Exogenously Applied Rohitukine Inhibits Photosynthetic Processes, Growth and Induces Antioxidant Defense System in Arabidopsis thaliana
Abstract
:1. Introduction
2. Material and Methods
2.1. Source Plant Material, Extraction, Fractionation and Isolation of Pure Compounds
2.2. Plant Material and Growth Conditions of A. thaliana
2.3. Rohitukine Treatment for A. thaliana
2.4. Determination of Rohitukine Content in A. thaliana
2.5. Measurement of Leaf Area and Plant Weight
2.6. Photosystem II Activity
2.7. Photosynthetic Pigment Quantification
2.8. Histochemical Detection of ROS
2.9. The Activity of Antioxidant Enzymes
2.10. RNA Extraction, cDNA Synthesis and qRT-PCR
2.11. Metabolite Extraction and Enrichment Analysis
3. Results
3.1. Qualitative and Quantitative Assessment of Isolated Rohitukine
3.2. Determination of Rohitukine Uptake by A. thaliana
3.3. Effect of Rohitukine on Plant Morphology
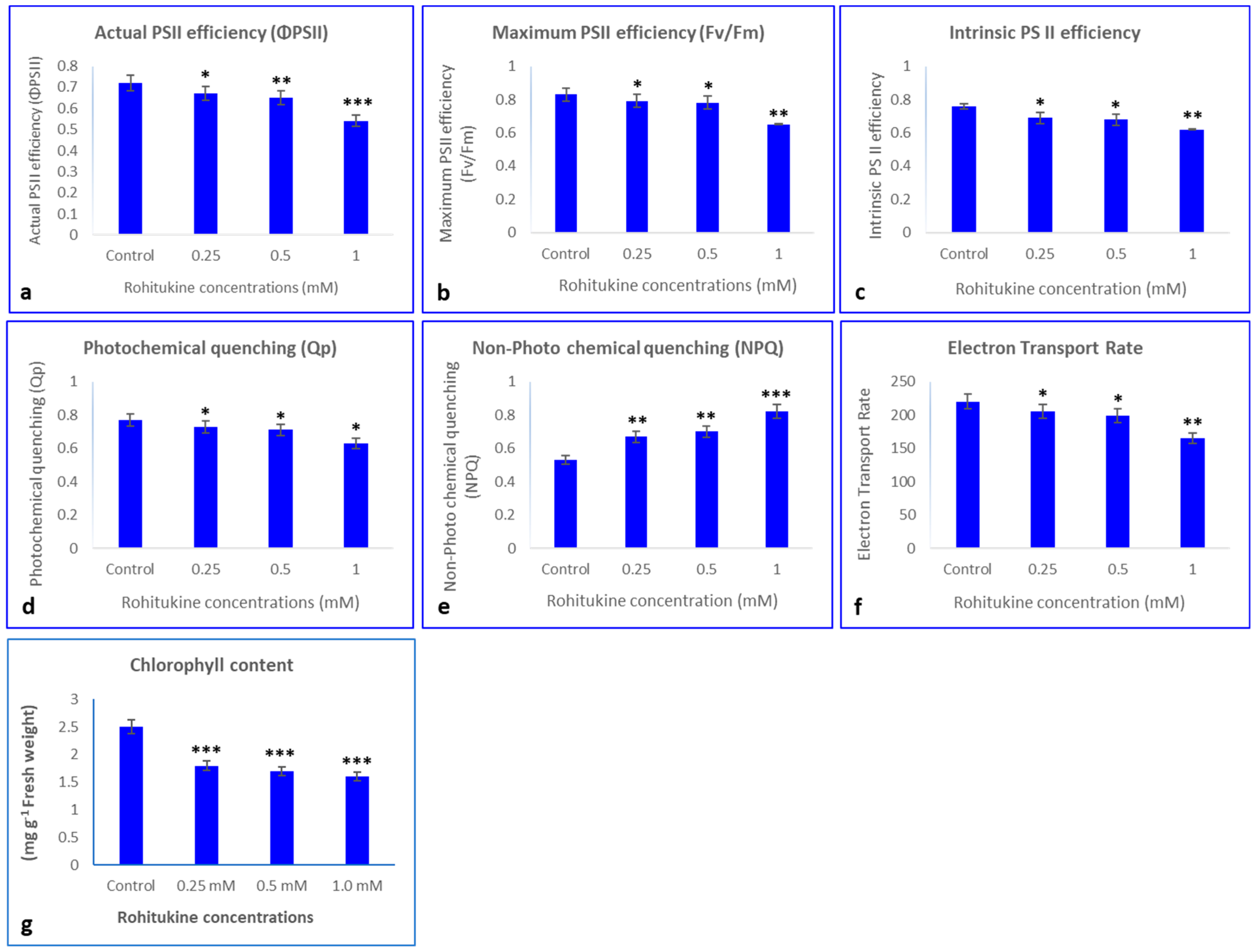
3.4. Influence of Rohitukine on Chlorophyll Content and PSII Activity
3.5. Accumulation of O2− and H2O2 in A. thaliana Plants in Response to Rohitukine
3.6. Effect of Rohitukine on Antioxidant Enzyme Activity
3.7. Effect of Rohitukine on the Expression of Key Genes Involved in the Antioxidant System
3.8. Metabolite Profiling
4. Discussion
5. Conclusions
Author Contributions
Funding
Institutional Review Board Statement
Informed Consent Statement
Data Availability Statement
Acknowledgments
Conflicts of Interest
References
- Akula, R.; Ravishankar, G.A. Influence of abiotic stress signals on secondary metabolites in plants. Plant Signal. Behav. 2011, 6, 1720–1731. [Google Scholar] [CrossRef] [PubMed]
- Jan, R.; Asaf, S.; Numan, M.; Kim, K.-M. Plant secondary metabolite biosynthesis and transcriptional regulation in response to biotic and abiotic stress conditions. Agronomy 2021, 11, 968. [Google Scholar] [CrossRef]
- Aftab, T. A review of medicinal and aromatic plants and their secondary metabolites status under abiotic stress. J. Med. Plant. 2019, 7, 99–106. [Google Scholar]
- Varma, V. Advancements in the production of secondary metabolites. J. Nat. Prod. 2010, 3, 112–123. [Google Scholar]
- Jain, C.; Khatana, S.; Vijayvergia, R. Bioactivity of secondary metabolites of various plants: A review. Int. J. Pharm. Sci. Res. 2019, 10, 494–504. [Google Scholar]
- Kabera, J.N.; Semana, E.; Mussa, A.R.; He, X. Plant secondary metabolites: Biosynthesis, classification, function and pharmacological properties. J. Pharm. Pharmacol. 2014, 2, 377–392. [Google Scholar]
- Buckingham, J.; Baggaley, K.H.; Roberts, A.D.; Szabo, L.F. Dictionary of Alkaloids with CD-ROM.; CRC Press: Boca Raton, FL, USA, 2010. [Google Scholar]
- Houghton, P.; Hairong, Y. Further chromone alkaloids from Schumanniophyton magnificum. Planta Med. 1987, 53, 262–264. [Google Scholar] [CrossRef]
- Harmon, A.D.; Weiss, U.; Silverton, J. The structure of rohitukine, the main alkaloid of Amoora rohituka (syn. Aphanamixis polystachya) (Meliaceae). Tetrahedron Lett. 1979, 20, 721–724. [Google Scholar] [CrossRef]
- Kumar, V.; Guru, S.K.; Jain, S.K.; Joshi, P.; Gandhi, S.G.; Bharate, S.B.; Bhushan, S.; Bharate, S.S.; Vishwakarma, R.A. A chromatography-free isolation of rohitukine from leaves of Dysoxylum binectariferum: Evaluation for in vitro cytotoxicity, Cdk inhibition and physicochemical properties. Bioorg. Med. Chem. Lett. 2016, 26, 3457–3463. [Google Scholar] [CrossRef]
- Jain, S.K.; Meena, S.; Qazi, A.K.; Hussain, A.; Bhola, S.K.; Kshirsagar, R.; Pari, K.; Khajuria, A.; Hamid, A.; Shaanker, R.U. Isolation and biological evaluation of chromone alkaloid dysoline, a new regioisomer of rohitukine from Dysoxylum binectariferum. Tetrahedron Lett. 2013, 54, 7140–7143. [Google Scholar] [CrossRef]
- Kumara, P.M.; Soujanya, K.; Ravikanth, G.; Vasudeva, R.; Ganeshaiah, K.; Shaanker, R.U. Rohitukine, a chromone alkaloid and a precursor of flavopiridol, is produced by endophytic fungi isolated from Dysoxylum binectariferum Hook. f and Amoora rohituka (Roxb). Wight & Arn. Phytomedicine 2014, 21, 541–546. [Google Scholar] [CrossRef] [PubMed]
- Simpson, M.G. Diversity and classification of flowering plants: Eudicots. Plant Syst. 2019, 285–466. [Google Scholar] [CrossRef]
- Arya, D.; Goel, S.; Shinde, P.; Joshi, G.; Sharma, O.R.; Sharma, S. Dysoxylum binacteriferum Hook. F.: A promising herbal drug used in folk medicine by Tharu community of Uttarakhand. World J. Pharmaceut Res 2017, 6, 296–301. [Google Scholar] [CrossRef] [Green Version]
- Mahajan, V.; Sharma, N.; Kumar, S.; Bhardwaj, V.; Ali, A.; Khajuria, R.; Bedi, Y.; Vishwakarma, R.A.; Gandhi, S.G. Production of rohitukine in leaves and seeds of Dysoxylum binectariferum: An alternate renewable resource. Pharm. Biol. 2015, 53, 446–450. [Google Scholar] [CrossRef] [Green Version]
- Kamil, M.; Jadiya, P.; Sheikh, S.; Haque, E.; Nazir, A.; Lakshmi, V.; Mir, S.S. The chromone alkaloid, rohitukine, affords anti-cancer activity via modulating apoptosis pathways in A549 cell line and yeast mitogen activated protein kinase (MAPK) pathway. PLoS ONE 2015, 10, e0137991. [Google Scholar] [CrossRef]
- Wang, H. Flavopiridol. National Cancer Institute. Curr. Opin. Investig. Drugs 2001, 2, 1149–1155. [Google Scholar]
- Hallek, M.; Pflug, N. State of the art treatment of chronic lymphocytic leukaemia. Blood Rev. 2011, 25, 1–9. [Google Scholar] [CrossRef]
- Carlson, B.A.; Dubay, M.M.; Sausville, E.A.; Brizuela, L.; Worland, P.J. Flavopiridol induces G1 arrest with inhibition of cyclin-dependent kinase (CDK) 2 and CDK4 in human breast carcinoma cells. Cancer Res. 1996, 56, 2973–2978. [Google Scholar]
- Manohar, S.M.; Joshi, K.S. Promising Anticancer Activity of Multitarget Cyclin Dependent Kinase Inhibitors against Human Colorectal Carcinoma Cells. Curr. Mol. Pharmacol. 2022. [Google Scholar] [CrossRef]
- Mintoo, M.; Khan, S.; Wani, A.; Malik, S.; Bhurta, D.; Bharate, S.; Malik, F.; Mondhe, D. A rohitukine derivative IIIM-290 induces p53 dependent mitochondrial apoptosis in acute lymphoblastic leukemia cells. Mol. Carcinog. 2021, 60, 671–683. [Google Scholar] [CrossRef]
- Bharate, S.B.; Kumar, V.; Jain, S.K.; Mintoo, M.J.; Guru, S.K.; Nuthakki, V.K.; Sharma, M.; Bharate, S.S.; Gandhi, S.G.; Mondhe, D.M. Discovery and preclinical development of IIIM-290, an orally active potent cyclin-dependent kinase inhibitor. J. Med. Chem. 2018, 61, 1664–1687. [Google Scholar] [CrossRef] [PubMed]
- Inderjit; Nilsen, E.T. Bioassays and field studies for allelopathy in terrestrial plants: Progress and problems. Crit. Rev. Plant Sci. 2003, 22, 221–238. [Google Scholar] [CrossRef]
- Callaway, R.M.; Aschehoug, E.T. Invasive plants versus their new and old neighbors: A mechanism for exotic invasion. Science 2000, 290, 521–523. [Google Scholar] [CrossRef] [PubMed]
- Hussein, R.A.; El-Anssary, A.A. Plants secondary metabolites: The key drivers of the pharmacological actions of medicinal plants. In Herbal Medicine; Builders, P.F., Ed.; IntechOpen: London, UK, 2019; Volume 1, p. 13. [Google Scholar]
- Velu, G.; Palanichamy, V.; Rajan, A.P. Phytochemical and pharmacological importance of plant secondary metabolites in modern medicine. In Bioorganic Phase in Natural Food: An Overview; Springer: Berlin/Heidelberg, Germany, 2018; pp. 135–156. [Google Scholar] [CrossRef]
- Yu, J.Q.; Ye, S.F.; Zhang, M.F.; Hu, W.H. Effects of root exudates and aqueous root extracts of cucumber (Cucumis sativus) and allelochemicals, on photosynthesis and antioxidant enzymes in cucumber. Biochem. Syst. Ecol. 2003, 31, 129–139. [Google Scholar] [CrossRef]
- Fengzhi, W.; Kai, P.; Fengming, M.; Xuedong, W. Effects of Cinnamic Acid on Photosynthesis and Cell Ultrastructure ofCucumber Seedling. Acta Hortic. Sin. 2004, 31, 183. [Google Scholar]
- Meazza, G.; Scheffler, B.E.; Tellez, M.R.; Rimando, A.M.; Romagni, J.G.; Duke, S.O.; Nanayakkara, D.; Khan, I.A.; Abourashed, E.A.; Dayan, F.E. The inhibitory activity of natural products on plant p-hydroxyphenylpyruvate dioxygenase. Phytochemistry 2002, 60, 281–288. [Google Scholar] [CrossRef]
- Sampaio, O.M.; Vieira, L.C.C.; Bellete, B.S.; King-Diaz, B.; Lotina-Hennsen, B.; Da Silva, M.F.d.G.F.; Veiga, T.A.M. Evaluation of alkaloids isolated from Ruta graveolens as photosynthesis inhibitors. Molecules 2018, 23, 2693. [Google Scholar] [CrossRef] [Green Version]
- Sampaio, O.M.; de Castro Lima, M.M.; Veiga, T.A.M.; King-Díaz, B.; Lotina-Hennsen, B. Evaluation of antidesmone alkaloid as a photosynthesis inhibitor. Pestic. Biochem. Physiol. 2016, 134, 55–62. [Google Scholar] [CrossRef]
- Hazrati, H.; Saharkhiz, M.J.; Niakousari, M.; Moein, M. Natural herbicide activity of Satureja hortensis L. essential oil nanoemulsion on the seed germination and morphophysiological features of two important weed species. Ecotoxicol. Environ. Saf. 2017, 142, 423–430. [Google Scholar] [CrossRef]
- Weir, T.L.; Park, S.-W.; Vivanco, J.M. Biochemical and physiological mechanisms mediated by allelochemicals. Curr. Opin. Plant Biol. 2004, 7, 472–479. [Google Scholar] [CrossRef]
- Wang, C.-M.; Chen, H.-T.; Li, T.-C.; Weng, J.-H.; Jhan, Y.-L.; Lin, S.-X.; Chou, C.-H. The role of pentacyclic triterpenoids in the allelopathic effects of Alstonia scholaris. J. Chem. Ecol. 2014, 40, 90–98. [Google Scholar] [CrossRef] [PubMed]
- Das, K.; Roychoudhury, A. Reactive oxygen species (ROS) and response of antioxidants as ROS-scavengers during environmental stress in plants. Front. Environ. Sci. 2014, 2, 53. [Google Scholar] [CrossRef] [Green Version]
- Triantaphylides, C.; Krischke, M.; Hoeberichts, F.A.; Ksas, B.; Gresser, G.; Havaux, M.; Van Breusegem, F.; Mueller, M.J. Singlet oxygen is the major reactive oxygen species involved in photooxidative damage to plants. Plant Physiol. 2008, 148, 960–968. [Google Scholar] [CrossRef] [PubMed] [Green Version]
- Sharma, P.; Jha, A.B.; Dubey, R.S.; Pessarakli, M. Reactive oxygen species, oxidative damage, and antioxidative defense mechanism in plants under stressful conditions. J. Bot. 2012, 2012, 217037. [Google Scholar] [CrossRef] [Green Version]
- Bais, H.P.; Vepachedu, R.; Gilroy, S.; Callaway, R.M.; Vivanco, J.M. Allelopathy and exotic plant invasion: From molecules and genes to species interactions. Science 2003, 301, 1377–1380. [Google Scholar] [CrossRef]
- Ding, J.; Sun, Y.; Xiao, C.L.; Shi, K.; Zhou, Y.H.; Yu, J.Q. Physiological basis of different allelopathic reactions of cucumber and figleaf gourd plants to cinnamic acid. J. Exp. Bot. 2007, 58, 3765–3773. [Google Scholar] [CrossRef]
- Zeng, R.S.; Luo, S.M.; Shi, Y.H.; Shi, M.B.; Tu, C.Y. Physiological and biochemical mechanism of allelopathy of secalonic acid F on higher plants. Agron. J. 2001, 93, 72–79. [Google Scholar] [CrossRef] [Green Version]
- Zuo, S.; Ma, Y.; Ye, L. In vitro assessment of allelopathic effects of wheat on potato. Allelopath. J 2012, 30, 1–10. [Google Scholar]
- Bhattacharya, T.; Dutta, S.; Akter, R.; Rahman, M.; Karthika, C.; Nagaswarupa, H.P.; Murthy, H.C.A.; Fratila, O.; Brata, R.; Bungau, S. Role of Phytonutrients in Nutrigenetics and Nutrigenomic Perspective in Curing Breast Cancer. Biomolecules 2021, 11, 1176. [Google Scholar] [CrossRef]
- Kumar, V.; Bharate, S.S.; Vishwakarma, R.A. Modulating lipophilicity of rohitukine via prodrug approach: Preparation, characterization, and in vitro enzymatic hydrolysis in biorelevant media. Eur. J. Pharm. Sci. 2016, 92, 203–211. [Google Scholar] [CrossRef]
- Lindsey III, B.E.; Rivero, L.; Calhoun, C.S.; Grotewold, E.; Brkljacic, J. Standardized method for high-throughput sterilization of Arabidopsis seeds. J. Vis. Exp. 2017, 128, e56587. [Google Scholar] [CrossRef] [PubMed] [Green Version]
- Chhonker, Y.S.; Chandasana, H.; Kumar, A.; Kumar, D.; Laxman, T.S.; Mishra, S.K.; Balaramnavar, V.M.; Srivastava, S.; Saxena, A.K.; Bhatta, R.S. Pharmacokinetics, tissue distribution and plasma protein binding studies of rohitukine: A potent anti-hyperlipidemic agent. Drug Res. 2015, 65, 380–387. [Google Scholar] [CrossRef] [PubMed]
- Easlon, H.M.; Bloom, A.J. Easy Leaf Area: Automated digital image analysis for rapid and accurate measurement of leaf area. Appl. Plant Sci. 2014, 2, 1400033. [Google Scholar] [CrossRef] [PubMed]
- Krall, J.P.; Edwards, G.E. Relationship between photosystem II activity and CO2 fixation in leaves. Physiol. Plant. 1992, 86, 180–187. [Google Scholar] [CrossRef]
- Arnon, D.I. Copper enzymes in isolated chloroplasts. Polyphenoloxidase in Beta vulgaris. Plant Physiol. 1949, 24, 1. [Google Scholar] [CrossRef] [PubMed] [Green Version]
- Shi, J.; Fu, X.-Z.; Peng, T.; Huang, X.-S.; Fan, Q.-J.; Liu, J.-H. Spermine pretreatment confers dehydration tolerance of citrus in vitro plants via modulation of antioxidative capacity and stomatal response. Tree Physiol. 2010, 30, 914–922. [Google Scholar] [CrossRef]
- Asgher, M.; Khan, N.A.; Khan, M.I.R.; Fatma, M.; Masood, A. Ethylene production is associated with alleviation of cadmium-induced oxidative stress by sulfur in mustard types differing in ethylene sensitivity. Ecotoxicol. Environ. Saf. 2014, 106, 54–61. [Google Scholar] [CrossRef]
- Livak, K.J.; Schmittgen, T.D. Analysis of relative gene expression data using real-time quantitative PCR and the 2−ΔΔCT method. Methods 2001, 25, 402–408. [Google Scholar] [CrossRef]
- Lisec, J.; Schauer, N.; Kopka, J.; Willmitzer, L.; Fernie, A.R. Gas chromatography mass spectrometry–based metabolite profiling in plants. Nat. Prot. 2006, 1, 387–396. [Google Scholar] [CrossRef]
- Pang, Z.; Chong, J.; Zhou, G.; de Lima Morais, D.A.; Chang, L.; Barrette, M.; Gauthier, C.; Jacques, P.-É.; Li, S.; Xia, J. MetaboAnalyst 5.0: Narrowing the gap between raw spectra and functional insights. Nucleic Acids Res. 2021, 49, W388–W396. [Google Scholar] [CrossRef]
- Kumara, P.M.; Srimany, A.; Ravikanth, G.; Shaanker, R.U.; Pradeep, T. Ambient ionization mass spectrometry imaging of rohitukine, a chromone anti-cancer alkaloid, during seed development in Dysoxylum binectariferum Hook. f (Meliaceae). Phytochemistry 2015, 116, 104–110. [Google Scholar] [CrossRef] [PubMed]
- Hama, J.R.; Jorgensen, D.B.G.; Diamantopoulos, E.; Bucheli, T.D.; Hansen, H.C.B.; Strobel, B.W. Indole and quinolizidine alkaloids from blue lupin leach to agricultural drainage water. Sci. Total Environ. 2022, 834, 155283. [Google Scholar] [CrossRef] [PubMed]
- Hama, J.R.; Strobel, B.W. Natural alkaloids from narrow-leaf and yellow lupins transfer to soil and soil solution in agricultural fields. Environ. Sci. Eur. 2020, 32, 126. [Google Scholar] [CrossRef]
- Islam, A.M.; Kato-Noguchi, H. Plant growth inhibitory activity of medicinal plant Hyptis suaveolens: Could allelopathy be a cause? Emir. J. Food Agric. 2013, 25, 692–701. [Google Scholar] [CrossRef] [Green Version]
- Isah, T. Stress and defense responses in plant secondary metabolites production. Biol. Res. 2019, 52, 39. [Google Scholar] [CrossRef] [PubMed] [Green Version]
- Singh, A.; Wazir, P.; Chibber, P.; Kapoor, N.; Gautam, A. Re-Validation of New Develop Highly Sensitive, Simple LCMS/MS Method for the Estimation of Rohitukine and its Application in ADME/Pre-Clinical Pharmacokinetics. Mass Spectrom. Purif. Tech. 2017, 3, 2. [Google Scholar] [CrossRef]
- Khalipha, A.B.R.; Bagchi, R.; Hossain, M.S.; Mondal, M.; Biswas, S.; Ray, P.; Smrity, S.Z.; Asha, U.H. A Literature Based Review on Rohitukine and Molecular Docking Studies of Flavopiridol (Rohitukine Derived) and Its Derivatives against Cyclin-Dependent Kinases (CDKs) for Anticancer Activity. Int. J. Sci. Res. 2019, 01, 15–28. [Google Scholar]
- Shitan, N.; Yazaki, K. Accumulation and membrane transport of plant alkaloids. Curr. Pharm. Biotechnol. 2007, 8, 244–252. [Google Scholar] [CrossRef]
- Reigosa, M.; Pazos-Malvido, E. Phytotoxic effects of 21 plant secondary metabolites on Arabidopsis thaliana germination and root growth. J. Chem. Ecol. 2007, 33, 1456–1466. [Google Scholar] [CrossRef]
- Jose, S.; Gillespie, A.R. Allelopathy in black walnut (Juglans nigra L.) alley cropping. II. Effects of juglone on hydroponically grown corn (Zea maysl.) and soybean (Glycine maxl. Merr.) growth and physiology. Plant Soil 1998, 203, 199–206. [Google Scholar] [CrossRef]
- Janovicek, K.J.; Vyn, T.J.; Voroney, R.P. No-till corn response to crop rotation and in-row residue placement. Agron. J. 1997, 89, 588–596. [Google Scholar] [CrossRef]
- Hussain, M.I.; Reigosa, M.J. Secondary metabolites, ferulic acid and p-hydroxybenzoic acid induced toxic effects on photosynthetic process in Rumex acetosa L. Biomolecules 2021, 11, 233. [Google Scholar] [CrossRef] [PubMed]
- Hussain, M.I.; Reigosa, M.J. Plant secondary metabolite rutin affects the photosynthesis and excitation energy flux responses in Arabidopsis thaliana. Allelopath. J. 2016, 38, 215–228. [Google Scholar]
- Yang, Z.; Deng, C.; Wu, Y.; Dai, Z.; Tang, Q.; Cheng, C.; Xu, Y.; Hu, R.; Liu, C.; Chen, X. Insights into the mechanism of multi-walled carbon nanotubes phytotoxicity in Arabidopsis through transcriptome and m6A methylome analysis. Sci. Total Environ. 2021, 787, 147510. [Google Scholar] [CrossRef] [PubMed]
- Blokhina, O.; Virolainen, E.; Fagerstedt, K.V. Antioxidants, oxidative damage and oxygen deprivation stress: A review. Annals Bot. 2003, 91, 179–194. [Google Scholar] [CrossRef] [Green Version]
- Apel, K.; Hirt, H. Reactive oxygen species: Metabolism, oxidative stress, and signal transduction. Annu. Rev. Plant Biol. 2004, 55, 373–399. [Google Scholar] [CrossRef] [Green Version]
- Gill, S.S.; Tuteja, N. Reactive oxygen species and antioxidant machinery in abiotic stress tolerance in crop plants. Plant Physiol. Biochem. 2010, 48, 909–930. [Google Scholar] [CrossRef]
- Zeng, J.; Dong, Z.; Wu, H.; Tian, Z.; Zhao, Z. Redox regulation of plant stem cell fate. EMBO J. 2017, 36, 2844–2855. [Google Scholar] [CrossRef]
- Singh, A.; Chibber, P.; Kolimi, P.; Malik, T.A.; Kapoor, N.; Kumar, A.; Kumar, N.; Gandhi, S.G.; Singh, S.; Abdullah, S.T. Rohitukine inhibits NF-κB activation induced by LPS and other inflammatory agents. Int. Immunopharmacol. 2019, 69, 34–49. [Google Scholar] [CrossRef]
- Mishra, S.K.; Tiwari, S.; Shrivastava, S.; Sonkar, R.; Mishra, V.; Nigam, S.K.; Saxena, A.K.; Bhatia, G.; Mir, S.S. Pharmacological evaluation of the efficacy of Dysoxylum binectariferum stem bark and its active constituent rohitukine in regulation of dyslipidemia in rats. J. Nat. Med. 2018, 72, 837–845. [Google Scholar] [CrossRef]
- Ratnayake, W.; Suresh, T.; Abeysekera, A.; Salim, N.; Chandrika, U. Acute anti-inflammatory and anti-nociceptive activities of crude extracts, alkaloid fraction and evolitrine from Acronychia pedunculata leaves. J. Ethnopharmacol. 2019, 238, 111827. [Google Scholar] [CrossRef] [PubMed]
- Ghosh, S.; Bishayee, K.; Khuda-Bukhsh, A.R. Graveoline isolated from ethanolic extract of Ruta graveolens triggers apoptosis and autophagy in skin melanoma cells: A novel apoptosis-independent autophagic signaling pathway. Phytother. Res. 2014, 28, 1153–1162. [Google Scholar] [CrossRef] [PubMed]
- Khan, A.M.; Qureshi, R.A.; Ullah, F.; Gilani, S.A. Phytotoxic effects of selected medicinal plants collected from Margalla Hills, Islamabad Pakistan. J. Med. Plant Res. 2011, 5, 4671–4675. [Google Scholar]
- Souza, R.; Machado, E.; Silva, J.; Lagôa, A.; Silveira, J. Photosynthetic gas exchange, chlorophyll fluorescence and some associated metabolic changes in cowpea (Vigna unguiculata) during water stress and recovery. Environ. Exp. Bot. 2004, 51, 45–56. [Google Scholar] [CrossRef]
- Sánchez-Ortiz, B.; Sánchez-Fernández, R.; Duarte, G.; Lappe-Oliveras, P.; Macías-Rubalcava, M. Antifungal, anti-oomycete and phytotoxic effects of volatile organic compounds from the endophytic fungus Xylaria sp. strain PB 3f3 isolated from Haematoxylon brasiletto. J. Appl. Microbiol. 2016, 120, 1313–1325. [Google Scholar] [CrossRef] [Green Version]
- Liu, W.; Shang, S.; Feng, X.; Zhang, G.; Wu, F. Modulation of exogenous selenium in cadmium-induced changes in antioxidative metabolism, cadmium uptake, and photosynthetic performance in the 2 tobacco genotypes differing in cadmium tolerance. Environ. Toxicol. Chem. 2015, 34, 92–99. [Google Scholar] [CrossRef]
- Parmar, P.; Kumari, N.; Sharma, V. Structural and functional alterations in photosynthetic apparatus of plants under cadmium stress. Bot. Stud. 2013, 54, 45. [Google Scholar] [CrossRef] [Green Version]
- Asgher, M.; Per, T.S.; Verma, S.; Pandith, S.A.; Masood, A.; Khan, N.A. Ethylene supplementation increases PSII efficiency and alleviates chromium-inhibited photosynthesis through increased nitrogen and sulfur assimilation in mustard. J. Plant Growth Regul. 2018, 37, 1300–1317. [Google Scholar] [CrossRef]
- Dao, T.T.H.; Puig, R.C.; Kim, H.K.; Erkelens, C.; Lefeber, A.W.; Linthorst, H.J.; Choi, Y.H.; Verpoorte, R. Effect of benzothiadiazole on the metabolome of Arabidopsis thaliana. Plant Physiol. Biochem. 2009, 47, 146–152. [Google Scholar] [CrossRef]
- Beale, M.H.; Sussman, M.R. Metabolomics of Arabidopsis thaliana. Ann. Plant Rev. Online 2018, 43, 157–180. [Google Scholar] [CrossRef]
- Rowe, H.C.; Hansen, B.G.; Halkier, B.A.; Kliebenstein, D.J. Biochemical networks and epistasis shape the Arabidopsis thaliana metabolome. Plant Cell 2008, 20, 1199–1216. [Google Scholar] [CrossRef] [PubMed] [Green Version]
- Schmidt, H.; Günther, C.; Weber, M.; Spörlein, C.; Loscher, S.; Böttcher, C.; Schobert, R.; Clemens, S. Metabolome analysis of Arabidopsis thaliana roots identifies a key metabolic pathway for iron acquisition. PLoS ONE 2014, 9, e102444. [Google Scholar] [CrossRef] [Green Version]
- Dixon, R.; Paiva, N. Stress-induced phenylpropanoid metabolism. Plant Cell 1995, 7, 1085–1097. [Google Scholar] [CrossRef] [Green Version]
- Dixon, R.A. Natural products and plant disease resistance. Nature 2001, 411, 843–847. [Google Scholar] [CrossRef] [PubMed]
- Tzin, V.; Galili, G. The biosynthetic pathways for shikimate and aromatic amino acids in Arabidopsis thaliana. In The Arabidopsis Book; American Society of Plant Biologists: Rockville, MA, USA, 2010; p. 8. [Google Scholar] [CrossRef] [Green Version]
- Tripathi, R.D.; Tripathi, P.; Dwivedi, S.; Dubey, S.; Chatterjee, S.; Chakrabarty, D.; Trivedi, P.K. Arsenomics: Omics of arsenic metabolism in plants. Front. Physiol. 2012, 3, 275. [Google Scholar] [CrossRef] [PubMed] [Green Version]
- Rai, V. Role of amino acids in plant responses to stresses. Biol. Plant. 2002, 45, 481–487. [Google Scholar] [CrossRef]
- Sharma, S.S.; Dietz, K.-J. The significance of amino acids and amino acid-derived molecules in plant responses and adaptation to heavy metal stress. J. Exp. Bot. 2006, 57, 711–726. [Google Scholar] [CrossRef] [Green Version]
- Khalil, R.; Yusuf, M.; Bassuony, F.; Gamal, A.; Madany, M. Phytotoxic effect of Alhagi maurorum on the growth and physiological activities of Pisum sativum L. S. Afr. J. Bot. 2020, 131, 250–258. [Google Scholar] [CrossRef]
- Molitor, D.; Liermann, J.C.; Berkelmann-Löhnertz, B.; Buckel, I.; Opatz, T.; Thines, E. Phenguignardic acid and guignardic acid, phytotoxic secondary metabolites from Guignardia bidwellii. J. Nat. Prod. 2012, 75, 1265–1269. [Google Scholar] [CrossRef]
- Chen, Z.; Guo, Z.; Niu, J.; Xu, N.; Sui, X.; Kareem, H.A.; Hassan, M.U.; Yan, M.; Zhang, Q.; Wang, Z. Phytotoxic effect and molecular mechanism induced by graphene towards alfalfa (Medicago sativa L.) by integrating transcriptomic and metabolomics analysis. Chemosphere 2022, 290, 133368. [Google Scholar] [CrossRef]
- Kaur, H.; Shukla, R.K.; Yadav, G.; Chattopadhyay, D.; Majee, M. Two divergent genes encoding L-myo-inositol 1-phosphate synthase1 (CaMIPS1) and 2 (CaMIPS2) are differentially expressed in chickpea. Plant Cell Environ. 2008, 31, 1701–1716. [Google Scholar] [CrossRef]
- Hu, L.; Zhou, K.; Ren, G.; Yang, S.; Liu, Y.; Zhang, Z.; Li, Y.; Gong, X.; Ma, F. Myo-inositol mediates reactive oxygen species-induced programmed cell death via salicylic acid-dependent and ethylene-dependent pathways in apple. Hortic. Res. 2020, 7, 138. [Google Scholar] [CrossRef] [PubMed]
- Pérez-Alonso, M.-M.; Ortiz-García, P.; Moya-Cuevas, J.; Lehmann, T.; Sánchez-Parra, B.; Björk, R.G.; Karim, S.; Amirjani, M.R.; Aronsson, H.; Wilkinson, M.D. Endogenous indole-3-acetamide levels contribute to the crosstalk between auxin and abscisic acid, and trigger plant stress responses in Arabidopsis. J. Exp. Bot. 2021, 72, 459–475. [Google Scholar] [CrossRef] [PubMed]








| Class/Category | Ingredients | mg/L |
|---|---|---|
| Macro elements | Ammonium nitrate | 1650.000 |
| Calcium chloride | 332.200 | |
| Magnesium sulphate | 180.690 | |
| Potassium nitrate | 1900.000 | |
| Potassium phosphate monobasic | 170.000 | |
| Microelements | Boric acid | 6.200 |
| Cobalt chloride hexahydrate | 0.025 | |
| Copper sulphate pentahydrate | 0.025 | |
| EDTA disodium salt dihydrate | 37.300 | |
| Ferrous sulphate heptahydrate | 27.800 | |
| Manganese sulphate monohydrate | 16.900 | |
| Molybdic acid (sodium salt) | 0.213 | |
| Potassium Iodide | 0.830 | |
| Zinc sulphate heptahydrate | 8.600 | |
| Vitamins | Myo-inositol | 100.000 |
| Nicotinic acid (free acid) | 0.500 | |
| Pyridoxine HCl | 0.500 | |
| Thiamine hydrochloride | 0.100 | |
| Amino Acid | Glycine | 2.000 |
| S. No | Gene Name | Primer Sequence, Forward | Primer Sequence, Reverse | TM (°C) |
|---|---|---|---|---|
| 1 | Peroxidase (POD) | GAGTCAATCGAACAACAACATCC | CCTCTGTCTGAAACTCGTGC | 60 |
| 2 | Catalase (CAT) | TGGAAGAAGATGCAATTCGTGTT | CCAGGTCTTGGTCACATCG | 60 |
| 3 | Copper/zinc Superoxide dismutase (CU/Zn-SOD) | GAGATGATGGAACTGCCAC | TGGCTACTGGAAACGCAGG | 60 |
| 4 | Manganese Superoxide dismutase (Mn-SOD) | CAAGCTGTGAACAAGGGAGA | AGTGAGCGT CAATGG CACT | 60 |
| 5 | Ascorbate peroxidase (APX) | GCAGATGGGCTTATCTGAC | AGGCCTTCCTTCTCTCC | 60 |
| 6 | Actin 2 | GTTGACTACGAGCAGGAG | CAGCAGCTTCCATTCCC | 60 |
Publisher’s Note: MDPI stays neutral with regard to jurisdictional claims in published maps and institutional affiliations. |
© 2022 by the authors. Licensee MDPI, Basel, Switzerland. This article is an open access article distributed under the terms and conditions of the Creative Commons Attribution (CC BY) license (https://creativecommons.org/licenses/by/4.0/).
Share and Cite
Ahmed, S.; Asgher, M.; Kumar, A.; Gandhi, S.G. Exogenously Applied Rohitukine Inhibits Photosynthetic Processes, Growth and Induces Antioxidant Defense System in Arabidopsis thaliana. Antioxidants 2022, 11, 1512. https://doi.org/10.3390/antiox11081512
Ahmed S, Asgher M, Kumar A, Gandhi SG. Exogenously Applied Rohitukine Inhibits Photosynthetic Processes, Growth and Induces Antioxidant Defense System in Arabidopsis thaliana. Antioxidants. 2022; 11(8):1512. https://doi.org/10.3390/antiox11081512
Chicago/Turabian StyleAhmed, Sajad, Mohd Asgher, Amit Kumar, and Sumit G. Gandhi. 2022. "Exogenously Applied Rohitukine Inhibits Photosynthetic Processes, Growth and Induces Antioxidant Defense System in Arabidopsis thaliana" Antioxidants 11, no. 8: 1512. https://doi.org/10.3390/antiox11081512
APA StyleAhmed, S., Asgher, M., Kumar, A., & Gandhi, S. G. (2022). Exogenously Applied Rohitukine Inhibits Photosynthetic Processes, Growth and Induces Antioxidant Defense System in Arabidopsis thaliana. Antioxidants, 11(8), 1512. https://doi.org/10.3390/antiox11081512

