Antioxidant Capacity of Free Volatile Compounds from Olea europaea L. cv. Oblica Leaves Depending on the Vegetation Stage
Abstract
:1. Introduction
2. Materials and Methods
2.1. Plant Material and Isolation of Free Volatile Compounds
2.2. Extraction of Volatiles from Hydrosols
2.3. Gas Chromatography, Gas Chromatography—Mass Spectrometry and Columns Conditions
2.4. Analyses of Free Volatile Compounds
2.5. Antioxidant Capacity of Essential Oils and Hydrosols
2.5.1. ORAC
2.5.2. DPPH
2.6. Statistical Analyses
3. Results and Discussion
3.1. Pretreatment and Isolation of Free Volatile Compounds from Olive Leaves
3.2. GC and GC-MS Identification of Free Volatile Compounds from Olive Leaves
3.2.1. Composition of Essential Oil
3.2.2. Composition of Hydrosol
3.3. Antioxidant Capacity
4. Conclusions
Author Contributions
Funding
Institutional Review Board Statement
Informed Consent Statement
Data Availability Statement
Acknowledgments
Conflicts of Interest
References
- Parvaiz, M.; Hussain, K.; Shoaib, M.; William, G.; Tufail, M.; Hussain, Z.; Gohar, D.; Imtiaz, S. A review: Therapeutic significance of olive Olea europaea L. (oleaceae family). Glob. J. Pharmacol. 2013, 7, 333–336. [Google Scholar] [CrossRef]
- Visioli, F.; Poli, A.; Galli, C. Antioxidant and other biological activities of phenols from olives and olive oil. Med. Res. Rev. 2002, 22, 65–75. [Google Scholar] [CrossRef] [PubMed]
- Connor, D.J. Adaptation of olive (Olea europaea L.) to water-limited environments. Aust. J. Agric. Res. 2005, 56, 1181–1189. [Google Scholar] [CrossRef]
- Guerrero Maldonado, N.; López, M.J.; Caudullo, G.; de Rigo, D. Olea europaea in Europe: Distribution, habitat, usage and threats. Eur. Atlas For. Tree Species 2016, 111, e01534b. [Google Scholar]
- Strikic, F.; Mavsar, D.B.; Perica, S.; Cmelik, Z.; Satovic, Z.; Javornik, B. The main croatian olive cultivar, “oblica”, shows high morphological but low molecular diversity. J. Hortic. Sci. Biotechnol. 2009, 84, 345–349. [Google Scholar] [CrossRef]
- Popović, M.; Jukić Špika, M.; Veršić Bratinčević, M.; Ninčević, T.; Matešković, A.; Mandušić, M.; Rošin, J.; Nazlić, M.; Dunkić, V.; Vitanović, E. Essential Oil Volatile Fingerprint Differentiates Croatian cv. Oblica from Other Olea europaea L. Cultivars. Molecules 2021, 26, 3533. [Google Scholar] [CrossRef]
- Vogel, P.; Machado, I.K.; Garavaglia, J.; Zani, V.T.; de Souza, D.; Dal Bosco, S.M. Beneficios polifenoles hoja de olivo (Olea europaea L.) para la salud humana. Nutr. Hosp. 2015, 31, 1427–1433. [Google Scholar] [CrossRef]
- Covas, M.-I.; De la Torre, R.; Fitó, M. Scientific evidence of the benefits of virgin olive oil for human health. Med. Balear 2014, 29, 39–46. [Google Scholar] [CrossRef]
- Pereira, A.P.; Ferreira, I.C.F.R.; Marcelino, F.; Valentão, P.; Andrade, P.B.; Seabra, R.; Estevinho, L.; Bento, A.; Pereira, J.A. Phenolic compounds and antimicrobial activity of olive (Olea europaea L. Cv. Cobrançosa) leaves. Molecules 2007, 12, 1153–1162. [Google Scholar] [CrossRef] [PubMed]
- Şahin, S.; Bilgin, M. Olive tree (Olea europaea L.) leaf as a waste by-product of table olive and olive oil industry: A review. J. Sci. Food Agric. 2018, 98, 1271–1279. [Google Scholar] [CrossRef] [PubMed]
- Hashmi, M.A.; Khan, A.; Hanif, M.; Farooq, U.; Perveen, S. Traditional uses, phytochemistry, and pharmacology of olea europaea (olive). Evid. Based Complement. Altern. Med.Vol. 2015, 2015, 541591. [Google Scholar] [CrossRef] [Green Version]
- Vilaplana-Pérez, C.; Auñón, D.; García-Flores, L.A.; Gil-Izquierdo, A. Hydroxytyrosol and Potential Uses in Cardiovascular Diseases, Cancer, and AIDS. Front. Nutr. 2014, 1, 18. [Google Scholar] [CrossRef] [Green Version]
- Japón-Luján, R.; Ruiz-Jiménez, J.; De Castro, M.D.L. Discrimination and classification of olive tree varieties and cultivation zones by biophenol contents. J. Agric. Food Chem. 2006, 54, 9706–9712. [Google Scholar] [CrossRef] [PubMed]
- Boss, A.; Bishop, K.S.; Marlow, G.; Barnett, M.P.G.; Ferguson, L.R. Evidence to support the anti-cancer effect of olive leaf extract and future directions. Nutrients 2016, 8, 513. [Google Scholar] [CrossRef] [PubMed] [Green Version]
- Suárez Montenegro, Z.J.; Álvarez-Rivera, G.; Mendiola, J.A.; Ibáñez, E.; Cifuentes, A. Extraction and mass spectrometric characterization of terpenes recovered from olive leaves using a new adsorbent-assisted supercritical CO2 process. Foods 2021, 10, 1301. [Google Scholar] [CrossRef]
- Tiwari, R.; Rana, C.S. Plant secondary metabolites: A review. Int. J. Eng. Res. Gen. Sci. 2015, 3, 661–670. [Google Scholar]
- Barbulova, A.; Colucci, G.; Apone, F. New trends in cosmetics: By-products of plant origin and their potential use as cosmetic active ingredients. Cosmetics 2015, 2, 82–92. [Google Scholar] [CrossRef]
- Omar, S.H. Oleuropein in olive and its pharmacological effects. Sci. Pharm. 2010, 78, 133–154. [Google Scholar] [CrossRef] [PubMed] [Green Version]
- Al-Quraishy, S.; Othman, M.S.; Dkhil, M.A.; Abdel Moneim, A.E. Olive (Olea europaea) leaf methanolic extract prevents HCl/ethanol-induced gastritis in rats by attenuating inflammation and augmenting antioxidant enzyme activities. Biomed. Pharmacotherapy 2017, 91, 338–349. [Google Scholar] [CrossRef]
- Crozier, A.; Clifford., M.N.; Ashihara, H. Plant Secondary Metabolites: Occurrence, Structure and Role in the Human Diet; Crozier, A., Mike, N., Hiroshi, A., Eds.; Blackwell Publishing: Oxford, UK, 2006; p. 384. ISBN 978-1-405-12509-3. [Google Scholar]
- Hassen, I.; Casabianca, H.; Hosni, K. Biological activities of the natural antioxidant oleuropein: Exceeding the expectation–A mini-review. J. Funct. Foods 2015, 18, 926–940. [Google Scholar] [CrossRef]
- Musa, A.; Shady, N.H.; Ahmed, S.R.; Alnusaire, T.S.; Sayed, A.M.; Alowaiesh, B.F.; Sabouni, I.; Al-sanea, M.M.; Mostafa, E.M.; Youssif, K.A.; et al. Antiulcer potential of olea europea l. Cv. arbequina leaf extract supported by metabolic profiling and molecular docking. Antioxidants 2021, 10, 644. [Google Scholar] [CrossRef] [PubMed]
- Sanmartin, C.; Taglieri, I.; Macaluso, M.; Sgherri, C.; Ascrizzi, R.; Flamini, G.; Venturi, F.; Quartacci, M.F.; Luro, F.; Curk, F.; et al. Cold-pressing olive oil in the presence of cryomacerated leaves of olea or citrus: Nutraceutical and sensorial features. Molecules 2019, 24, 2625. [Google Scholar] [CrossRef] [PubMed] [Green Version]
- Guinda, Á.; Castellano, J.M.; Santos-Lozano, J.M.; Delgado-Hervás, T.; Gutiérrez-Adánez, P.; Rada, M. Determination of major bioactive compounds from olive leaf. LWT–Food Sci. Technol. 2015, 64, 431–438. [Google Scholar] [CrossRef] [Green Version]
- Koprivnjak, O.; Majetić, V.; Bubola, K.B.; Kosić, U. Variability of phenolic and volatile compounds in virgin olive oil from leccino and istarska bjelica cultivars in relation to their fruit mixtures. Food Technol. Biotechnol. 2012, 50, 216–221. [Google Scholar]
- Haloui, E.; Marzouk, Z.; Marzouk, B.; Bouftira, I.; Bouraoui, A.; Fenina, N. Pharmacological activities and chemical composition of the Olea europaea L. leaf essential oils from Tunisia. J. Food Agric. Environ. 2010, 8, 204–208. [Google Scholar]
- Vural, N.; Akay, M.A. Chemical compounds, antioxidant properties and antimicrobial activity of olive leaves derived volatile oil in West Anatolia. J. Turk. Chem. Soc. Sect. A Chem. 2021, 8, 511–518. [Google Scholar] [CrossRef]
- Cavalheiro, C.V.; Rosso, V.D.; Paulus, E.; Cichoski, A.J.; Wagner, R.; de Menezes, C.R.; Barin, J.S. Chemical composition of olive leaves (Olea europaea L.) from the region of caçapava do Sul, Rs, Brazil. Ciênc. Rural 2014, 44, 1874–1879. [Google Scholar] [CrossRef] [Green Version]
- Campeol, E.; Flamini, G.; Cioni, P.L.; Morelli, I.; Cremonini, R.; Ceccarini, L. Volatile fractions from three cultivars of Olea europaea L. Collected in two different seasons. J. Agric. Food Chem. 2003, 51, 1994–1999. [Google Scholar] [CrossRef]
- Makowska-Wąs, J.; Galanty, A.; Gdula-Argasińska, J.; Tyszka-Czochara, M.; Szewczyk, A.; Nunes, R.; Carvalho, I.S.; Michalik, M.; Paśko, P. Identification of Predominant Phytochemical Compounds and Cytotoxic Activity of Wild Olive Leaves (Olea europaea L. ssp. sylvestris) Harvested in South Portugal. Chem. Biodivers. 2017, 14, 1–10. [Google Scholar] [CrossRef]
- Adams, R.P. Identification of Essential Oil Components by Gas Chromatography/Mass Spectrometry; Allured Publishing: Carol Stream, IL, USA, 2017; ISBN 978-1-932633-21-4. [Google Scholar]
- NIST Chemistry WebBook. Available online: https://webbook.nist.gov/ (accessed on 12 March 2021).
- Nazlić, M.; Kremer, D.; Jurišić-Grubešić, R.; Soldo, B.; Vuko, E.; Stabentheiner, E.; Ballian, D.; Bogunić, F.; Dunkić, V. Endemic Veronica saturejoides Vis. ssp. saturejoides–Chemical Composition and Antioxidant Activity of Free Volatile Compounds. Plants 2020, 9, 1646. [Google Scholar] [CrossRef] [PubMed]
- Fredotović, Ž.; Šprung, M.; Soldo, B.; Ljubenkov, I.; Budić-Leto, I.; Bilušić, T.; Cikeš-Čulić, V.; Puizina, J. Chemical composition and biological activity of allium cepa L. and Allium × cornutum (Clementi ex Visiani 1842) methanolic extracts. Molecules 2017, 22, 448. [Google Scholar] [CrossRef] [PubMed] [Green Version]
- Mensor, L.L.; Menezes, F.S.; Leitão, G.G.; Reis, A.S.; Santos, T.C.; Coube, C.S.; Leitão, S.G. Screening of Brazilian plant extracts for antioxidant activity by the use of DPPH free radical method. Phyther. Res. 2001, 15, 127–130. [Google Scholar] [CrossRef]
- Payet, B.; Sing, A.S.C.; Smadja, J. Assessment of antioxidant activity of cane brown sugars by ABTS and DPPH radical scavenging assays: Determination of their polyphenolic and volatile constituents. J. Agric. Food Chem. 2005, 53, 10074–10079. [Google Scholar] [CrossRef] [PubMed]
- Koudounas, K.; Manioudaki, M.E.; Kourti, A.; Banilas, G.; Hatzopoulos, P. Transcriptional profiling unravels potential metabolic activities of the olive leaf non-glandular trichome. Front. Plant Sci. 2015, 6, 633. [Google Scholar] [CrossRef] [PubMed] [Green Version]
- Mylonaki, S.; Kiassos, E.; Makris, D.P.; Kefalas, P. Optimisation of the extraction of olive (Olea europaea) leaf phenolics using water/ethanol-based solvent systems and response surface methodology. Anal. Bioanal. Chem. 2008, 392, 977–985. [Google Scholar] [CrossRef]
- Dursun, A.; Güler, Z.; Özkan, D.; Bozdoğan Konuşkan, D. Identification of Volatile Compounds (VCs) in the Leaves Collected from ‘Gemlik’, ‘Halhalı’ and ‘Sarı Hasebi’ Olive Tree Varieties. Int. J. Second. Metab. 2017, 4, 195–204. [Google Scholar] [CrossRef]
- Paparella, A.; Shaltiel-harpaza, L.; Ibdah, M. β-Ionone: Its Occurrence and Biological Function and Metabolic Engineering. Plants 2021, 10, 754. [Google Scholar] [CrossRef] [PubMed]
- Abdeljelil, Z.B.; Tekaya, M.; Mechri, B.; Flamini, G.; Hammami, M. Changes in volatiles of olive tree Olea europaea according to season and foliar fertilization. Int. J. Agric. Biol. 2017, 19, 1633–1639. [Google Scholar] [CrossRef]
- Ansory, H.M.; Sari, E.N.; Nilawati, A.; Handayani, S.; Aznam, N. Sunscreen and Antioxidant Potential of Myristicin in Nutmeg Essential Oils (Myristica fragrans). In Proceedings of the 2nd Bakti Tunas Husada-Health Science International Conference (BTH-HSIC), Paris, France, 5–6 October 2019; pp. 138–142. [Google Scholar]
- Srivastava, S.; Gupta, M.M.; Prajapati, V.; Tripathi, A.K.; Kumar, S. Insecticidal activity of myristicin from piper mullesua. Pharm. Biol. 2001, 39, 226–229. [Google Scholar] [CrossRef]
- Abaza, L.; Taamalli, A.; Nsir, H.; Zarrouk, M. Olive tree (Olea europeae L.) leaves: Importance and advances in the analysis of phenolic compounds. Antioxidants 2015, 4, 682–698. [Google Scholar] [CrossRef] [PubMed]
- Papoti, V.T.; Papageorgiou, M.; Dervisi, K.; Alexopoulos, E.; Apostolidis, K.; Petridis, D. Screening olive leaves from unexploited traditional Greek cultivars for their phenolic antioxidant dynamic. Foods 2018, 7, 197. [Google Scholar] [CrossRef] [PubMed] [Green Version]
- Ferreira, I.C.F.R.; Barros, L.; Soares, M.E.; Bastos, M.L.; Pereira, J.A. Antioxidant activity and phenolic contents of Olea europaea L. leaves sprayed with different copper formulations. Food Chem. 2007, 103, 188–195. [Google Scholar] [CrossRef]
- Kiritsakis, K.; Kontominas, M.G.; Kontogiorgis, C.; Hadjipavlou-Litina, D.; Moustakas, A.; Kiritsakis, A. Composition and antioxidant activity of olive leaf extracts from Greek olive cultivars. J. Am. Oil Chem. Soc. 2010, 87, 369–376. [Google Scholar] [CrossRef]
- Blasi, F.; Urbani, E.; Simonetti, M.S.; Chiesi, C.; Cossignani, L. Seasonal variations in antioxidant compounds of Olea europaea leaves collected from different Italian cultivars. J. Appl. Bot. Food Qual. 2016, 89, 202–207. [Google Scholar] [CrossRef]
- Ruberto, G.; Baratta, M.T. Antioxidant activity of selected essential oil components in two lipid model systems. Food Chem. 2000, 69, 167–174. [Google Scholar] [CrossRef]
- Baschieri, A.; Ajvazi, M.D.; Tonfack, J.L.F.; Valgimigli, L.; Amorati, R. Explaining the antioxidant activity of some common non-phenolic components of essential oils. Food Chem. 2017, 232, 656–663. [Google Scholar] [CrossRef]
- Dahham, S.S.; Tabana, Y.M.; Iqbal, M.A.; Ahamed, M.B.K.; Ezzat, M.O.; Majid, A.S.; Majid, A.M. The anticancer, antioxidant and antimicrobial properties of the sesquiterpene β-caryophyllene from the essential oil of Aquilaria crassna. Molecules 2015, 20, 11808–11829. [Google Scholar] [CrossRef] [PubMed]
- da Silva, J.K.R.; da Trindade, R.C.S.; Maia, J.G.S.; Setzer, W.N. Chemical Composition, Antioxidant, and Antimicrobial Activities of Essential Oils of Endlicheria arenosa (Lauraceae) from the Amazon. Nat. Prod. Commun. 2016, 11, 695–698. [Google Scholar] [CrossRef] [Green Version]
- Viuda-Martos, M.; Ruiz Navajas, Y.; Sanchez Zapata, E.; Fernandez-Lopez, J.; Perez-Alvarez, J.A. Antioxidant activity of essential oils of five spice plants widely used in a Mediterranean diet. Flavour Fragr. J. 2010, 25, 13–19. [Google Scholar] [CrossRef]

| Month | Mass of EO (mg) | Yield of EO (%) | Mass of Volatiles from Hy (mg) | Yield of Volatiles from Hy (%) |
|---|---|---|---|---|
| December | 100 | 0.1 | 204 | 0.20 |
| January | 100 | 0.1 | 134 | 0.13 |
| February | 100 | 0.1 | 162 | 0.16 |
| March | 40 | 0.04 | 221 | 0.22 |
| April | 200 | 0.2 | 191 | 0.19 |
| May | 80 | 0.08 | 225 | 0.23 |
| Month of Collection/ Yield in %/ Yield in % ± SD | ||||||||
|---|---|---|---|---|---|---|---|---|
| Component | RI1 | RI2 | December (0.1%) | January (0.1%) | February (0.1%) | March (0.04%) | April (0.2%) | May (0.08%) |
| Monoterpene hydrocarbons | 1.9 | 0.38 | 0.28 | - | - | - | ||
| α-Thujene | 924 | 1012 | 0.62 ± 0.01 | - | - | - | - | - |
| α-Pinene * | 935 | 1017 | 0.32 ± 0.01 | 0.38 ± 0.01 | - | - | - | - |
| Myrcene | 988 | 1160 | 0.75 ± 0.01 | - | - | - | - | - |
| β-Thujone | 1121 | 1451 | 0.21 ± 0.05 | - | 0.28± 0.01 | - | - | - |
| Oxygenated monoterpenes | 1.41 | - | 9.9 | - | - | - | ||
| Linalool * | 1099 | 1548 | 0.88 ± 0.01 | - | 9.35 ± 0.01 | - | - | - |
| Borneol * | 1176 | 1699 | 0.21 ± 0.04 | - | 0.17 ± 0.03 | - | - | - |
| Terpinen-4-ol | 1184 | 1601 | 0.32 ± 0.01 | - | 0.38 ± 0.01 | - | - | - |
| Sesquiterpene hydrocarbons | 10.48 | 16.58 | 24.32 | 32.37 | 30.86 | 40.57 | ||
| α-Cubebene | 1345 | 1458 | - | - | 10.54± 0.01 | - | - | - |
| α-Copaene | 1374 | 1484 | - | 3.29 ± 0.03 | - | - | - | 7.79 ± 0.01 |
| β-Cubebene | 1387 | 1540 | - | - | 1.34 ± 0.01 | - | 2.64 ± 0.01 | 8.99 ± 0.01 |
| β-Elemene | 1389 | 1593 | 1.64 ± 0.01 | 0.63 ± 0.01 | - | - | - | 0.66 ± 0.07 |
| β-Caryophyllene * | 1424 | 1585 | 2.82 ± 0.01 | 2.87 ± 0.02 | 1.86 ± 0.01 | 10.45 ± 0.01 | 0.39 ± 0.06 | 1.26 ± 0.01 |
| β-Copaene | 1429 | 1576 | 0.27 ± 0.05 | 3.26 ± 0.02 | 2.25 ± 0.01 | - | 2.95 ± 0.01 | 2.38 ± 0.01 |
| (Z)-β-Farnesene | 1454 | 1639 | 0.24 ± 0.1 | 0.29 ± 0.01 | - | - | - | - |
| α-Humulene | 1456 | 1654 | 0.75 ± 0.01 | 0.78 ± 0.01 | 0.78 ± 0.01 | 0.72 ± 0.01 | 18.53 ± 0.01 | 14.75 ± 0.01 |
| allo-Aromadendrene | 1465 | 1662 | 2.92 ± 0.05 | 2.98 ± 0.02 | 1.44 ± 0.02 | 20.94 ± 0.01 | 5.98 ± 0.01 | 4.74 ± 0.01 |
| Germacrene D | 1481 | 1692 | 0.46 ± 0.01 | 0.99 ± 0.03 | 4.76 ± 0.01 | 0.26 ± 0.02 | 0.37 ± 0.01 | - |
| β-Bisabolene | 1494 | 1729 | 0.63 ± 0.01 | 0.75 ± 0.01 | 0.64 ± 0.07 | - | - | - |
| δ-Cadinene | 1517 | 1745 | 0.75 ± 0.01 | 0.74 ± 0.01 | 0.71 ± 0.01 | - | - | - |
| Oxygenated sesquiterpenes | 21.91 | 22.38 | 1.34 | - | 0.68 | 7.03 | ||
| Spathulenol | 1577 | 2101 | 0.32 ± 0.01 | 0.35 ± 0.05 | 0.38 ± 0.05 | - | - | - |
| Caryophyllene oxide * | 1581 | 1955 | 17.13 ± 0.03 | 21.27 ± 0.01 | 0.96 ± 0.01 | - | 0.68 ± 0.01 | - |
| α-Cadinol | 1655 | 2208 | 4.46 ± 0.01 | 0.76 ± 0.03 | - | - | - | 7.03 ± 0.01 |
| Phenolic compounds | 33.02 | 27.85 | 4.18 | 2.03 | - | 2.95 | ||
| Eugenol * | 1370 | 2175 | - | - | - | 0.91 ± 0.1 | ||
| Myristicin | 1520 | 2260 | 33.02 ± 0.01 | 27.85 ± 0.01 | 4.18 ± 0.01 | 1.12 ± 0.01 | - | 2.95± 0.01 |
| Hydrocarbons | 13.03 | 10.72 | 19.25 | 42.81 | 6.9 | 8.58 | ||
| Heneicosane * | 2100 | 2100 | 0.23 ± 0.01 | 0.24 ± 0.02 | 0.26 ± 0.01 | - | 0.27 ± 0.01 | - |
| Docosane * | 2200 | 2200 | 5.21 ± 0.01 | 4.54 ± 0.03 | 7.03 ± 0.01 | 40.12± 0.01 | 6.63 ± 0.01 | 3.46 ± 0.01 |
| Tricosane * | 2300 | 2300 | 0.12 ± 0.03 | 0.14 ± 0.01 | 0.15 ± 0.01 | 0.53± 0.01 | - | 0.44 ± 0.01 |
| Tetracosane * | 2400 | 2400 | - | 0.48 ± 0.02 | 3.46 ± 0.06 | 1.24± 0.07 | - | 4.68 ± 0.03 |
| Pentacosane * | 2500 | 2500 | 1.52 ± 0.01 | 1.56 ± 0.03 | 1.54 ± 0.01 | - | - | - |
| Hexacosane * | 2600 | 2600 | 4.63 ± 0.01 | 2.94± 0.02 | 2.96 ± 0.01 | - | - | - |
| Heptacosane * | 2700 | 2700 | 1.32 ± 0.01 | 0.82 ± 0.01 | 3.85 ± 0.01 | 0.92± 0.01 | - | - |
| Alcohols | - | 0.93 | - | - | - | 0.64 | ||
| n-Decanol | 1266 | 1714 | - | 0.93 ± 0.01 | - | - | - | - |
| n-Dodecanol | 1469 | 1960 | - | - | - | - | - | 0.64± 0.01 |
| Acids | 11.32 | 9.52 | 8.41 | 6.1 | 13.59 | 9.69 | ||
| Hexadecanoic acid | 1959 | 2913 | 3.21 ± 0.01 | 2.78 ± 0.03 | 2.94± 0.01 | 1.18± 0.01 | 9.93 ± 0.01 | 0.75± 0.01 |
| Oleic acid | 2139 | - | 8.11 ± 0.02 | 6.74 ± 0.02 | 5.47± 0.01 | 4.92± 0.01 | 3.66 ± 0.01 | 8.94± 0.01 |
| Ketones | - | 8.02 | 1.24 | 11.97 | 44.06 | 23.58 | ||
| (E)-β-Damascenone | 1384 | 1819 | - | 0.52 ± 0.05 | - | 10.45 ± 0.01 | 5.02 ± 0.01 | 14.55 ± 0.01 |
| α-Ionone | 1427 | 1843 | - | 5.32 ± 0.01 | - | 1.52 ± 0.02 | 18.56 ± 0.01 | 0.75 ± 0.01 |
| β-Ionone | 1487 | 1935 | - | 2.18 ± 0.01 | 1.24 ± 0.01 | - | 20.48 ± 0.01 | 8.28 ± 0.01 |
| Esters | - | - | 24.03 | - | - | - | ||
| endo-Fenchyl acetate | 1218 | 1465 | - | - | 12.75 ± 0.01 | - | - | - |
| Linalyl acetate | 1252 | 1553 | - | - | 11.28 ± 0.01 | - | - | - |
| Total identification (%) | 93.07 | 96.38 | 92.95 | 95.28 | 96.09 | 93.04 | ||
| Month of Collection/ Yield in % ± SD | ||||||||
|---|---|---|---|---|---|---|---|---|
| Component | RI1 | RI2 | December | January | February | March | April | May |
| Monoterpene hydrocarbons | 4.16 | 2.65 | 1.36 | 1.79 | 13.35 | 7.45 | ||
| α-Thujene | 924 | 1012 | - | - | - | - | 7.12 ± 0.01 | - |
| α-Pinene * | 935 | 1017 | 2.68 ± 0.01 | 2.65 ± 0.01 | 1.36 ± 0.01 | 1.79 ± 0.01 | 6.23 ± 0.01 | 7.45 ± 0.01 |
| Myrcene | 988 | 1160 | 0.87 ± 0.01 | - | - | - | - | - |
| β-Thujone | 1121 | 1451 | 0.61 ± 0.01 | - | - | - | - | - |
| Oxygenated monoterpenes | 2.9 | - | 0.38 | - | 7.18 | 2.78 | ||
| Linalool * | 1099 | 1548 | - | - | - | - | - | 0.97 ± 0.01 |
| Borneol * | 1176 | 1699 | - | - | - | - | 1.27 ± 0.01 | - |
| Terpinen-4-ol | 1184 | 1601 | - | - | - | - | 0.79 ± 0.01 | - |
| α-Terpineol | 1186 | 1690 | 2.18 ± 0.01 | - | - | - | 3.66 ± 0.01 | 0.67 ± 0.07 |
| Myrtenol | 1197 | 1782 | 0.72 ± 0.01 | - | 0.38 ± 0.01 | - | 1.46 ± 0.01 | 1.14 ± 0.01 |
| Sesquiterpene hydrocarbons | 3.98 | 7.26 | 1.31 | 41.97 | 3.31 | 9.71 | ||
| α-Copaene | 1374 | 1484 | - | - | - | - | - | 3.55 ± 0.01 |
| β-Elemene | 1389 | 1593 | 1.16 ± 0.05 | - | - | 1.17 ± 0.01 | - | - |
| β-Caryophyllene * | 1424 | 1585 | 2.82 ± 0.01 | 1.38 ± 0.01 | 1.31 ± 0.01 | 1.26 ± 0.01 | - | - |
| β-Copaene | 1429 | 1576 | - | - | - | - | - | 0.86 ± 0.01 |
| (Z)-β-Farnesene | 1454 | 1639 | - | - | - | - | 1.24 ± 0.01 | - |
| α-Humulene | 1456 | 1654 | - | - | - | - | 2.07 ± 0.01 | 4.54 ± 0.01 |
| allo-Aromadendrene | 1465 | 1662 | - | 0.38 ± 0.03 | - | - | - | - |
| Germacrene D | 1481 | 1692 | - | 4.79 ± 0.01 | - | - | - | - |
| β-Bisabolene | 1494 | 1729 | - | - | - | - | - | 0.76 ± 0.01 |
| Bicyclogermacrene | 1500 | 1718 | - | - | - | 39.54 ± 0.01 | - | - |
| δ-Cadinene | 1517 | 1745 | - | 0.71 ± 0.01 | - | - | - | - |
| Oxygenated sesquiterpenes | 2.71 | - | - | - | 2.39 | 1.92 | ||
| Spathulenol | 1577 | 2101 | 0.47 ± 0.01 | - | - | - | 0.42 ± 0.01 | - |
| Caryophyllene oxide * | 1581 | 1955 | 0.96 ± 0.02 | - | - | - | 1.97 ± 0.01 | 0.67 ± 0.01 |
| α-Cadinol | 1655 | 2208 | 1.28 ± 0.05 | - | - | - | - | 1.25 ± 0.01 |
| Phenolic compounds | 43.05 | 2.17 | 3.36 | 6.26 | 10.33 | 11.75 | ||
| Eugenol * | 1370 | 2175 | 7.48 ± 0.01 | 1.02 ± 0.01 | - | - | - | - |
| Myristicin | 1520 | 2260 | 35.57 ± 0.01 | 1.15 ± 0.01 | 3.36 ± 0.01 | 6.26 ± 0.01 | 10.33 ± 0.01 | 11.75 ± 0.01 |
| Hydrocarbons | 0.46 | 2.97 | 3.27 | 3.57 | 6.01 | 3.67 | ||
| Heneicosane * | 2100 | 2100 | - | - | - | - | - | 0.32 ± 0.01 |
| Docosane * | 2200 | 2200 | 0.46 ± 0.01 | 0.94 ± 0.01 | 3.27 ± 0.01 | 3.31 ± 0.01 | 4.89 ± 0.01 | 1.15 ± 0.01 |
| Tricosane * | 2300 | 2300 | - | 0.35 ± 0.03 | - | - | 0.46 ± 0.01 | 0.94 ± 0.07 |
| Tetracosane * | 2400 | 2400 | - | 0.67 ± 0.03 | - | - | 0.66 ± 0.01 | 1.26 ± 0.01 |
| Pentacosane * | 2500 | 2500 | - | 0.46 ± 0.01 | - | - | - | - |
| Hexacosane * | 2600 | 2600 | - | 0.55 ± 0.02 | - | - | - | - |
| Heptacosane * | 2700 | 2700 | - | - | - | 0.26 ± 0.01 | - | - |
| Alcohols | 0.97 | 19.89 | 1.54 | 6.9 | 2.51 | 0.12 | ||
| 1-Hexanol | 863 | 1350 | 0.97 ± 0.07 | 1.23 ± 0.01 | 1.22 ± 0.01 | 1.47 ± 0.01 | 2.51 ± 0.01 | 0.12 ± 0.01 |
| n-Decanol | 1266 | 1714 | - | 18.66 ± 0.01 | 0.32 ± 0.01 | 0.27 ± 0.01 | - | - |
| n-Dodecanol | 1469 | 1960 | - | - | - | 5.16 ± 0.01 | - | - |
| Acids | 3.15 | 2.67 | 12.82 | 11.12 | 9.69 | 7.02 | ||
| Hexadecanoic acid | 1959 | 2913 | 1.97 ± 0.01 | - | 0.25 ± 0.04 | - | 2.71 ± 0.01 | 4.67 ± 0.01 |
| Oleic acid | 2139 | - | 1.18 ± 0.05 | 2.67 ± 0.01 | 12.57 ± 0.01 | 11.12 ± 0.01 | 6.98 ± 0.01 | 2.35 ± 0.02 |
| Aldehydes | - | 3.98 | 4.67 | 3.76 | - | - | ||
| n-Nonanal | 1100 | 1390 | - | - | 1.28 ± 0.03 | 3.76 ± 0.01 | - | - |
| (E,Z)-2,6-Nonadienal | 1150 | 1582 | - | - | 3.39 ± 0.01 | - | - | - |
| n-Decanal | 1201 | 1472 | - | 3.98 ± 0.01 | - | - | - | - |
| Ketones | 32.33 | 50.99 | 51.65 | 7.59 | 41.1 | 51.27 | ||
| (E)-β-Damascenone | 1384 | 1819 | 19.12 ± 0.01 | 10.64 ± 0.01 | 8.78 ± 0.01 | 6.58 ± 0.01 | 16.37 ± 0.01 | 16.89 ± 0.01 |
| α-Ionone | 1427 | 1843 | 3.28 ± 0.01 | - | - | 0.66 ± 0.01 | 8.76 ± 0.02 | 9.05 ± 0.01 |
| β-Ionone | 1487 | 1935 | 9.93 ± 0.01 | 40.35 ± 0.01 | 42.87 ± 0.01 | 0.35 ± 0.01 | 15.97 ± 0.01 | 25.33 ± 0.01 |
| Esters | - | - | 12.41 | 9.91 | - | - | ||
| endo-Fenchyl acetate | 1218 | 1465 | - | - | 2.75 ± 0.02 | - | - | - |
| Linalyl acetate | 1252 | 1553 | - | - | 9.66 ± 0.01 | 9.91 ± 0.01 | - | - |
| Total identification (%) | 93.71 | 92.58 | 92.77 | 92.87 | 95.87 | 95.69 | ||
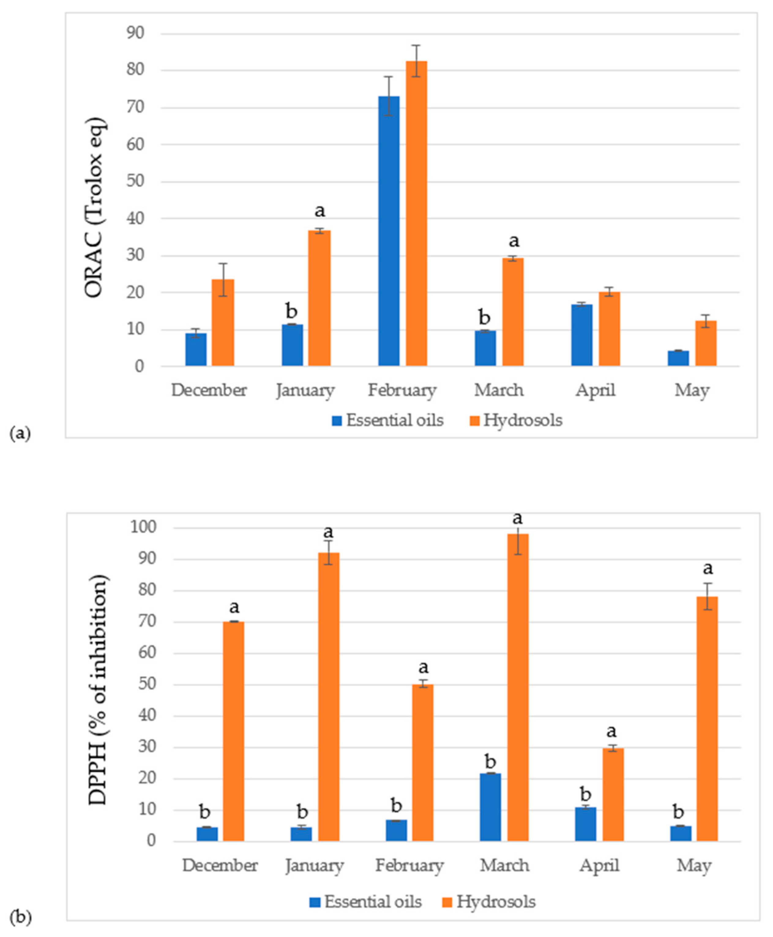
| Essential Oils | ||||||
| Antioxidant Assay | December | January | February | March | April | May |
| ORAC (Trolox eq) | 9.28 ± 1.19 b | 11.44 ± 0.08 b | 73.12 ± 5.24 a | 9.66 ± 0.24 b | 16.93 ± 0.43 b | 4.43 ± 0.16 b |
| DPPH (% inhibition) | 4.64 ± 0.03 b | 4.48 ± 0.52 b | 6.72 ± 0.14 b | 21.71 ± 0.25 a | 10.73 ± 0.57 ab | 4.95 ± 0.16 b |
| DPPH (IC 50) | 127.71 ± 3.38 d | 130.71 ± 18.34 d | 78.25 ± 0.90 b | 23.58 ± 0.18 a | 86.15 ± 3.05 b | 105.18 ± 5.71 c |
| Hydrosols | ||||||
| Antioxidant Assay | December | January | February | March | April | May |
| ORAC (Trolox eq) | 23.62 ± 4.40 c | 36.83 ± 0.66 b | 82.66 ± 4.37 a | 29.28 ± 0.76 bc | 20.31 ± 1.30 c | 12.39 ± 1.71d |
| DPPH (% inhibition) | 69.99 ± 2.62 c | 92.04 ± 3.83 a | 50.19 ± 1.33 d | 98.06 ± 6.52 a | 29.56 ± 1.06 e | 78.20 ± 4.16 b |
| DPPH (IC 50) | 9.01 ± 0.33 a | 5.41 ± 0.23 a | 9.96 ± 0.26 ab | 4.16 ± 0.28 a | 16.91 ± 0.61 b | 6.39 ± 0.34 a |
Publisher’s Note: MDPI stays neutral with regard to jurisdictional claims in published maps and institutional affiliations. |
© 2021 by the authors. Licensee MDPI, Basel, Switzerland. This article is an open access article distributed under the terms and conditions of the Creative Commons Attribution (CC BY) license (https://creativecommons.org/licenses/by/4.0/).
Share and Cite
Jurišić Grubešić, R.; Nazlić, M.; Miletić, T.; Vuko, E.; Vuletić, N.; Ljubenkov, I.; Dunkić, V. Antioxidant Capacity of Free Volatile Compounds from Olea europaea L. cv. Oblica Leaves Depending on the Vegetation Stage. Antioxidants 2021, 10, 1832. https://doi.org/10.3390/antiox10111832
Jurišić Grubešić R, Nazlić M, Miletić T, Vuko E, Vuletić N, Ljubenkov I, Dunkić V. Antioxidant Capacity of Free Volatile Compounds from Olea europaea L. cv. Oblica Leaves Depending on the Vegetation Stage. Antioxidants. 2021; 10(11):1832. https://doi.org/10.3390/antiox10111832
Chicago/Turabian StyleJurišić Grubešić, Renata, Marija Nazlić, Tina Miletić, Elma Vuko, Nenad Vuletić, Ivica Ljubenkov, and Valerija Dunkić. 2021. "Antioxidant Capacity of Free Volatile Compounds from Olea europaea L. cv. Oblica Leaves Depending on the Vegetation Stage" Antioxidants 10, no. 11: 1832. https://doi.org/10.3390/antiox10111832
APA StyleJurišić Grubešić, R., Nazlić, M., Miletić, T., Vuko, E., Vuletić, N., Ljubenkov, I., & Dunkić, V. (2021). Antioxidant Capacity of Free Volatile Compounds from Olea europaea L. cv. Oblica Leaves Depending on the Vegetation Stage. Antioxidants, 10(11), 1832. https://doi.org/10.3390/antiox10111832

