Sign in to use this feature.

Years

Between: -

Subjects

remove_circle_outline
remove_circle_outline
remove_circle_outline
remove_circle_outline
remove_circle_outline
remove_circle_outline
remove_circle_outline
remove_circle_outline
remove_circle_outline

Journals

Article Types

Countries / Regions

Search Results (103)

Search Parameters:
Keywords = hydrosol

Order results
Result details
Results per page
Select all
Export citation of selected articles as:
18 pages, 3091 KB  
Article
Commercial Helichrysum italicum Essential Oils and Hydrosols from Adriatic and Continental Croatia: Quality Assessment and Chemical Composition
by Suzana Inić, Valerija Dunkić, Marija Nazlić, Barbara Bilandžija, Lucija Bilandžija, Lea Pollak and Dario Kremer
Horticulturae 2026, 12(3), 373; https://doi.org/10.3390/horticulturae12030373 - 18 Mar 2026
Viewed by 251
Abstract
Immortelle (Helichrysum italicum (Roth) G. Don, family Asteraceae) essential oils (HiEOs) and hydrosols (HiHYs) are widely used in cosmetic, pharmaceutical, and agricultural formulations. However, their composition and quality vary depending on geographical origin and production practices, while standardized reference values—particularly for hydrosols—are [...] Read more.
Immortelle (Helichrysum italicum (Roth) G. Don, family Asteraceae) essential oils (HiEOs) and hydrosols (HiHYs) are widely used in cosmetic, pharmaceutical, and agricultural formulations. However, their composition and quality vary depending on geographical origin and production practices, while standardized reference values—particularly for hydrosols—are still lacking. The aim of this study was to investigate and compare the physicochemical properties and chemical composition of commercial HiEOs and HiHYs from the Adriatic and continental regions of Croatia. Samples were analysed using standard pharmacopoeial methods and gas chromatography–mass spectrometry (GC–MS). Physicochemical analyses (relative density, acid value, refractive index, pH, turbidity, and essential oil content) showed that all samples were within generally accepted quality ranges, with no significant differences observed between regions using the Mann–Whitney U test. HiEOs were dominated by sesquiterpene hydrocarbons (53.15–55.60%), whereas HiHYs contained predominantly oxygenated monoterpenes (43.54–69.86%). The main compounds identified in both fractions were α-pinene, neryl acetate, γ-curcumene, and β-selinene, which formed a consistent chemical signature and served as practical biomarkers for the quality of H. italicum EO and hydrosol. Principal Component Analysis (PCA) distinguished sample groupings based on physicochemical properties and chemical composition, indicating regional variability without exceeding accepted quality limits. This study presents the first comparative dataset of Croatian commercial HiEOs and HiHYs, and defines practical parameter ranges to support standardized specifications, ensure consistent quality, and enhance the industrial applicability of immortelle-based products. Full article
(This article belongs to the Section Postharvest Biology, Quality, Safety, and Technology)
Show Figures

Graphical abstract

20 pages, 3410 KB  
Article
A Natural Antioxidant-Rich Hydrogel Formulation with Laurus nobilis Hydrosol: Physicochemical and Cosmeceutical Evaluation
by Lea Juretić, Radwan Joukhadar, Emerik Galić, Renata Jurišić Grubešić and Mario Jug
Gels 2026, 12(2), 165; https://doi.org/10.3390/gels12020165 - 14 Feb 2026
Viewed by 516
Abstract
Laurus nobilis hydrosol (HyLN), a water-soluble byproduct of essential oil extraction, containing beneficial antioxidants and antimicrobial compounds, was used as a sustainable ingredient in the development of a natural antioxidant-rich hydrogel formulation. Hydrogels were formulated using sodium hyaluronate and xanthan gum, natural ingredients [...] Read more.
Laurus nobilis hydrosol (HyLN), a water-soluble byproduct of essential oil extraction, containing beneficial antioxidants and antimicrobial compounds, was used as a sustainable ingredient in the development of a natural antioxidant-rich hydrogel formulation. Hydrogels were formulated using sodium hyaluronate and xanthan gum, natural ingredients with beneficial effects on the skin, while β-cyclodextrin (βCD) was added to enhance the stability of antioxidants in HyLN. Extensive rheological and textural analyses were employed to optimize the hydrogel formulation for dermal administration, while stability studies assessed the chemical and physical stability of developed formulations. A combination of sodium hyaluronate and xanthan gum provided several HyLN hydrogel formulations with tunable rheological and textural properties, presenting adequate physical and microbiological stability over 6 months of storage. The use of βCD failed to stabilize inherently unstable antioxidants in HyLN hydrogels, yet their residual antioxidant activity remained notable. An in vitro scratch test using a human keratinocyte cell line showed that the developed HyLN gel does not interfere with wound healing. HyLN hydrogels showed a pronounced occlusive effect in vitro, reaching up to 80% of that measured for Vaseline, which helps maintain skin hydration and appearance. Full article
(This article belongs to the Special Issue Polymer-Based Hydrogels Applied in Drug Delivery)
Show Figures

Graphical abstract

22 pages, 2358 KB  
Article
Development of Quince-Based Active Films Functionalized with Broccoli By-Product Extracts and Clove Hydrosol
by M. Carmen Codina, Ana I. Bourbon, Ana G. Azevedo, Ana M. Molina, Manuel Carmona, Lorenzo Pastrana and M. Isabel Berruga
Foods 2026, 15(4), 691; https://doi.org/10.3390/foods15040691 - 13 Feb 2026
Viewed by 498
Abstract
The increasing demand for sustainable active packaging necessitates the development of bio-based films with enhanced functional properties. This study aimed to functionalize a quince (Cydonia oblonga) by-product film, formulated in clove (Syzygium aromaticum) hydrosol by casting, incorporating varying concentrations (0–10% [...] Read more.
The increasing demand for sustainable active packaging necessitates the development of bio-based films with enhanced functional properties. This study aimed to functionalize a quince (Cydonia oblonga) by-product film, formulated in clove (Syzygium aromaticum) hydrosol by casting, incorporating varying concentrations (0–10% w/v) of broccoli (Brassica oleracea var. italica) by-product extract. Increasing the extract concentration led to increments in film thickness (102.2 to 120.2 µm), elongation at break (112.5 to 117.3%), tensile strength (1.5 to 4.2 MPa), opacity (20.2 to 24.0%), and water vapor permeability (2.0 to 2.3 × 10−8 g s−1 m−1 Pa−1). The total phenolic content also increased from 17.6 to 24.3 mg GAE/g film, correlating with a decrease in transmittance. While Fourier-Transform Infrared spectra profiling revealed stable intermolecular interactions across all samples without chemical disruption; scanning electron microscopy analysis confirmed distinct morphological differences resulting from broccoli extract incorporation. Notably, while 2,2-diphenyl-1-picrylhydrazyl (DPPH) radical scavenging activity remained stable across treatments, the 2.5% w/v extract concentration provided the highest antifungal efficacy against Aspergillus puulaauensis (15.7%), A. jensenii (8.2%) and Penicillium nordicum (5.8%) by the agar diffusion method. These results were comparable with a commercial natamycin-containing coating used as a positive control. The synergy of clove hydrosol and broccoli extract resulted in a quince-based film with superior mechanical and bioactive properties. Full article
Show Figures

Graphical abstract

14 pages, 341 KB  
Article
Paralysis Activity of “Basic Substances” and Rose Extracts on Meloidogyne incognita Second-Stage Juveniles
by Rodanthi Askianaki, Nikolaos G. Tsiropoulos, Kyriakos D. Giannoulis and Nikoletta Ntalli
Plants 2026, 15(3), 458; https://doi.org/10.3390/plants15030458 - 2 Feb 2026
Viewed by 422
Abstract
To date, searching for bionematicidals is essential. In the absence of nematicides, “Basic Substances” are gaining ground since they are cost-effective, do not mandate an expiration date and have no inherent capacity to cause endocrine-disrupting neurotoxic or immunotoxic effects. Most “Basic Substances” are [...] Read more.
To date, searching for bionematicidals is essential. In the absence of nematicides, “Basic Substances” are gaining ground since they are cost-effective, do not mandate an expiration date and have no inherent capacity to cause endocrine-disrupting neurotoxic or immunotoxic effects. Most “Basic Substances” are authorized for the control of phytoparasitic fungi and insects, whereas nematicidals are yet to be available. In this study, we employed “Basic Substances” and in particular, beer, sodium bicarbonate, and sodium chloride, together with rose aromatotherapy by-products, on nematicidal bioassays against Meloidogyne incognita. We report that chemical composition analysis of the nematicidal rose extracts correlates with bioactivity. Paralysis-based bioassays were used as primary criteria to assess efficacy, specifically targeting second-stage juveniles of Meloidogyne incognita. The evaluated treatments were assessed after one day, two days, and three days of J2 immersion in test solutions. According to our results, the “Basic Substances” demonstrated a significant paralysis effect on J2, thus indicating, for the first time, the considerable significance of their authorization to the root knot nematodes. Similarly, the rose extracts were found to be nematicidal, and since they are foodstuffs, and thus nonconcern compounds, “Basic Substances” can be developed as aromatherapy by-products in the frame of a circular economy. Full article
(This article belongs to the Special Issue Natural Compounds for Controlling Plant Pathogens)
36 pages, 3555 KB  
Article
Preventive Effects of Cinnamon Leaf Nanosuspension and Byproducts on Type II Diabetes and Parkinson’s Disease in Rat Models
by Jin-Wei Lee, Chen-Te Jen, Baskaran Stephen Inbaraj and Bing-Huei Chen
Antioxidants 2026, 15(2), 195; https://doi.org/10.3390/antiox15020195 - 2 Feb 2026
Cited by 1 | Viewed by 918
Abstract
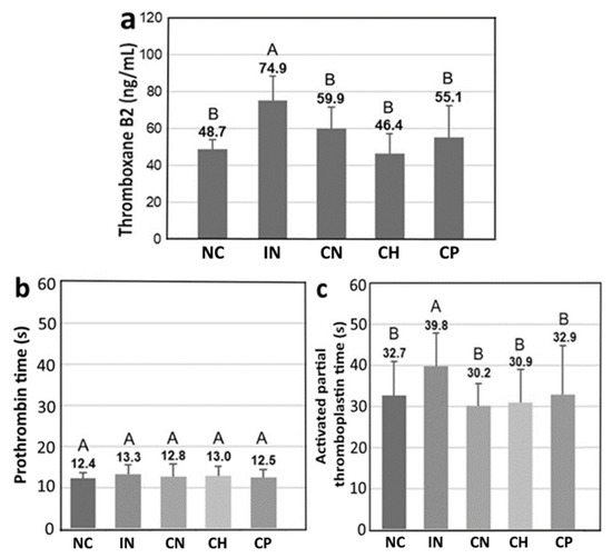
Cinnamon leaves, an important source of cinnamaldehyde, have been shown to possess various pharmacological functions. A liposome-derived nanosuspension (CN), hydrosol (CH) and powder in water (CP) prepared from cinnamon leaves were explored for their preventive effects on type II diabetes (T2D) and Parkinson’s [...] Read more.
Cinnamon leaves, an important source of cinnamaldehyde, have been shown to possess various pharmacological functions. A liposome-derived nanosuspension (CN), hydrosol (CH) and powder in water (CP) prepared from cinnamon leaves were explored for their preventive effects on type II diabetes (T2D) and Parkinson’s disease (PD) in rat models. Fifteen compounds were determined by UPLC-MS/MS, with cinnamaldehyde being predominant. CN with a mean particle size at 22.6 nm was prepared by mixing extract, lecithin, Tween 80, soybean oil and water with an optimal ratio, while hydrosol was prepared by steam distillation. A high storage and gastrointestinal stability were observed for CN. Rats were pre-fed with CN, CH and CP separately for 4 weeks, followed by induction with T2D or PD, with all three groups showing better preventive effects on T2D given the number of injections for T2D induction. Additionally, the OGTT, HOMA-IR, TXB2 and aPTT levels were significantly higher in the induction group than in the CN, CH and CP groups, revealing an effective prevention of T2D and cardiovascular disease. For PD prevention, CN was the most effective in improving muscle stiffness based on the catalepsy test and elevation of dopamine, tyrosine hydroxylase, serotonin, mitochondrial DNA and antioxidant enzymes, accompanied by a decline in α-synuclein and malondialdehyde. Full article
(This article belongs to the Special Issue Redox Signaling in Brain Aging and Neurodegeneration)
Show Figures

Figure 1

15 pages, 4209 KB  
Review
Ciliary Structures and Particle-Capture Mechanisms in Marine Filter-Feeding Bivalves
by Hans Ulrik Riisgård and Poul S. Larsen
J. Mar. Sci. Eng. 2026, 14(3), 251; https://doi.org/10.3390/jmse14030251 - 25 Jan 2026
Viewed by 441
Abstract
The minimum size of particles being efficiently captured in the gills of filter-feeding bivalves differs between mussels with well-developed laterofrontal cirri (lfc) and scallops having only simple pro-laterofrontal cilia (pro-lfc). The presence of branching compound lfc increases the particle retention efficiency below the [...] Read more.
The minimum size of particles being efficiently captured in the gills of filter-feeding bivalves differs between mussels with well-developed laterofrontal cirri (lfc) and scallops having only simple pro-laterofrontal cilia (pro-lfc). The presence of branching compound lfc increases the particle retention efficiency below the lower limit of about 4 µm for 100% retention, whereas the simple pro-lfc cilia in scallops are less efficient with decreasing retention efficiency for particles smaller than about 7 µm. To understand the particle capture mechanisms in bivalves, attention must be paid to the ciliary structures and water flow in flat gills (mussels) versus plicate gills (scallops, oysters). Here, we briefly review the literature on particle capture mechanisms in filter-feeding marine bivalves with large lfc (mussels, clams), short lfc (oysters), and with only pro-lfc (scallops), and then we describe our present understanding of these processes. This is carried out along with comments on a long-lasting and current controversy on particle-capture mechanisms in filter-feeding bivalves. We rebut the hypothesis of “hydrosol filtering” proposed by Ward et al. (1998), where the approach angle of a particle towards the gill is 30° and the particle is captured by direct interception with a gill filament, whereas lfc generate “zones of blocked through-flow”. No further test of the hydrosol hypothesis has so far been made, but nevertheless, it has been cited in many publications over the last 25 years. Full article
(This article belongs to the Section Marine Biology)
Show Figures

Figure 1

36 pages, 4364 KB  
Article
Improving Alzheimer’s Disease and Parkinson’s Disease in Rats with Nanoemulsion and Byproducts Prepared from Cinnamon Leaves
by Bing-Huei Chen, Chen-Te Jen, Chia-Chuan Wang and Min-Hsiung Pan
Pharmaceutics 2025, 17(9), 1200; https://doi.org/10.3390/pharmaceutics17091200 - 15 Sep 2025
Cited by 2 | Viewed by 1509
Abstract
Background/Objectives: Cinnamon leaves, an important source of the functional compound cinnamaldehyde (CA), have been shown to be effective in improving type II diabetes and Parkinson’s disease (PD) in rats following the incorporation of cinnamon leaf extract into a nanoemulsion. However, the effect [...] Read more.
Background/Objectives: Cinnamon leaves, an important source of the functional compound cinnamaldehyde (CA), have been shown to be effective in improving type II diabetes and Parkinson’s disease (PD) in rats following the incorporation of cinnamon leaf extract into a nanoemulsion. However, the effect of a cinnamon leaf extract nanoemulsion (CLEN) on improving Alzheimer’s disease (AD), the most prevalent type of dementia, remains unexplored. The objectives of this study were to determine functional compounds in cinnamon leaves by UPLC-MS/MS, followed by the preparation of a nanoemulsion and its byproducts to study their effects on AD and PD in rats. Methods: Oven-dried (60 °C for 2 h) cinnamon leaf powder and hydrosol, obtained by steam distillation of cinnamon leaf powder, were stored at 4 °C. After determination of basic composition (crude protein, crude fat, carbohydrate, moisture and ash) of cinnamon leaf powder, it was extracted with 80% ethanol with sonication at 60 °C for 2 h and analyzed for bioactive compounds by UPLC-MS/MS. Then, the CLEN was prepared by mixing cinnamon leaf extract rich in CA with lecithin, soybean oil, tween 80 and ethanol in an optimal ratio, followed by evaporation to form thin-film and redissolving in deionized water. For characterization, mean particle size, polydispersity index (PDI), zeta potential, encapsulation efficiency, and surface morphology were determined. Animal experiments were done by dividing 90 male rats into 10 groups (n = 9), with groups 2–8 being subjected to mini-osmotic pump implantation surgery in brain to infuse Amyloid-beta 40 (Aβ40) solution in groups 2–8 for induction of AD, while groups 9 and 10 were pre-fed respectively with cinnamon powder in water (0.5 g/10 mL) and in hydrosol for 4 weeks, followed by induction of AD as shown above. Different treatments for a period of 4 weeks included groups 1–9, with group 1 (control) and group 2 feeding with sterilized water, while groups 3, 4 and 5 were fed respectively with high (90 mg/kg), medium (60 mg/kg) and low (30 mg/kg) doses of cinnamon leaf extracts, groups 6, 7 and 8 fed respectively with high (90 mg/kg), medium (60 mg/kg) and low (30 mg/kg) doses of nanoemulsions, groups 9 and 10 fed respectively with 10 mL/kg of cinnamon powder in water and hydrosol (0.5 g/10 mL). Morris water maze test was conducted to determine short-term memory, long-term memory and space probing of rats. After sacrificing of rats, brain and liver tissues were collected for determination of Aβ40, BACE1 and 8-oxodG in hippocampi, and AchE and malondialdehyde (MDA) in cortices, antioxidant enzymes (SOD, CAT, GSH-Px) and MDA in both cortices and livers, and dopamine in brain striata by using commercial kits. Results: The results showed that the highest level of CA (18,250.7 μg/g) was in the cinnamon leaf powder. The CLEN was prepared successfully, with an average particle size of 17.1 nm, a polydispersity index of 0.236, a zeta potential of −42.68 mV, and high stability over a 90-day storage period at 4 °C. The Morris water maze test revealed that the CLEN treatment was the most effective in improving short-term memory, long-term memory, and spatial probe test results in AD rats, followed by the cinnamon leaf extract (CLE), powder in hydrosol (PH), and powder in water (PW). Additionally, both CLEN and CLE treatments indicated a dose-dependent improvement in AD rats, while PH and PW were effective in preventing AD occurrence. Furthermore, AD occurrence accompanied by PD development was demonstrated in this study. With the exception of the induction group, declines in Aβ40, BACE1, and 8-oxodG in the hippocampi and AchE and MDA in the cortices of rats were observed for all the treatments, with the high-dose CLEN (90 mg/kg bw) exhibiting the highest efficiency. The antioxidant enzyme activity, including that of SOD, CAT, and GSH-Px, in the cortices of rats increased. In addition, dopamine content, a vital index of PD, was increased in the striata of rats, accompanied by elevations in SOD, CAT, and GSH-Px and decreased MDA in rat livers. Conclusions: These outcomes suggest that the CLEN possesses significant potential for formulation into a functional food or botanical drug for the prevention and treatment of AD and/or PD in the future. Full article
Show Figures

Graphical abstract

15 pages, 970 KB  
Article
Potential Natural Blend Hydrosol TGLON Suppresses the Proliferation of Five Cancer Cell Lines and Also Ameliorates Idiopathic Pulmonary Fibrosis in a Mouse Model
by Wei-Hsiang Huang, Mei-Lin Chang, Ching-Che Lin, Chih-Peng Wang, Feng-Jie Tsai and Chih-Chien Lin
Pharmaceuticals 2025, 18(6), 872; https://doi.org/10.3390/ph18060872 - 11 Jun 2025
Viewed by 3548
Abstract
Background: Cancer and fibrotic diseases represent major global health challenges, underscoring the need for safe, multifunctional natural therapies. Although natural products possess notable anticancer properties, their clinical translation is often hindered by non-selective cytotoxicity toward normal cells. Moreover, their therapeutic potential against chronic [...] Read more.
Background: Cancer and fibrotic diseases represent major global health challenges, underscoring the need for safe, multifunctional natural therapies. Although natural products possess notable anticancer properties, their clinical translation is often hindered by non-selective cytotoxicity toward normal cells. Moreover, their therapeutic potential against chronic conditions such as idiopathic pulmonary fibrosis (IPF) remains insufficiently explored. This study aimed to evaluate the efficacy and safety of a natural hydrosol blend, The Greatest Love of Nature (TGLON), in inhibiting cancer cell proliferation and mitigating IPF. Methods: TGLON, composed of 12 steam-distilled plant hydrosols, was chemically characterized by gas chromatography–mass spectrometry (GC-MS). Its cytotoxicity was assessed using the MTT assay against five human cancer cell lines (A-549, HepG2, MCF-7, MKN-45, and MOLT-4) and normal human lung fibroblasts (MRC-5). In vivo safety and therapeutic efficacy were evaluated in Sprague Dawley rats and a bleomycin-induced IPF mouse model, following protocols approved by the Institutional Animal Care and Use Committee (IACUC). Results: TGLON maintained >90% viability in MRC-5 cells at an 80-fold dilution and significantly inhibited the proliferation of A-549 (41%), HepG2 (84%), MCF-7 (50%), MKN-45 (38%), and MOLT-4 (52%) cells. No signs of toxicity were observed in rats administered TGLON orally at 50% (v/v), 10 mL/kg. In mice, TGLON alleviated bleomycin-induced pulmonary inflammation and fibrosis. Conclusions: TGLON exhibited selective anticancer and anti-fibrotic activities under non-toxic conditions, supporting its potential as a bioactive agent for early-stage disease prevention and non-clinical health maintenance. Full article
(This article belongs to the Special Issue Advances in the Chemical-Biological Knowledge of Essential Oils)
Show Figures

Figure 1

23 pages, 3875 KB  
Article
Chemical Composition, Quality, and Bioactivity of Laurus nobilis L. Hydrosols from the Adriatic Regions of Croatia: Implications for Dermatological Applications
by Lea Juretić, Valerija Dunkić, Ivana Gobin, Suzana Inić, Dario Kremer, Marija Nazlić, Lea Pollak, Silvestar Mežnarić, Ana Barbarić and Renata Jurišić Grubešić
Antioxidants 2025, 14(6), 688; https://doi.org/10.3390/antiox14060688 - 5 Jun 2025
Cited by 3 | Viewed by 2027
Abstract
Laurus nobilis L., Lauraceae, bay laurel, has been traditionally used for its various therapeutic properties, and in recent years has been gaining interest for its potential applications in skincare products. However, the biological effects of bay laurel, particularly its hydrosols, a water fraction [...] Read more.
Laurus nobilis L., Lauraceae, bay laurel, has been traditionally used for its various therapeutic properties, and in recent years has been gaining interest for its potential applications in skincare products. However, the biological effects of bay laurel, particularly its hydrosols, a water fraction obtained during essential oil production, remain unexplored. The objective of this study was to identify the volatile compounds in L. nobilis hydrosols (LnHYs) from different coastal regions of Croatia (north, middle, and south Adriatic) and to evaluate their potential safety and efficacy for dermatological applications. Upon isolating LnHYs using microwave-assisted extraction, LnHY volatiles were identified and quantified using gas chromatography and mass spectrometry. Oxygenated monoterpenes were the dominant compounds in all LnHYs (61.72–97.00%), with 1,8-cineole being the most abundant component (52.25–81.89%). The physical and chemical parameters of LnHYs were investigated to assess their purity and quality. Biological activity (cytotoxicity and wound-healing effect) was tested on the human keratinocyte cell line (HaCaT), selected as the experimental model due to its relevance to skin biology. Additionally, contents of polyphenolic substances, antioxidative effects using the Oxygen Radical Absorbance Capacity (ORAC) and 2,2-diphenyl-1-picrylhydrazyl (DPPH) methods, and the antimicrobial activity of LnHYs toward five skin microorganisms were determined. All tested hydrosols showed similar biological activity, with only minor differences. Cytotoxicity studies indicated the safety of the dermatological application of LnHYs, and the results of the wound-healing assay showed their neutral to mildly positive effect. Considering the growing use of bay laurel preparations in pharmaceutical and cosmetic applications, extensive studies on their biological activity, quality, and safety are essential to either support or regulate their use in humans. Full article
Show Figures

Figure 1

29 pages, 689 KB  
Article
Recovery of Bioactive Compounds from the Biomass of Aromatic Plants After Distillation Using NADES: A Sustainable Alternative Extraction Method
by Eleonora Truzzi, Davide Bertelli, Benedetta Catellani, Danial Darvishi Jazi and Stefania Benvenuti
Molecules 2025, 30(5), 1120; https://doi.org/10.3390/molecules30051120 - 28 Feb 2025
Cited by 5 | Viewed by 2642
Abstract
The extraction processes for medicinal plants, particularly the distillation of aromatic plants, generate significant quantities of by-products, consisting of fibrous biomass and hydrosols. These by-products pose challenges for disposal and recovery. Consequently, it is imperative to make the entire highly energy-intensive process more [...] Read more.
The extraction processes for medicinal plants, particularly the distillation of aromatic plants, generate significant quantities of by-products, consisting of fibrous biomass and hydrosols. These by-products pose challenges for disposal and recovery. Consequently, it is imperative to make the entire highly energy-intensive process more sustainable by valorizing all derivatives. This study aims to recover polyphenols from the exhausted biomasses of Artemisia dracunculus, Echinacea purpurea, Helichrysum italicum (from the Asteraceae family), and Lavandula angustifolia, Lavandula × intermedia, Melissa officinalis, Salvia officinalis, Salvia sclarea, and Salvia rosmarinus (from the Lamiaceae family) after steam distillation. The residual biomasses were extracted using ethanol (conventional solvent) and different natural deep eutectic solvents (NADES) composed of choline chloride in combination with citric and lactic acids at different molar ratios. The NADES containing choline chloride and lactic acid at the molar ratio 1:1 (CLA11) exhibited the highest recovery of representative phenols of the plants, namely chicoric and rosmarinic acids. The CLA11 solvent demonstrated a stronger extractive capacity compared to ethanol in all the biomasses belonging to the Asteraceae and Lamiaceae families. Specifically, CLA11 extracts showed a higher number of compounds in UHPLC-HRMS and greater concentrations of chicoric and rosmarinic acids determined by HPLC-DAD than ethanol extracts. In conclusion, NADES were demonstrated to be a viable alternative system for the recovery of bioactive compounds that could be used to formulate new products for the food, pharmaceutical, and cosmetic industries. Moreover, the use of NADES can enhance the sustainability of the whole production chain of essential oils being environmentally friendly. Full article
(This article belongs to the Special Issue Chemical Analysis of Functional Foods)
Show Figures

Figure 1

17 pages, 3662 KB  
Article
Superhydrophilic Titania Coatings on Glass Substrates via the Hydrosol Approach
by George V. Theodorakopoulos, Michalis K. Arfanis, Nafsika Mouti, Andreas Kaidatzis, Christian Mitterer, Konstantinos Giannakopoulos and Polycarpos Falaras
Surfaces 2025, 8(1), 5; https://doi.org/10.3390/surfaces8010005 - 6 Jan 2025
Cited by 1 | Viewed by 2261
Abstract
This study presents a comprehensive investigation into the synthesis and characterization of TiO2 coatings on glass substrates, focusing on the development of superhydrophilic, self-cleaning titania coatings using the hydrosol approach. Stringent cleaning protocols were accurately followed to ensure the pristine condition of [...] Read more.
This study presents a comprehensive investigation into the synthesis and characterization of TiO2 coatings on glass substrates, focusing on the development of superhydrophilic, self-cleaning titania coatings using the hydrosol approach. Stringent cleaning protocols were accurately followed to ensure the pristine condition of glass surfaces prior to deposition. Various organic precursor solutions were precisely prepared and applied to the glass substrate via dip-coating, followed by subsequent thermal treatment. A range of characterization techniques, including Raman spectroscopy, UV/Vis spectroscopy, scanning and atomic force microscopy, X-ray photoelectron spectroscopy, and contact angle measurements, were employed to assess the properties of the coatings. The results revealed that the samples were influenced by precursor concentration and withdrawal rate, with slow speed leading to minimal alteration of transmittance. The coatings show superhydrophilic properties, as evidenced by contact angle values below 3 degrees for the thinnest films. Their thickness is approximately 13 nm with very low roughness, indicative of a smooth and uniform surface. Optimization of the deposition conditions permits the fabrication of uniform and transparent TiO2 coatings on glass substrates, offering promising opportunities for the practical use of photoinduced self-cleaning surfaces in real-life applications. Finally, a cost analysis of scaling up the coating and mirror fabrication processes confirmed the economic feasibility of this approach for concentrated solar power (CSP) applications. Full article
Show Figures

Graphical abstract

20 pages, 6729 KB  
Article
Oxidative Dissolution and the Aggregation of Silver Nanoparticles in Drinking and Natural Waters: The Influence of the Medium on the Process Development
by Vadim A. Ershov and Boris G. Ershov
Toxics 2024, 12(10), 757; https://doi.org/10.3390/toxics12100757 - 18 Oct 2024
Cited by 14 | Viewed by 3727
Abstract
Currently, there are quite a few data on the ways silver nanoparticles get into the aquatic environment, on their subsequent dissolution in water, and on the release of toxic Ag+ ions. Differences in the experimental conditions hinder the determination of the basic [...] Read more.
Currently, there are quite a few data on the ways silver nanoparticles get into the aquatic environment, on their subsequent dissolution in water, and on the release of toxic Ag+ ions. Differences in the experimental conditions hinder the determination of the basic regularities of this process. In this study, the stages of oxidative dissolution of AgNPs were studied, starting from the formation of silver hydrosol in deaerated solution, the reaction of silver with oxygen and with drinking and natural waters, the analysis of intermediate species of the oxidized colloidal particles, and the subsequent particle aggregation and precipitation, by optical spectroscopy, DLS, TEM, STEM, and EDX. In the presence of oxygen, silver nanoparticles undergo oxidative dissolution, which gives Ag+ ions and results in the subsequent aggregation of nanoparticles. The carbonate hydrosol loses stability when mixed with waters of various origin. This is due to the destruction of the electric double layer, which is caused by an increase in the solution’s ionic strength and the neutralization of the charge of the metal core. The environmental hazard of the silver nanoparticle hydrosol would noticeably change and/or decrease when the nanoparticles get into natural waters because of their fast precipitation and because the major part of released Ag+ ions form poorly soluble salts with ions present in water. Full article
(This article belongs to the Section Metals and Radioactive Substances)
Show Figures

Graphical abstract

20 pages, 27303 KB  
Article
Modeling the Geometry and Filter Composite of the Air Cleaner
by Pola Kalina Olszewska, Justyna Pinkos, Dominik Borkowski and Maciej Jablonski
Materials 2024, 17(20), 4969; https://doi.org/10.3390/ma17204969 - 11 Oct 2024
Viewed by 1568
Abstract
Air pollution is currently the most significant environmental factor posing a threat to the health and lives of European residents. It is a key cause of poor health, particularly respiratory and cardiovascular diseases. The primary aim of the study was to numerically determine [...] Read more.
Air pollution is currently the most significant environmental factor posing a threat to the health and lives of European residents. It is a key cause of poor health, particularly respiratory and cardiovascular diseases. The primary aim of the study was to numerically determine the impact of the air purifier model’s geometry on the distribution of air within a room and to conduct experimental tests on the filtration efficiency and preliminary antibacterial activity of filtration composites. The scope of the work included designing an air purifier model in the form of a pendant lamp and performing computer simulations in Ansys software to identify the optimal shape. The experimental research focused on developing filtration composites consisting of nonwoven fabric with an active hydrosol layer, meltblown nonwovens and a carbon filter. The study results showed that the SMMS composite with 50% thyme and carbon nonwoven exhibited the highest filtration efficiency for both small and large particles. Full article
Show Figures

Figure 1

56 pages, 2136 KB  
Review
Unlocking the Potential of Hydrosols: Transforming Essential Oil Byproducts into Valuable Resources
by Heloísa H. S. Almeida, Isabel P. Fernandes, Joana S. Amaral, Alírio E. Rodrigues and Maria-Filomena Barreiro
Molecules 2024, 29(19), 4660; https://doi.org/10.3390/molecules29194660 - 30 Sep 2024
Cited by 30 | Viewed by 9548
Abstract
The global demand for sustainable and non-toxic alternatives across various industries is driving the exploration of naturally derived solutions. Hydrosols, also known as hydrolates, represent a promising yet underutilised byproduct of the extraction process of essential oils (EOs). These aqueous solutions contain a [...] Read more.
The global demand for sustainable and non-toxic alternatives across various industries is driving the exploration of naturally derived solutions. Hydrosols, also known as hydrolates, represent a promising yet underutilised byproduct of the extraction process of essential oils (EOs). These aqueous solutions contain a complex mixture of EO traces and water-soluble compounds and exhibit significant biological activity. To fully use these new solutions, it is necessary to understand how factors, such as distillation time and plant-to-water ratio, affect their chemical composition and biological activity. Such insights are crucial for the standardisation and quality control of hydrosols. Hydrosols have demonstrated noteworthy properties as natural antimicrobials, capable of preventing biofilm formation, and as antioxidants, mitigating oxidative stress. These characteristics position hydrosols as versatile ingredients for various applications, including biopesticides, preservatives, food additives, anti-browning agents, pharmaceutical antibiotics, cosmetic bioactives, and even anti-tumour agents in medical treatments. Understanding the underlying mechanisms of these activities is also essential for advancing their use. In this context, this review compiles and analyses the current literature on hydrosols’ chemical and biological properties, highlighting their potential applications and envisioning future research directions. These developments are consistent with a circular bio-based economy, where an industrial byproduct derived from biological sources is repurposed for new applications. Full article
(This article belongs to the Special Issue Featured Reviews in Applied Chemistry 2.0)
Show Figures

Graphical abstract

20 pages, 1802 KB  
Article
Comparative Analysis of Hydrosol Volatile Components of Citrus × Aurantium ‘Daidai’ and Citrus × Aurantium L. Dried Buds with Different Extraction Processes Using Headspace-Solid-Phase Microextraction with Gas Chromatography–Mass Spectrometry
by Xinyue Xie, Huiling Xue, Baoshan Ma, Xiaoqian Guo, Yanli Xia, Yuxia Yang, Ke Xu, Ting Li and Xia Luo
Molecules 2024, 29(15), 3498; https://doi.org/10.3390/molecules29153498 - 26 Jul 2024
Cited by 1 | Viewed by 2475
Abstract
This work used headspace solid-phase microextraction with gas chromatography–mass spectrometry (HS-SPME-GC–MS) to analyze the volatile components of hydrosols of Citrus × aurantium ‘Daidai’ and Citrus × aurantium L. dried buds (CAVAs and CADBs) by immersion and ultrasound–microwave synergistic-assisted steam distillation. The results show [...] Read more.
This work used headspace solid-phase microextraction with gas chromatography–mass spectrometry (HS-SPME-GC–MS) to analyze the volatile components of hydrosols of Citrus × aurantium ‘Daidai’ and Citrus × aurantium L. dried buds (CAVAs and CADBs) by immersion and ultrasound–microwave synergistic-assisted steam distillation. The results show that a total of 106 volatiles were detected in hydrosols, mainly alcohols, alkenes, and esters, and the high content components of hydrosols were linalool, α-terpineol, and trans-geraniol. In terms of variety, the total and unique components of CAVA hydrosols were much higher than those of CADB hydrosols; the relative contents of 13 components of CAVA hydrosols were greater than those of CADB hydrosols, with geranyl acetate up to 15-fold; all hydrosols had a citrus, floral, and woody aroma. From the pretreatment, more volatile components were retained in the immersion; the relative contents of linalool and α-terpineol were increased by the ultrasound–microwave procedure; and the ultrasound–microwave procedure was favorable for the stimulation of the aroma of CAVA hydrosols, but it diminished the aroma of the CADB hydrosols. This study provides theoretical support for in-depth exploration based on the medicine food homology properties of CAVA and for improving the utilization rate of waste resources. Full article
Show Figures

Figure 1

Back to TopTop