Coumarin N-Acylhydrazone Derivatives: Green Synthesis and Antioxidant Potential—Experimental and Theoretical Study
Abstract
:1. Introduction
2. Materials and Methods
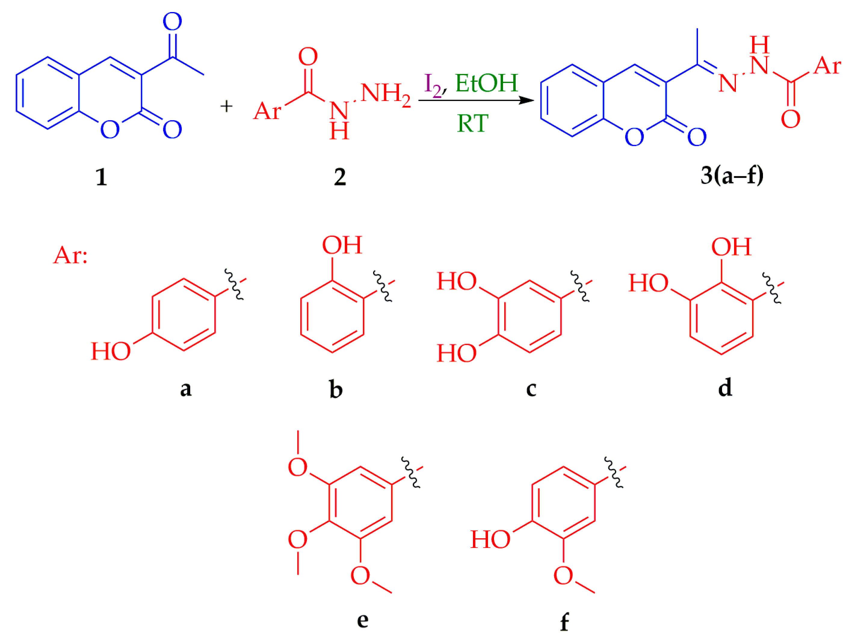
2.1. Synthesis of Coumarin N-Acylhydrazone Derivatives
2.2. DPPH Radical Scavenging Assay
2.3. ABTS Radical Cation Scavenging Assay
2.4. Ferric Ion Reducing Capacity Assay
2.5. Computational Methodology
3. Results and Discussion
3.1. Structural Characterization of Coumarin N-Acylhydrazone Derivatives
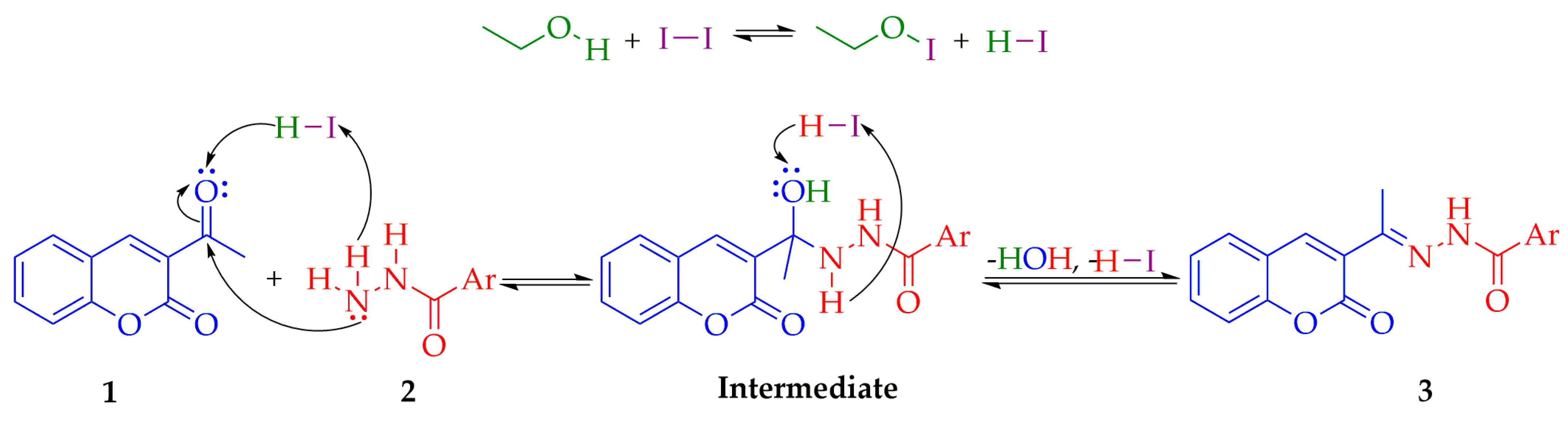
3.2. The Proposed Mechanism for the Synthesis of Coumarin N-Acylhydrazone Derivatives 3
3.3. Antioxidant Activity of Coumarin N-Acylhydrazone Derivatives
3.4. Determination of the Plausible Mechanisms
3.4.1. HAT Mechanism
3.4.2. SET-PT Mechanism
3.4.3. SPLET Mechanism
3.5. Radical Scavenging Activity toward DPPH Radical
3.6. Radical Scavenging Activity toward ABTS Radical Cation
4. Conclusions
Supplementary Materials
Author Contributions
Funding
Institutional Review Board Statement
Informed Consent Statement
Data Availability Statement
Conflicts of Interest
References
- Murray, D.H.; Mendez, J.; Brown, S.A. The Natural Coumarins: Occurrence, Chemistry and Biochemistry; J. Wiley & Sons: New York, NY, USA, 1982; p. 1. [Google Scholar]
- O’Kennedy, R.; Thornes, R.D. Coumarins: Biology, Applications and Mode of Action; J. Wiley & Sons: Chichester, UK, 1997; p. 1. [Google Scholar]
- Choi, J.; Lee, K.-T.; Ka, H.; Jung, W.T.; Jung, H.-J.; Park, H.-J. Constituents of the Essential Oil of the Cinnamomum cassia Stem Bark and the Biological Properties. Arch. Pharm. Res. 2001, 24, 418–423. [Google Scholar] [CrossRef] [PubMed]
- Sharifi-Rad, J.; Cruz-Martins, N.; López-Jornet, P.; Pons-Fuster Lopez, E.; Harun, N.; Yeskaliyeva, B.; Beyatli, A.; Sytar, O.; Shaheen, S.; Sharopov, F.; et al. Natural Coumarins: Exploring the Pharmacological Complexity and Underlying Molecular Mechanisms. Oxidative Med. Cell. Longev. 2021, 2021, 6492346. [Google Scholar] [CrossRef] [PubMed]
- Bhatia, R.; Rawal, R.K. Coumarin hybrids: Promising scaffolds in the treatment of breast cancer. Mini-Rev. Med. Chem. 2019, 19, 1443–1458. [Google Scholar] [CrossRef]
- Al-Amiery, A.A.; Al-Majedy, Y.K.; Kadhum, A.A.H.; Mohamad, A.B. Novel macromolecules derived from coumarin: Synthesis and antioxidant activity. Sci. Rep. 2015, 5, 11825. [Google Scholar] [CrossRef] [PubMed]
- Senol, F.S.; Yilmaz, G.; Sener, B.; Koyuncu, M.; Orhan, I. Preliminary screening of acetylcholinesterase inhibitory and antioxidant activities of Anatolian Heptaptera species. Pharm. Biol. 2010, 48, 337–341. [Google Scholar] [CrossRef]
- Kancheva, V.D.; Boranova, P.V.; Nechev, J.T.; Manolov, I.I. Structure-activity relationships of new 4-hydroxy bis-coumarins as radical scavengers and chainbreaking antioxidants. Biochimie 2010, 92, 1138–1146. [Google Scholar] [CrossRef]
- Amin, K.M.; Taha, A.M.; George, R.F.; Mohamed, N.M.; Elsenduny, F.F. Synthesis, antitumor activity evaluation, and DNA-binding study of coumarin-based agents. Arch. Pharm. 2018, 351, 1700199. [Google Scholar] [CrossRef]
- Arya, A.K.; Rana, K.; Kumar, M. A facile synthesis and anticancer activity evaluation of spiro analogs of benzothiazolylchromeno/pyrano derivatives. Lett. Drug Des. Discov. 2014, 11, 594–600. [Google Scholar] [CrossRef]
- Ambekar, S.P.; Mohan, C.D.; Shirahatti, A.; Kumar, M.K.; Rangappa, S.; Mohan, S.; Basappa Kotresh, O.; Rangappa, K.S. Synthesis of coumarin-benzotriazole hybrids and evaluation of their anti-tubercular activity. Lett. Org. Chem. 2018, 15, 23–31. [Google Scholar] [CrossRef]
- Lin, P.Y.; Yeh, K.-S.; Su, C.-L.; Sheu, S.-Y.; Chen, T.; Ou, K.-L.; Lin, M.-H.; Lee, L.-W. Synthesis and antibacterial activities of novel 4-hydroxy-7-hydroxy- and 3-carboxycoumarin derivatives. Molecules 2012, 17, 10846–10863. [Google Scholar] [CrossRef]
- Chohan, Z.H.; Shaikh, A.U.; Rauf, A.; Supuran, C.T. Antibacterial, antifungal and cytotoxic properties of novel N-substituted sulfonamides from 4-hydroxycoumarin. J. Enzyme Inhib. Med. Chem. 2006, 21, 741–748. [Google Scholar] [CrossRef]
- Shi, X.; Lv, C.W.; Li, J.; Hou, Z.; Yang, X.H.; Zhang, Z.D.; Luo, X.X.; Yuan, Z.; Li, M.K. Synthesis, photoluminescent, antibacterial activities and theoretical studies of three novel coumarin and dihydropyran derivatives containing a triphenylamine group. Res. Chem. Intermediat. 2015, 41, 8965–8974. [Google Scholar] [CrossRef]
- Zhang, R.R.; Liu, J.; Zhang, Y.; Hou, M.Q.; Zhang, M.Z.; Zhou, F.; Zhang, W.H. Microwave-assisted synthesis and antifungal activity of novel coumarin derivatives: Pyrano [3,2-c] chromene-2, 5-diones. Eur. J. Med. Chem. 2016, 116, 76–83. [Google Scholar] [CrossRef] [PubMed]
- Shen, Y.F.; Liu, L.; Feng, C.Z.; Hu, Y.; Chen, C.; Wang, G.X.; Zhu, B. Synthesis and antiviral activity of a new coumarin derivative against spring viraemia of carp virus. Fish Shellfish Immun. 2018, 81, 57–66. [Google Scholar] [CrossRef] [PubMed]
- Wardrop, D.; Keeling, D. The story of the discovery of heparin and warfarin. Br. J. Haematol. 2008, 141, 757–763. [Google Scholar] [CrossRef]
- Holbrook, A.M.; Pereira, J.A.; Labiris, R.; McDonald, H.; Douketis, J.D.; Crowther, M.; Wells, P.S. Systematic overview of warfarin and its drug and food interactions. Arch. Intern. Med. 2005, 165, 1095–1106. [Google Scholar] [CrossRef]
- Abdelhafez, O.M.; Amin, K.M.; Batran, R.Z.; Maher, T.J.; Nada, S.A.; Sethumadhavan, S. Synthesis, Anticoagulant and PIVKA-II induced by new 4-hydroxycoumarin derivatives. Bioorg. Med. Chem. 2010, 18, 3371–3378. [Google Scholar] [CrossRef]
- O’Reilly, R.A.; Ohms, J.I.; Motley, C.H. Studies on coumarin anticoagulant drugs: Heat of interaction of sodium warfarin and human plasma albumin by heat burst microcalorimetry. J. Biol. Chem. 1969, 244, 1303–1305. [Google Scholar] [CrossRef]
- Braun, A.E.; Gonzalez, A.G. Coumarins. Nat. Prod. Rep. 1997, 14, 465–475. [Google Scholar] [CrossRef]
- Angelova, V.T.; Vassilev, N.G.; Nikolova-Mladenova, B.; Vitas, J.; Malbasa, R.; Momekov, G.; Djukic, M.; Saso, L. Antiproliferative and antioxidative effects of novel hydrazone derivatives bearing coumarin and chromene moiety. Med. Chem. Res. 2016, 25, 2082–2089. [Google Scholar]
- Taha, M.; Adnan Ali Shah, S.; Afifi, M.; Imran, S.; Sultan, S.; Rahim, F.; Ismail, N.H.; Khan, K.M. Synthesis, molecular docking study and thymidine phosphorylase inhibitory activity of 3-formylcoumarin derivatives. Bioorg. Chem. 2018, 78, 17–23. [Google Scholar] [CrossRef]
- Kotali, A.; Nasiopoulou, D.A.; Harris, P.A.; Helliwell, M.; Joule, J.A. Transformation of a hydroxyl into an acyl group on α-pyrone ring: A novel route to 3,4-diacylcoumarins. Tetrahedron 2012, 68, 761–766. [Google Scholar] [CrossRef]
- Kotali, A.; Nasiopoulou, D.A.; Tsoleridis, C.A.; Harris, P.A.; Kontogiorgis, C.A.; Hadjipavlou-Litina, D.J. Antioxidant Activity of 3-[N-(Acylhydrazono) ethyl]-4-hydroxy-coumarins. Molecules 2016, 21, 138. [Google Scholar] [CrossRef] [PubMed]
- Antonijević, M.R.; Simijonović, D.M.; Avdović, E.H.; Ćirić, A.; Petrović, Z.D.; Marković, J.D.; Stepanić, V.; Marković, Z.S. Green One–Pot Synthesis of Coumarin-Hydroxybenzohydrazide Hybrids and Their Antioxidant Potency. Antioxidants 2021, 10, 1106. [Google Scholar] [CrossRef]
- Pangal, A.; Shaikh, J.A.; Muiz, G.V.; Mane Ahmed, K. Novel 3-acetylcoumarin Schiff’s base synthesis from different acid hydrazide. Int. Res. J. Pharm. 2013, 4, 108–110. [Google Scholar] [CrossRef]
- Prihantini, A.I.; Tachibana, S.; Itoh, K. Antioxidant active compounds from elaeocarpussylvestris and their relationship between structure and activity. Procedia Environ. Sci. 2015, 28, 758–768. [Google Scholar] [CrossRef]
- Pontiki, E.; Hadjipavlou-Litina, D.; Litinas, K.; Geromichalos, G. Novel Cinnamic Acid Derivatives as Antioxidant and Anticancer Agents: Design, Synthesis and Modeling Studies. Molecules 2014, 19, 9655–9674. [Google Scholar] [CrossRef]
- Pownall, T.L.; Udenigwe, C.C.; Aluko, R.E. Amino acid composition and antioxidant properties of pea seed (Pisum sativum L.) enzymatic protein hydrolysate fractions. J. Agric. Food Chem. 2010, 58, 4712–4718. [Google Scholar] [CrossRef]
- Marc, G.; Stana, A.; Franchini, A.H.; Vodnar, D.C.; Barta, G.; Terti, M.; Santa, I.; Cristea, C.; Pîrnau, A.; Ciorîta, A.; et al. Phenolic Thiazoles with Antioxidant and Antiradical Activity. Synthesis, In Vitro Evaluation, Toxicity, Electrochemical Behavior, Quantum Studies and Antimicrobial Screening. Antioxidants 2021, 10, 1707. [Google Scholar] [CrossRef]
- Frisch, M.J.; Trucks, G.W.; Schlegel, H.B.; Scuseria, G.W.; Robb, M.A.; Cheeseman, J.R.; Scalmani, G.; Barone, V.; Mennucci, B.; Petersson, G.A.; et al. Gaussian 09; Gaussian, Inc.: Wallingford, CT, USA, 2009. [Google Scholar]
- Dunning, T.H. Gaussian basis sets for use in correlated molecular calculations. I. The atoms boron through neon and hydrogen. J. Chem. Phys. 1989, 90, 1007. [Google Scholar] [CrossRef]
- Becke, A.D.; Johnson, E.R. A density-functional model of the dispersion interaction. J. Chem. Phys. 2005, 123, 154101. [Google Scholar] [CrossRef] [PubMed]
- Zhao, Y.; Truhlar, D.G. The M06 suite of density functionals for main group thermochemistry, thermochemical kinetics, noncovalent interactions, excited states, and transition elements: Two new functionals and systematic testing of four M06-class functionals and 12 other functionals. Theor. Chem. Acc. 2008, 120, 215–241. [Google Scholar]
- Bernales, V.S.; Marenich, A.V.; Contreras, R.; Cramer, C.J.; Truhlar, D.G. Quantum mechanical continuum solvation models for ionic liquids. J. Phys. Chem. B 2012, 116, 9122–9129. [Google Scholar] [CrossRef]
- Milanović, Ž.; Tošović, J.; Marković, S.; Marković, Z. Comparison of the scavenging capacities of phloroglucinol and 2, 4, 6-trihydroxypyridine towards HO radical: A computational study. RSC Adv. 2020, 10, 43262–43272. [Google Scholar] [CrossRef] [PubMed]
- Antonijević, M.R.; Avdović, E.H.; Simijonović, D.M.; Milanović, Ž.B.; Amić, A.D.; Marković, Z.S. Radical scavenging activity and pharmacokinetic properties of coumarin–hydroxybenzohydrazide hybrids. Int. J. Mol. Sci. 2022, 23, 490. [Google Scholar] [CrossRef] [PubMed]
- Milanović, Ž.; Dimić, D.; Žižić, M.; Milenković, D.; Marković, Z.; Avdović, E. Mechanism of antiradical activity of newly synthesized 4, 7-dihydroxycoumarin derivatives-experimental and kinetic DFT study. Int. J. Mol. Sci. 2021, 22, 13273. [Google Scholar] [CrossRef]
- Milanović, Ž.; Dimić, D.; Antonijević, M.; Žižić, M.; Milenković, D.; Avdović, E.; Marković, Z. Influence of acid-base equilibria on the rate of the chemical reaction in the Advanced Oxidation Processes: Coumarin derivatives and hydroxyl radical. Chem. Eng. J. 2023, 453, 139648. [Google Scholar] [CrossRef]
- Wang, G.; Xue, Y.; An, L.; Zheng, Y.; Dou, Y.; Zhang, L.; Liu, Y. Theoretical study on the structural and antioxidant properties of some recently synthesised 2,4,5-trimethoxy chalcones. Food Chem. 2015, 171, 89–97. [Google Scholar] [CrossRef]
- Wang, L.; Yang, F.; Zhao, X.; Li, Y. Effects of nitro- and amino-group on the antioxidant activity of genistein: A theoretical study. Food Chem. 2019, 275, 339–345. [Google Scholar] [CrossRef]
- Marković, Z.; Tošović, J.; Milenković, D.; Marković, S. Revisiting the solvation enthalpies and free energies of the proton and electron in various solvents. Comp. Theor. Chem. 2016, 1077, 11–17. [Google Scholar] [CrossRef]
- Glendening, E.D.; Landis, C.R.; Weinhold, F. NBO 6.0: Natural bond orbital analysis program. J. Comp. Chem. 2013, 34, 1429–1437. [Google Scholar] [CrossRef] [PubMed]
- Dimić, D.; Milenković, D.; Marković, J.D.; Marković, Z. Antiradical activity of catecholamines and metabolites of dopamine: Theoretical and experimental study. Phys. Chem. Chem. Phys. 2017, 19, 12970–12980. [Google Scholar] [CrossRef] [PubMed]
- Milanović, Ž.B.; Dimić, D.S.; Avdović, E.H.; Milenković, D.A.; Dimitrić Marković, J.; Klisurić, O.R.; Trifunović, S.R.; Marković, Z.S. Synthesis and comprehensive spectroscopic (X-ray, NMR, FTIR, UV–Vis), quantum chemical and molecular docking investigation of 3-acetyl-4-hydroxy-2-oxo-2H-chromen-7-yl acetate. J. Mol. Struct. 2021, 1225, 129256. [Google Scholar] [CrossRef]
- Avdović, E.H.; Milanović, Ž.B.; Molčanov, K.; Roca, S.; Vikić-Topić, D.; Mrkalić, E.M.; Jelić, R.M.; Marković, Z.S. Synthesis, characterization and investigating the binding mechanism of novel coumarin derivatives with human serum albumin: Spectroscopic and computational approach. J. Molec. Struct. 2022, 1254, 132366. [Google Scholar] [CrossRef]
- Zheng, Y.Z.; Dengb, G.; Chena, D.F.; Guoa, R.; Laia, R.C. The influence of C2=C3 double bond on the antiradical activity of flavonoid: Different mechanisms analysis. Phytochemistry 2019, 157, 1–7. [Google Scholar] [CrossRef] [PubMed]
- Bakhouche, K.; Dhaouadi, Z.; Jaidane, N.; Hammoutène, D. Comparative antioxidant potency and solvent polarity effects on HAT mechanisms of tocopherols. Comput. Theor. Chem. 2015, 1060, 58–65. [Google Scholar] [CrossRef]
- Salamone, M.; Bietti, M. Reaction pathways of alkoxyl radicals. The role of solvent effects on C–C bond fragmentation and hydrogen atom transfer reactions. Synlett 2014, 25, 1803–1816. [Google Scholar]
- Litwinienko, G.; Ingold, K.U. Abnormal solvent effects on hydrogen atom abstraction. 2. Resolution of the curcumin antioxidant controversy. The role of sequential proton loss electron transfer. J. Org. Chem. 2004, 69, 5888–5896. [Google Scholar] [CrossRef]
- MacLean, P.D.; Chapman, E.E.; Dobrowolski, S.L.; Thompson, A.; Barclay, L.R.C. Pyrroles as antioxidants: Solvent effects and the nature of the attacking radical on antioxidant activities and mechanisms of pyrroles, dipyrrinones, and bile pigments. J. Org. Chem. 2008, 73, 6623–6635. [Google Scholar] [CrossRef]
- Shang, Y.J.; Qian, Y.P.; Liu, X.D.; Dai, F.; Shang, X.L.; Jia, W.Q.; Liu, Q.; Fang, J.G.; Zhou, B. Radical-scavenging activity and mechanism of resveratrol-oriented analogues: Influence of the solvent, radical, and substitution. J. Org. Chem. 2009, 74, 5025–5031. [Google Scholar] [CrossRef]
- Hamlaoui, I.; Bencheraiet, R.; Bensegueni, R.; Bencharif, M. Experimental and theoretical study on DPPH radical scavenging mechanism of some chalcone quinoline derivatives. J. Mol. Struct. 2018, 1156, 385–389. [Google Scholar] [CrossRef]
- Rimarčík, J.; Lukeš, V.; Klein, E.; Ilčin, M. Study of the solvent effect on the enthalpies of homolytic and heterolytic N–H bond cleavage in p-phenylenediamine and tetracyano-p-phenylenediamine. J. Mol. Struct. Theochem. 2010, 952, 25–30. [Google Scholar] [CrossRef]
- Chen, J.; Yang, J.; Ma, L.; Li, J.; Shahzad, N.; Kim, C.K. Structure-antioxidant activity relationship of methoxy, phenolic hydroxyl, and carboxylic acid groups of phenolic acids. Sci. Rep. 2020, 10, 2611. [Google Scholar] [CrossRef] [PubMed]
- Klein, E.; Lukeš, V. DFT/B3LYP study of the substituent effect on the reaction enthalpies of the individual steps of single electron transfer-proton transfer and sequential proton loss electron transfer mechanisms of phenols antioxidant action. J. Phys. Chem. A 2006, 110, 12312–12320. [Google Scholar] [CrossRef] [PubMed]
- Zheng, Y.Z.; Deng, G.; Liang, Q.; Chen, D.F.; Guo, R.; Lai, R.C. Antioxidant activity of quercetin and its glucosides from propolis: A theoretical study. Sci. Rep. 2017, 7, 7543. [Google Scholar] [CrossRef] [PubMed]
- Alisi, I.O.; Uzairu, A.; Abechi, S.E. Free radical scavenging mechanism of 1,3,4-oxadiazole derivatives: Thermodynamics of O–H and N–H bond cleavage. Heliyon 2020, 6, e03683. [Google Scholar] [CrossRef] [PubMed]
- Mittal, A.; Vashistha, V.K.; Das, D.K. Recent advances in the antioxidant activity and mechanisms of chalcone derivatives: A computational review. Free Radic. Res. 2022, 56, 378–397. [Google Scholar] [CrossRef]






| Entry | Catalyst (mol%) | Yield (%) |
|---|---|---|
| 1 | None | trace a,c/65 b,c |
| 2 | CH3COOH (10 mol%) | 30 a,c/75 b,c |
| 3 | CH3COOH (20 mol%) | 42 a,c/80 b,c |
| 4 | I2 (5 mol%) | 85 a,d |
| 5 | I2 (10 mol%) | 91 a,d |
| 6 | I2 (20 mol%) | 91 a,d |
| Compound | Time (Min) | Yield (%) |
|---|---|---|
| 3a | 20 | 91 |
| 3b | 20 | 93 |
| 3c | 20 | 82 |
| 3d | 30 | 80 |
| 3e | 30 | 95 |
| 3f | 20 | 83 |
| Compound | DPPH Scavenging Ability (%) | IC50 (µM) | SF | |||||
|---|---|---|---|---|---|---|---|---|
| 25 µM | 50 µM | 100 µM | ||||||
| 20 min | 60 min | 20 min | 60 min | 20 min | 60 min | |||
| 3a | 1.0 ± 0.7 | 1.2 ± 0.7 | 1.3 ± 1.1 | 4.2 ± 1.1 | 1.6 ± 1.3 | 4.6 ± 1.8 | - | - |
| 3b | 3.5 ± 2.3 | 3.8 ± 3.0 | 4.2 ± 0.9 | 8.6 ± 1.2 | 5.5 ± 0.9 | 8.6 ± 0.9 | - | - |
| 3c | 94.2 ± 0.4 | 94.7 ± 0.9 | 94.1 ± 2.1 | 94.5 ± 1.8 | 98.4 ± 1.2 | 98.6 ± 1.1 | 2.1 ± 0.1 | 6.0 |
| 3d | 97.9 ± 1.7 | 98.1 ± 0.6 | 98.3 ± 1.4 | 98.6 ± 0.8 | 98.4 ± 0.3 | 98.7 ± 0.4 | 3.2 ± 0.1 | 3.9 |
| 3e | 0.5 ± 0.4 | 7.4 ± 0.3 | 1.08 ± 0.3 | 10.8 ± 1.5 | 1.4 ± 0.4 | 35.2 ± 0.1 | - | - |
| 3f | 1.6 ± 0.1 | 29.2 ± 0.3 | 3.4 ± 0.3 | 29.7 ± 2.3 | 8.7 ± 2.5 | 31.8 ± 1.7 | - | - |
| NDGA | 94.6 ± 0.7 | 94.6 ± 0.6 | 94.2 ± 0.7 | 94.2 ± 0.7 | 94.5 ± 0.2 | 94.1 ± 0.7 | 1.7 ± 0.1 | 7.4 |
| Quercetin | 95.3 ± 0.8 | 95.1 ± 0.9 | 96.8 ± 1.0 | 96.5 ± 0.9 | 95.1 ± 0.9 | 95.4 ± 0.8 | 1.9 ± 0.1 | 6.6 |
| Compound | ABTS Radical Cation Scavenging Activity | Ferric Ion Reducing Capacity | |||
|---|---|---|---|---|---|
| Scavenging Ability (%) | IC50 (µM) | ||||
| 25 µM | 50 µM | 100 µM | % AAa | ||
| 3a | 9.7 ± 2.5 | 13.1 ± 2.3 | 20.5 ± 2.7 | - | 137.13 |
| 3b | 15.3 ± 0.9 | 18.5 ± 1.2 | 31.1 ± 1.8 | - | 128.96 |
| 3c | 97.8 ± 1.0 | 98.1 ± 1.2 | 99.2 ± 1.0 | 2.2 ± 0.2 | 718.41 |
| 3d | 98.4 ± 2.1 | 98.7 ± 0.7 | 98.8 ± 1.4 | 3.0 ± 0.1 | 510.96 |
| 3e | 8.5 ± 1.2 | 16.5 ± 1.2 | 25.4 ± 0.8 | - | 153.77 |
| 3f | 42.4 ± 1.1 | 43.2 ± 0.4 | 53.6 ± 2.0 | - | 216.34 |
| Trolox | 97.4 ± 0.2 | 99.3 ± 0.1 | 99.5 ± 0.3 | 1.3 ± 0.1 | - |
| Compounds | Position | Methanol | Benzene | ||||||||
|---|---|---|---|---|---|---|---|---|---|---|---|
| BDE | IP | PDE | PA | ETE | BDE | IP | PDE | PA | ETE | ||
| 3a | 4″–OH | 386 | 524 | 30 | 143 | 411 | 375 | 646 | 143 | 411 | 359 |
| N2–H | 403 | 46 | 167 | 404 | 383 | 150 | 429 | 367 | |||
| 3b | 2″–OH | 378 | 530 | 16 | 124 | 422 | 377 | 659 | 131 | 389 | 400 |
| N2–H | 400 | 38 | 149 | 419 | 384 | 138 | 400 | 397 | |||
| 3c | 3″–OH | 357 | 524 | 1 | 139 | 385 | 346 | 646 | 113 | 402 | 357 |
| 4″–OH | 357 | 1 | 131 | 394 | 345 | 112 | 389 | 369 | |||
| N2–H | 403 | 47 | 167 | 404 | 385 | 152 | 427 | 370 | |||
| 3d | 2″–OH | 347 | 532 | −17 | 112 | 403 | 344 | 665 | 92 | 369 | 389 |
| 3″–OH | 360 | −4 | 154 | 373 | 369 | 117 | 455 | 327 | |||
| N2–H | 401 | 37 | 146 | 423 | 387 | 135 | 394 | 406 | |||
| 3e | N2–H | 398 | 522 | 45 | 158 | 408 | 385 | 642 | 156 | 430 | 368 |
| 3f | 4″–OH | 365 | 509 | 23 | 144 | 349 | 369 | 664 | 118 | 443 | 349 |
| N2–H | 402 | 61 | 167 | 364 | 383 | 132 | 432 | 364 | |||
| Compounds | Position | Mechanisms | ||
|---|---|---|---|---|
| HAT | SET | PT | ||
| ΔrGHAT | ΔrGSET | ΔrGPT | ||
| 3a | 4″–OH | 52 | 147 | −95 |
| N2–H | 69 | −78 | ||
| 3b | 2″–OH | 44 | 153 | −109 |
| N2–H | 67 | −86 | ||
| 3c | 3″–OH | 23 | 147 | −124 |
| 4″–OH | 24 | −123 | ||
| N2–H | 69 | −77 | ||
| 3d | 2″–OH | 14 | 155 | −142 |
| 3″–OH | 26 | −129 | ||
| N2–H | 68 | −87 | ||
| 3e | N2–H | 65 | 145 | −80 |
| 3f | 4″–OH | 31 | 132 | −101 |
| N2–H | 69 | −64 | ||
| Compounds | Position | Mechanisms | ||
|---|---|---|---|---|
| HAT | SET | PT | ||
| ΔrGHAT | ΔrGSET | ΔrGPT | ||
| 3a | 4″–OH | 25 | −140 | 165 |
| N2–H | 42 | 182 | ||
| 3b | 2″–OH | 17 | −134 | 151 |
| N2–H | 40 | 173 | ||
| 3c | 3″–OH | −4 | −140 | 136 |
| 4″–OH | −3 | 137 | ||
| N2–H | 42 | 182 | ||
| 3d | 2″–OH | −13 | −132 | 118 |
| 3″–OH | −1 | 131 | ||
| N2–H | 41 | 172 | ||
| 3e | N2–H | 38 | −142 | 180 |
| 3f | 4″–OH | 4 | −155 | 159 |
| N2–H | 41 | 196 | ||
Disclaimer/Publisher’s Note: The statements, opinions and data contained in all publications are solely those of the individual author(s) and contributor(s) and not of MDPI and/or the editor(s). MDPI and/or the editor(s) disclaim responsibility for any injury to people or property resulting from any ideas, methods, instructions or products referred to in the content. |
© 2023 by the authors. Licensee MDPI, Basel, Switzerland. This article is an open access article distributed under the terms and conditions of the Creative Commons Attribution (CC BY) license (https://creativecommons.org/licenses/by/4.0/).
Share and Cite
Simijonović, D.M.; Milenković, D.A.; Avdović, E.H.; Milanović, Ž.B.; Antonijević, M.R.; Amić, A.D.; Dolićanin, Z.; Marković, Z.S. Coumarin N-Acylhydrazone Derivatives: Green Synthesis and Antioxidant Potential—Experimental and Theoretical Study. Antioxidants 2023, 12, 1858. https://doi.org/10.3390/antiox12101858
Simijonović DM, Milenković DA, Avdović EH, Milanović ŽB, Antonijević MR, Amić AD, Dolićanin Z, Marković ZS. Coumarin N-Acylhydrazone Derivatives: Green Synthesis and Antioxidant Potential—Experimental and Theoretical Study. Antioxidants. 2023; 12(10):1858. https://doi.org/10.3390/antiox12101858
Chicago/Turabian StyleSimijonović, Dušica M., Dejan A. Milenković, Edina H. Avdović, Žiko B. Milanović, Marko R. Antonijević, Ana D. Amić, Zana Dolićanin, and Zoran S. Marković. 2023. "Coumarin N-Acylhydrazone Derivatives: Green Synthesis and Antioxidant Potential—Experimental and Theoretical Study" Antioxidants 12, no. 10: 1858. https://doi.org/10.3390/antiox12101858
APA StyleSimijonović, D. M., Milenković, D. A., Avdović, E. H., Milanović, Ž. B., Antonijević, M. R., Amić, A. D., Dolićanin, Z., & Marković, Z. S. (2023). Coumarin N-Acylhydrazone Derivatives: Green Synthesis and Antioxidant Potential—Experimental and Theoretical Study. Antioxidants, 12(10), 1858. https://doi.org/10.3390/antiox12101858

