Ameliorative Effects of the Sesquiterpenoid Valerenic Acid on Oxidative Stress Induced in HepG2 Cells after Exposure to the Fungicide Benomyl
Abstract
1. Introduction
2. Materials and Methods
2.1. Chemicals
2.2. Cell Culture and Treatment Conditions
2.3. Cell Viability Assay for Benomyl and Valerenic Acid
2.4. Total Oxidant Status Assay
2.5. Total Antioxidant Status Assay
2.6. Total Reactive Oxygen Species Assay
2.7. GSH Assay
2.8. Endoplasmic Reticulum Stress Biomarkers Assay
2.9. Gene Expression Analysis
2.10. Statistical Analysis
3. Results
3.1. Cell Viability Assay
3.2. Total Oxidant Status (TOS)
3.3. Total Antioxidant Status (TAS)
3.4. Total Reactive Oxygen Species (ROS) Assay
3.5. GSH Assay
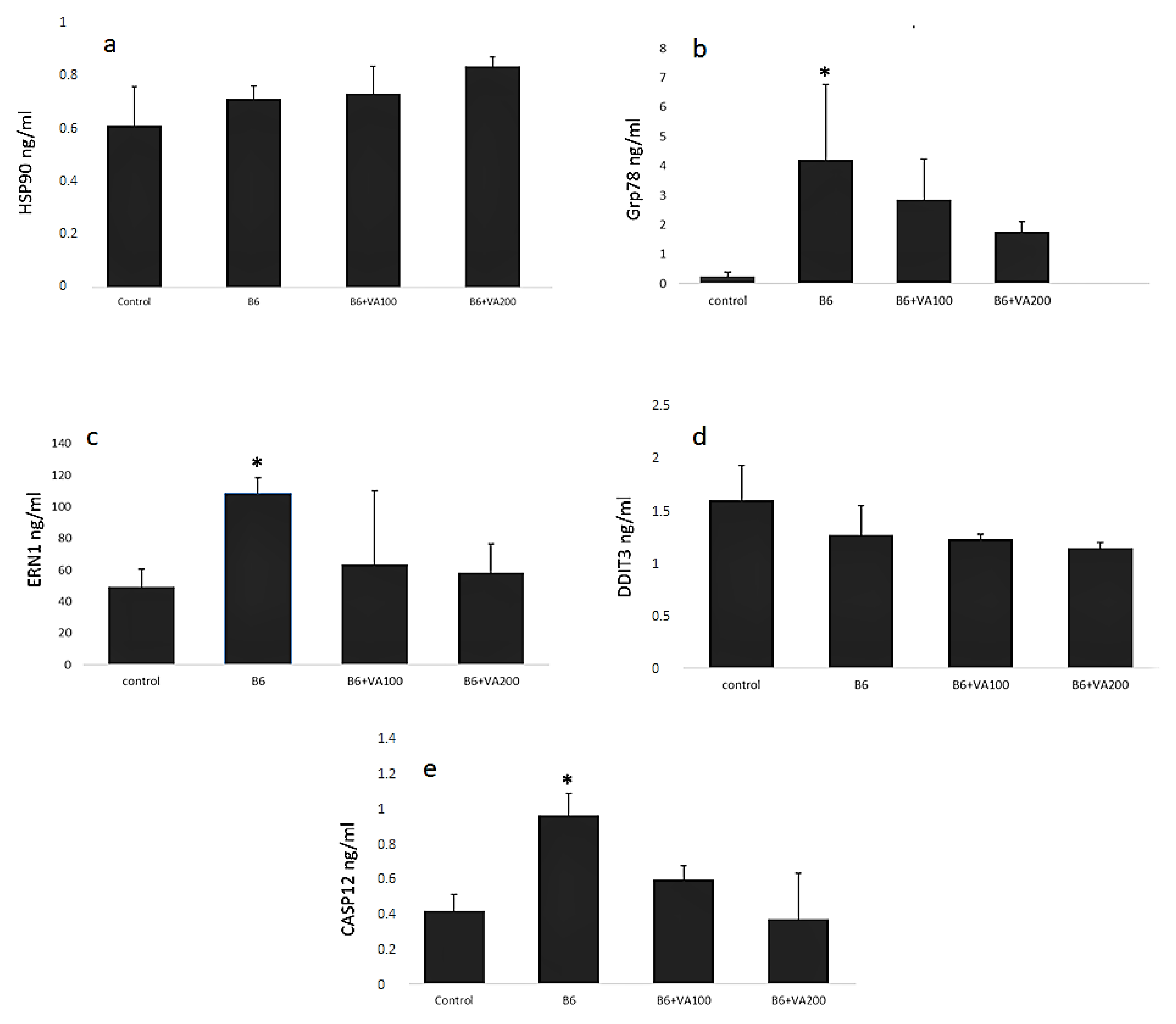
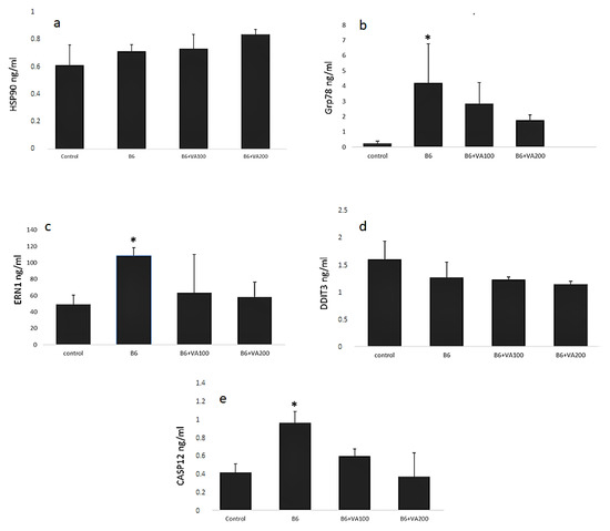
3.6. Endoplasmic Reticulum Stress Biomarkers Assay
3.7. Gene Expression Analysis
4. Discussion
5. Concluding Remarks
Author Contributions
Funding
Institutional Review Board Statement
Informed Consent Statement
Data Availability Statement
Acknowledgments
Conflicts of Interest
References
- Judd, W.S.; Campbell, C.S.; Kellogg, E.A.; Stevens, P.F.; Donoghue, M.J. Plant systematics: A phylogenetic approach. Ecol. Mediterránea 1999, 25, 215. [Google Scholar]
- Pilerood, A.S.; Prakash, J. Nutritional and medicinal properties of valerian (Valeriana Officinalis) herb: A review. Int. J. Food Nutr. Diet. 2013, 1, 25. [Google Scholar]
- Gonulalan, E.M.; Bayazeid, O.; Yalcin, F.N.; Demirezer, L. The roles of valerianic acid on BDNF expression in the SH-SY5Y cell. Saudi Pharm. J. 2018, 26, 960–964. [Google Scholar] [CrossRef] [PubMed]
- Şen, B.; Mat, A. Chemical and medicinal evaluations of the Valeriana species in Turkey. Istanb. J. Pharm. 2015, 45, 267–276. [Google Scholar]
- Anderson, G.D.; Elmer, G.W.; Kantor, E.D.; Templeton, I.E.; Vitiello, M.V. Pharmacokinetics of valerianic acid after administration of valerian in healthy subjects. Phytother. Res. 2005, 19, 801–803. [Google Scholar] [CrossRef]
- Bhatt, I.D.; Dauthal, P.; Rawat, S.; Gaira, K.S.; Jugran, A.; Rawal, R.S.; Dhar, U. Characterization of essential oil composition, phenolic content, and antioxidant properties in wild and planted individuals of Valeriana jatamansi Jones. Sci. Hort. 2012, 136, 61–68. [Google Scholar] [CrossRef]
- Kalim, M.D.; Bhattacharyya, D.; Banerjee, A.; Chattopadhyay, S. Oxidative DNA damage preventive activity and antioxidant potential of plants used in unani system of medicine. BMC Complem. Altern. Med. 2010, 10, 77. [Google Scholar] [CrossRef]
- Sudati, J.H.; Fachinetto, R.; Pereira, R.P.; Boligon, A.A.; Athayde, M.L.; Soares, F.A.; de Vargas Barbosa, N.B.; Rocha, J.B. In vitro antioxidant activity of Valeriana officinalis against different neurotoxic agents. Neurochem. Res. 2009, 34, 1372–1379. [Google Scholar] [CrossRef] [PubMed]
- Brewer, M.S. Natural antioxidants: Sources, compounds, mechanisms of action and potential applications. Comp. Rev. Food Sci. Food Saf. 2011, 10, 221–246. [Google Scholar] [CrossRef]
- Miguel, M.G. Antioxidant activity of medicinal and aromatic plants: A review. Flavour. Fragr. J. 2010, 25, 291–312. [Google Scholar] [CrossRef]
- Ramalakshmi, K.; Rahath, K.I.; Rao, L.J.M. Antioxidant potential of low-grade coffee beans. J. Food Sci. 2007, 41, 96–103. [Google Scholar] [CrossRef]
- Pabon-Baquero, L.C.; Otálvaro-Álvarez, Á.M.; Fernández, M.R.R.; Chaparro-González, M.P. Plant extracts as antioxidant additives for food industry. In Antioxidants in Foods and its Applications; Shalaby, E., Mostafa Azzam, G., Eds.; IntechOpen: London, UK, 2018; ISBN 978-1-78923-379-7. [Google Scholar]
- Yeung, P.; Lai, A.; Son, H.J.; Zhang, X.; Hwang, O.; Chung, S.; Chung, S.K. Aldose reductase deficiency leads to oxidative stress-induced dopaminergic neuronal loss and autophagic abnormality in an animal model of Parkinson’s disease. Neurobiol. Aging 2017, 50, 119–133. [Google Scholar] [CrossRef]
- Ilyushina, N.; Goumenou, M.; Stivaktakis, P.D.; Vardavas, A.I.; Masaltsev, G.; Averianova, N.; Dmitricheva, O.; Revazova, Y.; Tsatsakis, A.M.; Rakitskii, V. Maximum tolerated doses and erythropoiesis effects in the mouse bone marrow by 79 pesticides’ technical materials assessed with the micronucleus assay. Toxicol. Rep. 2018, 6, 105–110. [Google Scholar] [CrossRef]
- Zhou, J.; Xiong, K.; Yang, Y.; Ye, X.; Liu, J.; Li, F. Deleterious effects of benomyl and carbendazim on human placental trophoblast cells. Reprod. Toxicol. 2015, 51, 64–71. [Google Scholar] [CrossRef] [PubMed]
- Kara, M.; Oztas, E.; Ramazanoğulları, R.; Kouretas, D.; Nepka, C.; Tsatsakis, A.M.; Veskoukis, A.S. Benomyl, a benzimidazole fungicide, induces oxidative stress and apoptosis in neural cells. Toxicol. Rep. 2020, 7, 501–509. [Google Scholar] [CrossRef]
- Jang, Y.; Lee, A.Y.; Kim, J.E.; Jeong, S.H.; Kim, J.S.; Cho, M.H. Benomyl-induced effects of ORMDL3 overexpression via oxidative stress in human bronchial epithelial cells. Food Chem. Toxicol. 2016, 98, 100–106. [Google Scholar] [CrossRef] [PubMed]
- Markina-Iñarrairaegui, A.; Pantazopoulou, A.; Espeso, E.A.; Peñalva, M.A. The Aspergillus nidulans peripheral ER: Disorganization by ER stress and persistence during mitosis. PLoS ONE 2013, 8, e67154. [Google Scholar] [CrossRef]
- Nguyen, D.T.; Alarco, A.M.; Raymond, M. Multiple Yap1p-binding sites mediate induction of the yeast major facilitator FLR1 gene in response to drugs, oxidants, and alkylating agents. J. Biol. Chem. 2001, 276, 1138–1145. [Google Scholar] [CrossRef] [PubMed]
- Sasaya, H.; Yasuzumi, K.; Maruoka, H.; Fujita, A.; Kato, Y.; Waki, T.; Shimoke, K.; Ikeuchi, T. Apoptosis-inducing activity of endocrine-disrupting chemicals in cultured PC12 cells. Adv. Biol. Chem. 2012, 2, 92–105. [Google Scholar] [CrossRef][Green Version]
- Banks, D.; Soliman, M.R. Protective effects of antioxidants against benomyl-induced lipid peroxidation and glutathione depletion in rats. Toxicology 1997, 116, 177–181. [Google Scholar] [CrossRef]
- Karaman, E.F.; Zeybel, M.; Ozden, S. Evaluation of the epigenetic alterations an gene expression levels of HepG2 cells exposed to zearalenone and α-zearalenol. Toxicol. Lett. 2020, 326, 52–60. [Google Scholar] [CrossRef] [PubMed]
- El Golli Bennour, E.; Bouaziz, C.; Ladjimi, M.; Renaud, F.; Bacha, H. Comparative mechanisms of zearalenone and ochratoxin A toxicities on cultured HepG2 cells: Is oxidative stress a common process? Environ. Toxicol. 2009, 24, 538–548. [Google Scholar] [CrossRef] [PubMed]
- Bahmani, P.; Hassanshahi, G.; Halabian, R.; Roushandeh, A.M.; Jahanian-Najafabadi, A.; Roudkenar, M.H. The expression of heme oxygenase-1 in human-derived cancer cell lines. Iran. J. Med. Sci. 2011, 36, 260–265. [Google Scholar]
- Czerwinski, M.; Kiem, H.P.; Slattery, J.T. Human CD34+ cells do not express glutathione S-transferases alpha. Gene Ther. 1997, 4, 268. [Google Scholar] [CrossRef] [PubMed][Green Version]
- Jadhav, A.; Torlakovic, E.; Ndisang, J.F. Interaction among heme oxygenase, nuclear factor-κB, and transcription activating factors in cardiac hypertrophy in hypertension. Hypertension 2008, 52, 910–917. [Google Scholar] [CrossRef]
- Ekor, M. The growing use of herbal medicines: Issues relating to adverse reactions and challenges in monitoring safety. Front. Pharmacol. 2014, 4, 177. [Google Scholar] [CrossRef]
- Beya, M.M.; Netzel, M.E.; Sultanbawa, Y.; Smyth, H.; Hoffman, L.C. Plant-based phenolic molecules as natural preservatives in comminuted meats: A review. Antioxidants 2021, 10, 263. [Google Scholar] [CrossRef] [PubMed]
- Alok, S.; Jain, S.K.; Verma, A.; Kumar, M.; Mahor, A.; Sabharwal, M. Herbal antioxidant in clinical practice: A review. Asian Pac. J. Trop. Biomed. 2014, 4, 78–84. [Google Scholar] [CrossRef]
- Lin, H.H.; Charles, A.L.; Hsieh, C.W.; Lee, Y.C.; Ciou, J.Y. Antioxidant effects of 14 Chinese traditional medicinal herbs against human low-density lipoprotein oxidation. J. Tradit. Complement. Med. 2014, 5, 51–55. [Google Scholar] [CrossRef][Green Version]
- Wong, J.; d’Espaux, L.; Dev, I.; van der Horst, C.; Keasling, J. De novo synthesis of the sedative valerenic acid in Saccharomyces cerevisiae. Metab. Eng. 2018, 47, 94–101. [Google Scholar] [CrossRef] [PubMed]
- Veskoukis, A.S.; Kyparos, A.; Nikolaidis, M.G.; Stagos, D.; Aligiannis, N.; Halabalaki, M.; Chronis, K.; Goutzourelas, N.; Skaltsounis, L.; Kouretas, D. The antioxidant effects of a polyphenol-rich grape pomace extract in vitro do not correspond in vivo using exercise as an oxidant stimulus. Oxidative Med. Cell. Longev. 2012, 2012, 185867. [Google Scholar] [CrossRef] [PubMed]
- Veskoukis, A.S.; Vassi, E.; Poulas, K.; Kokkinakis, M.; Asprodini, E.; Haroutounian, S.; Kouretas, D. Grape stem extracts from three native Greek vine varieties exhibit strong antioxidant and antimutagenic properties. Anticancer Res. 2020, 40, 2025–2032. [Google Scholar] [CrossRef]
- Spanou, C.I.; Veskoukis, A.S.; Stagos, D.; Liadaki, K.; Aligiannis, N.; Angelis, A.; Skaltsounis, A.L.; Anastasiadi, M.; Haroutounian, S.A.; Kouretas, D. Effects of Greek legume plant extracts on xanthine oxidase, catalase and superoxide dismutase activities. J. Physiol. Biochem. 2012, 68, 37–45. [Google Scholar] [CrossRef] [PubMed]
- Spanou, C.; Veskoukis, A.S.; Stagos, D.; Liadaki, K.; Anastasiadi, M.; Haroutounian, S.A.; Tsouka, M.; Tzanakouli, E.; Kouretas, D. Effects of grape extracts on the in vitro activity of enzymes involved in oxidative stress regulation. In Vivo (Athens) 2011, 25, 657–662. [Google Scholar]
- Zhou, Y.; Xu, J.; Zhu, Y.; Duan, Y.; Zhou, M. Mechanism of action of the benzimidazole fungicide on Fusarium graminearum: Interfering with polymerization of monomeric tubulin but not polymerized microtubule. Phytopathology 2016, 106, 807–813. [Google Scholar] [CrossRef]
- Orhan, I.E. A review focused on molecular mechanisms of anxiolytic effect of Valerina officinalis L. in connection with its phytochemistry through in vitro/in vivo studies. Curr. Pharm. Des. 2021. [Google Scholar] [CrossRef] [PubMed]
- Lu, Q.; Ding, Y.; Li, Y.; Lu, Q. 5-HT receptor agonist Valerenic Acid enhances the innate immunity signal and suppresses glioblastoma cell growth and invasion. Int. J. Biol. Sci. 2020, 16, 2104–2115. [Google Scholar] [CrossRef] [PubMed]
- Rodríguez-Cruz, A.; Romo-Mancillas, A.; Mendiola-Precoma, J.; Escobar-Cabrera, J.E.; García-Alcocer, G.; Berumen, L.C. Effect of valerenic acid on neuroinflammation in a MPTP-induced mouse model of Parkinson’s disease. IBRO Rep. 2019, 8, 28–35. [Google Scholar] [CrossRef]
- Jacobo-Herrera, N.J.; Vartiainen, N.; Bremner, P.; Gibbons, S.; Koistinaho, J.; Heinrich, M. NF-kappaB modulators from Valeriana officinalis. Phytother. Res. PTR 2006, 20, 917–919. [Google Scholar] [CrossRef]
- Dugaheh, M.A.; Meisami, F.; Torabian, Z.; Sharififar, F. Antioxidant effect and study of bioactive components of Valeriana sisymbriifolia and Nardostachys jatamansii in comparison to Valeriana officinalis. Pak. J. Pharm. Sci. 2013, 26, 53–58. [Google Scholar] [PubMed]
- Santos, G.; Giraldez-Alvarez, L.D.; Ávila-Rodriguez, M.; Capani, F.; Galembeck, E.; Neto, A.G.; Barreto, G.E.; Andrade, B. SUR1 receptor interaction with hesperidin and linarin predicts possible mechanisms of action of valeriana officinalis in Parkinson. Front. Aging Neurosci. 2016, 8, 97. [Google Scholar] [CrossRef]
- Veskoukis, A.S.; Tsatsakis, A.; Kouretas, D. Approaching reactive species in the frame of their clinical significance: A toxicological appraisal. Food Chem. Toxicol. 2020, 138, 111206. [Google Scholar] [CrossRef]
- Castejón, M.L.; Montoya, T.; Alarcón-de-la-Lastra, C.; Sánchez-Hidalgo, M. Potential protective role exerted by Secoiridoids from Olea europaea L. in cancer, cardiovascular, neurodegenerative, aging-related, and immunoinflammatory diseases. Antioxidants 2020, 9, 149. [Google Scholar] [CrossRef] [PubMed]
- Surai, P.F.; Kochish, I.I.; Fisinin, V.I.; Kidd, M.T. Antioxidant defence systems and oxidative stress in poultry biology: An update. Antioxidants 2019, 8, 235. [Google Scholar] [CrossRef]
- Lewis, K.N.; Wason, E.; Edrey, Y.H.; Kristan, D.M.; Nevo, E.; Buffenstein, R. Regulation of Nrf2 signaling and longevity in naturally long-lived rodents. Proc. Natl. Acad. Sci. USA 2015, 112, 3722–3727. [Google Scholar] [CrossRef]
- Wang, X.; Chen, M.; Zhou, J.; Zhang, X. HSP27, 70 and 90, anti-apoptotic proteins, in clinical cancer therapy (review). Int. J. Oncol. 2014, 45, 18–30. [Google Scholar] [CrossRef] [PubMed]
- García-Guede, Á.; Vera, O.; Ibáñez-de-Caceres, I. When oxidative stress meets epigenetics: Implications in cancer development. Antioxidants 2020, 9, 468. [Google Scholar] [CrossRef] [PubMed]
- Alvarez-Arellano, L.; González-García, N.; Salazar-García, M.; Corona, J.C. Antioxidants as a potential target against inflammation and oxidative stress in attention-deficit/hyperactivity disorder. Antioxidants 2020, 9, 176. [Google Scholar] [CrossRef] [PubMed]
- Kumar Rajendran, N.; George, B.P.; Chandran, R.; Tynga, I.M.; Houreld, N.; Abrahamse, H. The influence of light on reactive oxygen species and NF-кB in disease progression. Antioxidants 2019, 8, 640. [Google Scholar] [CrossRef] [PubMed]
- Panieri, E.; Buha, A.; Telkoparan-Akillilar, P.; Cevik, D.; Kouretas, D.; Veskoukis, A.; Skaperda, Z.; Tsatsakis, A.; Wallace, D.; Suzen, S.; et al. Potential applications of NRF2 modulators in cancer therapy. Antioxidants 2020, 9, 193. [Google Scholar] [CrossRef] [PubMed]
- Amaral de Brito, A.P.; Galvão de Melo, I.; El-Bachá, R.S.; Guedes, R. Valeriana officinalis counteracts rotenone effects on spreading depression in the rat brain in vivo and protects against rotenone cytotoxicity toward rat glioma C6 cells in vitro. Front. Neurosci. 2020, 14, 759. [Google Scholar] [CrossRef]
- Sudati, J.H.; Vieira, F.A.; Pavin, S.S.; Dias, G.R.; Seeger, R.L.; Golombieski, R.; Athayde, M.L.; Soares, F.A.; Rocha, J.B.; Barbosa, N.V. Valeriana officinalis attenuates the rotenone-induced toxicity in Drosophila melanogaster. Neurotoxicology 2013, 37, 118–126. [Google Scholar] [CrossRef] [PubMed]
- Sridharan, S.; Mohankumar, K.; Jeepipalli, S.P.; Sankaramourthy, D.; Ronsard, L.; Subramanian, K.; Thamilarasan, M.; Raja, K.; Chandra, V.K.; Sadras, S.R. Neuroprotective effect of Valeriana wallichii rhizome extract against the neurotoxin MPTP in C57BL/6 mice. Neurotoxicology 2015, 51, 172–183. [Google Scholar] [CrossRef] [PubMed]
- Veskoukis, A.S.; Kerasioti, E.; Skaperda, Z.; Papapostolou, P.A.; Nepka, C.; Spandidos, D.A.; Asprodini, E.; Taitzoglou, I.; Kouretas, D. Whey protein boosts the antioxidant profile of rats by enhancing the activities of crucial antioxidant enzymes in a tissue-specific manner. Food Chem. Toxicol. 2020, 142, 111508. [Google Scholar] [CrossRef]
- Saso, L.; Gürer-Orhan, H.; Stepanić, V. Modulators of oxidative stress: Chemical and pharmacological aspects. Antioxidants 2020, 9, 657. [Google Scholar] [CrossRef]
- Kerasioti, E.; Veskoukis, A.; Virgiliou, C.; Theodoridis, G.; Taitzoglou, I.; Kouretas, D. The strong antioxidant sheep/goat whey protein protects against mTOR overactivation in rats: A mode of action mimicking fasting. Antioxidants 2019, 8, 71. [Google Scholar] [CrossRef] [PubMed]
- Marzec, M.; Eletto, D.; Argon, Y. GRP94: An HSP90-like protein specialized for protein folding and quality control in the endoplasmic reticulum. Biochim. Biophys. Acta 2012, 1823, 774–787. [Google Scholar] [CrossRef]
- Sisinni, L.; Pietrafesa, M.; Lepore, S.; Maddalena, F.; Condelli, V.; Esposito, F.; Landriscina, M. Endoplasmic reticulum stress and unfolded protein response in breast cancer: The balance between apoptosis and autophagy and its role in drug resistance. Int. J. Mol. Sci. 2019, 20, 857. [Google Scholar] [CrossRef]
- Peserico, D.; Stranieri, C.; Garbin, U.; Mozzini, C.C.; Danese, E.; Cominacini, L.; Fratta-Pasini, A.M. Ezetimibe prevents ischemia/reperfusion-induced oxidative stress and up-regulates Nrf2/ARE and UPR signaling pathways. Antioxidants 2020, 9, 349. [Google Scholar] [CrossRef] [PubMed]








| Gene. | Sequence (Forward 5′–3′) | Sequence (Reverse 5′–3′) | Tm | Ref |
|---|---|---|---|---|
| Hsp70 | 5′-CCGGTTCCCTGCTCTCTGTC-3′ | 5′-CAGTCCACTACCTTTTTCGAGA-3′ | 60 | [23] |
| HO-1 | 5′-ATGACACCAAGGACCAGAGC -3′ | 5′-GTGTAAGGACCCATCGGAGA-3′ | 60 | [24] |
| α-GST | 3′-TTCCTTGGGCTGCCAGGC-5′ | 3′-GTTCCAGCAAGTGCCATCC-5′ | 60 | [25] |
| NF-κB | 5′-CATTGCTCAGGTCCACTGTC-3′ | 5′-CTGTCACTATCCCGGAGTTCA-3′ | 60 | [26] |
| L-Fabp | 5′- TGTCGGAAATCGTGCAG-3′ | 5′- GATTATGTCGCCGTTGAGTT-3′ | 53 | [22] |
| β-Actin | 5′- AACTACCTTCAACTCCAT-3′ | 5′- TGATCTTGATCTTCATTGTG-3′ | 48 | [22] |
Publisher’s Note: MDPI stays neutral with regard to jurisdictional claims in published maps and institutional affiliations. |
© 2021 by the authors. Licensee MDPI, Basel, Switzerland. This article is an open access article distributed under the terms and conditions of the Creative Commons Attribution (CC BY) license (https://creativecommons.org/licenses/by/4.0/).
Share and Cite
Kara, M.; Öztaş, E.; Boran, T.; Karaman, E.F.; Veskoukis, A.S.; Tsatsakis, A.M. Ameliorative Effects of the Sesquiterpenoid Valerenic Acid on Oxidative Stress Induced in HepG2 Cells after Exposure to the Fungicide Benomyl. Antioxidants 2021, 10, 746. https://doi.org/10.3390/antiox10050746
Kara M, Öztaş E, Boran T, Karaman EF, Veskoukis AS, Tsatsakis AM. Ameliorative Effects of the Sesquiterpenoid Valerenic Acid on Oxidative Stress Induced in HepG2 Cells after Exposure to the Fungicide Benomyl. Antioxidants. 2021; 10(5):746. https://doi.org/10.3390/antiox10050746
Chicago/Turabian StyleKara, Mehtap, Ezgi Öztaş, Tuğçe Boran, Ecem Fatma Karaman, Aristidis S. Veskoukis, and Aristides M. Tsatsakis. 2021. "Ameliorative Effects of the Sesquiterpenoid Valerenic Acid on Oxidative Stress Induced in HepG2 Cells after Exposure to the Fungicide Benomyl" Antioxidants 10, no. 5: 746. https://doi.org/10.3390/antiox10050746
APA StyleKara, M., Öztaş, E., Boran, T., Karaman, E. F., Veskoukis, A. S., & Tsatsakis, A. M. (2021). Ameliorative Effects of the Sesquiterpenoid Valerenic Acid on Oxidative Stress Induced in HepG2 Cells after Exposure to the Fungicide Benomyl. Antioxidants, 10(5), 746. https://doi.org/10.3390/antiox10050746

