Urolithiasis Develops Endothelial Dysfunction as a Clinical Feature
Abstract
1. Introduction
2. Material and Methods
2.1. Study Design
2.2. Assessment of Endothelial Function
2.3. Assays
2.4. Data Presentation and Statistical Analysis
3. Results
3.1. Demographic and Basal Characteristics
3.2. Endothelial Function
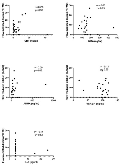
3.3. Inflammation, Oxidative Stress, and Endothelial Dysfunction Markers
4. Discussion
5. Conclusions
Author Contributions
Funding
Institutional Review Board Statement
Informed Consent Statement
Data Availability Statement
Acknowledgments
Conflicts of Interest
References
- Lotan, Y.; Buendia Jiménez, I.; Lenoir-Wijnkoop, I.; Daudon, M.; Molinier, L.; Tack, I.; Nuijten, M.J. Primary prevention of nephrolithiasis is cost-effective for a national healthcare system. BJU Int. 2012, 110, E1060–E1067. [Google Scholar] [CrossRef] [PubMed]
- Ferraro, P.M.; Taylor, E.N.; Eisner, B.H.; Gambaro, G.; Rimm, E.B.; Mukamal, K.J.; Curhan, G.C. History of kidney stones and the risk of coronary heart disease. JAMA 2013, 310, 408–415. [Google Scholar] [CrossRef]
- Aydin, H.; Yencilek, F.; Erihan, I.B.; Okan, B.; Sarica, K. Increased 10-year cardiovascular disease and mortality risk scores in asymptomatic patients with calcium oxalate urolithiasis. Urol Res. 2011, 39, 451–458. [Google Scholar] [CrossRef] [PubMed]
- Prieto, D.; Contreras, C.; Sanchez, A. Endothelial dysfunction, obesity and insulin resistance. Curr. Vasc. Pharmacol. 2014, 12, 412–426. [Google Scholar] [CrossRef] [PubMed]
- Aydin, H.; Yencilek, F.; Mutlu, N.; Comunoğlu, N.; Koyuncu, H.H.; Sarica, K. Ethylene glycol induced hyperoxaluria increases plasma and renal tissue asymmetrical dimethylarginine in rats: A new pathogenetic link in hyperoxaluria induced disorders. J. Urol. 2010, 183, 759–764. [Google Scholar]
- Sarıca, K.; Aydin, H.; Yencilek, F.; Telci, D.; Yilmaz, B. Human umbilical vein endothelial cells accelerate oxalate-induced apoptosis of human renal proximal tubule epithelial cells in co-culture system which is prevented by pyrrolidine dithiocarbamate. Urol. Res. 2012, 40, 461–466. [Google Scholar]
- Evan, A.P.; Worcester, E.M.; Coe, F.L.; Williams, J.; Lingeman, J.E. Mechanisms of human kidney stone formation. Urolithiasis 2015, 43 (Suppl. 1), 19–32. [Google Scholar] [CrossRef]
- Celermajer, D.S.; Sorensen, K.E.; Bull, C.; Robinson, J.; Deanfield, J.E. Endothelium-dependent dilation in the systemic arteries of asymptomatic subjects relates to coronary risk factors and their interaction. J. Am. Coll. Cardiol. 1994, 24, 1468–1474. [Google Scholar]
- Reyes-Ferrada, W.; Solis-Urra, P.; Plaza-Díaz, J.; Sadarangani, K.P.; de Moraes Ferrari, G.L.; Rodríguez-Rodríguez, F.; Cristi-Montero, C. Cardiorespiratory Fitness, Physical Activity, Sedentary Time and Its Association with the Atherogenic Index of Plasma in Chilean Adults, Influence of the Waist Circumference to Height Ratio. Nutrients 2020, 12, 1250. [Google Scholar] [CrossRef] [PubMed]
- Tsao, K.C.; Wu, T.L.; Chang, P.Y.; Sun, C.F.; Wu, L.L.; Wu, J.T. Multiple risk markers for atherogenesis associated with chronic inflammation are detectable in patients with renal stones. J. Clin. Lab. Anal. 2007, 21, 426–431. [Google Scholar]
- Ito, F.; Sono, Y.; Ito, T. Measurement and Clinical Significance of Lipid Peroxidation as a Biomarker of Oxidative Stress, Oxidative Stress in Diabetes, Atherosclerosis, and Chronic Inflammation. Antioxidants 2019, 8, 72. [Google Scholar] [CrossRef]
- Böger, R.H.; Bode-Böger, S.M.; Szuba, A.; Tsao, P.S.; Chan, J.R.; Tangphao, O.; Blaschke, T.F.; Cooke, J.P. Asymmetric dimethylarginine (ADMA): A novel risk factor for endothelial dysfunction: Its role in hypercholesterolemia. Circulation 1998, 98, 1842–1847. [Google Scholar] [CrossRef] [PubMed]
- Yencilek, E.; Sarı, H.; Yencilek, F.; Yeşil, E.; Aydın, H. Systemic endothelial function measured by flow-mediated dilation is impaired in patients with urolithiasis. Urolithiasis 2017, 45, 545–552. [Google Scholar] [CrossRef] [PubMed]
- Yazici, O.; Narter, F.; Erbin, A.; Aydin, K.; Kafkasli, A.; Sarica, K. Effect of endothelial dysfunction on the pathogenesis of urolithiasis in patients with metabolic syndrome. Aging Male 2020, 23, 1082–1087. [Google Scholar] [CrossRef] [PubMed]
- Linas, S.L.; Repine, J.E. Endothelial cells regulate proximal tubule epithelial cell sodium transport. Kidney Int. 1999, 55, 1251–1258. [Google Scholar] [CrossRef]
- Caballero, A.E.; Arora, S.; Saouaf, R.; Lim, S.C.; Smakowski, P.; Park, J.Y.; King, G.L.; LoGerfo, F.W.; Horton, E.S.; Veves, A. Microvascular and macrovascular reactivity is reduced in subjects at risk for type 2 diabetes. Diabetes 1999, 48, 1856–1862. [Google Scholar] [CrossRef]
- Lerman, A.; Zeiher, A.M. Endothelial function: Cardiac events. Circulation 2005, 111, 363–368. [Google Scholar] [CrossRef] [PubMed]
- Rodriguez-Portelles, A.; Rodriguez-Leyva, D. Endothelial and left ventricular diastolic function in young adults exposed to tobacco. Can. J. Physiol. Pharmacol. 2019, 97, 1006–1011. [Google Scholar] [CrossRef]
- Dalla Vestra, M.; Mussap, M.; Gallina, P.; Bruseghin, M.; Cernigoi, A.M.; Saller, A.; Plebani, M.; Fioretto, P. Acute-phase markers of inflammation and glomerular structure in patients with type 2 diabetes. J. Am. Soc. Nephrol. 2005, 16 (Suppl. 1), S78–S82. [Google Scholar] [CrossRef]
- Ridker, P.M.; Hennekens, C.H.; Buring, J.E.; Rifai, N. C-reactive protein and other markers of inflammation in the prediction of cardiovascular disease in women. N. Engl. J. Med. 2000, 342, 836–843. [Google Scholar] [CrossRef] [PubMed]
- Khan, S.R. Reactive oxygen species as the molecular modulators of calcium oxalate kidney stone formation: Evidence from clinical and experimental investigations. J. Urol. 2013, 189, 803–811. [Google Scholar] [CrossRef]
- Hasna, A.; Meiyappan, K.; Periyasam, S.G.; Kalyaperumal, M.; Bobby, Z.; Subramaniam, A.V. Is urolithiasis associated with increased levels of high sensitivity C-reactive protein and interleukin-6 in diabetic patients. J. Clin. Diagn. Res. JCDR 2015, 9, BC01–BC03. [Google Scholar] [CrossRef]
- Sáenz-Medina, J.; Jorge, E.; Corbacho, C.; Santos, M.; Sánchez, A.; Soblechero, P.; Virumbrales, E.; Ramil, E.; Coronado, M.J.; Castillón, I.; et al. Metabolic syndrome contributes to renal injury mediated by hyperoxaluria in a murine model of nephrolithiasis. Urolithiasis 2018, 46, 179–186. [Google Scholar] [CrossRef]
- Yazici, O.; Aydin, K.; Temizkan, S.; Narter, F.; Erbin, A.; Kafkasli, A.; Cubuk, A.; Aslan, R.; Sarıca, K. Relationship between Serum Asymmetrical Dimethylarginine level and Urolithiasis. East. J. Med. 2020, 25, 366. [Google Scholar] [CrossRef]
- Tungsanga, K.; Sriboonlue, P.; Futrakul, P.; Yachantha, C.; Tosukhowong, P. Renal tubular cell damage and oxidative stress in renal stone patients and the effect of potassium citrate treatment. Urol. Res. 2005, 33, 65–69. [Google Scholar] [CrossRef]
- Saenz-Medina, J.; Munoz, M.; Sanchez, A.; Rodriguez, C.; Jorge, E.; Corbacho, C.; Izquierdo, D.; Santos, M.; Donoso, E.; Virumbrales, E.; et al. Nox1-derived oxidative stress as a common pathogenic link between obesity and hyperoxaluria-related kidney injury. Urolithiasis 2019, 48, 481–492. [Google Scholar] [CrossRef]
- Böger, R.H.; Endres, H.G.; Schwedhelm, E.; Darius, H.; Atzler, D.; Lüneburg, N.; Von Stritzky, B.; Maas, R.; Thiem, U.; Benndorf, R.A.; et al. Asymmetric dimethylarginine as an independent risk marker for mortality in ambulatory patients with peripheral arterial disease. J. Intern. Med. 2011, 269, 349–361. [Google Scholar] [CrossRef] [PubMed]
- Dominguez-Gutierrez, P.R.; Kwenda, E.P.; Khan, S.R.; Canales, B.K. Immunotherapy for stone disease. Curr. Opin. Urol. 2020, 30, 183–189. [Google Scholar] [CrossRef]
- de Faria, A.P.; Ritter, A.M.V.; Sabbatini, A.R.; Corrêa, N.B.; Brunelli, V.; Modolo, R.; Moreno, H. Deregulation of Soluble Adhesion Molecules in Resistant Hypertension and Its Role in Cardiovascular Remodeling. Circ. J. 2016, 80, 1196–1201. [Google Scholar] [CrossRef] [PubMed]
- Cybulsky, M.I.; Iiyama, K.; Li, H.; Zhu, S.; Chen, M.; Iiyama, M.; Davis, V.; Gutierrez-Ramos, J.C.; Connelly, P.W.; Milstone, D.S. A major role for VCAM-1, but not ICAM-1, in early atherosclerosis. J. Clin. Investig. 2001, 107, 1255–1262. [Google Scholar] [CrossRef] [PubMed]
- Goncharov, N.V.; Nadeev, A.D.; Jenkins, R.O.; Avdonin, P.V. Markers and Biomarkers of Endothelium, When Something Is Rotten in the State. Oxid. Med. Cell. Longev. 2017, 2017, 9759735. [Google Scholar] [CrossRef] [PubMed]


| Patients | Controls | p | |
|---|---|---|---|
| Age (years) | 51.92 ± 2.91 | 52.33 ± 4.03 | 0.9350 |
| Gender (F/M) | 18/9 | 18/9 | |
| Height (cm) | 169.67 ± 1.86 | 167.15 ± 2.42 | 0.4141 |
| Weight (kg) | 77.28 ± 2.49 | 73.7 ± 2.74 | 0.3375 |
| BMI (kg/m2) | 26.88 ± 0.85 | 26.76 ± 4.79 | 0.9325 |
| Smoking | 8/27 | 4/27 | 0.526 |
| TAM (mmHg) | 109.68 ± 3.4 | 101.69 ± 3.04 | 0.0854 |
| Glucose (mg/dL) | 90.46 ± 3.26 | 93.63 ± 3.21 | 0.4251 |
| Total Cholesterol (mg/dL) | 188.48 ± 8.3 | 178.96 ± 5.93 | 0.3553 |
| Triglycerides (mg/dL) | 114.8 ± 14.26 | 92.04 ± 8.1 | 0.1807 |
| HDL Cholesterol (mg/dL) | 53.77 ± 3.05 | 59.81 ± 2.62 | 0.0970 |
| LDL Cholesterol (mg/dL) | 100.7 ± 7.11 | 99.5 ± 5.65 | 0.1592 |
| Atherogenic Index | 0.28 ± 0.07 | 0.16 ± 0.04 | 0.075 |
| Framingham Score (%) | 6.4 ± 1.52 | 7.45 ± 1.67 | 0.64 |
| n | |
|---|---|
| Disease stage (First episode/Relapsing) | 12/15 |
| Multiplicity (Single stone/Multiple) | 8/19 |
| Location (Kidney/Ureter) | 26/1 |
| Composition | |
| Calcium | 23 |
| Uric acid | 2 |
| Unknown | 2 |
| Patients | Control | p | |
|---|---|---|---|
| Basal lumen diameter (mm) | 4.33 ± 0.15 | 3.94 ± 0.11 | 0.0491 |
| Lumen diameter after FMD (mm) | 4.71 ± 0.17 | 4.73 ± 0.12 | 0.9301 |
| FMD (% increase) | 8.95 ± 1.51 | 20.81 ± 2.34 | 0.00010448 |
| R (Pearson) | Mean Difference (T Test) | p | |
|---|---|---|---|
| Age | −0.12706051 | 0.36 | |
| Gender | 0.34 | 0.92 | |
| BMI (kg/m2) | 0.07183757 | 0.6 | |
| Mean arterial pressure (mmHg) | −0.07209692 | 0.6 | |
| Smoking | −9.07 | 0.001 | |
| Glucose (mg/dL) | 0.10709456 | 0.44 | |
| Total cholesterol (mg/dL) | −0.05018417 | 0.72 | |
| Atherogenic index | −0.06 | 0.64 | |
| Framingham score (%) | 0.043 | 0.76 |
| n | FMD (%) | p | |
|---|---|---|---|
| Disease stage (First episode/Relapsing) | 12/15 | 7.5/10.1 | 0.405 |
| Multiplicity (Single stone/Multiple) | 8/19 | 10.6/8.3 | 0.5 |
| Location (Kidney/Ureter) | 26/1 | 9/6.9 | 0.8 |
| Composition | |||
| Calcium | 23 | 9.4 | 0.8 |
| Uric acid | 2 | 6.5 | |
| Unknown | 2 | 6.6 |
| Patients | Control | p | |
|---|---|---|---|
| CRP (mg/L) | 5.3 ± 1.6 | 3 ± 0.9 | 0.2432 |
| IL-6 (pg/mL) | 1.7 ± 1.2 | 18.8 ± 13.8 | 0.23 |
| MDA (ng/mL) | 157.8 ± 15.3 | 199.57 ± 29.6 | 0.23 |
| VCAM-1 (ng/mL) | 95.4 ± 5.1 | 90.1 ± 4.8 | 0.47 |
| ADMA (ng/mL) | 92.8 ± 31.8 | 75.6 ± 30.2 | 0.71 |
Publisher’s Note: MDPI stays neutral with regard to jurisdictional claims in published maps and institutional affiliations. |
© 2021 by the authors. Licensee MDPI, Basel, Switzerland. This article is an open access article distributed under the terms and conditions of the Creative Commons Attribution (CC BY) license (https://creativecommons.org/licenses/by/4.0/).
Share and Cite
Sáenz-Medina, J.; Martinez, M.; Rosado, S.; Durán, M.; Prieto, D.; Carballido, J. Urolithiasis Develops Endothelial Dysfunction as a Clinical Feature. Antioxidants 2021, 10, 722. https://doi.org/10.3390/antiox10050722
Sáenz-Medina J, Martinez M, Rosado S, Durán M, Prieto D, Carballido J. Urolithiasis Develops Endothelial Dysfunction as a Clinical Feature. Antioxidants. 2021; 10(5):722. https://doi.org/10.3390/antiox10050722
Chicago/Turabian StyleSáenz-Medina, Javier, María Martinez, Silvia Rosado, Manuel Durán, Dolores Prieto, and Joaquín Carballido. 2021. "Urolithiasis Develops Endothelial Dysfunction as a Clinical Feature" Antioxidants 10, no. 5: 722. https://doi.org/10.3390/antiox10050722
APA StyleSáenz-Medina, J., Martinez, M., Rosado, S., Durán, M., Prieto, D., & Carballido, J. (2021). Urolithiasis Develops Endothelial Dysfunction as a Clinical Feature. Antioxidants, 10(5), 722. https://doi.org/10.3390/antiox10050722

