C-8, C-9 | H-11, H-13 |
| 8 | 2.48, 2H, t (8.4) | 44.2 | C-7, C-9 | H-11, H-13 |
| 9 | 209.3 | |||
| 10 | 2.08, 3H, s | 29.8 b | C-8, C-9 | H-7 |
| 11 11 | 3.39, 1H, d (11), 3.28, 1H, d (11) | 68.6 | C-1, C-2, C-11 | H-3 |
| 12 | 0.91, 3H, s | 24.3 | C-1, C-2, C-6, C-12 | H-2ax, H-4ax, H-7, H-8 |
| 13 | 1.54, 3H, br.s | 19.8 | C-4, C-5, C-6 | H-7, H-8 |
| 1′ | 4.49, 1H, d (7.8) | 102.2 | C-3 | H-3, H-4eq |
| 2′ | 3.19, 1H, dd (7.8, 9.6) | 74.5 | C-1′, C-3′ | |
| 3′ | 3.44,1H, t (9.6) | 77.5 | C-2′, C-4′ | |
| 4′ | 3.35,1H, t (9.6) | 71.3 | C-3′, C-5′, C-6′ | |
| 5′ | 3.61, 1H, ddd (1.8, 9.6, | 74.8 | C-3′, C-4′ | |
| 6′ | 4.61,1H, dd (1.8, 13.8) | 64.8 | C-5′, C-7″ | |
| 4.16, 1H, dd (7.2, 12.0) | ||||
| 1″ | 120.5 | |||
| 2″/6″ | 7.13, 2H, s | 109.6 | ||
| 3″/5″ | 146 | |||
| 4″ | 137.7 | |||
| 7″ | 167.2 |
| CC50 (μM) b | CC50 (μM) b | ||||||||
|---|---|---|---|---|---|---|---|---|---|
| Ca9-22 | HSC-2 | HSC-4 | Mean | HGF | HPLF | HPC | Mean | TS c | |
| Lythracin D (7) | 89 ± 4 | 67 ± 8 | 48 ± 10 | 68 | 157 ± 36 | 152 ± 5 | 152 ± 4 | 154 | 2.3 |
| Pedunculagin (8) | 93 ± 5 | 48 ± 4 | 48 ± 3 | 63 | 178 ± 11 | 187 ± 4 | 157 ± 7 | 174 | 2.8 |
| Flosin B (9) | 180 ± 18 | 66 ± 8 | 80 ± 4 | 109 | 200 | 174 ± 22 | 169 ± 14 | 181 | 1.7 |
| Lagerstroemin (10) | 185 ± 14 | 75 ± 11 | 87 ± 2 | 115 | 200 | 159 ± 9 | 155 ± 5 | 171 | 1.5 |
| Doxorubicin | 0.5 ± 0.05 | 0.16 ± 0.04 | 0.17 ± 0.01 | 0.29 | 10 ± 0 | 10 ± 0 | 10 ± 0 | 10 | >35 |
| 5-FU | 33 ± 12 | 10 ± 2 | 35 ± 6 | 26 | 1000 ± 0 | 1000 ± 0 | 1000 ± 0 | 1000 | >38.0 |
| Compound | Reported Biological Activity |
|---|---|
| benzyl-6′-O-galloyl-β-D-glucopyranoside (2) | Antifungal activity against C. albicans clinical isolates and reference strains [44]. Moderate inhibitory effects against lipopolysaccharide-induced nitric oxide production in RAW 264.7 cells [45]. |
| Benzoic acid (3) | Antibacterial and antifungal activity [46]. |
| Ellagic acid (4) | Antioxidant, anti-inflammatory, antimutagenic, antiproliferative, antiallergic, antiatherosclerotic, cardioprotective, hepatoprotective, nephroprotective, and neuroprotective properties [47]. |
| Heterophylliin A (5) | Antidiabetic (moderate inhibitory effect against dipeptidyl peptidase IV and α-glucosidase) activity [48]. Antioxidant, antiallergic, and anti-inflammatory [49]. |
| Gemin D (6) | Cytotoxic and chemo-preventive, in vitro anti-HIV activity, anti-Leishmania donovani amastigote, a potent growth-inhibitor of sarcoma 180 cells in mice. A potent inhibitory effect as a 3-hydroxy-3-methylglutaryl-coenzyme-A reductase [50]. In vivo antigenotoxic activity [51]. |
| Lythracin D (7) | Anticholinesterase [13], cytotoxic to OSCC cell lines [12]. |
| Pedunculagin (8) | Anti-acne vulgaris (mediated by anti-inflammatory activity and 5α-reductase inhibition) [52], antibacterial, and antihemolytic [53]. Antitumor activity [38,39,40]. |
| Flosin B (9) | Contributes to the antidiabetic activity of Lagerstroemia speciosa by increasing glucose uptake of rat adipocytes [54]. Anti-acetylcholinesterase [13]. |
| Lagerstroemin (10) | Increased glucose uptake of rat adipocytes and could be responsible for lowering of blood glucose level, as shown by Lagerstroemia speciosa extract [54]. |
Disclaimer/Publisher’s Note: The statements, opinions and data contained in all publications are solely those of the individual author(s) and contributor(s) and not of MDPI and/or the editor(s). MDPI and/or the editor(s) disclaim responsibility for any injury to people or property resulting from any ideas, methods, instructions or products referred to in the content. |
© 2023 by the authors. Licensee MDPI, Basel, Switzerland. This article is an open access article distributed under the terms and conditions of the Creative Commons Attribution (CC BY) license (https://creativecommons.org/licenses/by/4.0/).
Share and Cite
Orabi, M.A.A.; Orabi, E.A.; Awadh, A.A.A.; Alshahrani, M.M.; Abdel-Wahab, B.A.; Sakagami, H.; Hatano, T. New Megastigmane and Polyphenolic Components of Henna Leaves and Their Tumor-Specific Cytotoxicity on Human Oral Squamous Carcinoma Cell Lines. Antioxidants 2023, 12, 1951. https://doi.org/10.3390/antiox12111951
Orabi MAA, Orabi EA, Awadh AAA, Alshahrani MM, Abdel-Wahab BA, Sakagami H, Hatano T. New Megastigmane and Polyphenolic Components of Henna Leaves and Their Tumor-Specific Cytotoxicity on Human Oral Squamous Carcinoma Cell Lines. Antioxidants. 2023; 12(11):1951. https://doi.org/10.3390/antiox12111951
Chicago/Turabian StyleOrabi, Mohamed A. A., Esam A. Orabi, Ahmed Abdullah Al Awadh, Mohammed Merae Alshahrani, Basel A. Abdel-Wahab, Hiroshi Sakagami, and Tsutomu Hatano. 2023. "New Megastigmane and Polyphenolic Components of Henna Leaves and Their Tumor-Specific Cytotoxicity on Human Oral Squamous Carcinoma Cell Lines" Antioxidants 12, no. 11: 1951. https://doi.org/10.3390/antiox12111951
APA StyleOrabi, M. A. A., Orabi, E. A., Awadh, A. A. A., Alshahrani, M. M., Abdel-Wahab, B. A., Sakagami, H., & Hatano, T. (2023). New Megastigmane and Polyphenolic Components of Henna Leaves and Their Tumor-Specific Cytotoxicity on Human Oral Squamous Carcinoma Cell Lines. Antioxidants, 12(11), 1951. https://doi.org/10.3390/antiox12111951

