Anticancer and Anti-Neuroinflammatory Constituents Isolated from the Roots of Wasabia japonica
Abstract
:1. Introduction
2. Materials and Methods
2.1. General Experimental Procedures
2.2. Plant Material
2.3. Extraction and Isolation
2.4. Sulforhodamine B Colorimetric Assay
2.5. Nitric Oxide (NO) Assay
2.6. Nerve Growth Factor (NGF) Assay
3. Results and Discussion
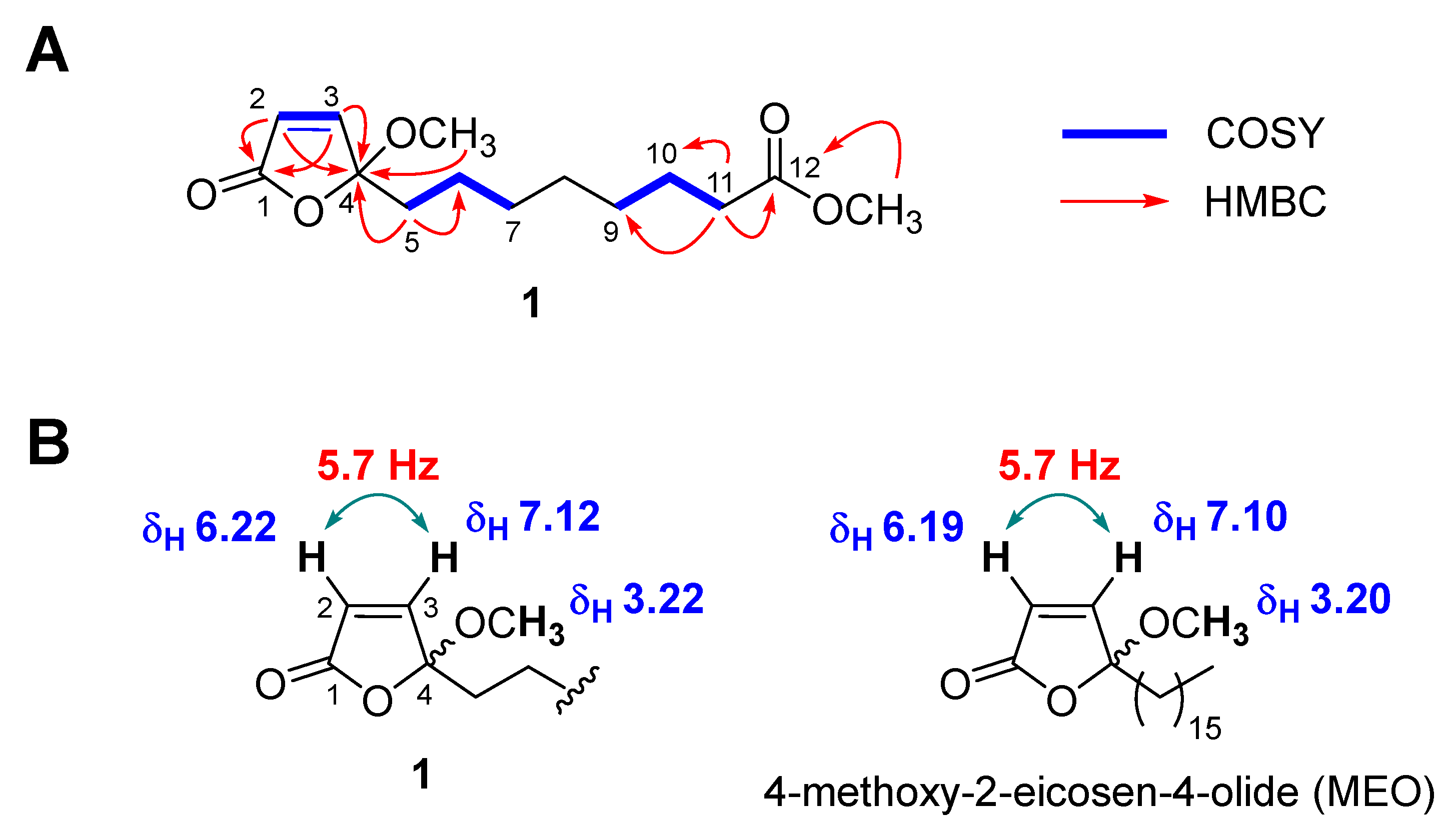
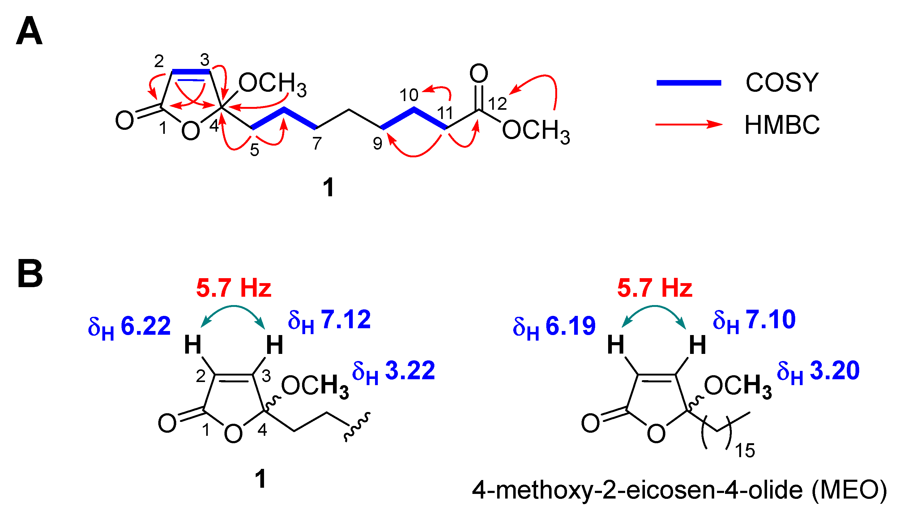
3.1. Structure Elucidation of Compounds 1–18
3.2. Biosynthetic Proposal of the New Compound 1
3.3. Antiproliferative Activity of the Isolated Compounds (1–18)
3.4. Anti-Neuroinflammatory Activity of the Isolated Compounds (1–18)
3.5. Neurotrophic Activity of the Isolated Compounds (1–18)
4. Conclusions
Supplementary Materials
Author Contributions
Funding
Institutional Review Board Statement
Informed Consent Statement
Data Availability Statement
Conflicts of Interest
References
- Manesh, C.; Kuttan, G. Effect of naturally occurring allyl and phenyl isothiocyanates in the inhibition of experimental pulmonary metastasis induced by B16F-10 melanoma cells. Fitoterapia 2003, 74, 355–363. [Google Scholar] [CrossRef]
- Lee, M.-J.; Tseng, W.-S.; Lai, J.C.-Y.; Shieh, H.-R.; Chi, C.-W.; Chen, Y.-J. Differential pharmacological activities of oxygen numbers on the sulfoxide moiety of wasabi compound 6-(methylsulfinyl) hexyl isothiocyanate in human oral cancer cells. Molecules 2018, 23, 2427. [Google Scholar] [CrossRef] [PubMed] [Green Version]
- Yano, S.; Wu, S.; Sakao, K.; Hou, D.X. Wasabi 6-(methylsulfinyl) hexyl isothiocyanate induces apoptosis in human colorectal cancer cells through p53-independent mitochondrial dysfunction pathway. BioFactors 2018, 44, 361–368. [Google Scholar] [CrossRef] [PubMed]
- Fuke, Y.; Hishinuma, M.; Namikawa, M.; Oishi, Y.; Matsuzaki, T. Wasabi-derived 6-(methylsulfinyl) hexyl isothiocyanate induces apoptosis in human breast cancer by possible involvement of the NF-κB pathways. Nutr. Cancer 2014, 66, 879–887. [Google Scholar] [CrossRef] [PubMed]
- Chen, Y.-J.; Huang, Y.-C.; Tsai, T.-H.; Liao, H.-F. Effect of wasabi component 6-(methylsulfinyl) hexyl isothiocyanate and derivatives on human pancreatic cancer cells. Evid. Based Complement. Altern. Med. 2014, 2014, 494739. [Google Scholar] [CrossRef]
- Mizuno, K.; Kume, T.; Muto, C.; Takada-Takatori, Y.; Izumi, Y.; Sugimoto, H.; Akaike, A. Glutathione biosynthesis via activation of the nuclear factor E2–related factor 2 (Nrf2)–antioxidant-response element (ARE) pathway is essential for neuroprotective effects of sulforaphane and 6-(methylsulfinyl) hexyl isothiocyanate. J. Pharmacol. Sci. 2011, 115, 320–328. [Google Scholar] [CrossRef] [Green Version]
- Lohning, A.; Kidachi, Y.; Kamiie, K.; Sasaki, K.; Ryoyama, K.; Yamaguchi, H. 6-(methylsulfinyl) hexyl isothiocyanate (6-MITC) from Wasabia japonica alleviates inflammatory bowel disease (IBD) by potential inhibition of glycogen synthase kinase 3 beta (GSK-3β). Eur. J. Med. Chem. 2021, 216, 113250. [Google Scholar] [CrossRef]
- Kim, M.W.; Choi, S.; Kim, S.Y.; Yoon, Y.S.; Kang, J.-H.; Oh, S.H. Allyl isothiocyanate ameliorates dextran sodium sulfate-induced colitis in mouse by enhancing tight junction and mucin expression. Int. J. Mol. Sci. 2018, 19, 2025. [Google Scholar] [CrossRef] [PubMed] [Green Version]
- Subedi, L.; Venkatesan, R.; Kim, S.Y. Neuroprotective and anti-inflammatory activities of allyl isothiocyanate through attenuation of JNK/NF-κB/TNF-α signaling. Int. J. Mol. Sci. 2017, 18, 1423. [Google Scholar] [CrossRef] [PubMed] [Green Version]
- Ko, M.-O.; Kim, M.-B.; Lim, S.-B. Relationship between chemical structure and antimicrobial activities of isothiocyanates from cruciferous vegetables against oral pathogens. J. Microbiol. Biotechnol. 2016, 26, 2036–2042. [Google Scholar] [CrossRef]
- Hosoya, T.; Yun, Y.S.; Kunugi, A. Antioxidant phenylpropanoid glycosides from the leaves of Wasabia japonica. Phytochemistry 2008, 69, 827–832. [Google Scholar] [CrossRef]
- Weil, M.J.; Zhang, Y.; Nair, M.G. Tumor cell proliferation and cyclooxygenase inhibitory constituents in horseradish (Armoracia rusticana) and Wasabi (Wasabia japonica). J. Agric. Food. Chem. 2005, 53, 1440–1444. [Google Scholar] [CrossRef]
- Pedras, M.S.C.; Sorensen, J.L.; Okanga, F.I.; Zaharia, I.L. Wasalexins A and B, new phytoalexins from wasabi: Isolation, synthesis, and antifungal activity. Bioorg. Med. Chem. Lett. 1999, 9, 3015–3020. [Google Scholar] [CrossRef]
- Kim, C.S.; Oh, J.; Subedi, L.; Kim, S.Y.; Choi, S.U.; Lee, K.R. Rare thioglycosides from the roots of Wasabia japonica. J. Nat. Prod. 2018, 81, 2129–2133. [Google Scholar] [CrossRef] [PubMed]
- Kim, C.S.; Subedi, L.; Kwon, O.W.; Park, H.B.; Kim, S.Y.; Choi, S.U.; Lee, K.R. Wasabisides A–E, lignan glycosides from the roots of Wasabia japonica. J. Nat. Prod. 2016, 79, 2652–2657. [Google Scholar] [CrossRef] [PubMed]
- Miller, M.; Hegedus, L.S. Synthesis of optically active butenolides via chromium alkoxycarbene complexes: Total synthesis of (+)-tetrahydrocerulenin and two butenolides from the marine sponge Plakortis lita. J. Org. Chem. 1993, 58, 6779–6785. [Google Scholar] [CrossRef]
- Skehan, P.; Storeng, R.; Scudiero, D.; Monks, A.; McMahon, J.; Vistica, D.; Warren, J.T.; Bokesch, H.; Kenney, S.; Boyd, M.R. New colorimetric cytotoxicity assay for anticancer-drug screening. JNCI J. Natl. Cancer Inst. 1990, 82, 1107–1112. [Google Scholar] [CrossRef]
- Kim, C.S.; Oh, J.; Suh, W.S.; Jang, S.W.; Subedi, L.; Kim, S.Y.; Choi, S.U.; Lee, K.R. Investigation of chemical constituents from Spiraea prunifolia var. simpliciflora and their biological activities. Phytochem. Lett. 2017, 22, 255–260. [Google Scholar] [CrossRef]
- Blasi, E.; Barluzzi, R.; Bocchini, V.; Mazzolla, R.; Bistoni, F. Immortalization of murine microglial cells by a v-raf/v-myc carrying retrovirus. J. Neuroimmunol. 1990, 27, 229–237. [Google Scholar] [CrossRef]
- Choi, Y.; Lee, M.K.; Lim, S.Y.; Sung, S.H.; Kim, Y.C. Inhibition of inducible NO synthase, cyclooxygenase-2 and interleukin-1β by torilin is mediated by mitogen-activated protein kinases in microglial BV2 cells. Br. J. Pharmacol. 2009, 156, 933–940. [Google Scholar] [CrossRef] [Green Version]
- Kim, C.S.; Subedi, L.; Oh, J.; Kim, S.Y.; Choi, S.U.; Lee, K.R. Bioactive triterpenoids from the twigs of Chaenomeles sinensis. J. Nat. Prod. 2017, 80, 1134–1140. [Google Scholar] [CrossRef] [PubMed]
- Mansoor, T.A.; Hong, J.; Lee, C.-O.; Sim, C.J.; Im, K.S.; Lee, D.S.; Jung, J.H. New cytotoxic metabolites from a marine sponge Homaxinella sp. J. Nat. Prod. 2004, 67, 721–724. [Google Scholar] [CrossRef] [PubMed]
- De Guzman, F.S.; Schmitz, F.J. Peroxy aliphatic esters from the sponge Plakortis lita. J. Nat. Prod. 1990, 53, 926–931. [Google Scholar] [CrossRef]
- Cravotto, G.; Calcio Gaudino, E.; Barge, A.; Binello, A.; Albertino, A.; Aghemo, C. Synthesis of 1-octacosanol and GC-C-IRMS discrimination of samples from different origin. Nat. Prod. Res. 2010, 24, 428–439. [Google Scholar] [CrossRef]
- Khlebnikova, T.B.; Pai, Z.P.; Fedoseeva, L.A.; Mattsat, Y.V. Catalytic oxidation of fatty acids. II. Epoxidation and oxidative cleavage of unsaturated fatty acid esters containing additional functional groups. React. Kinet. Catal. Lett. 2009, 98, 9–17. [Google Scholar] [CrossRef]
- Zimmermann, F.; Meux, E.; Mieloszynski, J.-L.; Lecuire, J.-M.; Oget, N. Ruthenium catalysed oxidation without CCl4 of oleic acid, other monoenic fatty acids and alkenes. Tetrahedron Lett. 2005, 46, 3201–3203. [Google Scholar] [CrossRef]
- Dawar, P.; Raju, M.B.; Ramakrishna, R.A. One-pot esterification and Ritter reaction: Chemo-and regioselectivity from tert-butyl methyl ether. Tetrahedron Lett. 2011, 52, 4262–4265. [Google Scholar] [CrossRef]
- Radulović, N.; Dekić, M.; Stojanović-Radić, Z. A new antimicrobial glucosinolate autolysis product, 4-isothiocyanatobutanoic acid, from the diffuse wallflower (Erysimum diffusum): Methyl 4-isothiocyanatobutanoate, a long unrecognized artifact of the isolation procedure? Food Chem. 2011, 129, 125–130. [Google Scholar] [CrossRef]
- Liu, X.Q.; Baek, W.-S.; Ahn, D.-K.; Choi, H.-Y.; Yook, C.-S. The constituents of the aerial part of Gastrodia elata Blume. Nat. Prod. Sci. 2002, 8, 137–140. [Google Scholar]
- Crosignani, S.; White, P.D.; Linclau, B. Polymer-supported O-alkylisoureas: Useful reagents for the O-alkylation of carboxylic acids. J. Org. Chem. 2004, 69, 5897–5905. [Google Scholar] [CrossRef]
- Frankel, E.N.; Garwood, R.F.; Khambay, B.P.; Moss, G.P.; Weedon, B.C. Stereochemistry of olefin and fatty acid oxidation. Part 3. The allylic hydroperoxides from the autoxidation of methyl oleate. J. Chem. Soc. Perkin Trans. 1984, 2233–2240. [Google Scholar] [CrossRef]
- Lin, D.; Zhang, J.; Sayre, L.M. Synthesis of six epoxyketooctadecenoic acid (EKODE) isomers, their generation from nonenzymatic oxidation of linoleic acid, and their reactivity with imidazole nucleophiles. J. Org. Chem. 2007, 72, 9471–9480. [Google Scholar] [CrossRef] [PubMed]
- Zhang, J.; Liang, Y.; Liao, X.-J.; Deng, Z.; Xu, S.-H. Isolation of a new butenolide from the South China Sea gorgonian coral Subergorgia suberosa. Nat. Prod. Res. 2014, 28, 150–155. [Google Scholar] [CrossRef] [PubMed]
- Yildizhan, S.; van Loon, J.; Sramkova, A.; Ayasse, M.; Arsene, C.; ten Broeke, C.; Schulz, S. Aphrodisiac pheromones from the wings of the small cabbage white and large cabbage white butterflies, Pieris rapae and Pieris brassicae. ChemBioChem 2009, 10, 1666–1677. [Google Scholar] [CrossRef] [PubMed]
- De Shan, M.; An, T.Y.; Hu, L.H.; Chen, Z.L. Diterpene derivative and chromone from Hypericum perforatum. Nat. Prod. Res. 2004, 18, 15–19. [Google Scholar] [CrossRef]
- Chiang, Y.-M.; Kuo, Y.-H. Two novel α-tocopheroids from the aerial roots of Ficus microcarpa. Tetrahedron Lett. 2003, 44, 5125–5128. [Google Scholar] [CrossRef]
- Della Greca, M.; Monaco, P.; Previtera, L. Stigmasterols from Typha latifolia. J. Nat. Prod. 1990, 53, 1430–1435. [Google Scholar] [CrossRef]
- Chang, Y.C.; Chang, F.R.; Wu, Y.C. The constituents of Lindera glauca. J. Chin. Chem. Soc. 2000, 47, 373–380. [Google Scholar] [CrossRef]
- Pettit, G.R.; Numata, A.; Cragg, G.M.; Herald, D.L.; Takada, T.; Iwamoto, C.; Riesen, R.; Schmidt, J.M.; Doubek, D.L.; Goswami, A. Isolation and structures of schleicherastatins 1−7 and schleicheols 1 and 2 from the teak forest medicinal tree Schleichera oleosa. J. Nat. Prod. 2000, 63, 72–78. [Google Scholar] [CrossRef]
- Liu, L.; Zhou, S.; Deng, Y. The 3-ketoacyl-CoA thiolase: An engineered enzyme for carbon chain elongation of chemical compounds. Appl. Microbiol. Biotechnol. 2020, 104, 8117–8129. [Google Scholar] [CrossRef]
- Han, L.; Peng, Y.; Zhang, Y.; Chen, W.; Lin, Y.; Wang, Q. Designing and creating a synthetic omega oxidation pathway in Saccharomyces cerevisiae enables production of medium-chain α, ω-dicarboxylic acids. Front. Microbiol. 2017, 8, 2184. [Google Scholar] [CrossRef] [PubMed] [Green Version]
- Teichert, A.; Lübken, T.; Schmidt, J.; Porzel, A.; Arnold, N.; Wessjohann, L. Unusual bioactive 4-oxo-2-alkenoic fatty acids from Hygrophorus eburneus. Z. Naturforsch. 2005, 60b, 25–32. [Google Scholar] [CrossRef]
- Yuan, Z.; Duan, H.; Xu, Y.; Wang, A.; Gan, L.; Li, J.; Liu, M.; Shang, X. α-Tocospiro C, a novel cytotoxic α-tocopheroid from Cirsium setosum. Phytochem. Lett. 2014, 8, 116–120. [Google Scholar] [CrossRef]



| Fraction | GI50 (μg/mL) 1 | |||
|---|---|---|---|---|
| A549 | SK-OV-3 | SK-MEL-2 | HCT-15 | |
| hexanes | 30.57 | 21.71 | 16.34 | 50.64 |
| CHCl3 | 52.32 | 57.09 | 57.60 | 36.53 |
| EtOAc | >100 | >100 | >100 | >100 |
| n-BuOH | >100 | >100 | 40.01 | >100 |
| Pos. | 1 | MEO 1 | ||
|---|---|---|---|---|
| δH, Multi. (J in Hz) | δC | δH, Multi. (J in Hz) | δC | |
| 1 | - | 170.1 | - | 169.98 |
| 2 | 6.22, d (5.7) | 125.0 | 6.19, d (5.7) | 124.75 |
| 3 | 7.12, d (5.7) | 153.7 | 7.10, d (5.7) | 153.53 |
| 4 | - | 111.4 | - | 111.28 |
| 5 | 1.89, m | 37.1 | 1.90, m | 36.98 |
| 6 | 1.37, m | 23.3 | 1.23, brs; H-6–H-19 | 22.67–31.91; C-6–C-19 |
| 7 | 1.30, overlap | 29.4 2 | 0.86, t; H-20 | 14.10; C-20 |
| 8 | 1.30, overlap | 29.07 2 | - | - |
| 9 | 1.30, overlap | 29.13 2 | - | - |
| 10 | 1.61, m | 25.0 | - | - |
| 11 | 2.29, t (7.5) | 34.2 | - | - |
| 12 | - | 174.4 | - | - |
| OCH3-4 | 3.22, s | 51.3 | 3.20, s | 51.11 |
| OCH3-12 | 3.66, s | 51.6 | - | - |
| Compound | IC50 (μM) 1 | |||
|---|---|---|---|---|
| A549 | SK-OV-3 | SK-MEL-2 | MKN-1 | |
| 10 | 26.03 | >30.0 | >30.0 | >30.0 |
| 11 | 17.95 | >30.0 | 17.43 | >30.0 |
| 14 | 13.28 | 12.86 | 13.04 | 14.17 |
| 15 | 2.10 | 13.23 | 9.08 | 10.04 |
| 16 | 19.21 | >30.0 | >30.0 | >30.0 |
| 18 | 24.64 | 20.16 | 26.72 | 31.49 |
| Etoposide 2 | 1.51 | 1.94 | 1.13 | 3.37 |
| Compound | IC50 (μM) 1 | Cell Viability (%) 2 |
|---|---|---|
| 1 | 45.3 | 112.07 ± 4.78 |
| 5 | 90.0 | 98.31 ± 11.14 |
| 11 | 59.6 | 67.91 ± 4.06 |
| 15 | 92.4 | 120.77 ± 8.20 |
| L-NMMA 3 | 21.4 | 104.56 ± 4.20 |
Publisher’s Note: MDPI stays neutral with regard to jurisdictional claims in published maps and institutional affiliations. |
© 2022 by the authors. Licensee MDPI, Basel, Switzerland. This article is an open access article distributed under the terms and conditions of the Creative Commons Attribution (CC BY) license (https://creativecommons.org/licenses/by/4.0/).
Share and Cite
Park, J.E.; Lee, T.H.; Ham, S.L.; Subedi, L.; Hong, S.M.; Kim, S.Y.; Choi, S.U.; Kim, C.S.; Lee, K.R. Anticancer and Anti-Neuroinflammatory Constituents Isolated from the Roots of Wasabia japonica. Antioxidants 2022, 11, 482. https://doi.org/10.3390/antiox11030482
Park JE, Lee TH, Ham SL, Subedi L, Hong SM, Kim SY, Choi SU, Kim CS, Lee KR. Anticancer and Anti-Neuroinflammatory Constituents Isolated from the Roots of Wasabia japonica. Antioxidants. 2022; 11(3):482. https://doi.org/10.3390/antiox11030482
Chicago/Turabian StylePark, Jong Eel, Tae Hyun Lee, Song Lim Ham, Lalita Subedi, Seong Min Hong, Sun Yeou Kim, Sang Un Choi, Chung Sub Kim, and Kang Ro Lee. 2022. "Anticancer and Anti-Neuroinflammatory Constituents Isolated from the Roots of Wasabia japonica" Antioxidants 11, no. 3: 482. https://doi.org/10.3390/antiox11030482
APA StylePark, J. E., Lee, T. H., Ham, S. L., Subedi, L., Hong, S. M., Kim, S. Y., Choi, S. U., Kim, C. S., & Lee, K. R. (2022). Anticancer and Anti-Neuroinflammatory Constituents Isolated from the Roots of Wasabia japonica. Antioxidants, 11(3), 482. https://doi.org/10.3390/antiox11030482

