Antioxidant Content and Antioxidant Capacity of the Protein-Rich Powdered Beverages Enriched with Flax Seeds Gum
Abstract
:1. Introduction
2. Materials and Methods
2.1. Chemicals
2.2. Plant Material
2.3. Powdered Beverages Composition
2.4. Phenolics Analysis
2.5. Vitamin C Content
2.6. Carotenoids and Chlorophylls Content
2.7. Antioxidant Properties
2.7.1. Reducing Power (RP)
2.7.2. Ability to Quench ABTS Radicals
2.7.3. Ability to Quench Hydroxyl Radicals (•OH)
2.7.4. Chelating Power
2.8. Nutrients Analysis
2.8.1. Protein Content
2.8.2. Free Amino Acids and Peptides
2.8.3. Starch Content
2.8.4. Free Reducing Sugars
2.8.5. Nutrients Digestibility
2.9. Statistical Analysis
3. Results and Discussion
3.1. Low-Molecular Antioxidants
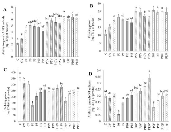
3.2. Antioxidant Potential
3.3. Nutrients Analysis
4. Conclusions
Author Contributions
Funding
Institutional Review Board Statement
Informed Consent Statement
Data Availability Statement
Conflicts of Interest
References
- Nazir, M.; Arif, S.; Sanaullah, R.; Nazir, W.; Khalid, N. Opportunities and Challenges for Functional and Medicinal Beverages: Current and Future Trends. Trends Food Sci. Technol. 2019, 88, 513–526. [Google Scholar] [CrossRef]
- Ferreira, M.S.L.; Santos, M.C.P.; Moro, T.M.A.; Basto, G.J.; Andrade, R.M.S.; Gonçalves, É.C.B.A. Formulation and Characterization of Functional Foods Based on Fruit and Vegetable Residue Flour. J. Food Sci. Technol. 2013, 52, 822–830. [Google Scholar] [CrossRef] [PubMed] [Green Version]
- Dziki, D.; Różyło, R.; Gawlik-Dziki, U.; Świeca, M. Current Trends in the Enhancement of Antioxidant Activity of Wheat Bread by the Addition of Plant Materials Rich in Phenolic Compounds. Trends Food Sci. Technol. 2014, 40, 48–61. [Google Scholar] [CrossRef]
- Sun-Waterhouse, D. The Development of Fruit-Based Functional Foods Targeting the Health and Wellness Market: A Review. Int. J. Food Sci. Technol. 2011, 46, 899–920. [Google Scholar] [CrossRef]
- Çopur, Ö.U.; İncedayı, B.; Karabacak, A.Ö. Technology and Nutritional Value of Powdered Drinks; Elsevier Inc.: Amsterdam, The Netherlands, 2019; ISBN 9780128152607. [Google Scholar]
- Bochnak-Niedźwiecka, J.; Szymanowska, U.; Świeca, M. Studies on the Development of Vegetable-Based Powdered Beverages—Effect of the Composition and Dispersing Temperature on Potential Bioaccessibility of Main Low-Molecular Antioxidants and Antioxidant Properties. LWT 2020, 131, 109822. [Google Scholar] [CrossRef]
- Bochnak-Niedźwiecka, J.; Świeca, M. Quality of New Functional Powdered Beverages Enriched with Lyophilized Fruits-Potentially Bioaccessible Antioxidant Properties, Nutritional Value, and Consumer Analysis. Appl. Sci. 2020, 10, 3668. [Google Scholar] [CrossRef]
- Świeca, M.; Baraniak, B. Influence of Elicitation with H2O2 on Phenolics Content, Antioxidant Potential and Nutritional Quality of Lens Culinaris Sprouts. J. Sci. Food Agric. 2014, 94, 489–496. [Google Scholar] [CrossRef] [PubMed]
- Ghumman, A.; Kaur, A.; Singh, N. Functionality and Digestibility of Albumins and Globulins from Lentil and Horse Gram and Their Effect on Starch Rheology. Food Hydrocoll. 2016, 61, 843–850. [Google Scholar] [CrossRef]
- Nikbakht Nasrabadi, M.; Goli, S.A.H.; Sedaghat Doost, A.; Van der Meeren, P. Characterization and Enhanced Functionality of Nanoparticles Based on Linseed Protein and Linseed Gum Biocomplexes. Int. J. Biol. Macromol. 2020, 151, 116–123. [Google Scholar] [CrossRef] [Green Version]
- Hu, Y.; Shim, Y.Y.; Reaney, M.J.T. Flaxseed Gum Solution Functional Properties. Foods 2020, 9, 681. [Google Scholar] [CrossRef]
- Bassett, C.M.C.; Rodriguez-Leyva, D.; Pierce, G.N. Experimental and Clinical Research Findings on the Cardiovascular Benefits of Consuming Flaxseed. Appl. Physiol. Nutr. Metab. 2009, 34, 965–974. [Google Scholar] [CrossRef]
- Bouaziz, F.; Koubaa, M.; Barba, F.J.; Roohinejad, S.; Chaabouni, S.E. Antioxidant Properties of Water-Soluble Gum from Flaxseed Hulls. Antioxidants 2016, 5, 26. [Google Scholar] [CrossRef] [Green Version]
- Cui, W.; Mazza, G.; Biliaderis, C.G. Chemical Structure, Molecular Size Distributions, and Rheological Properties of Flaxseed Gum. J. Agric. Food Chem. 1994, 42, 1891–1895. [Google Scholar] [CrossRef]
- Ribeiro, A.C.; Teixeira, A.R.; Ferreira, R.B. Characterization of Globulins from Common Vetch (Vicia sativa L.). J. Agric. Food Chem. 2004, 52, 4913–4920. [Google Scholar] [CrossRef] [PubMed]
- Oszmiański, J.; Wojdyło, A.; Gorzelany, J.; Kapusta, I. Identification and Characterization of Low Molecular Weight Polyphenols in Berry Leaf Extracts by HPLC-DAD and LC-ESI/MS. J. Agric. Food Chem. 2011, 59, 12830–12835. [Google Scholar] [CrossRef] [PubMed]
- Lou, Q.; Wang, L.; Liu, H.; Liu, Y. Anthocyanin Profiles in Flowers of Grape Hyacinth. Molecules 2017, 22, 688. [Google Scholar] [CrossRef] [PubMed] [Green Version]
- Tamura, H.; Takada, M.; Yoshida, Y. Pelargonidin 3-O-(6-O-Malonyl-β-D-Glucoside) in Fragaria × Ananassa Duch. cv. Nyoho. Biosci. Biotechnol. Biochem. 1995, 59, 1157–1158. [Google Scholar] [CrossRef]
- Zuchowski, J.; Pecio, Ł.; Stochmal, A. Novel Flavonol Glycosides from the Aerial Parts of Lentil (Lens Culinaris). Molecules 2014, 19, 18152–18178. [Google Scholar] [CrossRef] [Green Version]
- Cong, Y.; Zheng, M.; Huang, F.; Liu, C.; Zheng, C. Sinapic Acid Derivatives in Microwave-Pretreated Rapeseeds and Minor Components in Oils. J. Food Compos. Anal. 2020, 87, 103394. [Google Scholar] [CrossRef]
- Marzouk, M.M.; Kawashty, S.A.; Ibrahium, L.F.; Saleh, N.A.M. Two New Kaempferol Glycosides from Matthiola longipetala (subsp. livida) (Delile) Maire and Carcinogenic Evaluation of its Extract. Nat. Prod. Commun. 2008, 3, 1325–1328. [Google Scholar] [CrossRef] [Green Version]
- Lachowicz-Wiśniewska, S.; Kapusta, I.; Stinco, C.M.; Meléndez-Martínez, A.J.; Bieniek, A.; Ochmian, I.; Gil, Z. Distribution of Polyphenolic and Isoprenoid Compounds and Biological Activity Differences between in the Fruit Skin + Pulp, Seeds, and Leaves of New Biotypes of Elaeagnusmultiflora Thunb. Antioxidants 2021, 10, 849. [Google Scholar] [CrossRef] [PubMed]
- Marinas, M.; Sa, E.; Rojas, M.M.; Moalem, M.; Urbano, F.J.; Guillou, C.; Rallo, L. A Nuclear Magnetic Resonance (1H and 13C) and Isotope Ratio Mass Spectrometry (δ13C, δ2H and δ18O) Study of Andalusian Olive Oils. Rapid Commun. Mass Spectrom. 2010, 24, 1457–1466. [Google Scholar] [CrossRef]
- Mazurek, A.; Jamroz, J. Precision of Dehydroascorbic Acid Quantitation with the Use of the Subtraction Method—Validation of HPLC-DAD Method for Determination of Total Vitamin C in Food. Food Chem. 2015, 173, 543–550. [Google Scholar] [CrossRef] [PubMed]
- Sumanta, N.; Haque, C.I.; Nishika, J.; Suprakash, R. Spectrophotometric Analysis of Chlorophylls and Carotenoids from Commonly Grown Fern Species by Using Various Extracting Solvents. Res. J. Chem. Sci. 2014, 4, 63–69. [Google Scholar]
- Pulido, R.; Bravo, L.; Saura-Calixto, F. Antioxidant Activity of Dietary Polyphenols as Determined by a Modified Ferric Reducing/Antioxidant Power Assay. J. Agric. Food Chem. 2000, 48, 3396–3402. [Google Scholar] [CrossRef] [PubMed] [Green Version]
- Re, R.; Pellegrini, N.; Proteggente, A.; Pannala, A.; Yang, M.; Rice-Evans, C. Antioxidant Activity Applying an Improved ABTS Radical Cation Decolorization Assay. Free Radic. Biol. Med. 1999, 26, 1231–1237. [Google Scholar] [CrossRef]
- Su, X.Y.; Wang, Z.Y.; Liu, J.R. In Vitro and in Vivo Antioxidant Activity of Pinus Koraiensis Seed Extract Containing Phenolic Compounds. Food Chem. 2009, 117, 681–686. [Google Scholar] [CrossRef]
- Decker, E.A.; Welch, B. Role of Ferritin as a Lipid Oxidation Catalyst in Muscle Food. J. Agric. Food Chem. 1990, 38, 674–677. [Google Scholar] [CrossRef]
- Bradford, M.M. A Rapid and Sensitive Method for the Quantitation of Microgram Quantities of Protein Utilizing the Principle of Protein-Dye Binding. Anal. Biochem. 1976, 72, 248–254. [Google Scholar] [CrossRef]
- Adler-Nissen, J. Determination of the Degree of Hydrolysis of Food Protein Hydrolysates by Trinitrobenzenesulfonic Acid. J. Agric. Food Chem. 2002, 27, 1256–1262. [Google Scholar] [CrossRef]
- Miller, G.L. Use of Dinitrosalicylic Acid Reagent for Determination of Reducing Sugar. Anal. Chem. 1959, 31, 426–428. [Google Scholar] [CrossRef]
- Minekus, M.; Alminger, M.; Alvito, P.; Ballance, S.; Bohn, T.; Bourlieu, C.; Carrì, F.; Boutrou, R.; Corredig, F.M.; Dupont, D.; et al. A Standardised Static In Vitro Digestion Method Suitable for Food—An International Consensus. Food Funct. 2014, 5, 1113–1124. [Google Scholar] [CrossRef] [PubMed] [Green Version]
- Liberal, Â.; Fernandes, Â.; Polyzos, N.; Petropoulos, S.A.; Dias, M.I.; Pinela, J.; Petrović, J.; Soković, M.; Ferreira, I.C.F.R.; Barros, L. Bioactive Properties and Phenolic Compound Profiles of Turnip-Rooted, Plain-Leafed and Curly-Leafed Parsley Cultivars. Molecules 2020, 25, 5606. [Google Scholar] [CrossRef] [PubMed]
- Pérez-Balibrea, S.; Moreno, D.A.; García-Viguera, C. Improving the Phytochemical Composition of Broccoli Sprouts by Elicitation. Food Chem. 2011, 129, 35–44. [Google Scholar] [CrossRef]
- Złotek, U.; Świeca, M.; Reguła, J.; Jakubczyk, A.; Sikora, M.; Gawlik-Dziki, U.; Kapusta, I. Effects of Probiotic L. Plantarum 299v on Consumer Quality, Accumulation of Phenolics, Antioxidant Capacity and Biochemical Changes in Legume Sprouts. Int. J. Food Sci. Technol. 2019, 54, 2437–2446. [Google Scholar] [CrossRef]
- Pedrosa, M.M.; Varela, A.; Domínguez-Timón, F.; Tovar, C.A.; Moreno, H.M.; Borderías, A.J.; Díaz, M.T. Comparison of Bioactive Compounds Content and Techno-Functional Properties of Pea and Bean Flours and Their Protein Isolates. Plant Foods Hum. Nutr. 2020, 75, 642–650. [Google Scholar] [CrossRef]
- Seczyk, L.; Swieca, M.; Kapusta, I.; Gawlik-Dziki, U. Protein–Phenolic Interactions as a Factor Affecting the Physicochemical Properties of White Bean Proteins. Molecules 2019, 24, 408. [Google Scholar] [CrossRef] [Green Version]
- Guimarães, J.T.; Silva, E.K.; Arruda, H.S.; Freitas, M.Q.; Pastore, G.M.; Meireles, M.A.A.; Cruz, A.G. How Does the Degree of Inulin Polymerization Affect the Bioaccessibility of Bioactive Compounds from Soursop Whey Beverage during In Vitro Gastrointestinal Digestion? Food Hydrocoll. 2020, 101, 105511. [Google Scholar] [CrossRef]
- Buchweitz, M.; Speth, M.; Kammerer, D.R.; Carle, R. Stabilisation of Strawberry (Fragaria x Ananassa Duch.) Anthocyanins by Different Pectins. Food Chem. 2013, 141, 2998–3006. [Google Scholar] [CrossRef]
- Fernandes, A.; Brás, N.F.; Mateus, N.; De Freitas, V. Understanding the Molecular Mechanism of Anthocyanin Binding to Pectin. Langmuir 2014, 30, 8516–8527. [Google Scholar] [CrossRef]
- Brenes, C.H.; Del Pozo-Insfran, D.; Talcott, S.T. Stability of Copigmented Anthocyanins and Ascorbic Acid in a Grape Juice Model System. J. Agric. Food Chem. 2005, 53, 49–56. [Google Scholar] [CrossRef] [PubMed]
- Tian, J.; Mao, Q.; Dong, M.; Wang, X.; Rui, X.; Zhang, Q.; Chen, X.; Li, W. Structural Characterization and Antioxidant Activity of Exopolysaccharide from Soybean Whey Fermented by Lacticaseibacillus plantarum 70810. Foods 2021, 10, 2780. [Google Scholar] [CrossRef]
- Gunasekaran, S.; Govindan, S.; Ramani, P. Investigation of Chemical and Biological Properties of an Acidic Polysaccharide Fraction from Pleurotus Eous (Berk.) Sacc. Food Biosci. 2021, 42, 101209. [Google Scholar] [CrossRef]
- Fan, J.; Wu, Z.; Zhao, T.; Sun, Y.; Ye, H.; Xu, R.; Zeng, X. Characterization, Antioxidant and Hepatoprotective Activities of Polysaccharides from Ilex Latifolia Thunb. Carbohydr. Polym. 2014, 101, 990–997. [Google Scholar] [CrossRef] [PubMed]
- Gawlik-Dziki, U.; Świeca, M.; Dziki, D.; Sęczyk, Ł.; Złotek, U.; Różyło, R.; Kaszuba, K.; Ryszawy, D.; Czyż, J. Anticancer and Antioxidant Activity of Bread Enriched with Broccoli Sprouts. BioMed Res. Int. 2014, 2014, 608053. [Google Scholar] [CrossRef]
- Seczyk, Ł.; Świeca, M.; Gawlik-Dziki, U.; Luty, M.; Czyz, J. Effect of Fortification with Parsley (Petroselinum Crispum Mill.) Leaves on the Nutraceutical and Nutritional Quality of Wheat Pasta. Food Chem. 2016, 190, 419–428. [Google Scholar] [CrossRef] [PubMed]
- Larsen, L.R.; Buerschaper, J.; Schieber, A.; Weber, F. Interactions of Anthocyanins with Pectin and Pectin Fragments in Model Solutions. J. Agric. Food Chem. 2019, 67, 9344–9353. [Google Scholar] [CrossRef]
- Zhang, Y.; Chen, S.; Qi, B.; Sui, X.; Jiang, L. Complexation of Thermally-Denatured Soybean Protein Isolate with Anthocyanins and Its Effect on the Protein Structure and In Vitro Digestibility. Food Res. Int. 2018, 106, 619–625. [Google Scholar] [CrossRef]
- Spínola, V.; Llorent-Martínez, E.J.; Castilho, P.C. Inhibition of α-Amylase, α-Glucosidase and Pancreatic Lipase by Phenolic Compounds of Rumex Maderensis (Madeira Sorrel). Influence of Simulated Gastrointestinal Digestion on Hyperglycaemia-Related Damage Linked with Aldose Reductase Activity and Protein Glycation. LWT-Food Sci. Technol. 2020, 118, 108727. [Google Scholar] [CrossRef]
- Krishnan, V.; Rani, R.; Awana, M.; Pitale, D.; Kulshreshta, A.; Sharma, S.; Bollinedi, H.; Singh, A.; Singh, B.; Singh, A.K.; et al. Role of Nutraceutical Starch and Proanthocyanidins of Pigmented Rice in Regulating Hyperglycemia: Enzyme Inhibition, Enhanced Glucose Uptake and Hepatic Glucose Homeostasis Using In Vitro Model. Food Chem. 2021, 335, 127505. [Google Scholar] [CrossRef]
- Goh, R.; Gao, J.; Ananingsih, V.K.; Ranawana, V.; Henry, C.J.; Zhou, W. Green Tea Catechins Reduced the Glycaemic Potential of Bread: An In Vitro Digestibility Study. Food Chem. 2015, 180, 203–210. [Google Scholar] [CrossRef] [PubMed]
- Ghavidel, R.A.; Prakash, J. The Impact of Germination and Dehulling on Nutrients, Antinutrients, In Vitro Iron and Calcium Bioavailability and In Vitro Starch and Protein Digestibility of Some Legume Seeds. LWT-Food Sci. Technol. 2007, 40, 1292–1299. [Google Scholar] [CrossRef]



| Beverage | Lyophilized Components [%] | ||||||
|---|---|---|---|---|---|---|---|
| Sprouted Lentil Flour | Lentil Protein (AGF) | Carrot | Pumpkin | Vegetables | Fruit | Flaxseed Gum (FSG) | |
| C | 40 | 0 | 30 | 30 | 0 | 0 | 0 |
| CV | 30 | 0 | 30 | 30 | 10 | 0 | 0 |
| CF | 30 | 0 | 30 | 30 | 0 | 10 | 0 |
| P0 | 0 | 40 | 30 | 30 | 0 | 0 | 0 |
| P5 | 0 | 37 | 29 | 29 | 0 | 0 | 5 |
| P10 | 0 | 36 | 27 | 27 | 0 | 0 | 10 |
| P15 | 0 | 35 | 25 | 25 | 0 | 0 | 15 |
| P0V | 0 | 30 | 30 | 30 | 10 | 0 | 0 |
| P5V | 0 | 28 | 29 | 29 | 9 | 0 | 5 |
| P10V | 0 | 28 | 27 | 27 | 8 | 0 | 10 |
| P15V | 0 | 26 | 26 | 26 | 7 | 0 | 15 |
| P0F | 0 | 30 | 30 | 30 | 0 | 10 | 0 |
| P5F | 0 | 28 | 29 | 29 | 0 | 9 | 5 |
| P10F | 0 | 28 | 27 | 27 | 0 | 8 | 10 |
| P15F | 0 | 26 | 26 | 26 | 0 | 7 | 15 |
| Compound | RT | Ion +/− | Fragment Ions | Absorbance Maxima | Refrences | |
|---|---|---|---|---|---|---|
| (min.) | (m/z) | (m/z) | (nm) | |||
| Anthocyanins | ||||||
| A1 | Cyanidin 3-O-diglucoside | 2.47 | 611 + | 287 | 279, 515 | S * |
| A2 | Cyanidin 3-O-caffeoyl-rutinoside | 2.55 | 757 + | 611, 287 | 279, 515 | [17] |
| A3 | Cyanidin 3-O-glucoside | 2.69 | 449 + | 287 | 279,515 | S |
| A4 | Cyanidin 3-O-rutinoside | 2.80 | 595 + | 287 | 278, 515 | S |
| A5 | Pelargonidin 3-O-glucoside | 3.08 | 433 + | 271 | 276, 502 | S |
| A6 | Pelargonidin 3-O-malonyl-glucoside | 3.77 | 519 + | 433, 271 | 269, 502 | [18] |
| Other phenolics | ||||||
| P1 | Kaempferol 3-O-glucoside-rutinoside-7-O-rhamnoside | 3.19 | 901 − | 755, 285 | 265, 345 | [19] |
| P2 | Chlorogenic acid | 3.32 | 353 − | 191 | 299 sh, 329 | S |
| P3 | Sinapoyl glucoside | 3.39 | 385 | 223 | 299 sh, 329 | [20] |
| P4 | Kaempferol 3-O-rutinoside-7-O-glucoside | 3.66 | 725 | 563, 285 | 263, 349 | [19] |
| P5 | Kaempferol 3-O-rhamnoside-7-O-pentoside | 5.11 | 563 | 431, 285 | 266, 336 | [19] |
| P6 | Kaempferol 3-O-rutinoside | 5.43 | 593 | 285 | 266, 336 | S |
| P7 | Kaempferol 3-O-malonyl-glucoside-7-O-glucuronide | 5.61 | 709 | 623, 461, 285 | 266, 336 | [21] |
| P8 | Kaempferol 3-O-malonyl-rhamnoside-7-O-pentoside | 5.73 | 649 | 563, 431, 285 | 266, 336 | [22] |
| P9 | Kaempferol 3-O-acetyl-rutinoside | 5.89 | 635 | 593, 285 | 266, 345 | [22] |
| P10 | Kaempferol 3-O-malonyl-rutinoside | 5.97 | 679 | 593, 285 | 266, 345 | [22] |
| P11 | Caffeoyl pinoresinol | 6.15 | 591 | 357 | 299 sh, 329 | [23] |
| P12 | Undefined caffeoyl derivative | 6.32 | 960 | 579 | 299 sh, 326 | - |
| C | CV | CF | P0 | P5 | P10 | P15 | P0V | P5V | P10V | P15V | P0F | P5F | P10F | P15F | |
|---|---|---|---|---|---|---|---|---|---|---|---|---|---|---|---|
| A1 | nd. | nd. | 6.0 ± 0.8 a | nd. | nd. | nd. | nd. | nd. | nd. | nd. | nd. | 3.8 ± 0.5 c | 4.0 ± 05 c | 4.3 ± 0. 6bc | 4.9 ± 0.6 b |
| A2 | nd. | nd. | 3.0 ± 0.7 a | nd. | nd. | nd. | nd. | nd. | nd. | nd. | nd. | 2.3 ± 0.5 a | 2.4 ± 0.5 a | 2.4 ± 0.6 a | 2.6 ± 0.6 a |
| A3 | nd. | nd. | 2.9 ± 0.4 a | nd. | nd. | nd. | nd. | nd. | nd. | nd. | nd. | 2.4 ± 0.3 b | 2.4 ± 0.3 b | 2.5 ± 0.3 b | 2.5 ± 0.3 ab |
| A4 | nd. | nd. | 2.5 ± 0.1 a | nd. | nd. | nd. | nd. | nd. | nd. | nd. | nd. | 2.2 ± 0.1 d | 2.2 ± 0.1 d | 2.3 ± 0.1 c | 2.4 ± 0.1 b |
| A5 | nd. | nd. | 9.2 ± 1.5 a | nd. | nd. | nd. | nd. | nd. | nd. | nd. | nd. | 5.9 ± 1.0 c | 6.8 ± 1.1 bc | 6.8 ± 1.1 bc | 8.1 ± 1.3 ab |
| A6 | nd. | nd. | 2.9 ± 0.4 a | nd. | nd. | nd. | nd. | nd. | nd. | nd. | nd. | 2.4 ± 0.3 b | 2.6 ± 0.4 ab | 2.6 ± 0.4 ab | 2.8 ± 0.4 ab |
| P1 | 26.2 ± 0.7 a | 18.2 ± 0.5 c | 20.2 ± 0.6 b | 8.0 ± 0.2 d | 6.0 ± 0.2 ef | 6.2 ± 0.2 ef | 5.9 ± 0.2 fg | 5.3 ± 0.2 g | 5.6 ± 0.2 fg | 3.3 ± 0.1 h | 3.8 ± 0.1 h | 7.9 ± 0.2 d | 6.2 ± 0.2 ef | 5.7 ± 0.2 fg | 6.6 ± 0.2 e |
| P2 | 0.2 ± 0.1 o | 4.3 ± 0.1 d | 0.3 ± 0.1 n | 0.9 ± 0.1 g | 0.6 ± 0.1 j | 0.5 ± 0.1 l | 0.7 ± 0.1 h | 6.8 ± 0.1 a | 6.0 ± 0.1 b | 4.5 ± 0.1 c | 1.4 ± 0.1 e | 0.5 ± 0.1 k | 0.4 ± 0.1 m | 0.7 ± 0.1 i | 1.1 ± 0.1 f |
| P3 | 0.3 ± 0.1 g | 14.7 ± 0.3 c | 1.0 ± 0.1 f | 0.2 ± 0.1 g | 0.1 ± 0.1 g | 0.2 ± 0.1 g | 0.2 ± 0.1 g | 19.9 ± 0.4 a | 16.5 ± 0.4 b | 12.4 ± 0.3 d | 6.1 ± 0.1 e | 1.4 ± 0.1 ef | 1.0 ± 0.1 f | 1.3 ± 0.1 ef | 1.7 ± 0.1 f |
| P4 | 0.3 ± 0.1 f | nd. | 0.6 ± 0.1 cd | 0.2 ± 0.1 gh | 0.3 ± 0.1 f | 0.3 ± 0.1 f | 0.2 ± 0.1 fg | 1.7 ± 0.1 a | 1.3 ± 0.1 b | 0.5 ± 0.1 e | 0.3 ± 0.1 fg | 0.2 ± 0.1 h | 0.6 ± 0.1 d | 0.5 ± 0.1 e | 0.7 ± 0.1 c |
| P5 | 0.3 ± 0.1i | 5.3 ± 0.2 d | 1.5 ± 0.1 fg | 0.3 ± 0.1 i | 0.2 ± 0.1 i | 0.1 ± 0.1 i | 0.1 ± 0.1 i | 8.6 ± 0.4 b | 11.2 ± 0.5 a | 6.7 ± 03 c | 3.3 ± 0.1 e | 1.1 ± 0.1 h | 1.1 ± 0.1 h | 1.4 ± 0.1 gh | 1.8 ± 0.1 f |
| P6 | 0.2 ± 0.1 i | 2.5 ± 0.1 c | 0.3 ± 0.1 hi | 0.7 ± 0.1 de | 0.7 ± 0.1 d | 0.5 ± 0.1 defgh | 0.5 ± 0.1 defg | 3.5 ± 0.2 b | 4.5 ± 0.3 a | 2.7 ± 0.2 c | 2.7 ± 0.2 c | 0.6 ± 0.0 def | 0.5 ± 0.1 efgh | 0.4 ± 0.1 fgh | 0.4 ± 0.1 ghi |
| P7 | 0.1 ± 0.1 f | 44.8 ± 3.3 a | nd. | 0.9 ± 0.1 f | 0.8 ± 0.1 f | 0.5 ± 0.1 f | 2.9 ± 0.2 e | 12.8 ± 0.9 b | 12.0 ± 0.9 b | 8.3 ± 0.6 c | 5.0 ± 0.4 d | 0.7 ± 0.1 f | 0.3 ± 0.1 f | 0.3 ± 0.1f | 0.3 ± 0.1 f |
| P8 | nd. | nd. | nd. | nd. | 0.8 ± 0.1 e | nd. | nd. | 35.3 ± 0.6 b | 37.7 ± 0.7 a | 22.4 ± 0.4 c | 21.3 ± 0.4 d | nd. | 0.6 ± 0.1 e | nd. | nd. |
| P9 | nd. | nd. | nd. | nd. | 0.2 ± 0.1 f | nd. | nd. | 1.6 ± 0.1 b | 2.0 ± 0.1 a | 0.9 ± 0.1 c | 0.9 ± 0.1 d | 0.3 ± 0.1 e | 0.2 ± 0.1 f | 0.3 ± 0.1 ef | 0.2 ± 0.1 g |
| P10 | 0.4 ± 0.1 f | 12.5 ± 0.3 a | nd. | 0.3 ± 0.1 fg | 0.1 ± 0.1 fgh | 0.3 ± 0.1 fg | 0.3 ± 0.1 f | 10.4 ± 0.2 c | 11.4 ± 0.2 b | 6.4 ± 0.1 d | 6.1 ± 0.1 e | 0.3 ± 0.1 fg | 0.1 ± 0.1 gh | 0.3 ± 0.1 fg | 0.3 ± 0.1 fg |
| P11 | 0.3 ± 0.1 f | 3.0 ± 0.1 c | nd. | 0.2 ± 0.1 i | 0.3 ± 0.1 ghi | 0.3 ± 0.1 fg | 0.3 ± 0.1 fg | 3.7 ± 0.1 a | 3.3 ± 0.1 b | 2.2 ± 0.1 d | 1.0 ± 0.1 e | 0.2 ± 0.1 hi | 0.3 ± 0.1 fgh | 0.3 ± 0.1 ghi | 0.3 ± 0.1 fg |
| P12 | 0.3 ± 0.1 d | 13.5 ± 1.7 a | nd. | 0.3 ± 0.1 d | 0.3 ± 0.1 d | 0.2 ± 0.1 d | 0.3 ± 0.1 d | 14.6 ± 1.8 a | 13.2 ± 1.6 a | 9.8 ± 1.2 b | 5.4 ± 0.1 c | 0.2 ± 0.1 d | 0.1 ± 0.1 d | 0.3 ± 0.1 d | 0.2 ± 0.1 d |
| TOTAL | 28.55 | 118.81 | 50.54 | 11.97 | 10.25 | 9.02 | 11.57 | 124.10 | 124.64 | 80.10 | 57.11 | 32.55 | 31.77 | 32.37 | 36.71 |
| Ascorbic Acid [μg/g of Powder] | Dehydroascorbic Acid [μg/g of Powder] | Vitamin C [μg/g of Powder] | Chlorophyll a [μg/g of Powder] | Chlorophyll b [μg/g of Powder] | Carotenoids [μg/g of Powder] | |
|---|---|---|---|---|---|---|
| C | 468 ± 9.6 g | 145 ± 11.2 d | 613 ± 20.8 g | 98.7 ± 0.4 d | 90.4 ± 1.5 b | 255 ± 8.3 abc |
| CV | 1105 ± 30.4 a | 253 ± 6.8 bc | 1358 ± 23.7 a | 158 ± 3.5 ab | 98.7 ± 0.9 a | 250 ± 7.4 abc |
| CF | 918 ± 9.8 d | 121 ± 6.6 d | 1039 ± 16.4 e | 99.5 ± 1.3 d | 89.6 ± 0.3 b | 190 ± 8.9 d |
| P0 | 412 ± 0.1 h | 162 ± 5.8 d | 573 ± 5.9 gh | 100 ± 2.5 d | 92.1 ± 2.9 b | 254 ± 20.4 abc |
| P5 | 416 ± 2.8 h | 161 ± 2.5 d | 577 ± 0.3 gh | 103 ± 6.8 d | 91.0 ± 1.2 b | 230 ± 8.6 bc |
| P10 | 407 ± 2.0 h | 121 ± 9.8 d | 528 ± 7.8 hi | 101 ± 2.4 d | 90.4 ± 1.1 b | 230 ± 4.4 bc |
| P15 | 356 ± 31.6 i | 125 ± 41.9 d | 481 ± 73.5 i | 99.3 ± 1.4 d | 90.2 ± 1.1 b | 219 ± 8.0 cd |
| P0V | 1014 ± 4.1 b | 310 ± 27.7 a | 1324 ± 23.7 ab | 162 ± 6.2 a | 101.4 ± 2.0 a | 274 ± 12.6 a |
| P5V | 957 ± 12.1 c | 302 ± 19.1 a | 1259 ± 31.2 b | 156 ± 5.8 ab | 101 ± 2.3 a | 271 ± 30.9 a |
| P10V | 914 ± 11.1 d | 268 ± 29.3 ab | 1181 ± 18.2 c | 152 ± 2.8 bc | 99.2 ± 1.2 a | 276 ± 6.6 a |
| P15V | 894 ± 5.8 d | 214 ± 33.7 c | 1107 ± 39.5 d | 147 ± 1.2 c | 99.1 ± 2.2 a | 276 ± 19.4 a |
| P0F | 796 ± 5.5 e | 138 ± 4.4 d | 934 ± 1.1 f | 98.9 ± 0.5 d | 89.6 ± 0.5 b | 275 ± 17.9 a |
| P5F | 781 ± 11.2 e | 150 ± 7.0 d | 931 ± 4.2 f | 98.7 ± 2.4 d | 91.0 ± 2.2 b | 274 ± 10.1 a |
| P10F | 740 ± 12.0 f | 148 ± 0.4 d | 888 ± 12.4 f | 99.5 ± 1.3 d | 90.2 ± 1.1 b | 272 ± 8.9 a |
| P15F | 736 ± 6.6 f | 154 ± 5.2 d | 891 ± 11.7 f | 99.5 ± 1.3 d | 89.6 ± 0.9 b | 258 ± 23.1 ab |
Publisher’s Note: MDPI stays neutral with regard to jurisdictional claims in published maps and institutional affiliations. |
© 2022 by the authors. Licensee MDPI, Basel, Switzerland. This article is an open access article distributed under the terms and conditions of the Creative Commons Attribution (CC BY) license (https://creativecommons.org/licenses/by/4.0/).
Share and Cite
Bochnak-Niedźwiecka, J.; Szymanowska, U.; Kapusta, I.; Świeca, M. Antioxidant Content and Antioxidant Capacity of the Protein-Rich Powdered Beverages Enriched with Flax Seeds Gum. Antioxidants 2022, 11, 582. https://doi.org/10.3390/antiox11030582
Bochnak-Niedźwiecka J, Szymanowska U, Kapusta I, Świeca M. Antioxidant Content and Antioxidant Capacity of the Protein-Rich Powdered Beverages Enriched with Flax Seeds Gum. Antioxidants. 2022; 11(3):582. https://doi.org/10.3390/antiox11030582
Chicago/Turabian StyleBochnak-Niedźwiecka, Justyna, Urszula Szymanowska, Ireneusz Kapusta, and Michał Świeca. 2022. "Antioxidant Content and Antioxidant Capacity of the Protein-Rich Powdered Beverages Enriched with Flax Seeds Gum" Antioxidants 11, no. 3: 582. https://doi.org/10.3390/antiox11030582
APA StyleBochnak-Niedźwiecka, J., Szymanowska, U., Kapusta, I., & Świeca, M. (2022). Antioxidant Content and Antioxidant Capacity of the Protein-Rich Powdered Beverages Enriched with Flax Seeds Gum. Antioxidants, 11(3), 582. https://doi.org/10.3390/antiox11030582

