Response of Thymus lotocephalus In Vitro Cultures to Drought Stress and Role of Green Extracts in Cosmetics
Abstract
:1. Introduction
2. Materials and Methods
2.1. Chemicals and Reagents
2.2. Plant Material, In Vitro Culture Conditions, and Experiments
2.3. Morphological Traits
2.4. Physiological and Biochemical Measurements
2.5. Fourier Transform Infrared Spectra (FTIR) Spectroscopy
2.6. Extraction of Phenolic Compounds
2.7. Spectrophotometric and Chromatographic Analysis for Phenolic Compounds
2.7.1. Spectrophotometric Measurement of Total Phenolic Content (TPC)
2.7.2. Analysis of Individual Phenolic Compounds by HPLC-HRMS
2.8. Assessment of the Biological Properties of the Extracts for Dermo-Cosmetic Application
2.8.1. Antioxidant Activity
DPPH Free Radical Scavenging
ABTS Free Radical Scavenging
Ferric Reducing Antioxidant Power (FRAP)
Oxygen Radical Absorbance Capacity (ORAC)
2.8.2. Inhibition Effects against Melanogenesis Key Enzyme
2.8.3. Photoprotective Properties
2.8.4. Determination of Sun Protection Factor (SPF)
2.9. Statistical Analysis
3. Results and Discussion
3.1. Evaluation of Shoots Growth
3.2. Physiological and Biochemical Traits
3.3. Chemical Composition of the Shoots by Fourier-Transform Infrared (FTIR) Spectroscopy
3.4. Phenolics Biosynthesis and Biological Activity of the Extracts
3.4.1. Total Phenolic Contents by F-C Method
3.4.2. Phenolic Profile Analysis by HPLC-HRMS
3.4.3. Potential Properties of the Extracts for Skincare Products and Correlation with Phenolic Composition
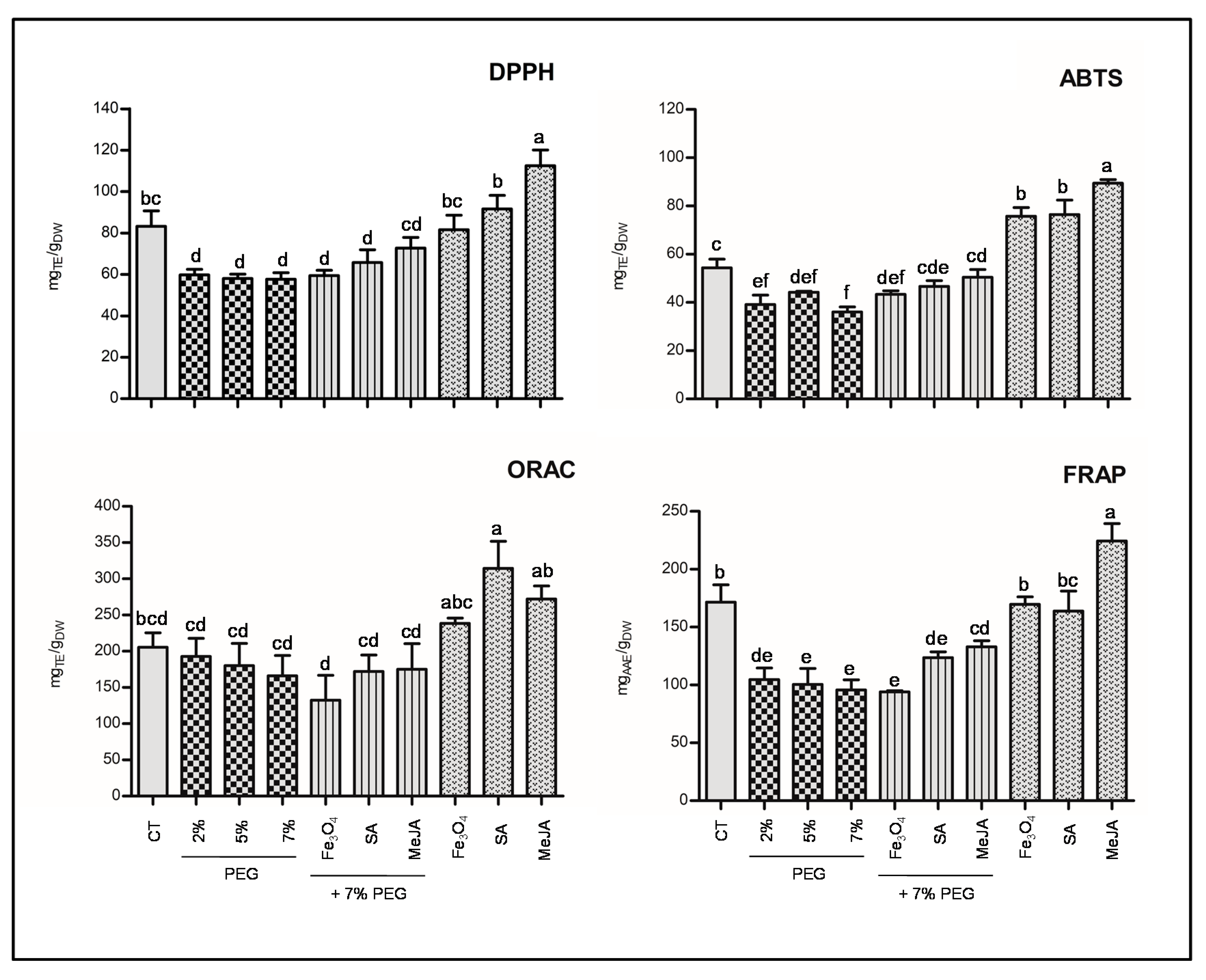
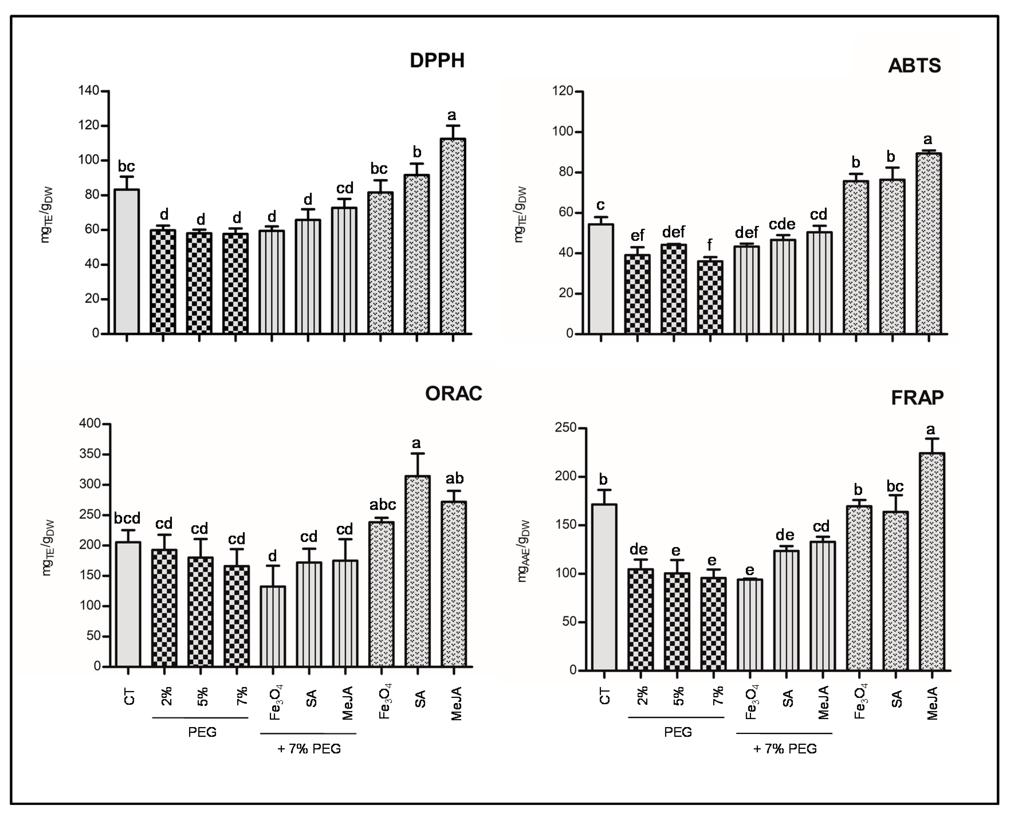
Antioxidant Activity
Extracts as Anti-Depigmentation Agents
Extracts as Ultraviolet (UV) Protecting Agents
3.4.4. Multivariate Analyses: Cluster Analysis and Principal Component Analysis (PCA)
4. Conclusions
Supplementary Materials
Author Contributions
Funding
Institutional Review Board Statement
Informed Consent Statement
Data Availability Statement
Conflicts of Interest
References
- Tramblay, Y.; Koutroulis, A.; Samaniego, L.; Vicente-Serrano, S.M.; Volaire, F.; Boone, A.; Le Page, M.; Llasat, M.C.; Albergel, C.; Burak, S.; et al. Challenges for drought assessment in the Mediterranean region under future climate scenarios. Earth-Sci. Rev. 2020, 210, 103348. [Google Scholar] [CrossRef]
- Moradi, P.; Mahdavi, A.; Khoshkam, M.; Iriti, M. Lipidomics Unravels the Role of Leaf Lipids in Thyme Plant Response to Drought Stress. Int. J. Mol. Sci. 2017, 18, 2067. [Google Scholar] [CrossRef] [PubMed] [Green Version]
- Pradhan, N.; Singh, P.; Dwivedi, P.; Pandey, D.K. Evaluation of sodium nitroprusside and putrescine on polyethylene glycol induced drought stress in Stevia rebaudiana Bertoni under in vitro condition. Ind. Crops Prod. 2020, 154, 112754. [Google Scholar] [CrossRef]
- Razavizadeh, R.; Farahzadianpoor, F.; Adabavazeh, F.; Komatsu, S. Physiological and morphological analyses of Thymus vulgaris L. in vitro cultures under polyethylene glycol (PEG)-induced osmotic stress. Vitr. Cell. Dev. Biol.-Plant 2019, 55, 342–357. [Google Scholar] [CrossRef]
- Isah, T. Stress and defense responses in plant secondary metabolites production. Biol. Res. 2019, 52, 39. [Google Scholar] [CrossRef] [Green Version]
- Gonçalves, S.; Mansinhos, I.; Rodríguez-Solana, R.; Pérez-Santín, E.; Coelho, N.; Romano, A. Elicitation improves rosmarinic acid content and antioxidant activity in Thymus lotocephalus shoot cultures. Ind. Crops Prod. 2019, 137, 214–220. [Google Scholar] [CrossRef]
- Tátrai, Z.A.; Sanoubar, R.; Pluhár, Z.; Mancarella, S.; Orsini, F.; Gianquinto, G. Morphological and Physiological Plant Responses to Drought Stress in Thymus citriodorus. Int. J. Agron. 2016, 2016, e4165750. [Google Scholar] [CrossRef] [Green Version]
- Niazian, M.; Sabbatini, P. Traditional in vitro strategies for sustainable production of bioactive compounds and manipulation of metabolomic profile in medicinal, aromatic and ornamental plants. Planta 2021, 254, 111. [Google Scholar] [CrossRef]
- Karamian, R.; Ghasemlou, F.; Amiri, H. Physiological evaluation of drought stress tolerance and recovery in Verbascum sinuatum plants treated with methyl jasmonate, salicylic acid and titanium dioxide nanoparticles. Plant Biosyst. -Int. J. Deal. All Asp. Plant Biol. 2020, 154, 277–287. [Google Scholar] [CrossRef]
- Thakur, M.; Bhattacharya, S.; Khosla, P.K.; Puri, S. Improving production of plant secondary metabolites through biotic and abiotic elicitation. J. Appl. Res. Med. Aromat. Plants 2019, 12, 1–12. [Google Scholar] [CrossRef]
- Ashrafi, M.; Azimi-Moqadam, M.-R.; Moradi, P.; MohseniFard, E.; Shekari, F.; Kompany-Zareh, M. Effect of drought stress on metabolite adjustments in drought tolerant and sensitive thyme. Plant Physiol. Biochem. 2018, 132, 391–399. [Google Scholar] [CrossRef] [PubMed]
- Khalil, N.; Fekry, M.; Bishr, M.; El-Zalabani, S.; Salama, O. Foliar spraying of salicylic acid induced accumulation of phenolics, increased radical scavenging activity and modified the composition of the essential oil of water stressed Thymus vulgaris L. Plant Physiol. Biochem. 2018, 123, 65–74. [Google Scholar] [CrossRef] [PubMed]
- Salehi, B.; Mishra, A.P.; Shukla, I.; Sharifi-Rad, M.; del Contreras, M.M.; Segura-Carretero, A.; Fathi, H.; Nasrabadi, N.N.; Kobarfard, F.; Sharifi-Rad, J. Thymol, thyme, and other plant sources: Health and potential uses. Phytother. Res. 2018, 32, 1688–1706. [Google Scholar] [CrossRef] [PubMed]
- Caldas, F.B. 2011. Thymus lotocephalus. The IUCN Red List of Threatened Species 2011:e.T161974A5522381. Available online: https://www.iucnredlist.org/species/161974/5522381 (accessed on 25 July 2022).
- Costa, P.; Gonçalves, S.; Valentão, P.; Andrade, P.B.; Coelho, N.; Romano, A. Thymus lotocephalus wild plants and in vitro cultures produce different profiles of phenolic compounds with antioxidant activity. Food Chem. 2012, 135, 1253–1260. [Google Scholar] [CrossRef] [PubMed]
- Costa, P.; Goncalves, S.; Grosso, C.; Andrade, P.B.; Valentao, P.; Gabriela Bernardo-Gil, M.; Romano, A. Chemical profiling and biological screening of Thymus lotocephalus extracts obtained by supercritical fluid extraction and hydrodistillation. Ind. Crops Prod. 2012, 36, 246–256. [Google Scholar] [CrossRef]
- Gonçalves, S.; Mansinhos, I.; Rodríguez-Solana, R.; Pereira-Caro, G.; Moreno-Rojas, J.M.; Romano, A. Impact of Metallic Nanoparticles on In Vitro Culture, Phenolic Profile and Biological Activity of Two Mediterranean Lamiaceae Species: Lavandula viridis L’Hér and Thymus lotocephalus G. López and R. Morales. Molecules 2021, 26, 6427. [Google Scholar] [CrossRef] [PubMed]
- Mansinhos, I.; Gonçalves, S.; Rodríguez-Solana, R.; Ordóñez-Díaz, J.L.; Moreno-Rojas, J.M.; Romano, A. Ultrasonic-Assisted Extraction and Natural Deep Eutectic Solvents Combination: A Green Strategy to Improve the Recovery of Phenolic Compounds from Lavandula pedunculata subsp. lusitanica (Chaytor) Franco. Antioxidants 2021, 10, 582. [Google Scholar] [CrossRef]
- Krishnan, S.K.; Salian, A.; Dutta, S.; Mandal, S. A roadmap to UV-protective natural resources: Classification, characteristics, and applications. Mater. Chem. Front. 2021, 5, 7696–7723. [Google Scholar] [CrossRef]
- He, H.; Li, A.; Li, S.; Tang, J.; Li, L.; Xiong, L. Natural components in sunscreens: Topical formulations with sun protection factor (SPF). Biomed. Pharmacother. 2021, 134, 111161. [Google Scholar] [CrossRef] [PubMed]
- Mapoung, S.; Semmarath, W.; Arjsri, P.; Umsumarng, S.; Srisawad, K.; Thippraphan, P.; Yodkeeree, S.; Dejkriengkraikul, P.L. Determination of Phenolic Content, Antioxidant Activity, and Tyrosinase Inhibitory Effects of Functional Cosmetic Creams Available on the Thailand Market. Plants 2021, 10, 1383. [Google Scholar] [CrossRef]
- Nizioł-Łukaszewska, Z.; Gaweł-Bęben, K.; Rybczyńska-Tkaczyk, K.; Jakubczyk, A.; Karaś, M.; Bujak, T. Biochemical properties, UV-protecting and fibroblast growth-stimulating activity of Plantago lanceolata L. extracts. Ind. Crops Prod. 2019, 138, 111453. [Google Scholar] [CrossRef]
- Stevanato, R.; Bertelle, M.; Fabris, S. Photoprotective characteristics of natural antioxidant polyphenols. Regul. Toxicol. Pharmacol. 2014, 69, 71–77. [Google Scholar] [CrossRef] [PubMed]
- Lee, B.; Moon, K.M.; Lim, J.S.; Park, Y.; Kim, D.H.; Son, S.; Jeong, H.O.; Kim, D.H.; Lee, E.K.; Chung, K.W.; et al. 2-(3,4-dihydroxybenzylidene) malononitrile as a novel anti-melanogenic compound. Oncotarget 2017, 8, 91481–91493. [Google Scholar] [CrossRef] [PubMed] [Green Version]
- Benoit, C.; Virginie, C.; Boris, V. The use of NADES to support innovation in the cosmetic industry. In Eutectic Solvents and Stress in Plants; Verpoorte, R., Witkamp, G.J., Choi, Y.H., Eds.; Academic Press Ltd-Elsevier Science Ltd.: London, UK, 2021; Volume 97, pp. 309–332. ISBN 978-0-12-821691-0. [Google Scholar]
- Coelho, N.; Goncalves, S.; Elena Gonzalez-Benito, M.; Romano, A. Establishment of an in vitro propagation protocol for Thymus lotocephalus, a rare aromatic species of the Algarve (Portugal). Plant Growth Regul. 2012, 66, 69–74. [Google Scholar] [CrossRef]
- Murashige, T.; Skoog, F. A Revised Medium for Rapid Growth and Bio Assays with Tobacco Tissue Cultures. Physiol. Plant. 1962, 15, 473–497. [Google Scholar] [CrossRef]
- Girma, F.S.; Krieg, D.R. Osmotic adjustment in sorghum: I. Mechanisms of diurnal osmotic potential changes. Plant Physiol. 1992, 99, 577–582. [Google Scholar] [CrossRef] [PubMed] [Green Version]
- Lichtenthaler, H.K. Chlorophylls and carotenoids: Pigments of photosynthetic biomembranes. In Methods in Enzymology; Plant Cell Membranes; Academic Press: Cambridge, MA, USA, 1987; Volume 148, pp. 350–382. [Google Scholar]
- Loreto, F.; Velikova, V. Isoprene Produced by Leaves Protects the Photosynthetic Apparatus against Ozone Damage, Quenches Ozone Products, and Reduces Lipid Peroxidation of Cellular Membranes. Plant Physiol. 2001, 127, 1781–1787. [Google Scholar] [CrossRef]
- Martins, N.; Gonçalves, S.; Palma, T.; Romano, A. The influence of low pH on in vitro growth and biochemical parameters of Plantago almogravensis and P. algarbiensis. Plant Cell Tissue Organ. Cult. 2011, 107, 113–121. [Google Scholar] [CrossRef]
- Cao, Z.; Wang, Z.; Shang, Z.; Zhao, J. Classification and identification of Rhodobryum roseum Limpr. and its adulterants based on fourier-transform infrared spectroscopy (FTIR) and chemometrics. PLoS ONE 2017, 12, e0172359. [Google Scholar] [CrossRef]
- Caunii, A.; Pribac, G.; Grozea, I.; Gaitin, D.; Samfira, I. Design of optimal solvent for extraction of bio–active ingredients from six varieties of Medicago sativa. Chem. Cent. J. 2012, 6, 123. [Google Scholar] [CrossRef] [Green Version]
- Rezanejad, R.; Ojagh, S.M.; Heidarieh, M.; Raeisi, M.; Rafiee, G.; Alishahi, A. Characterization of Gamma-Irradiated Rosmarinus officinalis L. (Rosemary). Turk. J. Pharm. Sci. 2019, 16, 43–47. [Google Scholar] [CrossRef] [PubMed]
- Schulz, H.; Baranska, M. Identification and quantification of valuable plant substances by IR and Raman spectroscopy. Vib. Spectrosc. 2007, 43, 13–25. [Google Scholar] [CrossRef]
- Sinanoglou, V.J.; Zoumpoulakis, P.; Fotakis, C.; Kalogeropoulos, N.; Sakellari, A.; Karavoltsos, S.; Strati, I.F. On the Characterization and Correlation of Compositional, Antioxidant and Colour Profile of Common and Balsamic Vinegars. Antioxidants 2018, 7, 139. [Google Scholar] [CrossRef] [Green Version]
- Ainsworth, E.A.; Gillespie, K.M. Estimation of total phenolic content and other oxidation substrates in plant tissues using Folin–Ciocalteu reagent. Nat. Protoc. 2007, 2, 875–877. [Google Scholar] [CrossRef] [PubMed]
- Sumner, L.W.; Amberg, A.; Barrett, D.; Beale, M.H.; Beger, R.; Daykin, C.A.; Fan, T.W.-M.; Fiehn, O.; Goodacre, R.; Griffin, J.L.; et al. Proposed minimum reporting standards for chemical analysis Chemical Analysis Working Group (CAWG) Metabolomics Standards Initiative (MSI). Metabolomics 2007, 3, 211–221. [Google Scholar] [CrossRef] [PubMed] [Green Version]
- Soler-Rivas, C.; Espín, J.C.; Wichers, H.J. An easy and fast test to compare total free radical scavenger capacity of foodstuffs. Phytochem. Anal. 2000, 11, 330–338. [Google Scholar] [CrossRef]
- Re, R.; Pellegrini, N.; Proteggente, A.; Pannala, A.; Yang, M.; Rice-Evans, C. Antioxidant activity applying an improved ABTS radical cation decolorization assay. Free Radic. Biol. Med. 1999, 26, 1231–1237. [Google Scholar] [CrossRef]
- Yen, G.-C.; Chen, H.-Y. Antioxidant Activity of Various Tea Extracts in Relation to Their Antimutagenicity. J. Agric. Food Chem. 1995, 43, 27–32. [Google Scholar] [CrossRef]
- Gillespie, K.M.; Chae, J.M.; Ainsworth, E.A. Rapid measurement of total antioxidant capacity in plants. Nat. Protoc. 2007, 2, 867–870. [Google Scholar] [CrossRef]
- Masuda, T.; Yamashita, D.; Takeda, Y.; Yonemori, S. Screening for tyrosinase inhibitors among extracts of seashore plants and identification of potent inhibitors from Garcinia subelliptica. Biosci. Biotechnol. Biochem. 2005, 69, 197–201. [Google Scholar] [CrossRef] [Green Version]
- De Mansur, J.S.; Breder, M.N.R.; Mansur, M.C.; Azulay, R.D. Determination of sun protection factor by spectrophotometry. An. Bras. Derm. 1986, 121–124. [Google Scholar]
- Sayre, R.M.; Agin, P.P.; LeVee, G.J.; Marlowe, E. A Comparison of in Vivo and in Vitro Testing of Sunscreening Formulas. Photochem. Photobiol. 1979, 29, 559–566. [Google Scholar] [CrossRef] [PubMed]
- Hosseini, N.; Hagh, Z.G.; Khoshghalb, H. Morphological, antioxidant enzyme activity and secondary metabolites accumulation in response of polyethylene glycol-induced osmotic stress in embryo-derived plantlets and callus cultures of Salvia leriifolia. Plant Cell Tissue Organ Cult. 2019, 140, 143–155. [Google Scholar] [CrossRef]
- Acemi, A.; Duman, Y.A.; Karakus, Y.Y.; Özen, F. Developmental and biochemical analyses of in vitro drought stress response in ornamental European Bluestar (Amsonia orientalis Decne.). Folia Hortic. 2018, 3, 357–366. [Google Scholar] [CrossRef] [Green Version]
- Akbar Mozafari, A.; Havas, F.; Ghaderi, N. Application of iron nanoparticles and salicylic acid in in vitro culture of strawberries (Fragaria × ananassa Duch.) to cope with drought stress. Plant Cell Tissue Organ Cult. 2018, 132, 511–523. [Google Scholar] [CrossRef]
- Ngan, H.T.M.; Tung, H.T.; Le, B.V.; Nhut, D.T. Evaluation of root growth, antioxidant enzyme activity and mineral absorbability of carnation (Dianthus caryophyllus “Express golem”) plantlets cultured in two culture systems supplemented with iron nanoparticles. Sci. Hortic. 2020, 272, 109612. [Google Scholar] [CrossRef]
- Joseph, S.; Anawar, H.M.; Storer, P.; Blackwell, P.; Chia, C.; Lin, Y.; Munroe, P.; Donne, S.; Horvat, J.; Wang, J.; et al. Effects of Enriched Biochars Containing Magnetic Iron Nanoparticles on Mycorrhizal Colonisation, Plant Growth, Nutrient Uptake and Soil Quality Improvement. Pedosphere 2015, 25, 749–760. [Google Scholar] [CrossRef]
- Antonić, D.; Milošević, S.; Cingel, A.; Lojić, M.; Trifunović-Momčilov, M.; Petrić, M.; Subotić, A.; Simonović, A. Effects of exogenous salicylic acid on Impatiens walleriana L. grown in vitro under polyethylene glycol-imposed drought. S. Afr. J. Bot. 2016, 105, 226–233. [Google Scholar] [CrossRef]
- Shabani, L.; Ehsanpour, A.A.; Asghari, G.; Emami, J. Glycyrrhizin production by in vitro cultured Glycyrrhiza glabra elicited by methyl Jasmonate and salicylic acid. Russ. J. Plant Physiol. 2009, 56, 621–626. [Google Scholar] [CrossRef]
- Goswami, B.; Rankawat, R.; Gadi, B. Physiological and antioxidative responses associated with drought tolerance of Lasiurus sindicus Henr. endemic to Thar desert, India. Braz. J. Bot. 2020, 43, 761–773. [Google Scholar] [CrossRef]
- Mellacheruvu, S.; Talakayala, A.; Garladinne, M. Chapter 7—Crop Improvement of Cereals through Manipulation of Signaling Pathways in Response to Drought Stress. In Plant Signaling Molecules; Khan, M.I.R., Reddy, P.S., Ferrante, A., Khan, N.A., Eds.; Woodhead Publishing: Sawston, UK, 2019; pp. 125–139. ISBN 978-0-12-816451-8. [Google Scholar]
- Kleinwächter, M.; Paulsen, J.; Bloem, E.; Schnug, E.; Selmar, D. Moderate drought and signal transducer induced biosynthesis of relevant secondary metabolites in thyme (Thymus vulgaris), greater celandine (Chelidonium majus) and parsley (Petroselinum crispum). Ind. Crops Prod. 2015, 64, 158–166. [Google Scholar] [CrossRef]
- Abbaspour, J.; Ehsanpour, A.A. Physiological targets of salicylic acid on Artemisia aucheri BOISS as a medicinal and aromatic plant grown under in vitro drought stress. Bot. Stud. 2016, 57, 39. [Google Scholar] [CrossRef] [PubMed] [Green Version]
- Sarmadi, M.; Karimi, N.; Palazón, J.; Ghassempour, A.; Mirjalili, M.H. Improved effects of polyethylene glycol on the growth, antioxidative enzymes activity and taxanes production in a Taxus baccata L. callus culture. Plant Cell Tissue Organ Cult. 2019, 137, 319–328. [Google Scholar] [CrossRef]
- Ali, M.A.; Mosa, K.A.; El-Keblawy, A.; Alawadhi, H. Exogenous Production of Silver Nanoparticles by Tephrosia apollinea Living Plants under Drought Stress and Their Antimicrobial Activities. Nanomaterials 2019, 9, 1716. [Google Scholar] [CrossRef] [Green Version]
- Baskar, V.; Safia, N.; Sree Preethy, K.; Dhivya, S.; Thiruvengadam, M.; Sathishkumar, R. A comparative study of phytotoxic effects of metal oxide (CuO, ZnO and NiO) nanoparticles on in-vitro grown Abelmoschus esculentus. Plant Biosyst.-Int. J. Deal. All Asp. Plant Biol. 2021, 155, 374–383. [Google Scholar] [CrossRef]
- Sheteiwy, M.S.; Gong, D.; Gao, Y.; Pan, R.; Hu, J.; Guan, Y. Priming with methyl jasmonate alleviates polyethylene glycol-induced osmotic stress in rice seeds by regulating the seed metabolic profile. Environ. Exp. Bot. 2018, 153, 236–248. [Google Scholar] [CrossRef]
- Zhang, L.; Becker, D. Connecting proline metabolism and signaling pathways in plant senescence. Front. Plant Sci. 2015, 6, 552. [Google Scholar] [CrossRef] [Green Version]
- Phansak, P.; Siriwong, S.; Kanawapee, N.; Thumanu, K.; Gunnula, W.; Buensanteai, N. Drought Response of Rice in Northeastern Thailand Assessed via Fourier Transform Infrared Spectroscopy. Acta Agrobot. 2021, 74, 7421. [Google Scholar] [CrossRef]
- Sevindik, B.; Sevindik, O.; Selli, S. Effect of drought stress induced by PEG 6000 on Ocimum basilicum L. aroma profile. J. Food Process. Preserv. 2021, 46, e15948. [Google Scholar] [CrossRef]
- Ahmad, M.A.; Javed, R.; Adeel, M.; Rizwan, M.; Yang, Y. PEG 6000-Stimulated Drought Stress Improves the Attributes of In Vitro Growth, Steviol Glycosides Production, and Antioxidant Activities in Stevia rebaudiana Bertoni. Plants 2020, 9, 1552. [Google Scholar] [CrossRef]
- Razavizadeh, R.; Karami, M. Antioxidant capacity and chemical composition of Carum copticum under PEG treatment. Iran. J. Plant Physiol. 2018, 8, 2321–2331. [Google Scholar] [CrossRef]
- Abdi, G.; Shokrpour, M.; Karami, L.; Salami, S.A. Prolonged Water Deficit Stress and Methyl Jasmonate-Mediated Changes in Metabolite Profile, Flavonoid Concentrations and Antioxidant Activity in Peppermint (Mentha × piperita L.). Not. Bot. Horti. Agrobot. Cluj-Napoca 2019, 47, 70–80. [Google Scholar] [CrossRef] [Green Version]
- Chanjirakul, K.; Wang, S.Y.; Wang, C.Y.; Siriphanich, J. Effect of natural volatile compounds on antioxidant capacity and antioxidant enzymes in raspberries. Postharvest. Biol. Technol. 2006, 40, 106–115. [Google Scholar] [CrossRef]
- Baek, M.W.; Choi, H.R.; Solomon, T.; Jeong, C.S.; Lee, O.-H.; Tilahun, S. Preharvest Methyl Jasmonate Treatment Increased the Antioxidant Activity and Glucosinolate Contents of Hydroponically Grown Pak Choi. Antioxidants 2021, 10, 131. [Google Scholar] [CrossRef] [PubMed]
- Kianersi, F.; Pour-Aboughadareh, A.; Majdi, M.; Poczai, P. Effect of Methyl Jasmonate on Thymol, Carvacrol, Phytochemical Accumulation, and Expression of Key Genes Involved in Thymol/Carvacrol Biosynthetic Pathway in Some Iranian Thyme Species. Int. J. Mol. Sci. 2021, 22, 11124. [Google Scholar] [CrossRef]
- Agata, I.; Kusakabe, H.; Hatano, T.; Nishibe, S.; Okuda, T. Melitric Acid-a and Acid-B, New Trimeric Caffeic Acid-Derivatives from Melissa-Officinalis. Chem. Pharm. Bull. 1993, 41, 1608–1611. [Google Scholar] [CrossRef] [Green Version]
- Pereira, O.R.; Catarino, M.D.; Afonso, A.F.; Silva, A.M.S.; Cardoso, S.M. Salvia elegans, Salvia greggii and Salvia officinalis Decoctions: Antioxidant Activities and Inhibition of Carbohydrate and Lipid Metabolic Enzymes. Molecules 2018, 23, 3169. [Google Scholar] [CrossRef] [Green Version]
- Zeng, H.; Su, S.; Xiang, X.; Sha, X.; Zhu, Z.; Wang, Y.; Guo, S.; Yan, H.; Qian, D.; Duan, J. Comparative Analysis of the Major Chemical Constituents in Salvia miltiorrhiza Roots, Stems, Leaves and Flowers during Different Growth Periods by UPLC-TQ-MS/MS and HPLC-ELSD Methods. Molecules 2017, 22, 771. [Google Scholar] [CrossRef]
- Afonso, A.F.; Pereira, O.R.; Válega, M.; Silva, A.M.S.; Cardoso, S.M. Metabolites and Biological Activities of Thymus zygis, Thymus pulegioides, and Thymus fragrantissimus Grown under Organic Cultivation. Molecules 2018, 23, 1514. [Google Scholar] [CrossRef] [Green Version]
- Gonçalves, S.; Romano, A. Rosmarinic Acid: Sources, Properties, Applications and Biotechnological Production. In Medicinal Plants; CRC Press: Boca Raton, FL, USA, 2019; ISBN 978-0-429-25996-8. [Google Scholar]
- Marchev, A.S.; Vasileva, L.V.; Amirova, K.M.; Savova, M.S.; Koycheva, I.K.; Balcheva-Sivenova, Z.P.; Vasileva, S.M.; Georgiev, M.I. Rosmarinic acid—From bench to valuable applications in food industry. Trends Food Sci. Technol. 2021, 117, 182–193. [Google Scholar] [CrossRef]
- Babaei, M.; Borja Zamfir, G.M.; Chen, X.; Christensen, H.B.; Kristensen, M.; Nielsen, J.; Borodina, I. Metabolic Engineering of Saccharomyces cerevisiae for Rosmarinic Acid Production. ACS Synth. Biol. 2020, 9, 1978–1988. [Google Scholar] [CrossRef]
- Xiaowei, H.; Zhihua, L.; Tahir, H.E.; Xiaobo, Z.; Jiyong, S.; Yiwei, X.; Xiaodong, Z. Chapter 13—Conventional and rapid methods for measurement of total bioactive components and antioxidant activity in Hibiscus sabdariffa. In Roselle (Hibiscus sabdariffa); Mariod, A.A., Tahir, H.E., Mahunu, G.K., Eds.; Academic Press: Cambridge, MA, USA, 2021; pp. 199–214. ISBN 978-0-12-822100-6. [Google Scholar]
- Celikcan, F.; Kocak, M.Z.; Kulak, M. Vermicompost applications on growth, nutrition uptake and secondary metabolites of Ocimum basilicum L. under water stress: A comprehensive analysis. Ind. Crops Prod. 2021, 171, 113973. [Google Scholar] [CrossRef]
- Ahmadi, T.; Shabani, L.; Sabzalian, M.R. Improvement in drought tolerance of lemon balm, Melissa officinalis L. under the pre-treatment of LED lighting. Plant Physiol. Biochem. 2019, 139, 548–557. [Google Scholar] [CrossRef]
- Szabó, K.; Radácsi, P.; Rajhárt, P.; Ladányi, M.; Németh, É. Stress-induced changes of growth, yield and bioactive compounds in lemon balm cultivars. Plant Physiol. Biochem. 2017, 119, 170–177. [Google Scholar] [CrossRef] [PubMed]
- Liu, H.; Wang, X.; Wang, D.; Zou, Z.; Liang, Z. Effect of drought stress on growth and accumulation of active constituents in Salvia miltiorrhiza Bunge. Ind. Crops Prod. 2011, 33, 84–88. [Google Scholar] [CrossRef]
- Li, J.; Li, B.; Luo, L.; Cao, F.; Yang, B.; Gao, J.; Yan, Y.; Zhang, G.; Peng, L.; Hu, B. Increased phenolic acid and tanshinone production and transcriptional responses of biosynthetic genes in hairy root cultures of Salvia przewalskii Maxim. treated with methyl jasmonate and salicylic acid. Mol. Biol. Rep. 2020, 47, 8565–8578. [Google Scholar] [CrossRef] [PubMed]
- Pei, T.; Ma, P.; Ding, K.; Liu, S.; Jia, Y.; Ru, M.; Dong, J.; Liang, Z. SmJAZ8 acts as a core repressor regulating JA-induced biosynthesis of salvianolic acids and tanshinones in Salvia miltiorrhiza hairy roots. J. Exp. Bot. 2018, 69, 1663–1678. [Google Scholar] [CrossRef] [PubMed]
- Jaouadi, R.; Silva, A.M.S.; Boussaid, M.; Yahia, I.B.H.; Cardoso, S.M.; Zaouali, Y. Differentiation of Phenolic Composition among Tunisian Thymus algeriensis Boiss. et Reut. (Lamiaceae) Populations: Correlation to Bioactive Activities. Antioxidants 2019, 8, 515. [Google Scholar] [CrossRef] [PubMed] [Green Version]
- Taghouti, M.; Martins-Gomes, C.; Felix, L.M.; Schaefer, J.; Santos, J.A.; Bunzel, M.; Nunes, F.M.; Silva, A.M. Polyphenol composition and biological activity of Thymus citriodorus and Thymus vulgaris: Comparison with endemic Iberian Thymus species. Food Chem. 2020, 331, 127362. [Google Scholar] [CrossRef]
- Kang, H.S.; Kim, H.R.; Byun, D.S.; Park, H.J.; Choi, J.S. Rosmarinic Acid as a Tyrosinase Inhibitors from Salvia miltiorrhiza. Nat. Prod. Sci. 2004, 10, 80–84. [Google Scholar]
- Ko, S.-C.; Lee, S.-H. Protocatechuic Aldehyde Inhibits α-MSH-Induced Melanogenesis in B16F10 Melanoma Cells via PKA/CREB-Associated MITF Downregulation. Int. J. Mol. Sci. 2021, 22, 3861. [Google Scholar] [CrossRef]
- Crespo, M.I.; Chabán, M.F.; Lanza, P.A.; Joray, M.B.; Palacios, S.M.; Vera, D.M.A.; Carpinella, M.C. Inhibitory effects of compounds isolated from Lepechinia meyenii on tyrosinase. Food Chem. Toxicol. 2019, 125, 383–391. [Google Scholar] [CrossRef]
- Saija, A.; Tomaino, A.; Trombetta, D.; De Pasquale, A.; Uccella, N.; Barbuzzi, T.; Paolino, D.; Bonina, F. In vitro and in vivo evaluation of caffeic and ferulic acids as topical photoprotective agents. Int. J. Pharm. 2000, 199, 39–47. [Google Scholar] [CrossRef]
- Sanchez-Campillo, M.; Gabaldon, J.A.; Castillo, J.; Benavente-Garcia, O.; Del Bano, M.J.; Alcaraz, M.; Vicente, V.; Alvarez, N.; Lozano, J.A. Rosmarinic acid, a photo-protective agent against UV and other ionizing radiations. Food Chem. Toxicol. 2009, 47, 386–392. [Google Scholar] [CrossRef]
- Chen, J.; Ran, M.; Wang, M.; Liu, X.; Liu, S.; Ruan, Z.; Jin, N. Evaluation of antityrosinase activity and mechanism, antioxidation, and UV filter properties of theaflavin. Biotechnol. Appl. Biochem. 2021, 69, 3. [Google Scholar] [CrossRef]
- Yakoubi, R.; Megateli, S.; Hadj Sadok, T.; Gali, L. Photoprotective, antioxidant, anticholinesterase activities and phenolic contents of different Algerian Mentha pulegium extracts. Biocatal. Agric. Biotechnol. 2021, 34, 102038. [Google Scholar] [CrossRef]
- Tsai, C.-E.; Lin, L.-H. The liquid polyol extracts of camellia seed dregs used in sunscreen cosmetics. Chem. Pap. 2018, 73, 501–508. [Google Scholar] [CrossRef]
- Magangana, T.P.; Stander, M.A.; Masondo, N.A.; Makunga, N.P. Steviol glycoside content and essential oil profiles of Stevia rebaudiana Bertoni in response to NaCl and polyethylene glycol as inducers of salinity and drought stress in vitro. Plant Cell Tissue Organ Cult. 2021, 145, 1–18. [Google Scholar] [CrossRef]








| Treatment | No. Shoots | Length of the Longest Shoot (mm) | Fresh Weight (g) | Dry Weight (mg) | Cltotal (mg/gFW) | Crt (mg/gFW) | H2O2 (µmol/gFW) | Proline (µmol/gFW) | 
|---|---|---|---|---|---|---|---|---|
| Control | 7.94 ± 1.70 c | 48.3 ± 2.68 a | 1.40 ± 0.383 cd | 144 ± 26.6 c | 0.74 ± 0.02 a | 0.16 ± 0.01 ab | 0.63 ± 0.00 de | 0.59 ± 0.01 d | 
| PEG | ||||||||
| 2% | 33.2 ± 1.77 a | 22.9 ± 0.89 c | 3.69 ± 0.20 a | 417 ± 13.9 a | 0.59 ± 0.03 bc | 0.14 ± 0.00 abc | 0.43 ± 0.03 e | 1.39 ± 0.14 bcd | 
| 5% | 21.9 ± 1.72 b | 15.7 ± 0.80 d | 2.06 ± 0.11 bc | 295 ± 17.1 b | 0.50 ± 0.01 cdef | 0.12 ± 0.01 bcd | 0.79 ± 0.07 cde | 1.53 ± 0.16 bc | 
| 7% | 18.4 ± 2.32 b | 11.5 ± 0.43 de | 1.33 ± 0.10 cd | 318 ± 33.5 ab | 0.38 ± 0.02 f | 0.09 ± 0.01 d | 1.28 ± 0.13 bc | 4.55 ± 0.33 a | 
| 7% PEG | ||||||||
| Fe3O4 NPs | 4.71 ± 0.47 c | 10.3 ± 0.39 de | 0.59 ± 0.12 de | 93.3 ± 18.2 c | 0.45 ± 0.04 def | 0.11 ± 0.01 cd | 1.47 ± 0.08 b | 1.57 ± 0.13 bc | 
| SA | 4.32 ± 0.93 c | 10.4 ± 0.95 de | 0.66 ± 0.14 de | 102 ± 13.4 c | 0.41 ± 0.02 ef | 0.10 ± 0.00 cd | 1.37 ± 0.00 b | 2.27 ± 0.25 b | 
| MeJA | 3.44 ± 0.67 c | 6.67 ± 0.47 e | 0.21 ± 0.08 e | 49.1 ± 14.6 c | 0.51 ± 0.03 cde | 0.12 ± 0.00 cd | 0.94 ± 0.11 bcde | 5.37 ± 0.25 a | 
| PEG-free | ||||||||
| Fe3O4 NPs | 25.4 ± 2.34 ab | 29.6 ± 1.10 b | 3.10 ± 0.35 ab | 320 ± 23.8 ab | 0.68 ± 0.01 ab | 0.17 ± 0.01 a | 1.16 ± 0.12 bcd | 0.76 ± 0.10 cd | 
| SA | 8.11 ± 1.34 c | 13.8 ± 0.95 d | 0.59 ± 0.15 de | 89.0 ± 14.3 c | 0.57 ± 0.01 bcd | 0.17 ± 0.01 a | 2.45 ± 0.17 a | 1.12 ± 0.07 cd | 
| MeJA | 7.83 ± 0.79 c | 11.7 ± 0.56 de | 1.12 ± 0.05 cde | 106 ± 2.70 c | 0.43 ± 0.04 ef | 0.10 ± 0.01 cd | 0.60 ± 0.10 e | 0.77 ± 0.06 cd | 
| Wavenumber Range | Bond | Functional Group | References | |
|---|---|---|---|---|
| Present Study (cm−1) | Reference (cm−1) | |||
| 3443–3406 | 3415–3369 | O–H stretching | Alcohols | [32,33] | 
| 2945–2889 | 2920–2800 | C–H stretching | Lipids, carbohydrates | [32,33,34,36] | 
| 1735–1647 | 1723–1607 | C=O stretching, C–N stretching, COO– antisymmetric stretching | Proteins, lipids, carbohydrates | [32,34,35,36] | 
| 1468–1342 | 1454–1366 | C–O stretching, C–C stretching, COO symmetric stretching, CH2 bending | Phenyl groups of aromatic compounds | [33,34,36] | 
| 1281–1271 | 1300–1260 | C–O stretching | Hydroxyflavonoids | [34,36] | 
| 1242–1155 | 1270–1150 | C–O stretching, C–N stretching | Acid or ester | [33,34] | 
| 1115–1051 | 1170–950 | C–O and C–C stretching | Carbohydrates, flavonoids | [34,35,36] | 
| 962–843 | 980–960 | C=H bending, C–H out-of-plane bending | Terpenoids | [33,34,35] | 
| Treatment | TPC (mgGAE/gDW) | Tyrosinase Inhibition (mgKAE/gDW) | 
|---|---|---|
| Control | 62.2 ± 1.19 cd | 21.72 ± 1.25 b | 
| PEG | ||
| 2% PEG | 45.1 ± 2.61 ef | 9.59 ± 0.10 c | 
| 5% PEG | 45.0 ± 3.39 ef | 5.98 ± 1.09 c | 
| 7% PEG | 46.8 ± 0.42 ef | 9.03 ± 1.61 c | 
| 7% PEG | ||
| Fe3O4 NPs | 43.4 ± 2.35 f | 10.8 ± 1.89 c | 
| SA | 53.8 ± 3.07 de | 10.2 ± 0.60 c | 
| MeJA | 57.4 ± 2.34 d | 8.46 ± 1.50 c | 
| PEG-free | ||
| Fe3O4 NPs | 68.8 ± 0.70 bc | 28.2 ± 1.27 ab | 
| SA | 76.6 ± 0.32 ab | 29.2 ± 0.48 a | 
| MeJA | 86.4 ± 1.09 a | 34.2 ± 0.31 a | 
| Compound | Treatment | |||||||||
|---|---|---|---|---|---|---|---|---|---|---|
| Control | PEG | 7% PEG | PEG-Free | |||||||
| 2% | 5% | 7% | Fe3O4 NPs | SA | MeJA | Fe3O4 NPs | SA | MeJA | ||
| Phenolic acids | ||||||||||
| Salvianolic acid A isomer I | 468 ± 1 a | 137 ± 6 bc | 146 ± 6 bc | 150 ± 8 bc | 107 ± 16 c | 288 ± 38 abc | 172 ± 10 bc | 339 ± 20 ab | 323 ± 103 ab | 172 ± 41 bc | 
| Salvianolic acid A isomer II | <LOQ | <LOQ | <LOQ | <LOQ | <LOQ | <LOQ | 133 ± 6 | <LOQ | <LOQ | 227 ± 64 | 
| Salvianolic acid A isomer IV | <LOQ | <LOQ | <LOQ | <LOQ | <LOQ | <LOQ | <LOQ | <LOQ | <LOQ | 149 ± 28 | 
| Salvianolic acid B/Salvianolic acid L isomer I | <LOD | <LOD | <LOD | <LOD | n.d. | <LOD | <LOD | <LOD | <LOD | <LOD | 
| Salvianolic acid B/Salvianolic acid L isomer II | <LOQ | <LOQ | <LOQ | <LOQ | <LOQ | <LOQ | <LOQ | <LOQ | <LOQ | <LOQ | 
| Salvianolic acid B/Salvianolic acid L isomer III | <LOQ | <LOQ | <LOQ | <LOQ | <LOQ | 174 ± 8 | 127 ± 10 | <LOQ | <LOQ | <LOQ | 
| Salvianolic acid B/Salvianolic acid L isomer IV | <LOQ | <LOQ | <LOQ | <LOQ | <LOQ | <LOQ | 126 ± 10 b | <LOQ | 180 ± 39 b | 391 ± 46 a | 
| Salvianolic acid C | <LOQ | <LOQ | <LOQ | <LOQ | <LOQ | <LOQ | <LOQ | <LOQ | 143 ± 8 | 199 ± 62 | 
| Salvianolic acid F isomer I | <LOQ | n.d. | n.d. | n.d. | n.d. | <LOQ | n.d. | <LOQ | <LOQ | <LOQ | 
| Salvianolic acid F isomer II | 173 ± 23 a | 113 ± 20 a | <LOQ | <LOQ | <LOQ | <LOQ | <LOQ | 118 ± 20 a | 199 ± 2 a | 204 ± 3 a | 
| Salvianolic acid I/Melitric acid A | 252 ± 8 b | 224 ± 12 b | 176 ± 9 b | 178 ± 12 b | 295 ± 17 ab | 199 ± 31 b | 307 ± 7 ab | 178 ± 6 b | 192 ± 56 b | 591 ± 158 a | 
| Total salvianolic acids * | 0.89 ± 0.03 b | 0.47 ± 0.00 b | 0.32 ± 0.02 b | 0.33 ± 0.02 b | 0.40 ± 0.03 b | 0.66 ± 0.06 b | 0.86 ± 0.02 b | 0.64 ± 0.05 b | 1.04 ± 0.21 b | 1.93 ± 0.40 a | 
| Caffeic acid | 46 ± 16 cd | 30 ± 8 cd | 20 ± 3 cd | 23 ± 3 cd | 8 ± 2 d | 35 ± 4 cd | 30 ± 1 cd | 54 ± 7 bc | 90 ± 3 ab | 112 ± 10 a | 
| Melitric acid B | <LOD | <LOD | <LOD | <LOD | <LOD | <LOD | <LOD | <LOD | <LOD | <LOD | 
| Methyl 6-O-galloyl-β-D-glucopyranoside * | 6.00 ± 1.25 a | 4.71 ± 0.56 a | 3.61 ± 0.19 a | 2.46 ± 0.24 a | 4.30 ± 0.43 a | 4.20 ± 0.30 a | 5.01 ± 0.08 a | 6.02 ± 0.26 a | 4.39 ± 1.29 a | 6.15 ± 1.11 a | 
| Methylrosmarinic acid isomer I | 94 ± 4 a | <LOQ | <LOQ | 83 ± 2 a | <LOQ | <LOQ | <LOQ | 84 ± 4 a | 75 ± 18 a | 78 ± 7 a | 
| Methylrosmarinic acid isomer II | 651 ± 19 a | 342 ± 30 ab | 272 ± 38 b | 420 ± 0 ab | 265 ± 16 b | 384 ± 11 ab | 204 ± 38 b | 394 ± 91 ab | 616 ± 150 a | 632 ± 38 a | 
| Rosmarinic acid * | 53.0 ± 3.57 a | 16.8 ± 1.25 bc | 15.9 ± 1.04 bc | 23.9 ± 0.55 b | 23.5 ± 0.78 b | 20.3 ± 1.98 bc | 12.5 ± 0.16 c | 48.2 ± 1.95 a | 54.9 ± 2.05 a | 58.2 ± 2.36 a | 
| Sagerinic acid * | 2.88 ± 0.03 ab | 0.85 ± 0.03 c | 0.72 ± 0.01 c | 0.97 ± 0.05 c | 0.63 ± 0.17 c | 0.84 ± 0.08 c | 0.55 ± 0.04 c | 1.98 ± 0.12 bc | 3.70 ± 0.70 a | 2.73 ± 0.38 ab | 
| Salviaflaside | <LOQ | <LOQ | <LOQ | <LOQ | <LOQ | <LOQ | <LOQ | <LOQ | <LOQ | <LOQ | 
| Total phenolic acids * | 63.5 ± 2.36 ab | 23.3 ± 0.75 cd | 20.8 ± 0.85 cd | 28.2 ± 0.87 cd | 29.1 ± 1.43 c | 26.4 ± 2.12 cd | 19.2 ± 0.26 d | 57.4 ± 2.28 b | 64.8 ± 2.59 ab | 69.8 ± 1.30 a | 
| Flavonoids | ||||||||||
| Dihydromorelloflavone | 218 ± 34 a | 216 ± 18 a | 231 ± 19 a | 217 ± 7 a | 183 ± 4 a | 190 ± 4 a | 157 ± 9 a | 194 ± 6 a | 208 ± 34 a | 175 ± 9 a | 
| Epigallocatechin gallate * | 6.60 ± 1.69 a | 4.51 ± 0.29 a | 7.59 ± 0.95 a | 6.60 ± 0.70 a | 4.22 ± 0.57 a | 4.56 ± 1.23 a | 4.15 ± 0.00 a | 5.65 ± 0.26 a | 6.13 ± 1.50 a | 3.96 ± 0.35 a | 
| Luteolin | 12 ± 0 a | <LOQ | <LOQ | <LOQ | 12 ± 0 a | <LOQ | <LOD | <LOQ | 13 ± 1 a | <LOQ | 
| Luteolin-7-O-glucuronide | 157 ± 6 a | 68 ± 3 b | 44 ± 2 b | 48 ± 3 b | 39 ± 6 b | 48 ± 4 b | 20 ± 3 b | 156 ± 23 a | 154 ± 16 a | 52 ± 0 b | 
| Theaflavic acid * | 1.22 ± 0.00 a | 1.06 ± 0.02 a | 0.956 ± 0.07 a | 0.94 ± 0.03 a | 0.97 ± 0.00 a | 0.93 ± 0.00 a | 0.78 ± 0.00 a | 1.15 ± 0.09 a | 1.20 ± 0.26 a | 1.21 ± 0.12 a | 
| Total flavonoids * | 8.21 ± 1.64 a | 5.85 ± 0.28 a | 8.82 ± 0.86 a | 7.80 ± 0.71 a | 5.42 ± 0.60 a | 5.73 ± 1.22 a | 5.11 ± 0.00 a | 7.14 ± 0.37 a | 7.70 ± 1.19 a | 5.40 ± 0.24 a | 
| Coumarin derivative | ||||||||||
| Herniarin | <LOD | <LOD | <LOD | <LOD | <LOD | <LOD | <LOD | <LOD | <LOD | <LOD | 
| Hydroxybenzaldehyde | ||||||||||
| Protocatechuic aldehyde | 66 ± 6 bcd | 49 ± 4 cd | 29 ± 5 d | 23 ± 3 d | 21 ± 0 d | 32 ± 3 d | 25 ± 13 d | 82 ± 16 bc | 112 ± 17 ab | 135 ± 0 a | 
| Total phenolic compounds * | 71.8 ± 4.00 a | 29.2 ± 0.47 bc | 29.6 ± 0.00 bc | 36.0 ± 1.57 b | 34.6 ± 0.86 bc | 32.1 ± 0.91 bc | 24.3 ± 0.28 c | 64.6 ± 2.26 a | 72.6 ± 3.80 a | 75.3 ± 1.06 a | 
| Publisher’s Note: MDPI stays neutral with regard to jurisdictional claims in published maps and institutional affiliations. | 
© 2022 by the authors. Licensee MDPI, Basel, Switzerland. This article is an open access article distributed under the terms and conditions of the Creative Commons Attribution (CC BY) license (https://creativecommons.org/licenses/by/4.0/).
Share and Cite
Mansinhos, I.; Gonçalves, S.; Rodríguez-Solana, R.; Duarte, H.; Ordóñez-Díaz, J.L.; Moreno-Rojas, J.M.; Romano, A. Response of Thymus lotocephalus In Vitro Cultures to Drought Stress and Role of Green Extracts in Cosmetics. Antioxidants 2022, 11, 1475. https://doi.org/10.3390/antiox11081475
Mansinhos I, Gonçalves S, Rodríguez-Solana R, Duarte H, Ordóñez-Díaz JL, Moreno-Rojas JM, Romano A. Response of Thymus lotocephalus In Vitro Cultures to Drought Stress and Role of Green Extracts in Cosmetics. Antioxidants. 2022; 11(8):1475. https://doi.org/10.3390/antiox11081475
Chicago/Turabian StyleMansinhos, Inês, Sandra Gonçalves, Raquel Rodríguez-Solana, Hugo Duarte, José Luis Ordóñez-Díaz, José Manuel Moreno-Rojas, and Anabela Romano. 2022. "Response of Thymus lotocephalus In Vitro Cultures to Drought Stress and Role of Green Extracts in Cosmetics" Antioxidants 11, no. 8: 1475. https://doi.org/10.3390/antiox11081475
APA StyleMansinhos, I., Gonçalves, S., Rodríguez-Solana, R., Duarte, H., Ordóñez-Díaz, J. L., Moreno-Rojas, J. M., & Romano, A. (2022). Response of Thymus lotocephalus In Vitro Cultures to Drought Stress and Role of Green Extracts in Cosmetics. Antioxidants, 11(8), 1475. https://doi.org/10.3390/antiox11081475
 
         
                                                





 
       