Antioxidant Activity and Phenolic Compound Identification and Quantification in Western Australian Honeys
Abstract
1. Introduction
2. Materials and Methods
2.1. Chemicals and Reagents
2.2. Honey Samples
2.3. Preparation of Honey Samples
2.4. Determination of Total Phenolic Content (TPC)
2.5. Determination of Antioxidant Activity Using the Ferric Reducing Antioxidant Power (FRAP) Assay
2.6. Determination of Antioxidant Activity Using the 2,2-Diphenyl-1-Picrylhydrazyl (DPPH) Radical Scavenging Assay
2.7. Phenolic Constituent Identification in Honey
2.8. Quantification of Phenolic Compounds in Honey
2.9. HPTLC-DPPH Antioxidant Activity
2.10. Statistical Analysis
3. Results
3.1. Total Phenolic Content
3.2. Ferric Reducing Antioxidant Power (FRAP) Assay
3.3. 2,2-Diphenyl-1-Picrylhydrazyl (DPPH) Radical Scavenging Assay
3.4. Phenolic Compound Identification
3.5. Phenolic Compound Quantification
3.6. HPTLC DPPH Assay
4. Discussion
5. Conclusions
Supplementary Materials
Author Contributions
Funding
Institutional Review Board Statement
Informed Consent Statement
Data Availability Statement
Acknowledgments
Conflicts of Interest
Sample Availability
References
- Nguyen, H.T.L.; Panyoyai, N.; Kasapis, S.; Pang, E.; Mantri, N. Honey and Its Role in Relieving Multiple Facets of Atherosclerosis. Nutrients 2019, 11, 167. [Google Scholar] [CrossRef] [PubMed]
- Borycka, K.; Grabek-Lejko, D.; Kasprzyk, I. Antioxidant and antibacterial properties of commercial bee pollen products. J. Apic. Res. 2016, 54, 491–502. [Google Scholar] [CrossRef]
- Ozkok, A. Determination of antioxidant capacities, chemical composition and melissopalynological characterization of Verbascum spp. and Euphorbia spp. honeys. Fresenius Environ. Bull. 2019, 28, 2644–2649. [Google Scholar]
- Ceksteryte, V.; Kurtinaitiene, B.; Venskutonis, P.R.; Pukalskas, A.; Kazernaviciute, R.; Balzekas, J. Evaluation of antioxidant activity and flavonoid composition in differently preserved bee products. Czech J. Food Sci. 2016, 34, 133–142. [Google Scholar] [CrossRef]
- Nayik, G.A.; Nanda, V. A chemometric approach to evaluate the phenolic compounds, antioxidant activity and mineral content of different unifloral honey types from Kashmir, India. LWT—Food Sci. Technol. 2016, 74, 504–513. [Google Scholar] [CrossRef]
- Cinkmanis, I.; Dimins, F.; Mikelsone, V. Influence of Lyophilization and convective type drying on antioxidant properties, total phenols and flavonoids in pollens. In Proceedings of the 11th Baltic Conference on Food Science and Technology “Food Science and Technology in a Changing World”, Jelgava, Latvia, 27–28 April 2017; pp. 201–203. [Google Scholar]
- Ozkan, K.; Sagcan, N.; Ozulku, G.; Sagdic, O.; Toker, O.S.; Muz, M.N. Bioactive and bioaccessibility characteristics of honeybee pollens collected from different regions of Turkey. J. Food Meas. Charact. 2017, 12, 581–587. [Google Scholar] [CrossRef]
- Bakour, M.; Fernandes, Â.; Barros, L.; Sokovic, M.; Ferreira, I.C.F.R.; Lyoussi, B. Bee bread as a functional product: Chemical composition and bioactive properties. LWT 2019, 109, 276–282. [Google Scholar] [CrossRef]
- Yang, Y.; Zhang, J.-l.; Zhou, Q.; Wang, L.; Huang, W.; Wang, R.-d. Effect of ultrasonic and ball-milling treatment on cell wall, nutrients, and antioxidant capacity of rose (Rosa rugosa) bee pollen, and identification of bioactive components. J. Sci. Food Agric. 2019, 99, 5350–5357. [Google Scholar] [CrossRef]
- Gorjanovic, S.Z.; Alvarez-Suarez, J.M.; Novakovic, M.M.; Pastor, F.T.; Pezo, L.; Battino, M.; Suznjevic, D.Z. Comparative analysis of antioxidant activity of honey of different floral sources using recently developed polarographic and various spectrophotometric assays. J. Food Compos. Anal. 2013, 30, 13–18. [Google Scholar] [CrossRef]
- Khalil, M.I.; Moniruzzaman, M.; Boukraâ, L.; Benhanifia, M.; Islam, M.A.; Islam, M.N.; Sulaiman, S.A.; Gan, S.H. Physicochemical and antioxidant properties of algerian honey. Molecules 2012, 17, 11199–11215. [Google Scholar] [CrossRef]
- Sant’ana, L.D.O.; Buarque Ferreira, A.B.; Lorenzon, M.C.A.; Berbara, R.L.L.; Castro, R.N. Correlation of Total Phenolic and Flavonoid Contents of Brazilian Honeys with Colour and Antioxidant Capacity. Int. J. Food Prop. 2014, 17, 65–76. [Google Scholar] [CrossRef]
- Stanek, N.; Teper, D.; Kafarski, P.; Jasicka-Misiak, I. Authentication of phacelia honeys (Phacelia tanacetifolia) based on a combination of HPLC and HPTLC analyses as well as spectrophotometric measurements. LWT—Food Sci. Technol. 2019, 107, 199–207. [Google Scholar] [CrossRef]
- Michalkiewicz, A.; Biesaga, M.; Pyrzynska, K. Solid-phase extraction procedure for determination of phenolic acids and some flavonols in honey. J. Chromatogr. A 2008, 1187, 18–24. [Google Scholar] [CrossRef] [PubMed]
- Gheldof, N.; Wang, X.-H.; Engeseth, N.J. Identification and Quantification of Antioxidant Components of Honeys from Various Floral Sources. J. Agric. Food Chem. 2002, 50, 5870–5877. [Google Scholar] [CrossRef] [PubMed]
- Zhao, L.; Ren, C.; Xue, X.; Lu, H.; Wang, K.; Wu, L. Safflomin A: A novel chemical marker for Carthamus tinctorius L. (Safflower) monofloral honey. Food Chem. 2022, 366, 130584. [Google Scholar] [CrossRef] [PubMed]
- Demir Kanbur, E.; Yuksek, T.; Atamov, V.; Ozcelik, A.E. A comparison of the physicochemical properties of chestnut and highland honey: The case of Senoz Valley in the Rize province of Turkey. Food Chem. 2021, 345, 128864. [Google Scholar] [CrossRef] [PubMed]
- Das, A.; Datta, S.; Mukherjee, S.; Bose, S.; Ghosh, S.; Dhar, P. Evaluation of antioxidative, antibacterial and probiotic growth stimulatory activities of Sesamum indicum honey containing phenolic compounds and lignans. LWT—Food Sci. Technol. 2015, 61, 244–250. [Google Scholar] [CrossRef]
- Badjah Hadj Ahmed, A.Y.; Wabaidur, S.M.; Siddiqui, M.R.; Alothman, Z.A.; Obeid, M.S.; Khan, M.R.; Al-Tamrah, S.A. Simultaneous determination of twenty-five polyphenols in multifloral and cactus honeys using solid-phase extraction and high-performance liquid chromatography with photodiode array detection. Eur. Food Res. Technol. 2016, 242, 943–952. [Google Scholar] [CrossRef]
- Martos, I.; Ferreres, F.; Tomás-Barberán, F.A. Identification of flavonoid markers for the botanical origin of Eucalyptus honey. J. Agric. Food Chem. 2000, 48, 1498–1502. [Google Scholar] [CrossRef]
- Tomás-Barberán, F.A.; Martos, I.; Ferreres, F.; Radovic, B.S.; Anklam, E. HPLC flavonoid profiles as markers for the botanical origin of European unifloral honeys. J. Sci. Food Agric. 2001, 81, 485–496. [Google Scholar] [CrossRef]
- Yao, L.; Datta, N.; Tomás-Barberán, F.A.; Ferreres, F.; Martos, I.; Singanusong, R. Flavonoids, phenolic acids and abscisic acid in Australian and New Zealand Leptospermum honeys. Food Chem. 2003, 81, 159–168. [Google Scholar] [CrossRef]
- Ferreres, F.; García-Viguera, C.; Tomás-Lorente, F.; Tomás-Barberán, F.A. Hesperetin: A marker of the floral origin of citrus honey. J. Sci. Food Agric. 1993, 61, 121–123. [Google Scholar] [CrossRef]
- Escriche, I.; Kadar, M.; Juan-Borrás, M.; Domenech, E. Using flavonoids, phenolic compounds and headspace volatile profile for botanical authentication of lemon and orange honeys. Food Res. Int. 2011, 44, 1504–1513. [Google Scholar] [CrossRef]
- Andrade, P.; Ferreres, F.; Amaral, M.T. Analysis of Honey Phenolic Acids by HPLC, Its Application to Honey Botanical Characterization. J. Liq. Chromatogr. Relat. Technol. 1997, 20, 2281–2288. [Google Scholar] [CrossRef]
- Pyrzynska, K.; Biesaga, M. Analysis of phenolic acids and flavonoids in honey. TrAC Trends Anal. Chem. 2009, 28, 893–902. [Google Scholar] [CrossRef]
- Ciulu, M.; Spano, N.; Pilo, M.I.; Sanna, G. Recent Advances in the Analysis of Phenolic Compounds in Unifloral Honeys. Molecules 2016, 21, 451. [Google Scholar] [CrossRef]
- Kečkeš, S.; Gašić, U.; Veličković, T.Ć.; Milojković-Opsenica, D.; Natić, M.; Tešić, Ž. The determination of phenolic profiles of Serbian unifloral honeys using ultra-high-performance liquid chromatography/high resolution accurate mass spectrometry. Food Chem. 2013, 138, 32–40. [Google Scholar] [CrossRef]
- Lawag, I.L.; Lim, L.-Y.; Joshi, R.; Hammer, K.A.; Locher, C. A Comprehensive Survey of Phenolic Constituents Reported in Monofloral Honeys around the Globe. Foods 2022, 11, 1152. [Google Scholar] [CrossRef]
- Lawag, I.L.; Sostaric, T.; Lim, L.Y.; Hammer, K.; Locher, C. The Development and Application of a HPTLC-Derived Database for the Identification of Phenolics in Honey. Molecules 2022, 27, 6651. [Google Scholar] [CrossRef]
- Roussel, J.M.; Bardot, V.; Berthomier, L.; Cotte, C.; Dubourdeaux, M.; Holowacz, S.; Bernard-Savary, P. Application of the Life Cycle Management of Analytical methods concept to a HPTLC-DPPH assay method for acteoside content in industrial extracts of Plantago lanceolata L. J. Chromatogr. B 2021, 1181, 122923. [Google Scholar] [CrossRef]
- Islam, M.K.; Sostaric, T.; Lim, L.Y.; Hammer, K.; Locher, C. Development and validation of an HPTLC–DPPH assay and its application to the analysis of honey. JPC—J. Planar Chromatogr.—Mod. TLC 2020, 33, 301–311. [Google Scholar] [CrossRef]
- Islam, M.K.; Sostaric, T.; Lim, L.Y.; Hammer, K.; Locher, C. Antioxidant HPTLC-DPPH Fingerprinting of Honeys and Tracking of Antioxidant Constituents upon Thermal Exposure. Foods 2021, 10, 357. [Google Scholar] [CrossRef] [PubMed]
- Morlock, G.E.; Belay, A.; Heil, J.; Mehl, A.; Borck, H. Effect-Directed Profiling of Monofloral Honeys from Ethiopia by High-Performance Thin-Layer Chromatography and High-Resolution Mass Spectrometry. Molecules 2022, 27, 3541. [Google Scholar] [CrossRef] [PubMed]
- Smith, F.G. Honey Plants in Western Australia; Bulletin 3618; Department of Primary Industries and Regional Development: Perth, Australia, 1969.
- Lin, B.; Loomes, K.M.; Prijic, G.; Schlothauer, R.; Stephens, J.M. Lepteridine as a unique fluorescent marker for the authentication of manuka honey. Food Chem. 2017, 225, 175–180. [Google Scholar] [CrossRef] [PubMed]
- Green, K.J.; Islam, M.K.; Lawag, I.; Locher, C.; Hammer, K.A. Honeys derived from plants of the coastal sandplains of Western Australia: Antibacterial and antioxidant activity, and other characteristics. J. Apic. Res. 2022, 1–14. [Google Scholar] [CrossRef]
- Islam, M.K.; Lawag, I.L.; Green, K.J.; Sostaric, T.; Hammer, K.A.; Lim, L.Y.; Locher, C. An investigation of the suitability of melissopalynology to authenticate Jarrah honey. Curr. Res. Food Sci. 2022, 5, 506–514. [Google Scholar] [CrossRef]
- Anand, S.; Deighton, M.; Livanos, G.; Morrison, P.D.; Pang, E.C.K.; Mantri, N. Antimicrobial Activity of Agastache Honey and Characterization of Its Bioactive Compounds in Comparison with Important Commercial Honeys. Front. Microbiol. 2019, 10, 263. [Google Scholar] [CrossRef]
- Islam, M.K.; Sostaric, T.; Lim, L.Y.; Hammer, K.; Locher, C. Development of an HPTLC-based dynamic reference standard for the analysis of complex natural products using Jarrah honey as test sample. PLoS ONE 2021, 16, e0254857. [Google Scholar] [CrossRef]
- Lawag, I.L.; Yoo, O.; Lim, L.Y.; Hammer, K.; Locher, C. Optimisation of Bee Pollen Extraction to Maximise Extractable Antioxidant Constituents. Antioxidants 2021, 10, 1113. [Google Scholar] [CrossRef]
- Liberato Mda, C.; de Morais, S.M.; Siqueira, S.M.; de Menezes, J.E.; Ramos, D.N.; Machado, L.K.; Magalhaes, I.L. Phenolic content and antioxidant and antiacetylcholinesterase properties of honeys from different floral origins. J. Med. Food 2011, 14, 658–663. [Google Scholar] [CrossRef]
- Green, K.J.; Lawag, I.L.; Locher, C.; Hammer, K.A. Correlation of the antibacterial activity of commercial manuka and Leptospermum honeys from Australia and New Zealand with methylglyoxal content and other physicochemical characteristics. PLoS ONE 2022, 17, e0272376. [Google Scholar] [CrossRef]
- Almeida, A.M.M.d.; Oliveira, M.B.S.; Costa, J.G.d.; Valentim, I.B.; Goulart, M.O.F. Antioxidant Capacity, Physicochemical and Floral Characterization of Honeys from the Northeast of Brazil. Rev. Virtual Quím. 2016, 8, 57–77. [Google Scholar] [CrossRef]
- Karabagias, I.K.; Louppis, A.P.; Karabournioti, S.; Kontakos, S.; Papastephanou, C.; Kontominas, M.G. Characterization and geographical discrimination of commercial Citrus spp. honeys produced in different Mediterranean countries based on minerals, volatile compounds and physicochemical parameters, using chemometrics. Food Chem. 2017, 217, 445–455. [Google Scholar] [CrossRef] [PubMed]
- Gül, A.; Pehlivan, T. Antioxidant activities of some monofloral honey types produced across Turkey. Saudi J. Biol. Sci. 2018, 25, 1056–1065. [Google Scholar] [CrossRef]
- Lewoyehu, M.; Amare, M. Comparative evaluation of analytical methods for determining the antioxidant activities of honey: A review. Cogent Food Agric. 2019, 5, 1685059. [Google Scholar] [CrossRef]
- Akgün, N.; Çelik, Ö.F.; Kelebekli, L. Physicochemical properties, total phenolic content, and antioxidant activity of chestnut, rhododendron, acacia and multifloral honey. J. Food Meas. Charact. 2021, 15, 3501–3508. [Google Scholar] [CrossRef]
- Cianciosi, D.; Forbes-Hernández, T.Y.; Giampieri, F.; Zhang, J.; Ansary, J.; Pacetti, M.; Quiles, J.L.; Simal-Gandara, J.; Battino, M. Effect of In vitro Gastrointestinal Digestion on the Bioaccessibility of Phenolic Compounds and Antioxidant Activity of Manuka Honey. eFood 2020, 1, 85–93. [Google Scholar] [CrossRef]
- Gülçin, I. Antioxidants and antioxidant methods: An updated overview. Arch. Toxicol. 2020, 94, 651–715. [Google Scholar] [CrossRef]
- Hunter, M.; Ghildyal, R.; D’Cunha, N.M.; Gouws, C.; Georgousopoulou, E.N.; Naumovski, N. The bioactive, antioxidant, antibacterial, and physicochemical properties of a range of commercially available Australian honeys. Curr. Res. Food Sci. 2021, 4, 532–542. [Google Scholar] [CrossRef]
- Pauliuc, D.; Dranca, F.; Oroian, M. Antioxidant Activity, Total Phenolic Content, Individual Phenolics and Physicochemical Parameters Suitability for Romanian Honey Authentication. Foods 2020, 9, 306. [Google Scholar] [CrossRef]
- Hernández-Fuentes, A.; Chávez-Borges, D.; Cenobio-Galindo, A.J.; Zepeda-Velázquez, A.; Figueira, A.; Jiménez-Alvarado, R.; Campos-Montiel, R. Characterization of total phenol and flavonoid contents, colour, functional properties from honey samples with different floral origins. Int. J. Food Stud. 2021, 10, 346–358. [Google Scholar] [CrossRef]
- Škrovánková, S.; Snopek, L.; Mlček, J.; Volaříková, E. Bioactive compounds evaluation in different types of Czech and Slovak honeys. Potravin. Slovak J. Food Sci. 2019, 13, 94–99. [Google Scholar] [CrossRef]
- Nascimento, K.S.D.; Gasparotto Sattler, J.A.; Lauer Macedo, L.F.; Serna González, C.V.; Pereira de Melo, I.L.; da Silva Araújo, E.; Granato, D.; Sattler, A.; de Almeida-Muradian, L.B. Phenolic compounds, antioxidant capacity and physicochemical properties of Brazilian Apis mellifera honeys. LWT—Food Sci. Technol. 2018, 91, 85–94. [Google Scholar] [CrossRef]
- Moniruzzaman, M.; Yung An, C.; Azlan, S.A.B.M.; Sulaiman, S.A.; Rao, P.V.; Hawlader, M.N.I.; Gan, S.H. Identification of phenolic acids and flavonoids in monofloral honey from Bangladesh by high performance liquid chromatography: Determination of antioxidant capacity. BioMed Res. Int. 2014, 2014, 737490. [Google Scholar] [CrossRef]
- Jerkovic, I.; Marijanović, Z. Oak (Quercus frainetto Ten.) Honeydew Honey—Approach to Screening of Volatile Organic Composition and Antioxidant Capacity (DPPH and FRAP Assay). Molecules 2010, 15, 3744–3756. [Google Scholar] [CrossRef]
- Kus, P.M.; Szweda, P.; Jerkovic, I.; Tuberoso, C.I. Activity of Polish unifloral honeys against pathogenic bacteria and its correlation with colour, phenolic content, antioxidant capacity and other parameters. Lett. Appl. Microbiol. 2016, 62, 269–276. [Google Scholar] [CrossRef]
- Bundit, T.; Anothai, T.; Pattaramart, P.; Roongpet, T.; Chuleeporn, S. Comparison of antioxidant contents of Thai Honeys to Manuka Honey. Malays. J. Nutr. 2016, 22, 413–420. [Google Scholar]
- Moniruzzaman, M.; Khalil, M.I.; Sulaiman, S.A.; Gan, S.H. Advances in the analytical methods for determining the antioxidant properties of honey: A review. Afr. J. Tradit. Complement. Altern. Med. 2012, 9, 36–42. [Google Scholar] [CrossRef]
- Kedare, S.B.; Singh, R.P. Genesis and development of DPPH method of antioxidant assay. J. Food Sci. Technol. 2011, 48, 412–422. [Google Scholar] [CrossRef]
- Hayes, W.A.; Mills, D.S.; Neville, R.F.; Kiddie, J.; Collins, L.M. Determination of the molar extinction coefficient for the ferric reducing/antioxidant power assay. Anal. Biochem. 2011, 416, 202–205. [Google Scholar] [CrossRef]
- Locher, C.; Tang, E.; Neumann, J.; Sostaric, T. High-performance thin-layer chromatography profiling of Jarrah and Manuka honeys. JPC—J. Planar Chromatogr.—Mod. TLC 2018, 31, 181–189. [Google Scholar] [CrossRef]
- Locher, C.; Neumann, J.; Sostaric, T. Authentication of honeys of different floral origins via high-performance thin-layer chromatographic fingerprinting. J. Planar Chromatogr.—Mod. TLC 2017, 30, 57–62. [Google Scholar] [CrossRef]
- Platzer, M.; Kiese, S.; Herfellner, T.; Schweiggert-Weisz, U.; Eisner, P. How Does the Phenol Structure Influence the Results of the Folin-Ciocalteu Assay? Antioxidants 2021, 10, 811. [Google Scholar] [CrossRef] [PubMed]
- Platzer, M.; Kiese, S.; Tybussek, T.; Herfellner, T.; Schneider, F.; Schweiggert-Weisz, U.; Eisner, P. Radical Scavenging Mechanisms of Phenolic Compounds: A Quantitative Structure-Property Relationship (QSPR) Study. Front. Nutr. 2022, 9, 882458. [Google Scholar] [CrossRef]
- Mathew, S.; Abraham, T.E.; Zakaria, Z.A. Reactivity of phenolic compounds towards free radicals under in vitro conditions. J. Food Sci. Technol. 2015, 52, 5790–5798. [Google Scholar] [CrossRef] [PubMed]
- Islam, M.K.; Sostaric, T.; Lim, L.Y.; Hammer, K.; Locher, C. Sugar Profiling of Honeys for Authentication and Detection of Adulterants Using High-Performance Thin Layer Chromatography. Molecules 2020, 25, 5289. [Google Scholar] [CrossRef]
- Islam, M.K.; Sostaric, T.; Lim, L.Y.; Hammer, K.; Locher, C. A validated method for the quantitative determination of sugars in honey using high-performance thin-layer chromatography. JPC—J. Planar Chromatogr.—Mod. TLC 2020, 33, 489–499. [Google Scholar] [CrossRef]
- Islam, M.K.; Vinsen, K.; Sostaric, T.; Lim, L.Y.; Locher, C. Detection of syrup adulterants in manuka and jarrah honey using HPTLC-multivariate data analysis. PeerJ 2021, 9, e12186. [Google Scholar] [CrossRef]
- Shapla, U.M.; Solayman, M.; Alam, N.; Khalil, M.I.; Gan, S.H. 5-Hydroxymethylfurfural (HMF) levels in honey and other food products: Effects on bees and human health. Chem. Cent. J. 2018, 12, 35. [Google Scholar] [CrossRef]
- Gregorc, A.; Jurišić, S.; Sampson, B. Hydroxymethylfurfural Affects Caged Honey Bees (Apis mellifera carnica). Diversity 2020, 12, 18. [Google Scholar] [CrossRef]
- Biluca, F.C.; Della Betta, F.; De Oliveira, G.P.; Pereira, L.M.; Gonzaga, L.V.; Costa, A.C.O.; Fett, R. 5-HMF and carbohydrates content in stingless bee honey by CE before and after thermal treatment. Food Chem. 2014, 159, 244–249. [Google Scholar] [CrossRef] [PubMed]










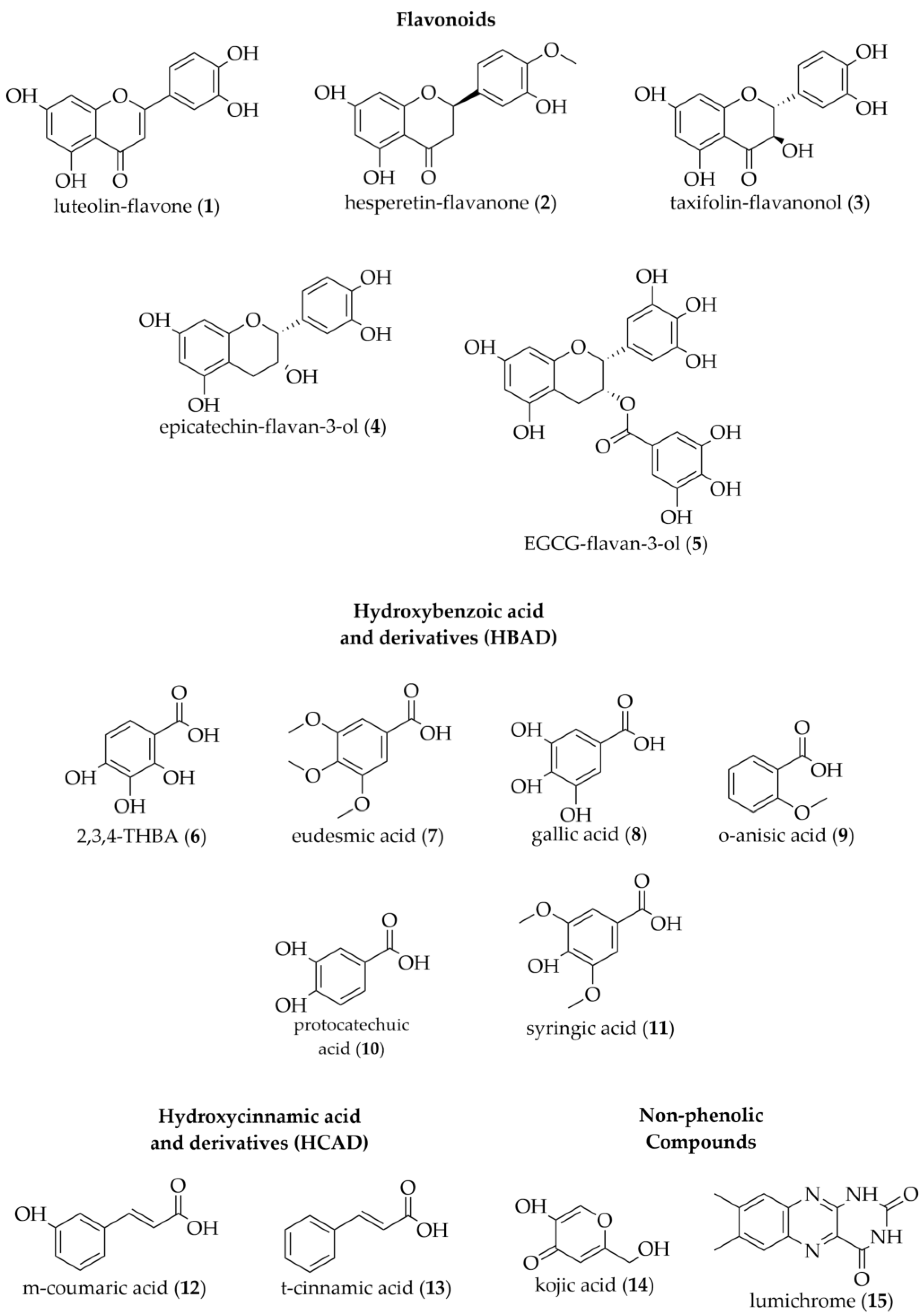
| Compound and Code | Purity (%) | Supplier | Mobile Phase | Concentration (µg/mL) | Rf | UV Detection (nm) | R2 | % Accuracy (n = 3) |
|---|---|---|---|---|---|---|---|---|
| Luteolin– Lut (1) | 97 | C | MPB | 12.5 | 0.375 | 352 | 0.998 | 97.4 |
| Hesperetin– Hesp (2) | 95 | C | MPB | 12.5 | 0.527 | 290 | 0.999 | 98.9 |
| Taxifolin– Tax (3) | 95 | E | MPB | 5 | 0.335 | 292 | 0.998 | 98.5 |
| Epicatechin– Epi (4) | 98 | D | MPB | 50 | 0.176 | 281 | 0.990 | 97.8 |
| Epigallocatechin gallate– EGCG (5) | 98 | B | MPB | 50 | 0.065 | 282 | 0.996 | 99.3 |
| 2,3,4-Trihydroxy benzoic acid– 2,3,4-THBA (6) | 98 | B | MPA | 25 | 0.589 | 267 | 1.000 | 98.4 |
| Eudesmic acid– EudA (7) | 98 | C | MPB | 50 | 0.478 | 264 | 0.991 | 95.8 |
| Gallic acid– GA (8) | NI | F | MPB | 25 | 0.27 | 272 | 0.997 | 98.9 |
| o-Anisic acid– o-AA (9) | NI | A | MPB | 25 | 0.44 | 299 | 1.000 | 98.9 |
| Protocatechuic acid– ProA (10) | 98 | C | MPB | 25 | 0.377 | 295 | 0.997 | 97.7 |
| Syringic acid– SyrA (11) | 98 | C | MPB | 25 | 0.395 | 277 | 0.998 | 96.3 |
| m-Coumaric acid– m-CoA (12) | 98 | C | MPB | 25 | 0.467 | 280 | 0.996 | 95.2 |
| t-Cinnamic acid– TCA (13) | 99 | C | MPB | 12.5 | 0.557 | 279 | 0.994 | 97.2 |
| Kojic acid– KA (14) | NI | A | MPB | 25 | 0.13 | 277 | 0.995 | 97.0 |
| Lumichrome– Lum (15) | NI | A | MPB | 10 | 0.266 | 357 | 0.993 | 97.5 |
| Name | Solvent System | Derivatising Agent |
|---|---|---|
| DB-1A | MPA | NP-PEG |
| DB-1B | MPA | VSA |
| DB-2A | MPB | NP-PEG |
| DB-2B | MPB | VSA |
| % DPPH RSA | Category | Inference |
|---|---|---|
| 0.0% | 0 | No activity |
| 1.0–33.3% | + | Low activity |
| 33.4–66.6% | ++ | Medium activity |
| 66.7–100.0% | +++ | High activity |
| Assay | Honey | Mean | Range | Minimum | Maximum |
|---|---|---|---|---|---|
| TPC (mg GAE/100 g) | Calothamnus spp. (Red Bell, n = 8) | 59.4 ± 7.91 | 27.48 | 48.09 | 75.56 |
| Agonis flexuosa (Coastal Peppermint, n = 5) | 36.08 ± 4.20 | 12.66 | 30.05 | 42.71 | |
| Corymbia calophylla (Marri, n = 13) | 29.15 ± 5.46 | 17.7 | 18.91 | 36.61 | |
| Eucalyptus marginata (Jarrah, n = 6) | 50.58 ± 3.76 | 9.85 | 46.24 | 56.09 | |
| FRAP (mmol Fe2+/kg) | Calothamnus spp. (Red Bell, n = 8) | 9.24 ± 1.68 | 4.90 | 6.76 | 11.66 |
| Agonis flexuosa (Coastal Peppermint, n = 5) | 5.45 ± 1.64 | 4.72 | 3.69 | 8.41 | |
| Corymbia calophylla (Marri, n = 13) | 4.48 ± 0.82 | 3.05 | 3.47 | 6.52 | |
| Eucalyptus marginata (Jarrah, n = 6) | 6.83 ± 1.38 | 3.61 | 5.20 | 8.81 | |
| DPPH mmol TE/kg | Calothamnus spp. (Red Bell, n = 8) | 3.88 ± 0.96 | 2.95 | 2.45 | 5.41 |
| Agonis flexuosa (Coastal Peppermint, n = 5) | 2.04 ± 0.57 | 1.61 | 1.45 | 3.06 | |
| Corymbia calophylla (Marri, n = 13) | 1.76 ± 0.58 | 2.35 | 1.01 | 3.36 | |
| Eucalyptus marginata (Jarrah, n = 6) | 2.3 ± 0.76 | 2.08 | 1.67 | 3.75 |
| Honey | Data-Base | Rf | Name and Code | Rf | UV DEV | % | UV NP | % | UV VS | % | Match |
|---|---|---|---|---|---|---|---|---|---|---|---|
| Calothamnus spp. (Red Bell) | 1A and 1B | 0.630 | none | ||||||||
| 0.570 | Daidzein (31) | 0.600 | 0.926 | 51.2 | 0.290 | 24.2 | 0.841 | 64.1 | Protocatechuic acid | ||
| 3,5-DHBA (39) | 0.594 | 0.744 | 23.1 | 0.476 | 38.0 | 0.819 | 47.0 | ||||
| Protocatechuic acid (55) | 0.577 | 0.998 | 100.0 | 0.978 | 75.8 | 0.707 | 61.2 | ||||
| Vanillic acid (59) | 0.623 | 0.993 | 45.5 | −0.127 | 15.4 | −0.117 | 42.7 | ||||
| 0.455 | none | ||||||||||
| 0.423 | EGCG (29) | 0.407 | 0.430 | 57.1 | 0.711 | 19.5 | 0.812 | 52.7 | EGCG | ||
| 0.382 | none | ||||||||||
| 0.327 | none | ||||||||||
| 0.299 | none | ||||||||||
| 0.226 | Kojic Acid (105) | 0.287 | 0.952 | 39.7 | 0.583 | 33.8 | −0.072 | 13.1 | Kojic Acid | ||
| 0.178 | none | ||||||||||
| 0.110 | none | ||||||||||
| 0.078 | none | ||||||||||
| 0.050 | none | ||||||||||
| 0.020 | none | ||||||||||
| 2A and 2B | 0.550 | m-Toluic Acid, (51) | 0.577 | 0.817 | 18.7 | −0.574 | 1.2 | −0.684 | 1.99 | t-Cinnamic acid | |
| o-Toluic Acid, (53) | 0.591 | 0.791 | 18.7 | 0.606 | 31.5 | −0.805 | 1.99 | ||||
| t-Cinnamic acid, (75) | 0.557 | 0.963 | 28.6 | −0.376 | 7.6 | 0.584 | 5.98 | ||||
| 0.515 | none | ||||||||||
| 0.465 | none | ||||||||||
| 0.410 | none | ||||||||||
| 0.335 | none | ||||||||||
| 0.185 | none | ||||||||||
| 0.380 | Protocatechuic acid (55) | 0.377 | 0.996 | 65.9 | 0.987 | 45.4 | 0.814 | 29.1 | Protocatechuic acid | ||
| 0.270 | Gallic acid (44) | 0.270 | 0.965 | 45.0 | 0.750 | 40.6 | 0.580 | 14.0 | Gallic acid | ||
| 0.115 | Kojic Acid (105) | 0.130 | 0.999 | 50.8 | 0.779 | 47.4 | 0.650 | 11.1 | Kojic Acid | ||
| 0.075 | none | ||||||||||
| 0.028 | none | ||||||||||
| Agonis flexuosa (Coastal Peppermint) | 1A and 1B | 0.692 | none | ||||||||
| 0.615 | Benzoic acid (40) | 0.663 | 0.892 | 26.4 | 0.647 | 96.7 | 0.364 | 11.7 | Syringic acid | ||
| Methyl syringate (48) | 0.610 | 0.936 | 44.0 | 0.829 | 25.4 | 0.738 | 70.5 | ||||
| Syringic acid (58) | 0.577 | 0.941 | 45.1 | 0.859 | 26.2 | 0.797 | 80.8 | ||||
| m-Coumaric acid (67) | 0.633 | 0.848 | 39.6 | 0.921 | 46.7 | −0.806 | 3.2 | ||||
| 0.588 | Luteolin (15) | 0.584 | 0.758 | 68.1 | 0.597 | 34.7 | 0.331 | 16.8 | Luteolin | ||
| 0.500 | Epicatechin (27) | 0.499 | 0.646 | 17.6 | 0.748 | 31.4 | 0.284 | 16.8 | Epicatechin | ||
| 0.460 | Lumichrome (107) | 0.464 | 0.837 | 67.5 | 0.832 | 32.7 | 0.253 | 20.2 | Lumichrome | ||
| 0.380 | EGCG (29) | 0.407 | 0.804 | 61.5 | 0.713 | 19.5 | 0.442 | 15.1 | EGCG | ||
| 0.265 | Kojic Acid (105) | 0.287 | 0.979 | 43.7 | 0.729 | 29.8 | 0.715 | 31.1 | Kojic Acid | ||
| 0.195 | none | ||||||||||
| 0.140 | none | ||||||||||
| 0.050 | none | ||||||||||
| 2A and 2B | 0.475 | 2,3,4-TMBA (37) | 0.453 | 0.883 | 23.1 | 0.631 | 17.1 | −0.620 | 8.3 | m-Coumaric acid | |
| Eudesmic acid (43) | 0.478 | 0.970 | 28.6 | 0.793 | 29.5 | 0.363 | 3.4 | ||||
| Methyl syringate (48) | 0.471 | 0.947 | 40.7 | 0.805 | 25.1 | 0.363 | 3.4 | ||||
| p-Hydroxybenzoic acid (54) | 0.462 | 0.784 | 20.9 | 0.596 | 10.0 | 0.589 | 14.2 | ||||
| m-Coumaric acid (67) | 0.467 | 0.866 | 80.2 | 0.906 | 24.3 | 0.918 | 7.7 | ||||
| 0.450 | none | ||||||||||
| 0.415 | Syringic acid (58) | 0.395 | 0.946 | 34.1 | 0.967 | 24.2 | 0.739 | 18.5 | Syringic acid | ||
| p-HPAA, HPAAD (82) | 0.427 | 0.742 | 13.2 | 0.702 | 11.0 | −0.827 | 19.9 | ||||
| DL-p-HPLA, HPLAD (84) | 0.444 | 0.777 | 15.4 | 0.750 | 14.3 | 0.490 | 29.9 | ||||
| 0.375 | Luteolin (8) | 0.372 | 0.911 | 71.3 | 0.597 | 66.5 | 0.781 | 28.5 | Luteolin | ||
| 0.325 | none | ||||||||||
| 0.266 | Lumichrome (107) | 0.266 | 0.613 | 63.4 | 0.638 | 12.7 | 0.796 | 33.3 | Lumichrome | ||
| 0.235 | none | ||||||||||
| 0.180 | Epicatechin (27) | 0.176 | 0.727 | 20.9 | 0.817 | 34.3 | −0.278 | 16.8 | Epicatechin | ||
| 0.105 | Kojic Acid (105) | 0.13 | 0.962 | 46.0 | 0.612 | 35.1 | 0.664 | 46.4 | Kojic Acid | ||
| 0.090 | EGCG (29) | 0.065 | 0.852 | 58.2 | 0.577 | 42.2 | −0.028 | 21.7 | EGCG | ||
| 0.050 | none | ||||||||||
| Corymbia calophylla (Marri) | 1A and 1B | 0.697 | none | ||||||||
| 0.620 | 2,3,4-TMBA (54) | 0.637 | 0.915 | 21.3 | −0.634 | 12.9 | −0.092 | 78.3 | Eudesmic acid | ||
| Eudesmic acid (94) | 0.602 | 0.983 | 46.7 | −0.339 | 26.7 | 0.161 | 32.8 | ||||
| p-Hydroxybenzoic acid (33) | 0.663 | 0.846 | 20.5 | −0.711 | 12.9 | −0.064 | 70.1 | ||||
| 0.600 | None | ||||||||||
| 0.550 | Luteolin (8) | 0.584 | 0.431 | 17.1 | 0.639 | 90.6 | 0.500 | 36.5 | Luteolin | ||
| 0.475 | Epicatechin (26) | 0.520 | 0.800 | 42.9 | 0.862 | 12.4 | 0.765 | 39.3 | Epicatechin | ||
| 0.375 | EGCG (29) | 0.407 | 0.791 | 79.1 | 0.679 | 14.3 | 0.653 | 45.6 | EGCG | ||
| 0.250 | Kojic Acid (105) | 0.241 | 0.926 | 98.9 | 0.711 | 23.5 | −0.061 | 25.9 | Kojic Acid | ||
| 0.259 | none | ||||||||||
| 0.216 | none | ||||||||||
| 0.186 | none | ||||||||||
| 0.156 | none | ||||||||||
| 0.115 | none | ||||||||||
| 0.105 | none | ||||||||||
| 0.052 | none | ||||||||||
| 0.025 | none | ||||||||||
| 0.012 | none | ||||||||||
| 2A and 2B | 0.470 | 2,3,4-TMBA (37) | 0.453 | 0.977 | 30.8 | 0.858 | 16.8 | 0.564 | 11.7 | Eudesmic acid | |
| Eudesmic acid (43) | 0.478 | 0.941 | 65.9 | 0.981 | 44.6 | 0.334 | 6.0 | ||||
| p-HBA (54) | 0.462 | 0.955 | 27.5 | 0.796 | 19.8 | 0.564 | 14.2 | ||||
| 0.426 | Methyl syringate (48) | 0.471 | 0.335 | 18.7 | 0.820 | 22.6 | 0.211 | 17.9 | m-Coumaric acid | ||
| o-Anisic acid (52) | 0.440 | −0.075 | 23.1 | 0.604 | 16.5 | 0.644 | 26.5 | ||||
| Syringic acid (58) | 0.395 | 0.350 | 18.7 | 0.841 | 23.3 | 0.751 | 20.5 | ||||
| m-Coumaric acid (67) | 0.467 | 0.180 | 68.1 | 0.918 | 42.1 | 0.758 | 8.0 | ||||
| DL-p-HPLA (84) | 0.444 | 0.319 | 9.9 | 0.641 | 11.3 | 0.601 | 36.5 | ||||
| 0.390 | Luteolin (8) | 0.372 | 0.574 | 23.9 | 0.033 | 31.5 | 0.887 | 34.2 | Luteolin | ||
| 0.346 | none | ||||||||||
| 0.300 | Taxifolin (25) | 0.335 | 0.758 | 29.5 | 0.759 | 70.1 | 0.661 | 8.5 | Taxifolin | ||
| 0.270 | Gallic acid (44) | 0.270 | 0.906 | 71.6 | 0.655 | 37.5 | 0.632 | 16.5 | Gallic acid | ||
| 0.186 | none | ||||||||||
| 0.150 | Epicatechin (27) | 0.176 | 0.774 | 19.8 | 0.751 | 35.7 | −0.345 | 35.9 | Epicatechin | ||
| 0.110 | Kojic Acid (105) | 0.130 | 0.960 | 38.9 | 0.339 | 32.5 | 0.633 | 27.6 | Kojic Acid | ||
| Eucalyptus marginata (Jarrah) | 1A and 1B | 0.633 | Genistein (33) | 0.633 | 0.959 | 59.6 | 0.769 | 31.6 | 0.432 | 40.5 | 2,3,4-THBA |
| 2,3,4-THBA (36) | 0.589 | 0.979 | 65.1 | 0.901 | 76.9 | 0.900 | 50.1 | ||||
| p-HBA (54) | 0.637 | 0.885 | 24.5 | −0.653 | 8.8 | 0.707 | 55.8 | ||||
| 0.562 | none | ||||||||||
| 0.538 | none | ||||||||||
| 0.471 | Lumichrome (107) | 0.471 | 0.278 | 59.7 | 0.090 | 18.7 | 0.592 | 50.5 | Lumichrome | ||
| 0.371 | EGCG (29) | 0.371 | 0.940 | 41.3 | 0.165 | 25.4 | 0.357 | 31.0 | EGCG | ||
| 0.320 | none | ||||||||||
| 0.250 | Kojic Acid (105) | 0.241 | 0.970 | 34.1 | 0.760 | 44.3 | 0.128 | 45.9 | Kojic Acid | ||
| 0.196 | none | ||||||||||
| 0.117 | none | ||||||||||
| 0.072 | none | ||||||||||
| 2A and 2B | 0.525 | Hesperetin (18) | 0.520 | 0.598 | 29.8 | 0.821 | 40.6 | −0.369 | 32.2 | Hesperetin | |
| 0.470 | Methyl syringate (48) | 0.471 | 0.912 | 35.5 | 0.346 | 36.8 | −0.060 | 16.0 | m-Coumaric acid | ||
| m-Coumaric acid (67) | 0.467 | 0.944 | 76.0 | 0.334 | 21.8 | 0.909 | 7.7 | ||||
| p-HPAA (82) | 0.427 | 0.709 | 14.0 | 0.137 | 18.0 | −0.867 | 8.8 | ||||
| DL-p-HPLA (84) | 0.444 | 0.690 | 14.0 | 0.627 | 60.2 | −0.722 | 23.1 | ||||
| Phloretic acid (87) | 0.46 | 0.704 | 14.0 | 0.641 | 37.6 | −0.538 | 3.1 | ||||
| 0.420 | o-Anisic acid (52) | 0.44 | 0.729 | 25.2 | 0.689 | 21.8 | 0.524 | 19.9 | o-Anisic acid | ||
| 0.375 | none | ||||||||||
| 0.320 | Taxifolin (25) | 0.335 | 0.600 | 63.9 | 0.800 | 71.8 | 0.661 | 8.5 | Taxifolin | ||
| 0.270 | Lumichrome (107) | 0.266 | 0.136 | 35.1 | 0.594 | 12.7 | 0.745 | 64.1 | Lumichrome | ||
| 0.130 | Kojic Acid (105) | 0.13 | 0.942 | 53.4 | 0.969 | 82.0 | 0.695 | 87.9 | Kojic Acid | ||
| 0.090 | EGCG (29) | 0.065 | 0.978 | 47.7 | 0.806 | 49.6 | −0.478 | 14.6 | EGCG |
| Compound (see Figure 5 for Structures) | Calothamnus spp. (Red Bell) | Agonis flexuosa (Coastal Peppermint) | Corymbia calophylla (Marri) | Eucalyptus marginata (Jarrah) |
|---|---|---|---|---|
| Luteolin (1) | - | 1.14 ± 0.00 | 1.50 ± 0.01 | - |
| Hesperitin (2) | - | - | - | 0.62 ± 0.01 |
| Taxifolin (3) | - | - | 1.40 ± 0.01 | 1.34 ± 0.00 |
| Epicatechin (4) | - | 6.90 ± 0.03 | 2.40 ± 0.03 | |
| EGCG (5) | 3.81 ± 0.01 | 2.45 ± 0.04 | 5.11 ± 0.03 | 5.61 ± 0.04 |
| 2,3,4-THBA (6) | - | - | - | 13.49 ± 0.16 |
| Eudesmic acid (7) | - | - | 3.25 ± 0.02 | - |
| Gallic acid (8) | 1.64 ± 0.00 | - | 5.84 ± 0.00 | - |
| o-Anisic acid (9) | - | - | 3.52 ± 0.04 | |
| Protocatechuic acid (10) | 5.09 ± 0.02 | - | - | - |
| Syringic acid (11) | - | 1.47 ± 0.02 | - | - |
| m-Coumaric acid (12) | - | 0.58 ± 0.02 | 0.54 ± 0.02 | 0.72 ± 0.01 |
| t-Cinnamic acid (13) | 0.003 ± 0.00 | - | - | - |
| Kojic acid (14) | 3.64 ± 0.00 | 2.88 ± 0.02 | 1.32 ± 0.01 | 0.64 ± 0.01 |
| Lumichrome (15) | - | 1.94 ± 0.01 | - | 1.03 ± 0.00 |
| Sample | Conc. (µg/mL) | H° | %RSA | R2 | ||||||||
|---|---|---|---|---|---|---|---|---|---|---|---|---|
| Volume Application (µL) | Volume Application (µL) | |||||||||||
| 5 | 6.2 | 7.4 | 8.6 | 9.8 | 5 | 6.2 | 7.4 | 8.6 | 9.8 | |||
| Plate (unreacted DPPH) | 0.0 | 335.0 | 335.0 | 335.0 | 335.0 | 335.0 | 0 | 0 | 0 | 0 | 0 | NA |
| Luteolin (1) | 12.5 | 347.9 | 358.5 | 3.8 | 11.6 | 15.9 | 19.8 | 36.2 | 44.3 | 56.3 | 62.9 | 0.979 |
| Epicatechin (4) | 50.0 | 22.7 | 29.2 | 32.3 | 35.6 | 36.2 | 73.4 | 83.4 | 88.2 | 93.2 | 94.2 | 0.916 |
| Epigallocatechin gallate (5) | 50.0 | 27.0 | 29.3 | 33.2 | 35.0 | 36.5 | 80.0 | 83.5 | 89.5 | 92.3 | 94.6 | 0.972 |
| Gallic acid (8) | 25.0 | 23.0 | 31.5 | 34.0 | 35.9 | 38.3 | 73.8 | 86.9 | 90.8 | 93.7 | 97.4 | 0.883 |
| Protocatechuic acid (10) | 25.0 | 28.8 | 32.7 | 34.6 | 34.8 | 35.0 | 82.8 | 88.8 | 91.7 | 92.0 | 92.3 | 0.768 |
| m-Coumaric acid (12) | 25.0 | 349.9 | 352.6 | 353.9 | 354.1 | 359.2 | 22.9 | 27.1 | 29.1 | 29.4 | 37.2 | 0.984 |
| Kojic acid (14) | 25.0 | 1.5 | 6.3 | 10.6 | 12.7 | 14.3 | 40.8 | 48.2 | 54.8 | 58.0 | 60.5 | 0.950 |
| Sample | Rf | Match Compounds | H° | % RSA | Category | % AVE |
|---|---|---|---|---|---|---|
| Baseline | NA | NA | 335.0 | 0.0 | 0 | 0 |
| Gallic acid (8) | NA | NA | 38.3 | 97.4 | +++ | 97.4 |
| Calothamnus spp. (Red Bell) | 0.562 | t-CA | 335.0 | 0.0 | 0 | 33.6 |
| 0.505 | - | 342.6 | 11.7 | + | ||
| 0.450 | - | 344.6 | 14.8 | + | ||
| 0.390 | ProA | 37.9 | 96.8 | +++ | ||
| 0.281 | GA | 339.1 | 6.3 | + | ||
| 0.246 | - | 337.2 | 3.4 | + | ||
| 0.207 | - | 340.6 | 8.6 | + | ||
| 0.174 | - | 338.7 | 5.7 | + | ||
| 0.115 | KA | 14.5 | 60.8 | ++ | ||
| 0.000 | - | 36.3 | 94.3 | +++ | ||
| Agonis flexuosa (Coastal Peppermint) | 0.473 | m-CoA | 342.3 | 11.2 | + | 18.4 |
| 0.420 | SyrA | 335.0 | 0.0 | 0 | ||
| 0.395 | Lut | 344.4 | 14.5 | + | ||
| 0.352 | - | 336.9 | 2.9 | + | ||
| 0.279 | Lum | 337.1 | 3.2 | + | ||
| 0.187 | Epi | 337.6 | 4.0 | + | ||
| 0.114 | - | 337.7 | 4.2 | + | ||
| 0.100 | KA | 344.8 | 15.1 | + | ||
| 0.090 | EGCG | 344.8 | 15.1 | + | ||
| 0.000 | - | 37.3 | 95.8 | +++ | ||
| Corymbia calophylla (Marri) | 0.484 | EudA | 336.1 | 1.7 | + | 18.2 |
| 0.444 | m-CoA | 340.9 | 9.1 | + | ||
| 0.391 | Lut | 7.6 | 50.2 | ++ | ||
| 0.313 | Tax | 342.5 | 11.5 | + | ||
| 0.275 | GA | 337.4 | 3.7 | + | ||
| 0.260 | - | 337.2 | 3.4 | + | ||
| 0.212 | - | 337.6 | 4.0 | + | ||
| 0.179 | Epi | 337.6 | 4.0 | + | ||
| 0.146 | - | 339.1 | 6.3 | + | ||
| 0.105 | KA | 343.9 | 13.7 | + | ||
| 0.00 | - | 35.2 | 92.6 | +++ | ||
| Eucalyptus marginata (Jarrah) | 0.530 | Hesp | 335.0 | 0.0 | 0 | 21.1 |
| 0.455 | o-AA | 344.3 | 14.3 | + | ||
| 0.420 | m-CoA | 335.0 | 0.0 | 0 | ||
| 0.391 | - | 8.3 | 51.2 | ++ | ||
| 0.322 | Tax | 336.1 | 1.7 | + | ||
| 0.282 | Lum | 336.3 | 2.0 | + | ||
| 0.254 | - | 339.1 | 6.3 | + | ||
| 0.220 | - | 336.6 | 2.5 | + | ||
| 0.189 | - | 336.6 | 2.5 | + | ||
| 0.147 | - | 337.6 | 4.0 | + | ||
| 0.117 | - | 339.4 | 6.8 | + | ||
| 0.100 | KA | 351.6 | 25.5 | + | ||
| 0.083 | EGCG | 350.3 | 23.5 | + | ||
| 0.024 | - | 350.8 | 24.3 | + | ||
| 0.00 | - | 32.3 | 88.2 | +++ |
| Compound and Code | Sample Applied (ng) | H° | % RSA | Category | Sample Applied (ng) | H° | % RSA | Category | No. of OH | Bors Criteria | Remarks |
|---|---|---|---|---|---|---|---|---|---|---|---|
| background (plate) | 0 | 336.6 | 0.0 | 0 | 0 | 336.6 | 0.0 | 0 | NA | NA | NA |
| Luteolin (1) | 87.5 | 336.7 | 2.6 | + | 350 | 20.3 | 69.7 | ++ | NA | 1 | Active |
| Hesperetin (2) | 87.5 | 334.0 | −1.5 | 0 | 700 | 356.9 | 31.2 | + | 3 | None | Active |
| Taxifolin (3) | 35 | 340.6 | 8.6 | + | 140 | 2.4 | 42.2 | ++ | NA | 1,3 | Active |
| Epicatechin (4) | 350 | 33.1 | 89.4 | +++ | 700 | 37.1 | 95.5 | +++ | NA | 1 | Active |
| Epigallocatechin gallate (5) | 350 | 28.7 | 82.6 | +++ | 700 | 36.8 | 95.1 | +++ | NA | 1 | Active |
| 2,3,4-Trihydroxy benzoic acid (6) | 175 | 345 | 15.4 | + | 700 | 28.9 | 85.8 | + | 3 | NA | Active |
| Eudesmic acid (7) | 350 | 333.7 | −2.0 | 0 | 1400 | 336.6 | 0.0 | 0 | 0 | NA | Inactive |
| Gallic acid (8) | 175 | 354.1 | 29.4 | + | 700 | 38.2 | 97.2 | +++ | 3 | NA | Active |
| o-Anisic acid (9) | 175 | 333.7 | −2.0 | 0 | 700 | 334.5 | −3.2 | 0 | 0 | NA | Inactive |
| Protocatechuic acid (10) | 175 | 10.4 | 54.5 | ++ | 700 | 34.6 | 91.7 | +++ | 2 | NA | Active |
| Syringic acid (11) | 175 | 340.6 | 8.6 | + | 700 | 31.8 | 87.4 | +++ | 1 | NA | Active |
| m-Coumaric acid (12) | 175 | 336.6 | 2.5 | + | 700 | 352.9 | 25.1 | + | 1 | NA | Active |
| t-Cinnamic acid (13) | 87.5 | 334.0 | −1.5 | 0 | 700 | 337.2 | 0.9 | + | 0 | NA | Inactive |
| Kojic acid (14) | 175 | 344.6 | 14.8 | + | 700 | 11.6 | 56.3 | ++ | 1 | NA | Active |
| Lumichrome (15) | 35 | 333.7 | −2.0 | 0 | 140 | 336.6 | 0.0 | 0 | 0 | NA | Inactive |
Disclaimer/Publisher’s Note: The statements, opinions and data contained in all publications are solely those of the individual author(s) and contributor(s) and not of MDPI and/or the editor(s). MDPI and/or the editor(s) disclaim responsibility for any injury to people or property resulting from any ideas, methods, instructions or products referred to in the content. |
© 2023 by the authors. Licensee MDPI, Basel, Switzerland. This article is an open access article distributed under the terms and conditions of the Creative Commons Attribution (CC BY) license (https://creativecommons.org/licenses/by/4.0/).
Share and Cite
Lawag, I.L.; Islam, M.K.; Sostaric, T.; Lim, L.Y.; Hammer, K.; Locher, C. Antioxidant Activity and Phenolic Compound Identification and Quantification in Western Australian Honeys. Antioxidants 2023, 12, 189. https://doi.org/10.3390/antiox12010189
Lawag IL, Islam MK, Sostaric T, Lim LY, Hammer K, Locher C. Antioxidant Activity and Phenolic Compound Identification and Quantification in Western Australian Honeys. Antioxidants. 2023; 12(1):189. https://doi.org/10.3390/antiox12010189
Chicago/Turabian StyleLawag, Ivan Lozada, Md Khairul Islam, Tomislav Sostaric, Lee Yong Lim, Katherine Hammer, and Cornelia Locher. 2023. "Antioxidant Activity and Phenolic Compound Identification and Quantification in Western Australian Honeys" Antioxidants 12, no. 1: 189. https://doi.org/10.3390/antiox12010189
APA StyleLawag, I. L., Islam, M. K., Sostaric, T., Lim, L. Y., Hammer, K., & Locher, C. (2023). Antioxidant Activity and Phenolic Compound Identification and Quantification in Western Australian Honeys. Antioxidants, 12(1), 189. https://doi.org/10.3390/antiox12010189

