Co-Application of 24-Epibrassinolide and Titanium Oxide Nanoparticles Promotes Pleioblastus pygmaeus Plant Tolerance to Cu and Cd Toxicity by Increasing Antioxidant Activity and Photosynthetic Capacity and Reducing Heavy Metal Accumulation and Translocation
Abstract
:1. Introduction
2. Materials and Methods
2.1. Plant Material and In Vitro Conditions
2.2. Preparation of Samples
2.3. Protective Enzymes
2.4. Assessment of Nonenzymatic Antioxidant Activities (Flavonols, Tocopherols, and Total Phenolics)
Methanolic Extract Preparation
2.5. Assay of Hydrogen Peroxide (H2O2), Malondialdehyde (MDA), Superoxide Radical (O2•−), Soluble Proteins (SP), and Electrolyte Leakage (EL)
2.6. Measurement of Photosynthetic Pigments and Fluorescence Parameters
2.7. Measurement of TiO2 NPs and Metal Accumulation in Roots, Stems, and Leaves of Bamboo
2.8. Biomass Determination and Shoot Length
2.9. Determination of the Tolerance Index (TI), Bioaccumulation Factor (BAF), and Translocation Factor (TF)
2.10. Statistical Analysis
3. Results
3.1. 24-Epibrasinolide and Titanium Oxide Nanoparticles Promote Antioxidant Capacity in Plants under Cu and Cd Toxicity
3.2. 24-Epibrasinolide and Titanium Oxide Nanoparticles Reduce Malondialdehyde (MDA), Soluble Proteins (SP), Electrolyte Leakage (EL), Hydrogen Peroxide (H2O2), and Superoxide Radicals (O2•−)
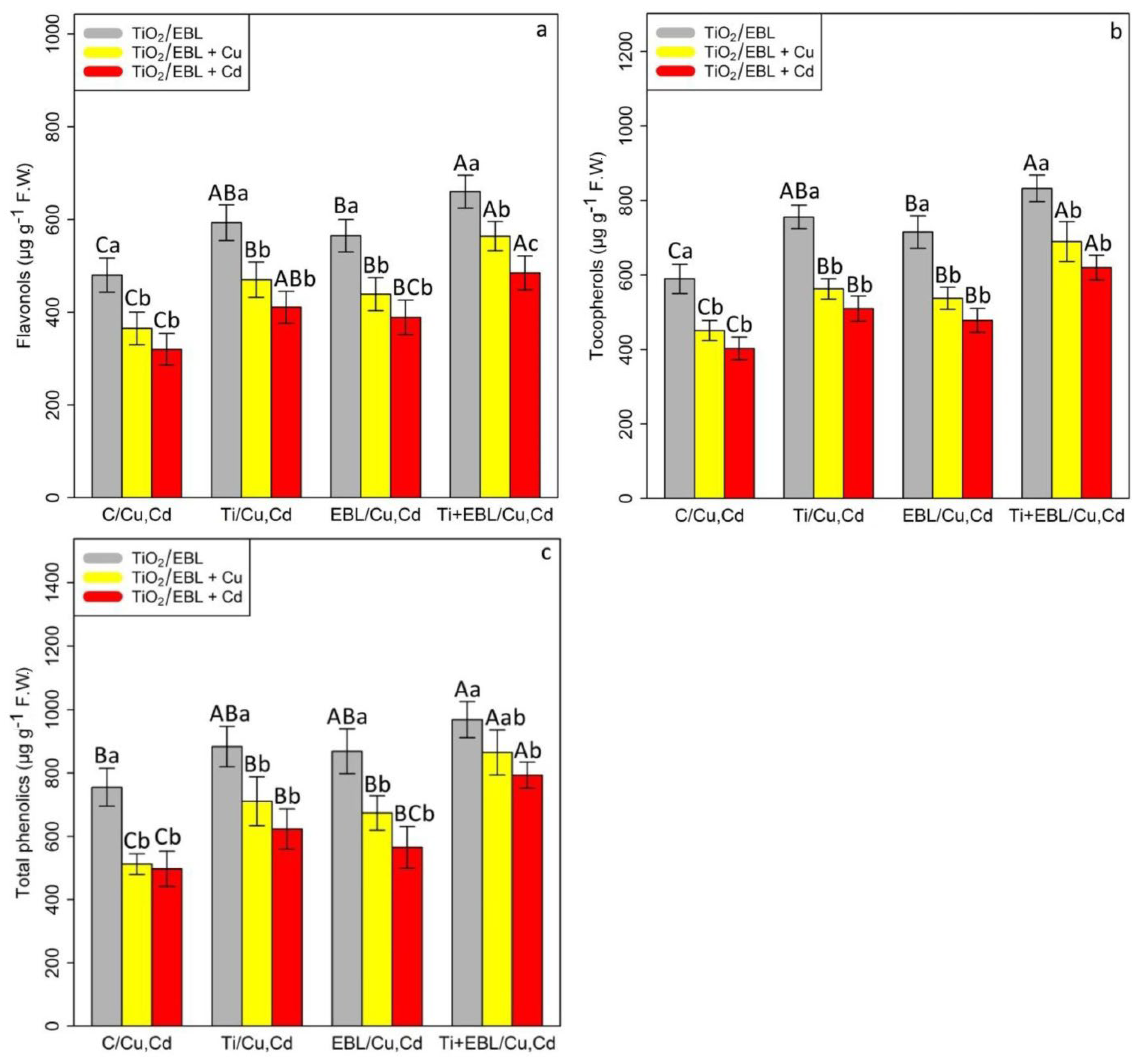
3.3. 24-Epibrasinolide and Titanium Oxide Nanoparticles Increase Nonenzymatic Antioxidant Activities (Flavonol, Tocopherol, and Total Phenolics) in Bamboo Species under Cu and Cd Toxicity
3.4. 24-Epibrassinolide and Titanium Oxide Nanoparticles Improve Photosynthetic Pigments and Fluorescence Parameters in Bamboo Species under Cu and Cd Toxicity
3.5. 24-Epibrasinolide and Titanium Oxide Nanoparticles Reduce Heavy Metal Accumulation in Bamboo Leaves, Stems, and Roots
4. Discussion
5. Conclusions
Author Contributions
Funding
Institutional Review Board Statement
Informed Consent Statement
Data Availability Statement
Acknowledgments
Conflicts of Interest
References
- Bhat, J.A.; Shivaraj, S.M.; Singh, P.; Navadagi, D.B.; Tripathi, D.K.; Dash, P.K.; Solanke, A.U.; Sonah, H.; Deshmukh, R. Role of silicon in mitigation of heavy metal stresses in crop plants. Plants 2019, 8, 71. [Google Scholar] [CrossRef] [Green Version]
- Kim, J.J.; Kim, Y.S.; Kumar, V. Heavy metal toxicity: An update of chelating therapeutic strategies. J. Trace Elem. Med. Biol. 2019, 54, 226–231. [Google Scholar] [CrossRef] [PubMed]
- Qi, Z.Y.; Ahammed, G.J.; Jiang, C.Y.; Li, C.X.; Zhou, J. E3 ubiquitin ligase gene SlRING1 is essential for plant tolerance to cadmium stress in Solanum lycopersicum. J. Biotechnol. 2020, 324, 239–247. [Google Scholar] [CrossRef] [PubMed]
- Zhang, X.; Zhong, T.; Liu, L.; Ouyang, X. Impact of soil heavy metal pollution on food Safety in China. PLoS ONE 2015, 10, e0135182. [Google Scholar] [CrossRef] [PubMed] [Green Version]
- Adrees, M.; Ali, S.; Rizwan, M.; Zia-ur-Rehman, M.; Ibrahim, M.; Abbas, F.; Farid, M.; Qayyum, M.F.; Irshad, M.K. Mechanisms of silicon-mediated alleviation of heavy metal toxicity in plants: A review. Ecotoxicol. Environ. Saf. 2015, 119, 186–197. [Google Scholar] [CrossRef]
- Yruela, I. Copper in plants. Braz. J. Plant Physiol. 2015, 17, 145–156. [Google Scholar] [CrossRef] [Green Version]
- Bouazizi, H.; Jouili, H.; Geitmann, A.; El Ferjani, E. Copper toxicity in expanding leaves of Phaseolus vulgaris L.: Antioxidant enzyme response and nutrient element uptake. Ecotoxicol. Environ. Saf. 2010, 73, 1304–1308. [Google Scholar] [CrossRef]
- Jouilia, H.; Bouazizia, H.; Rossignol, M.; Borderies, G.; Jamet, E.; El Ferjani, E. Partial purification and characterization of a copper-induced anionic peroxidase of sunflower roots. Plant Physiol. Biochem. 2008, 46, 760–767. [Google Scholar] [CrossRef] [Green Version]
- Singh, S.; Susan, E.; D’Souza, S.F. Cadmium accumulation and its influence on lipid peroxidation and antioxidative system in an aquatic plant, Bacopa monnieri L. Chemosphere 2006, 62, 233–246. [Google Scholar] [CrossRef]
- Li, M.; Ahammed, G.J.; Li, C.; Bao, X.; Yu, J.; Huang, C.; Yin, H.; Zhou, J. Brassinosteroid ameliorates zinc oxide nanoparticles-induced oxidative stress by improving antioxidant potential and redox homeostasis in tomato seedling. Front. Plant Sci. 2016, 7, 1–13. [Google Scholar] [CrossRef] [Green Version]
- Dimkpa, C.O.; Bindraban, P.S. Nanofertilizers: New products for the industry? J. Agric. Food Chem. 2018, 66, 6462–6473. [Google Scholar] [CrossRef] [PubMed]
- Nemec, S.; Kralj, S.; Wilhelm, C.; Abou-Hassan, A.; Rols, M.P.; Kolosnjaj-Tabi, J. Comparison of iron oxide nanoparticles in photothermia and magnetic hyperthermia: Effects of clustering and silica encapsulation on nanoparticles’ heating yield. Appl. Sci. 2020, 10, 7322. [Google Scholar] [CrossRef]
- Emamverdian, A.; Ding, Y.; Mokhberdoran, F.; Ahmad, Z.; Xie, Y. The Investigation of TiO2NPs Effect as a Wastewater Treatmentto Mitigate Cd Negative Impact on Bamboo Growth. Sustainability 2021, 13, 3200. [Google Scholar] [CrossRef]
- Emamverdian, A.; Ding, Y.; Mokhberdoran, F.; Ramakrishnan, M.; Ahmad, Z.; Xie, Y. Different Physiological and Biochemical Responses of Bamboo to the Addition of TiO2 NPs under Heavy Metal Toxicity. Forests 2021, 12, 759. [Google Scholar] [CrossRef]
- Rizwan, M.; Ali, S.; ur Rehman, M.Z.; Malik, S.; Adrees, M.; Qayyum, M.F.; Alamri, S.A.; Alyemeni, M.N.; Ahmad, P. Effect of foliar applications of silicon and titanium dioxide nanoparticles on growth, oxidative stress, and cadmium accumulation by rice (Oryza sativa). Acta Physiol. Plant 2019, 41, 35. [Google Scholar] [CrossRef]
- Rehana Sardar, G.; Ahmed, S.; Ahmad Yasin, N. Titanium dioxide nanoparticles mitigate cadmium toxicity in Coriandrum sativum L. through modulating antioxidant system, stress markers and reducing cadmium uptake. Environ. Pollut 2022, 292, 118373. [Google Scholar] [CrossRef]
- Faraji, J.; Sepehri, A. Titanium Dioxide Nanoparticles and Sodium Nitroprusside Alleviate the Adverse Effects of Cadmium Stress on Germination and Seedling Growth of Wheat (Triticum aestivum L.). Univ. Sci. 2018, 23, 61–87. [Google Scholar] [CrossRef]
- Emamverdian, A.; Ding, Y.; Xie, Y. The Role of New Members of Phytohormones in Plant Amelioration under Abiotic Stress with an Emphasis on Heavy Metals. Pol. J. Environ. Stud. 2020, 29, 1009–1020. [Google Scholar] [CrossRef]
- Zafari, M.; Ebadi, A.; Sedghi, M.; Jahanbakhsh, S.; Miransari, M.J. Alleviating effect of 24-epibrassinolide on seed oil content and fatty acid composition under drought stress in safflower. J. Food Compost. Anal. 2020, 92, 103544. [Google Scholar] [CrossRef]
- Siddiqui, H.; Hayat, S.; Bajguz, A. Regulation of photosynthesis by brassinosteroids in plants. Acta Physiol. Plant. 2018, 40, 11738–12018. [Google Scholar] [CrossRef]
- Hayat, S.; Hasan, S.A.; Yusuf, M.; Hayat, Q.; Ahmad, A. Effect of 28-homobrassinolide on photosynthesis, fluorescence and antioxidant system in the presence or absence of salinity and temperature in Vigna radiata. Environ. Exp. Bot. 2010, 69, 105–112. [Google Scholar] [CrossRef]
- Ahanger, M.A.; Ashraf, M.; Bajguz, A.; Ahmad, P. Brassinosteroids regulate growth in plants under stressful environments and crosstalk with other potential phytohormones. J. Plant Growth Regul. 2018, 37, 1007–1024. [Google Scholar] [CrossRef]
- Zhou, J.; Liu, D.; Wang, P.; Ma, X.; Lin, W.; Chen, S.; Mishev, K.; Lu, D.; Kumar, R.; Vanhoutte, I.; et al. Regulation of Arabidopsis brassinosteroid receptor BRI1 endocytosis and degradation by plant U-box PUB12/PUB13-mediaed ubiquitination. Proc. Natl. Acad. Sci. USA 2018, 115, 1906–1915. [Google Scholar] [CrossRef] [Green Version]
- Li, Y.M.; Feng, P.F. Bamboo resources in china based on the ninth national forest inventory data. World Bamboo Ratt. 2019, 17, 45–48. [Google Scholar]
- Kang, F.; Li, X.; Du, H.; Mao, F.; Zhou, G.; Xu, Y.; Huang, Z.; Ji, J.; Wang, J. Spatiotemporal Evolution of the Carbon Fluxes from Bamboo Forests and their Response to Climate Change Based on a BEPS Model in China. Remote Sens. 2022, 14, 366. [Google Scholar] [CrossRef]
- Emamverdian, A.; Ding, Y.; Ranaei, F.; Ahmad, Z. Application of bamboo plants in nine aspects. Sci. World J. 2020, 2020, 7284203. [Google Scholar] [CrossRef]
- Huang, W.; Olson, E.; Wang, S.H.; Shi, P. The growth and mortality of Pleioblastus pygmaeus under different light availability. Glob. Ecol. 2020, 24, e01262. [Google Scholar] [CrossRef]
- Murashige, T.; Skoog, F. A Revised Medium for Rapid Growth and Bio Assays with Tobacco Tissue Cultures. Physiol. Plant. 1962, 15, 473–497. [Google Scholar] [CrossRef]
- Zhang, X.Z. The Measurement and Mechanism of Lipid Peroxidation and SOD, POD and CAT Activities in Biological System. In Research Methodology of Crop Physiology; Agriculture Press: Beijing, China, 1992; pp. 208–211. [Google Scholar]
- Upadhyaya, A.; Sankhla, D.; Davis, T.D.; Sankhla, N.; Smith, B.N. Effect of paclobutrazol on the activities of some enzymes of activated oxygen metabolism and lipid peroxidation in senescing soybean leaves. J. Plant Physiol. 1985, 121, 453–461. [Google Scholar] [CrossRef]
- Aebi, H. Catalase in vitro. In Methods in Enzymology; Elsevier: Amsterdam, The Netherlands, 1984; Volume 105, pp. 121–126. [Google Scholar] [CrossRef]
- Foyer, C.H.; Halliwell, B. The presence of glutathione and glutathione reductase in chloroplasts: A proposed role in ascorbic acid metabolism. Planta 1976, 133, 1–25. [Google Scholar] [CrossRef]
- Nakano, Y.; Asada, K. Hydrogen peroxide is scavenged by ascorbate-specific peroxidase in spinach chloroplasts. Plant Cell Physiol. 1981, 22, 867–880. [Google Scholar] [CrossRef]
- Berner, M.; Krug, D.; Bihlmaier, C.; Vente, A.; Muller, R.; Bechthold, A. Genes and enzymes involved in caffeic acid biosynthesis in Actinomycete Saccharothrix espanaensis. J. Bacteriol. 2006, 188, 2666–2673. [Google Scholar] [CrossRef] [Green Version]
- Conde, E.; Cadahia, E.; Garcia-Vallejo, M. HPLC analysis of flavonoids and phenolic acids and aldehydes in Eucalyptus spp. Chromatographia 1995, 41, 657–660. [Google Scholar] [CrossRef]
- Akkol, E.K.; Goger, F.; Koşar, M.; Başer, K.H.C. Phenolic composition and biological activities of Salvia halophila and Salvia virgata from Turkey. Food Chem. 2008, 108, 942–949. [Google Scholar] [CrossRef] [PubMed]
- Kayden, H.J.; Chow, C.K.; Bjornson, L.K. Spectrophotometric method for determination of tocopherol in red blood cells. J. Lipid Res. 1973, 14, 533–540. [Google Scholar] [CrossRef]
- Siddiqui, H.; Ahmad, K.B.M.; Hayat, S. Comparative effect of 28-homobrassinolide and 24-epibrassinolide on the performance of different components influencing the photosynthetic machinery in Brassica juncea L. Plant Physiol. Biochem 2018, 129, 198–212. [Google Scholar] [CrossRef] [PubMed]
- Patterson, B.D.; MacRae, E.A.; Ferguson, I.B. Estimation of hydrogen peroxide in plant extracts using titanium (IV). Anal. Biochem. 1984, 139, 487–492. [Google Scholar] [CrossRef]
- Bradford, M.M. A rapid sensitive method for the quantification of microgram quantities of protein utilising the principle of protein-Dye Binding. Anal. Biochem. 1976, 72, 248–254. [Google Scholar] [CrossRef]
- Li, C.; Bai, T.; Ma, F.; Han, M. Hypoxia tolerance and adaptation of anaerobic respiration to hypoxia stress in two Malus species. Sci. Hortic. 2010, 124, 274–279. [Google Scholar] [CrossRef]
- Valentovic, P.; Luxova, M.; Kolarovic, L.; Gasparikova, O. Effect of osmotic stress on compatible solutes content, membrane stability and water relations in two maize cultivars. Plant Soil. Environ. 2006, 52, 186–191. [Google Scholar] [CrossRef] [Green Version]
- Lichtenthaler, H.K.; Buschmann, C. Chlorophylls and carotenoids: Measurement and characterization by UV–VIS specroscopy. In Current Protocols in Food Analytical Chemistry; John Wiley & Sons, Inc.: Hoboken, NJ, USA, 2001; p. 4. [Google Scholar]
- Souri, Z.; Karimi, N. Enhanced phytoextraction by as hyperaccumulator Isatis cappadocica spiked with sodium nitroprusside. Soil Sediment Contam. Int. J. 2017, 26, 457–468. [Google Scholar] [CrossRef]
- Wang, J.; Nie, Y.; Dai, H.; Wang, M.; Cheng, L.; Yang, Z.; Chen, S.; Zhao, G.; Wu, L.; Guang, S. Parental exposure to TiO2 NPs promotes the multigenerational reproductive toxicity of Cd in Caenorhabditis elegans via bioaccumulation of Cd in germ cells. Environ. Sci. Nano 2019, 6, 1332–1342. [Google Scholar] [CrossRef]
- Singh, D.; Kumar, S.; Singh, S.C.; Lal, B.; Singh, N.B. Applications of liquid assisted pulsed laser ablation synthesized TiO2 nanoparticles on germination, growth and biochemical parameters of Brassica oleracea var. Capitata. Sci. Adv. Mather. 2012, 4, 522–531. [Google Scholar] [CrossRef]
- Bajguz, A.; Hayat, S. Effects of brassinosteroids on the plant responses to environmental stresses. Plant Physiol. Biochem. 2009, 47, 1–8. [Google Scholar] [CrossRef] [PubMed]
- Bajguz, A. Brassinosteroids and lead as stimulators of phytochelatins synthesis in Chlorella vulgaris. J. Plant Physiol. 2002, 159, 321–324. [Google Scholar] [CrossRef]
- Sharma, I.; Pati, P.K.; Bhardwaj, R. Effect of 28-homobrassinolide on antioxidant defence system in Raphanus sativus L. under chromium toxicity. Ecotoxicology 2011, 20, 862–874. [Google Scholar] [CrossRef]
- Arora, P.; Bhardwaj, R.; Kanwar, M.K. Effect of 24-epibrassinolide on growth, protein content and antioxidative defense system of Brassica juncea L. subjected to cobalt ion toxicity. Acta Physiol. Plant 2012, 34, 2007–2017. [Google Scholar] [CrossRef]
- Kohli, S.K.; Handa, N.; Sharma, A.; Gautam, V.; Arora, S.; Bhardwaj, R.; Alyemeni, M.N.; Wijaya, L.; Ahmad, P. Combined effect of 24-epibrassinolide and salicylic acid mitigates lead (Pb) toxicity by modulating various metabolites in Brassica juncea L. seedlings. Protoplasma 2018, 255, 11–24. [Google Scholar] [CrossRef]
- Ahmad, P.; Abdel Latef, A.A.; Abd_Allah, E.F.; Hashem, A.; Sarwat, M.; Anjum, N.A.; Gucel, S. Calcium and potassium supplementation enhanced growth, osmolyte secondary metabolite production, and enzymatic antioxidant machinery in cadmium-exposed chickpea (Cicer arietinum L.). Front. Plant Sci. 2016, 7, 513. [Google Scholar] [CrossRef] [Green Version]
- Choudhary, S.P.; Kanwar, M.; Bhardwaj, R.; Yu, J.-Q.; Tran, L.-S.P. Chromium stress mitigation by polyamine-brassinosteroid application involves phytohormonal and physiological strategies in Raphanus sativus L. PLoS ONE 2012, 7, e33210. [Google Scholar] [CrossRef] [Green Version]
- Deng, X.-G.; Zhu, T.; Peng, X.-J.; Xi, D.-H.; Guo, H.; Yin, Y.; Zhang, D.-W.; Lin, H.-H. Role of brassinosteroid signaling in modulating tobacco mosaic virus resistance in Nicotiana benthamiana. Sci. Rep. 2016, 6, 20579. [Google Scholar] [CrossRef] [PubMed]
- Mierziak, J.; Kostyn, K.; Kulma, A. Flavonoids as important molecules of plant interactions with the environment. Molecules 2014, 19, 16240–16265. [Google Scholar] [CrossRef] [PubMed]
- Kováčik, J.; Bačkor, M. Phenylalanine ammonia-lyase and phenolic compounds in chamomile tolerance to cadmium and copper excess. Water Air Soil Pollut. 2007, 185, 185–193. [Google Scholar] [CrossRef]
- Asghari, M.; Zahedipour, P. 24-Epibrassinolide acts as a growth-promoting and resistance-mediating factor in strawberry plants. J. Plant Growth Regul. 2016, 35, 722–729. [Google Scholar] [CrossRef]
- Manquián-Cerda, K.; Escudey, M.; Zúñiga, G.; Arancibia-Miranda, N.; Molina, M.; Cruces, E. Effect of cadmium on phenolic compounds, antioxidant enzyme activity and oxidative stress in blueberry (Vaccinium corymbosum L. plantlets grown in vitro. Ecotoxicol. Environ. Saf. 2016, 133, 316–326. [Google Scholar] [CrossRef] [PubMed]
- Sanjari, S.; Keramat, B.; Nadernejad, N.; Mozafari, H. Ameliorative effects of 24-epibrassinolide and thiamine on excess cadmium-induced oxidative stress in canola (Brassica napus L.) plants. J. Plant Interact. 2019, 14, 359–368. [Google Scholar] [CrossRef] [Green Version]
- Mohammadi, R.; MaaliAmiri, R.; Mantri, N.L. Effect of TiO2 nanoparticles on oxidative damage and antioxidant defense systems in chickpea seedlings during cold stress. Russ. J. Plant Physiol. 2014, 61, 768–775. [Google Scholar] [CrossRef]
- Demin, I.N.; Deryabin, A.N.; Sinkevich, M.S.; Trunova, T.I. Insertion of cyanobacterial desA gene coding for ∆12-acyl-lipid desaturase increases potato plant resistance to oxidative stress induced by hypothermia. Russ. J. Plant Physiol. 2008, 55, 639–648. [Google Scholar] [CrossRef]
- Surgun, Y.; Çöl, B.; Bürün, B. 24-Epibrassinolide ameliorates the effects of boron toxicity on Arabidopsis thaliana (L.) Heynh by activating an antioxidant system and decreasing boron accumulation. Acta Physiol. Plant 2016, 38, 71. [Google Scholar] [CrossRef]
- Talarek-Karwel, M.; Bajguz, A.; Piotrowska-Niczyporuk, A. 24-Epibrassinolide modulates primary metabolites, antioxidants, and phytochelatins in Acutodesmus obliquus exposed to lead stress. J. Appl. Phycol. 2020, 32, 263–276. [Google Scholar] [CrossRef] [Green Version]
- Santos, L.R.; Batista, B.L.; Lobato, A.K.S. Brassinosteroids mitigate cadmium toxicity in cowpea plants. Photosynthetica 2018, 56, 591–605. [Google Scholar] [CrossRef]
- Pereira, Y.C.; Rodrigues, W.S.; Lima, E.J.A.; Santos, L.R.; Silva, M.H.L.; Lobato, A.K.S. Brassinosteroids increase electron transport and photosynthesis in soybean plants under water deficit. Photosynthetica 2019, 57, 181–191. [Google Scholar] [CrossRef] [Green Version]
- Fariduddin, Q.; Yusuf, M.; Ahmad, I.; Ahmad, A. Brassinosteroids and their role in response of plants to abiotic stresses. Biol. Plant. 2014, 58, 9–17. [Google Scholar] [CrossRef]
- Lei, Z.; Minqyu, S.; Xiao, W.; Chao, L.; Chunxiang, Q.; Liang, C.; Hao, H.; Xiaoqing, L.; Fashui, H. Antioxidant stress is promoted by nano-anatase in spinach chloroplasts under UVB radiation. Biol. Trace Elem. Res. 2008, 121, 69–79. [Google Scholar] [CrossRef] [PubMed]
- Talarek-Karwel, M.; Bajguz, A.; Piotrowska-Niczyporuk, A.; Rajewska, I. The effect of 24-epibrassinolide on the green alga Acutodesmus obliquus (Chlorophyceae). Plant Physiol. Biochem. 2018, 124, 175–183. [Google Scholar] [CrossRef] [PubMed]
- Bajguz, A. Effect of brassinosteroids on nucleic acids and protein content in cultured cells of Chlorella vulgaris. Plant Physiol. Biochem. 2000, 38, 209–215. [Google Scholar] [CrossRef]
- Jan, S.; Alyemeni, M.N.; Wijaya, L.; Alam, P.; Siddique, K.H.; Ahmad, P. Interactive effect of 24-epibrassinolide and silicon alleviates cadmium stress via the modulation of antioxidant defense and glyoxalase systems and macronutrient content in Pisum sativum L. seedlings. BMC Plant Biol. 2018, 18, 146. [Google Scholar] [CrossRef]
- Lyu, S.; Wei, X.; Chen, J.; Wang, C.; Wang, X.; Pa, D. Titanium as a beneficial element for crop production. Front. Plant Sci. 2017, 8, 597. [Google Scholar] [CrossRef] [Green Version]
- Bacilieri, F.S.; Pereira de Vasconcelos, A.C.; Quintao Lana, R.M.; Mageste, J.G.; Torres, J.L.R. Titanium (Ti) in plant nutrition—A review. Aust. J. Crop Sci. 2017, 11, 382–386. [Google Scholar] [CrossRef]
- Daryabeigi Zand, A.; Mikaeili Tabrizi, A.; Vaezi Heir, A. Co-application of biochar and titanium dioxide nanoparticles to promote remediation of antimony from soil by Sorghum bicolor: Metal uptake and plant response. Heliyon 2020, 6, e04669. [Google Scholar] [CrossRef]
- Bajguz, A. Suppression of Chlorella vulgaris growth by cadmium, lead, and copper stress and Its restoration by endogenous brassinolide. Arch. Environ. Contam. Toxicol. 2011, 60, 406–416. [Google Scholar] [CrossRef] [PubMed] [Green Version]
- Kanwar, M.K.; Bhardwaj, R.; Arora, P.; Chowdhary, S.P.; Sharma, P.; Kumar, S. Plant steroid hormones produced under Ni stress are involved in the regulation of metal uptake and oxidative stress in Brassica juncea L. Chemosphere 2012, 86, 41–49. [Google Scholar] [CrossRef] [PubMed]
- Kroutil, M.; Hejtmánková, A.; Lachman, J. Effect of spring wheat (Triticum aestivum L.) treatment with brassinosteroids on the content of cadmium and lead in plant aerial biomass and grain. Plant Soil Environ. 2010, 56, 43–50. [Google Scholar] [CrossRef] [Green Version]
- Dong, Y.; Chen, W.; Bai, X.; Liu, F.; Wan, Y. Effects of Exogenous Nitric Oxide and 24-Epibrassinolide on the Physiological Characteristics of Peanut Seedlings Under Cadmium Stress. Pedosphere 2019, 29, 45–59. [Google Scholar] [CrossRef]
- Wani, A.S.; Tahir, I.; Ahmad, S.S.; Dar, R.A.; Nisar, S. Efficacy of 24-epibrassinolide in improving the nitrogen metabolism and antioxidant system in chickpea cultivars under cadmium and/or NaCl stress. Sci. Hortic. 2017, 225, 48–55. [Google Scholar] [CrossRef]
- Ahmad, P.; Ahanger, M.A.; Alyemeni, M.N.; Wijaya, L.; Alam, P. Exogenous application of nitric oxide modulates osmolyte metabolism, antioxidants, enzymes of ascorbate-glutathione cycle and promotes growth under cadmium stress in tomato. Protoplasma 2018, 255, 79–93. [Google Scholar] [CrossRef]
- Kelemen, G.; Keresztes, A.; Bacsy, E.; Feher, M.; Fodor, P.; Pais, I. Distribution and intracellular localization of titanium in plants after titanium treatment. Food Struct. 1993, 12, 8. [Google Scholar]
- Silva, S.; Craveiro, S.C.H.; Oliveira, A.J.; Calado, R.J.B.; Pinto, A.M.S.; Silva, C. Santos Wheat chronic exposure to TiO2-nanoparticles: Cyto- and genotoxic approach. Plant Physiol. Biochem. 2017, 121, 89–98. [Google Scholar] [CrossRef]
- Larue, C.; Laurette, J.; Herlin-Boime, N.; Khodja, H.; Fayard, B.; Flank, A.M.; Brisset, F.M. Carriere Accumulation, translocation and impact of TiO2 nanoparticles in wheat (Triticum aestivum spp.): Influence of diameter and crystal phase. Sci. Total Environ. 2012, 431, 197–208. [Google Scholar] [CrossRef]
- Rahneshan, Z.; Nasibi, F.; Moghadam, A.A. Effects of salinity stress on some growth, physiological, biochemical parameters and nutrients in two pistachio (Pistacia vera L.) rootstocks. J. Plant. Interact. 2018, 13, 73–82. [Google Scholar] [CrossRef] [Green Version]
- Bajguz, A. An enhancing effect of exogenous brassinolide on the growth and antioxidant activity in Chlorella vulgaris cultures under heavy metals stress. Environ. Exp. Bot. 2010, 68, 175–179. [Google Scholar] [CrossRef]
- Rasool, S.; Urwat, U.; Nazir, M.; Zargar, S.M.; Zargar, M.Y. Cross talk between phytohormone signaling pathways under abiotic stress conditions and their metabolic engineering for conferring abiotic stress tolerance. In Abiotic Stress-Mediated Sensing and Signaling in Plants: An Omics Perspective; Zargar, S.M., Zargar, M.Y., Eds.; Springer: New York, NY, USA, 2018; pp. 329–350. [Google Scholar]
- Tripathi, B.N.; Mehta, S.K.; Amar, A.; Gaur, J.P. Oxidative stress in Scenedesmus sp. during short- and long-term exposure to Cu2+ and Zn2+. Chemosphere 2006, 62, 538–544. [Google Scholar] [CrossRef] [PubMed]
- Polonini, H.C.; Brandao, H.M.; Raposo, N.R.; Brandao, M.A.; Mouton, L.; Coute, A.; Yepremian, C.; Sivry, Y.; Brayner, R. Size-dependent ecotoxicity of barium titanate particles: The case of Chlorella vulgaris green algae. Ecotoxicology 2015, 24, 938–948. [Google Scholar] [CrossRef] [PubMed]
- Guo, J.; Zhou, R.; Ren, X.; Jia, H.; Hua, L.; Xu, H.; Lv, X.; Zhao, J.; Wei, T. Effects of salicylic acid, epi-brassinolide and calcium on stress alleviation and Cd accumulation in tomato plants. Ecotoxicol. Environ. Saf. 2018, 157, 491–496. [Google Scholar] [CrossRef] [PubMed]
- Yusuf, M.; Khan, T.A.; Fariduddin, Q. Interaction of epibrassinolide and selenium ameliorates the excess copper in Brassica juncea through altered proline metabolism and antioxidants. Ecotoxicol. Environ. Saf. 2016, 129, 25–34. [Google Scholar] [CrossRef]
- Wu, C.; Li, F.; Xu, H.; Zeng, W.; Yu, R.; Wu, X.; Shen, L.; Liu, Y.; Li, J. The potential role of brassinosteroids (BRs) in alleviating antimony (Sb) stress in Arabidopsis thaliana. Plant Physiol. Biochem. 2019, 141, 51–59. [Google Scholar] [CrossRef]
- Lima, M.D.R.; Barros, U.D.; Batista, B.L.; Lobato, A.K.S. Brassinosteroids mitigate iron deficiency improving nutritional status and photochemical efficiency in Eucalyptus urophylla plants. Trees Struct. Funct. 2018, 32, 1681–1694. [Google Scholar] [CrossRef]
- Li, Y.; Song, Y.; Shi, G.; Wang, J.; Hou, X. Response of antioxidant activity to excess copper in two cultivars of Brassica campestris ssp. chinensis Makino. Acta Physiol. Plant. 2008, 31, 155–162. [Google Scholar] [CrossRef]
- Saeidnejad, A.; Mardani, H.; Naghibolghora, M. Protective effects of salicylic acid on physiological parameters and antioxidants response in maize seedlings under salinity stress. J. Appl. Environ. Biol. Sci. 2012, 2, 364–373. [Google Scholar]
- Singh, J.; Lee, B.K. Influence of nano-TiO2 particles on the bioaccumulation of Cd in soybean plants (Glycine max): A possible mechanism for the removal of Cd from the contaminated soil. J. Environ. Manag. 2016, 170, 88–96. [Google Scholar] [CrossRef]
- Abdel Latef, A.A.H.; Srivastava, A.K.; El-sadek, M.S.A.; Kordrostami, M.; Tran, L.S.P. Titanium Dioxide Nanoparticles Improve Growth and Enhance Tolerance of Broad Bean Plants under Saline Soil Conditions. Land Degrad. Dev. 2017, 29, 1065–1073. [Google Scholar] [CrossRef]
- Li, F.M.; Zhao, W.; Li, Y.Y.; Tian, Z.J.; Wang, Z.Y. Toxic effects of nanoTiO2 on Gymnodinium breve. Environ. Sci. 2012, 33, 233–238. [Google Scholar]
- Feizi, H.; Moghaddam, P.R.; Shahtahmassebi, N.; Fotovat, A. Impact of bulk and nanosized titanium dioxide (TiO2) on wheat seed germination and seedling growth. Biol. Trace. Elem. Res. 2012, 146, 101–106. [Google Scholar] [CrossRef] [PubMed]
- Tan, W.; Peralta-Videa, J.R.; Gardea-Torresdey, J.L. Interaction of titanium dioxide nanoparticles with soil components and plants: Current knowledge and future research needs—A critical review. Environ. Sci. Nano 2018, 5, 257–278. [Google Scholar] [CrossRef]
- Mattiello, A.; Filippi, A.; Pošćić, F.; Musetti, R.; Salvatici, M.C.; Giordano, C.; Vischi, M.; Bertolini, A.; Marchiol, L. Evidence of phytotoxicity and genotoxicity in Hordeum vulgare L. exposed to CeO2 and TiO2 nanoparticles. Front. Plant. Sci. 2015, 6, 1043. [Google Scholar] [CrossRef] [Green Version]
- Rastogi, A.; Zivcak, M.; Sytar, O.; Kalaji, H.M.; He, X.; Mbarki, S.; Brestic, M. Impact of Metal and Metal Oxide Nanoparticles on Plant: A Critical Review. Front. Chem. 2017, 5, 78. [Google Scholar] [CrossRef] [Green Version]
- Kobayashi, K.; Kubota, H.; Hojo, R.; Miyagawa, M. Effective dispersal of titanium dioxide nanoparticles for toxicity testing. J. Toxicol. Sci. 2019, 44, 515–521. [Google Scholar] [CrossRef] [Green Version]






| Treatments | Concentrations |
|---|---|
| Control | 0 |
| Cu | 100 µM Cu |
| Cd | 100 µM Cd |
| TiO2 | 100 µM TiO2 |
| TiO2 + Cu | 100 µM TiO2 + 100 µM Cu |
| TiO2 + Cd | 100 µM TiO2 + 100 µM Cd |
| EBL | 10−8 M EBL |
| EBL + Cu | 10−8 M EBL + 100 µM Cu |
| EBL + Cd | 10−8 M EBL + 100 µM Cd |
| TiO2 + EBL | 100 µM TiO2 + 10−8 M EBL |
| TiO2 + EBL + Cu | 100 µM TiO2 + 10−8 M EBL + 100 µM Cu |
| TiO2 + EBL + Cd | 100 µM TiO2 + 10−8 M EBL + 100 µM Cd |
| Treatments | Chl a (mg g −1 F.w.) | Chl b (mg g −1 F.w.) | Chl a + b (mg g −1 F.w.) | Caratenoids (mg g −1 F.w.) |
|---|---|---|---|---|
| Control | 9.64 ± 0.57 Aa | 7.14 ± 1.24 Ba | 16.78 ± 1.76 Ba | 1.35 ± 0.23 Ba |
| 100 µM Cu | 8.51 ± 0.54 Bab | 4.32 ± 1.75 Bb | 12.83 ± 2.03 Bb | 1.02 ± 0.11 Bab |
| 100 µM Cd | 8.35 ± 0.60 Ab | 3.77 ± 1.16 Bb | 12.12 ± 1.57 Bb | 0.92 ± 0.12 Ab |
| 100 µM TiO2 | 10.71 ± 0.76 Aa | 10.14 ± 1.57 Aa | 22.35 ± 3.73 Aa | 1.82 ± 0.11 ABa |
| 100 µM TiO2 + 100 µM Cu | 9.52 ± 0.67 ABab | 6.54 ± 0.95 ABb | 16.06 ± 1.62 Ab | 1.32 ± 0.33 ABb |
| 100 µM TiO2 + 100 µM Cd | 9.17 ± 0.83 Ab | 4.43 ± 1.27 ABb | 13.60 ± 1.87 Bb | 0.92 ± 0.21 Ab |
| 10−8 M EBL | 10.39 ± 0.54 Aa | 9.50 ± 1.01 ABa | 19.90 ± 1.35 Aa | 1.50 ± 0.24 Ba |
| 10−8 M EBL + 100 µM Cu | 9.09 ± 0.77 ABab | 5.80 ± 0.97 ABb | 14.89 ± 1.66 Ab | 1.09 ± 0.09 ABa |
| 10−8 M EBL + 100 µM Cd | 8.85 ± 0.67 Ab | 4.33 ± 1.31 ABb | 13.18 ± 1.97 Ab | 1.09 ± 0.25 Aa |
| 100 µM TiO2 + 10−8 M EBL | 11.05 ± 1.22 ABa | 10.86 ± 0.82 Aa | 21.92 ± 1.97 Aa | 2.27 ± 0.27 Aa |
| 100 µM TiO2 + 10−8 M EBL + 100 µM Cu | 10.23 ± 1.04 Aa | 8.01 ± 1.68 Ab | 18.24 ± 1.72 Aab | 1.48 ± 0.08 Ab |
| 100 µM TiO2 + 10−8 M EBL + 100 µM Cd | 9.74 ± 0.98 ABa | 7.01 ± 1.44 Ab | 16.75 ± 2.08 Ab | 1.30 ± 0.12 Ab |
| Treatments | Heavy Metal in Leaves (µmol L−1) | TiO2 NP in Leaves (µmol L−1) | Heavy Metal in Stem (µmol L−1) | TiO2 NP in Stem (µmol L−1) | Heavy Metal in Root (µmol L−1) | TiO2 NP in Root (µmol L−1) |
|---|---|---|---|---|---|---|
| Control | 0 | 0 | 0 | 0 | 0 | 0 |
| 100 µM Cu | 19.22 ± 1.10 Ab | 0 | 25.3 ± 1.03 Ab | 0 | 31.2 ± 1.00 Ab | 0 |
| 100 µM Cd | 24.20 ± 1.12 Aa | 0 | 29.8 ± 1.02 Aa | 0 | 36.3 ± 1.02 Aa | 0 |
| 100 µM TiO2 | 0 | 18.5 ± 0.90 Aa | 0 | 24.5 ± 0.95 Aa | 0 | 34.6 ± 1.04 Aa |
| 100 µM TiO2 + 100 µM Cu | 13.42 ± 1.10 Bb | 14.3 ± 0.79 Ab | 16.6 ± 0.90 Cb | 18.5 ± 0.86 Ab | 19.1 ± 1.11 Cb | 28.5 ± 0.85 Ab |
| 100 µM TiO2 + 100 µM Cd | 16.80 ± 0.97 Ba | 10.8 ± 0.87 Ac | 21.2 ± 0.86 Ca | 12.3 ± 0.86 Ac | 25.4 ± 0.95 Ca | 20.5 ± 0.90 Ac |
| 10−8 M EBL | 0 | 0 | 0 | 0 | 0 | 0 |
| 10−8 M EBL + 100 µM Cu | 14.60 ± 1.07 Bb | 0 | 18.8 ± 0.98 Bb | 0 | 22.3 ± 0.94 Bb | 0 |
| 10−8 M EBL +100 µM Cd | 17.41 ± 0.97 Ba | 0 | 23.4 ± 0.94 Ba | 0 | 28.6 ± 0.90 Ba | 0 |
| 100 µM TiO2 + 10−8 M EBL | 0 | 16.4 ± 0.77 Ba | 0 | 21.3 ± 0.95 Ba | 0 | 31.3 ± 0.94 Ba |
| 100 µM TiO2 + 10−8 M EBL +100 µM Cu | 8.40 ± 1.07 Cb | 11.2 ± 0.87 Bb | 12.4 ± 1.02 Db | 15.4 ± 0.95 Bb | 15.4 ± 0.94 Db | 24.5 ± 1.02 Bb |
| 100 µM TiO2 + 10−8 M EBL +100 µM Cd | 10.36 ± 0.99 Ca | 8.3 ± 0.90 Bc | 15.4 ± 0.97 Da | 10.2 ± 0.94 Bc | 17.7 ± 0.94 Da | 16.4 ± 0.86 Bc |
| Treatments | Dry Weight of Shoot (%) | Dry Weight of Root (%) | Shoot Length (%) |
|---|---|---|---|
| 100 µM Cu | 29%↓ | 26%↓ | 18%↓ |
| 100 µM Cd | 35%↓ | 34%↓ | 25%↓ |
| 100 µM TiO2 | 18%↑ | 19%↑ | 12%↑ |
| 100 µM TiO2 + 100 µM Cu | 5%↓ | 5%↓ | 3%↓ |
| 100 µM TiO2 + 100 µM Cd | 17%↓ | 16%↓ | 10%↓ |
| 10−8 M EBL | 15%↑ | 13%↑ | 10%↑ |
| 10−8 M EBL + 100 µM Cu | 12%↓ | 11%↓ | 7%↓ |
| 10−8 M EBL + 100 µM Cd | 24%↓ | 23%↓ | 14%↓ |
| 100 µM TiO2 + 10−8 M EBL | 21%↑ | 23%↑ | 19%↑ |
| 100 µM TiO2 + 10−8 M EBL +100 µM Cu | 15%↑ | 13%↑ | 11%↑ |
| 100 µM TiO2 + 10−8 M EBL +100 µM Cd | 3%↑ | 4%↑ | 3%↑ |
| Treatment | Translocation Factor (Leaves) | Tolerance Index (Shoot) | Tolerance Index (Root) | Bioaccumulation Factor (Leaves) |
|---|---|---|---|---|
| Control | 0.00 ± 0.00 Bb | 1.00 ± 0.00 Ba | 1.00 ± 0.00 Ba | 0.00 ± 0.00 Aa |
| 100 µM Cu | 0.65 ± 0.02 Aa | 0.70 ± 0.06 Cb | 0.74 ± 0.09 Bb | 0.19 ± 0.01 Ab |
| 100 µM Cd | 0.66 ± 0.01 Aa | 0.65 ± 0.05 Cb | 0.66 ± 0.09 Bb | 0.24 ± 0.01 Ac |
| 100 µM TiO2 | 0.52 ± 0.04 Ab | 1.19 ± 0.13 ABa | 1.23 ± 0.12 Aa | 0.00 ± 0.00 Aa |
| 100 µM TiO2 + 100 µM Cu | 0.58 ± 0.01 BCa | 0.94 ± 0.07 ABb | 0.95 ± 0.11 ABb | 0.13 ± 0.01 Bb |
| 100 µM TiO2 + 100 µM Cd | 0.60 ± 0.01 ABa | 0.80 ± 0.05 Bb | 0.84 ± 0.10 Bb | 0.16 ± 0.01 Bc |
| 10−8 M EBL | 0.00 ± 0.00 Bb | 1.15 ± 0.09 ABa | 1.13 ± 0.13 ABa | 0.00 ± 0.00 Aa |
| 10−8 M EBL + 100 µM Cu | 0.60 ± 0.02 Ba | 0.87 ± 0.08 BCb | 0.89 ± 0.09 ABb | 0.14 ± 0.01 Bb |
| 10−8 M EBL + 100 µM Cd | 0.61 ± 0.05 Aa | 0.75 ± 0.01 Bb | 0.76 ± 0.09 Bb | 0.17 ± 0.00 Bc |
| 100 µM TiO2 + 10−8 M EBL | 0.49 ± 0.01 Ab | 1.21 ± 0.08 Aa | 1.24 ± 0.12 Aa | 0.00 ± 0.00 Aa |
| 100 µM TiO2 + 10−8 M EBL + 100 µM Cu | 0.53 ± 0.02 Cab | 1.1 ± 0.09 Aab | 1.09 ± 0.10 Aa | 0.08 ± 0.01 Cb |
| 100 µM TiO2 + 10−8 M EBL + 100 µM Cd | 0.54 ± 0.02 Ba | 1.02 ± 0.04 Ab | 1.04 ± 0.08 Aa | 0.10 ± 0.01 Bc |
Publisher’s Note: MDPI stays neutral with regard to jurisdictional claims in published maps and institutional affiliations. |
© 2022 by the authors. Licensee MDPI, Basel, Switzerland. This article is an open access article distributed under the terms and conditions of the Creative Commons Attribution (CC BY) license (https://creativecommons.org/licenses/by/4.0/).
Share and Cite
Emamverdian, A.; Ding, Y.; Barker, J.; Liu, G.; Hasanuzzaman, M.; Li, Y.; Ramakrishnan, M.; Mokhberdoran, F. Co-Application of 24-Epibrassinolide and Titanium Oxide Nanoparticles Promotes Pleioblastus pygmaeus Plant Tolerance to Cu and Cd Toxicity by Increasing Antioxidant Activity and Photosynthetic Capacity and Reducing Heavy Metal Accumulation and Translocation. Antioxidants 2022, 11, 451. https://doi.org/10.3390/antiox11030451
Emamverdian A, Ding Y, Barker J, Liu G, Hasanuzzaman M, Li Y, Ramakrishnan M, Mokhberdoran F. Co-Application of 24-Epibrassinolide and Titanium Oxide Nanoparticles Promotes Pleioblastus pygmaeus Plant Tolerance to Cu and Cd Toxicity by Increasing Antioxidant Activity and Photosynthetic Capacity and Reducing Heavy Metal Accumulation and Translocation. Antioxidants. 2022; 11(3):451. https://doi.org/10.3390/antiox11030451
Chicago/Turabian StyleEmamverdian, Abolghassem, Yulong Ding, James Barker, Guohua Liu, Mirza Hasanuzzaman, Yang Li, Muthusamy Ramakrishnan, and Farzad Mokhberdoran. 2022. "Co-Application of 24-Epibrassinolide and Titanium Oxide Nanoparticles Promotes Pleioblastus pygmaeus Plant Tolerance to Cu and Cd Toxicity by Increasing Antioxidant Activity and Photosynthetic Capacity and Reducing Heavy Metal Accumulation and Translocation" Antioxidants 11, no. 3: 451. https://doi.org/10.3390/antiox11030451
APA StyleEmamverdian, A., Ding, Y., Barker, J., Liu, G., Hasanuzzaman, M., Li, Y., Ramakrishnan, M., & Mokhberdoran, F. (2022). Co-Application of 24-Epibrassinolide and Titanium Oxide Nanoparticles Promotes Pleioblastus pygmaeus Plant Tolerance to Cu and Cd Toxicity by Increasing Antioxidant Activity and Photosynthetic Capacity and Reducing Heavy Metal Accumulation and Translocation. Antioxidants, 11(3), 451. https://doi.org/10.3390/antiox11030451

