The Effect of Foliar Selenium (Se) Treatment on Growth, Photosynthesis, and Oxidative-Nitrosative Signalling of Stevia rebaudiana Leaves
Abstract
1. Introduction
2. Materials and Methods
2.1. Plant Cultivation and Se Treatment
2.2. Measurement of Growth Parameters
2.3. Measurement of Se Content
2.4. Measurement of Stevioside and Rebaudioside A Contents
2.5. Measurement of Pigment Concentrations
2.6. Measurement of Chlorophyll a Fluorescence and PSI Activity
2.7. Measurement of Photosynthetic Gas Exchange Parameters
2.8. Protein Extraction, Spectrophotometric Measurement of SOD Activity
2.9. Native PAGE Separation of SOD and NADPH Oxidase (NOX) Isoenzymes
2.10. Western Blot Analysis of GSNOR Abundance and Protein Tyrosine Nitration
3. Statistical Analysis
4. Results and Discussion
4.1. Effect of Se Doses on Shoot Growth of Stevia Seedlings
4.2. Effect of Foliar Se Application on the Total Se Content of Stevia Leaves
4.3. Effect of Se Doses on Stevioside and Rebaudioside A Content of Stevia Leaves
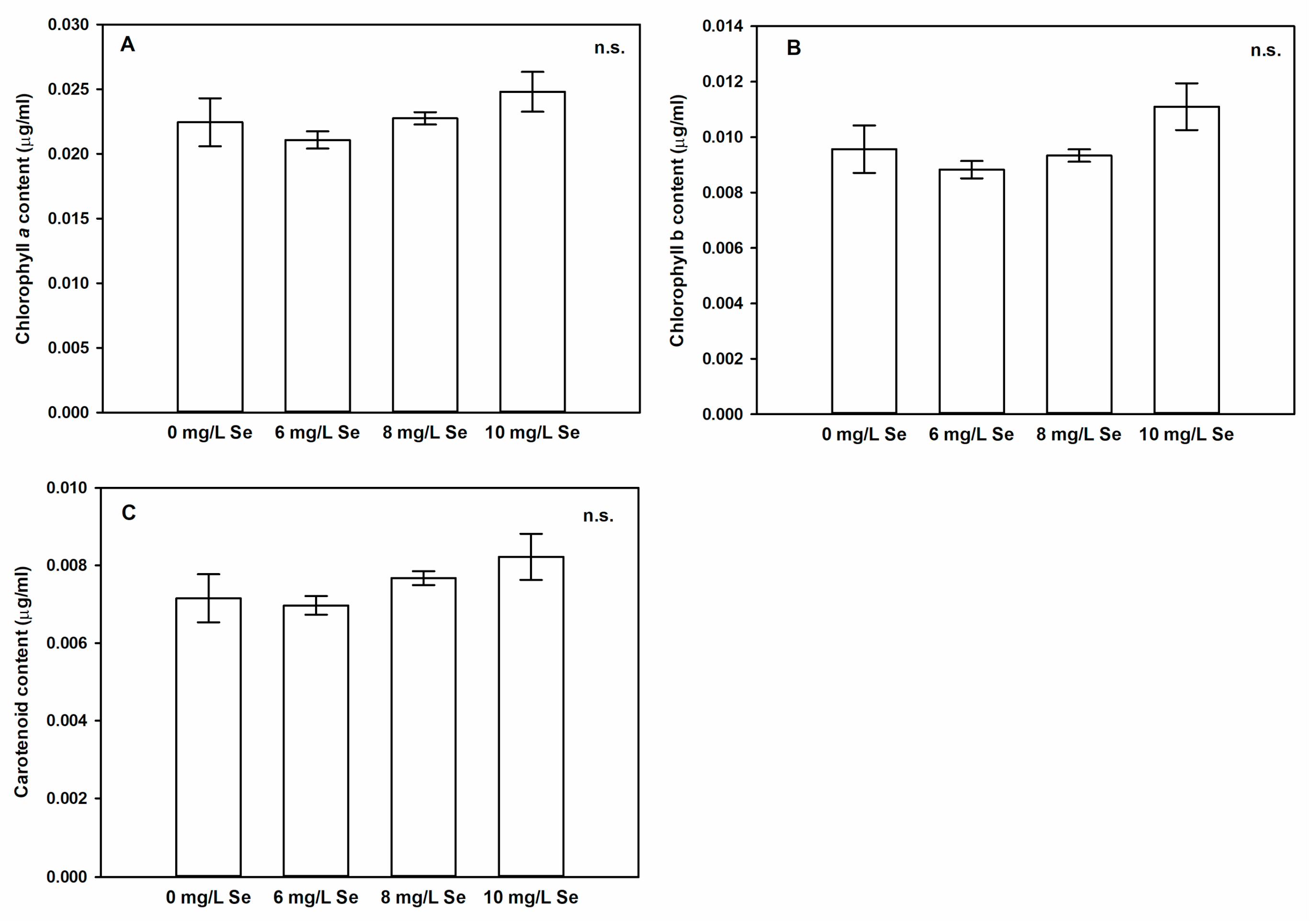
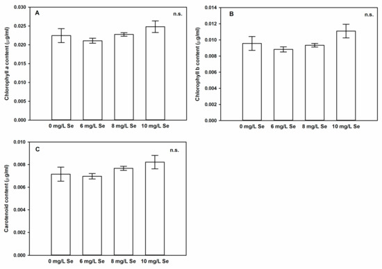
4.4. Effect of Selenium Doses onpigment Content of Stevia Leaves
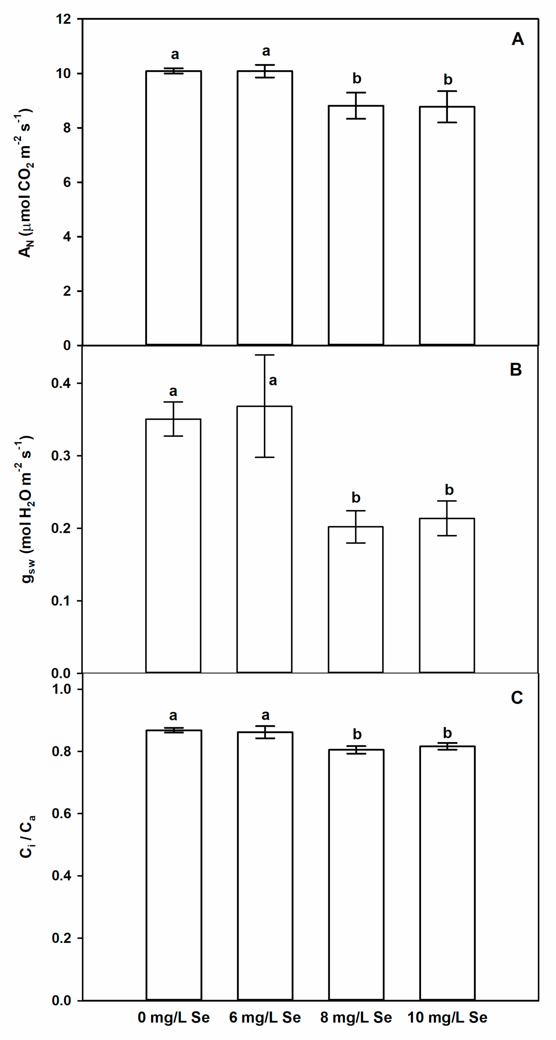
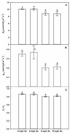
4.5. Effect of Selenium Doses on Photosynthetic CO2 Assimilation of Stevia Leaves
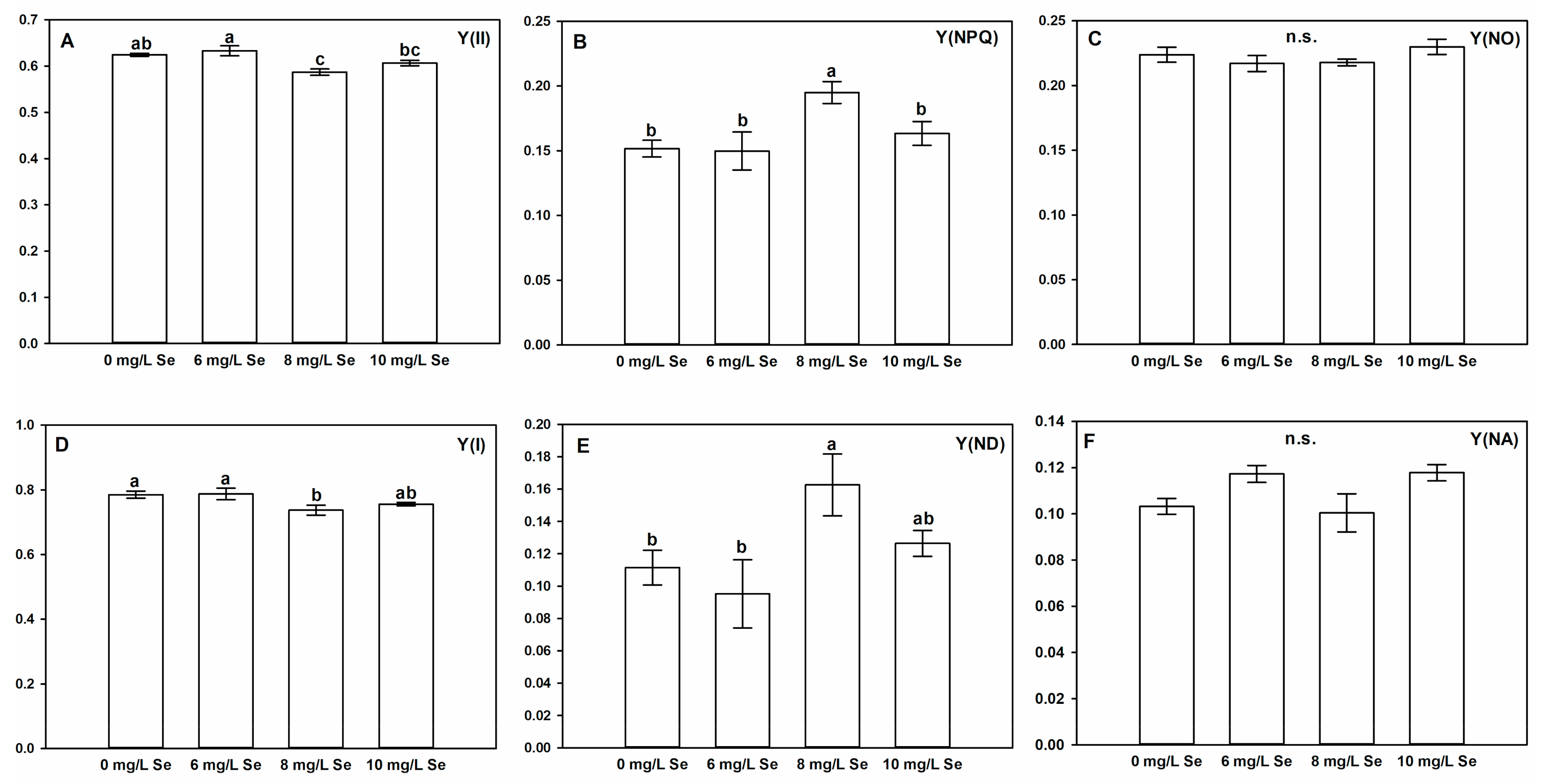
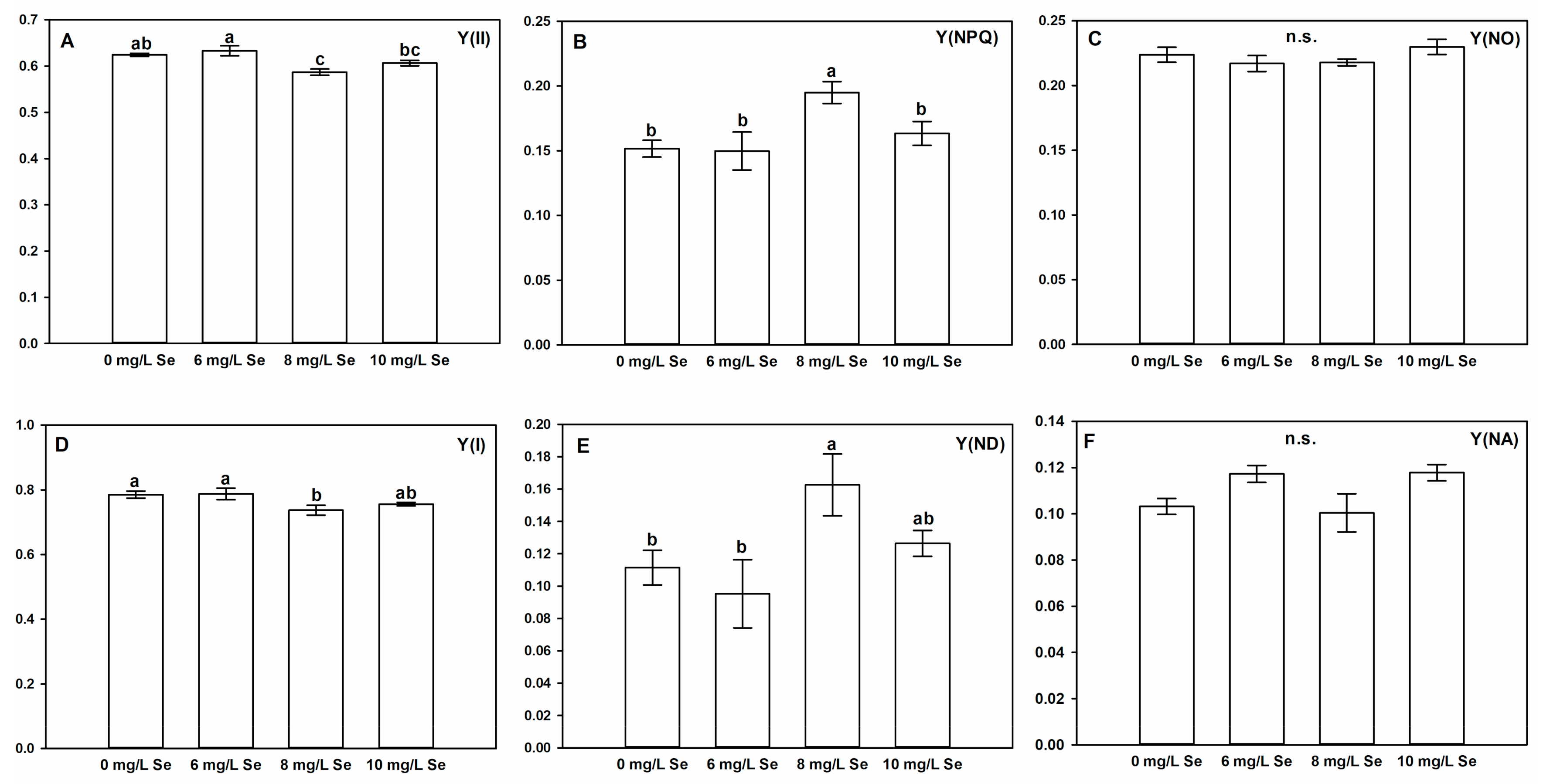
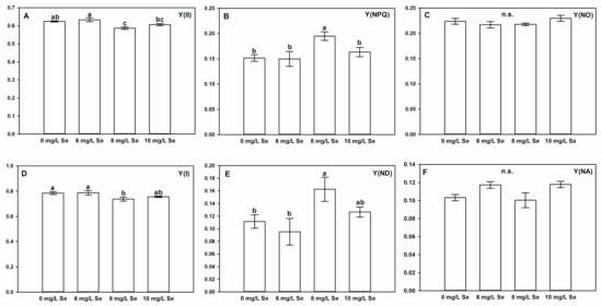
4.6. Effect of Selenium Doses on Photosystem II and I Activity of Stevia Leaves
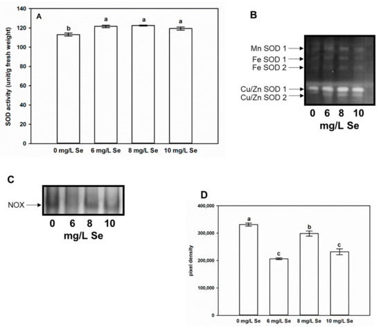
4.7. Effect of Se Doses on SOD and NOX Activity of Stevia Leaves
4.8. Effect of Selenium Doses on Nitrosative Signalling in Stevia Leaves
5. Conclusions
Supplementary Materials
Author Contributions
Funding
Institutional Review Board Statement
Informed Consent Statement
Data Availability Statement
Acknowledgments
Conflicts of Interest
References
- Periche, A.; Castelló, M.L.; Heredia, A.; Escriche, I. Influence of drying method on steviol glycosides and antioxidants in Stevia rebaudiana leaves. Food Chem. 2015, 172, 1–6. [Google Scholar] [CrossRef] [PubMed]
- Singh, S.D.; Rao, G.P. Stevia: The herbal sugar of 21st century. Sugar Tech. 2005, 7, 17–24. [Google Scholar] [CrossRef]
- Brandle, J.E.; Starratt, A.N.; Gijzen, M. Stevia rebaudiana: Its agricultural, biological, and chemical properties. Can. J. Plant. Sci. 1998, 78, 527–536. [Google Scholar] [CrossRef]
- Lichtenthaler, H. The 1-deoxy-D-xylulose-5-phosphatepathway of isoprenoid biosynthesis in plants. Annu. Rev. Plant Physiol. Plant Mol. Biol. 1999, 50, 47–65. [Google Scholar] [CrossRef] [PubMed]
- Brandle, J.E.; Telmer, P.G. Steviol glycoside biosynthesis. Phytochemistry 2007, 68, 1855–1863. [Google Scholar] [CrossRef] [PubMed]
- Libik-Konieczny, M.; Capeck, E.; Kąkol, E.; Dziurka, M.; Grabowska-Joachimiak, A.; Sliwinska, E.; Pistelli, L. Growth, development and steviol glycosides content in the relation to the photosynthetic activity of several Stevia rebaudiana Bertoni strains cultivated under temperate climate conditions. Sci. Hortic. 2018, 234, 10–18. [Google Scholar] [CrossRef]
- Karaköse, H.; Jaiswal, R.; Kuhnert, N. Characterization and quantification of hydroxycinnamate derivatives in Stevia rebaudiana leaves by means of LC–MS. J. Agric. Food Chem. 2011, 59, 10143–10150. [Google Scholar] [CrossRef]
- Periche, A.; Koutsidis, G.; Escriche, I. Composition of antioxidants and amino acids in Stevia leaf infusions. Plant Foods Hum. Nutr. 2014, 69, 1–7. [Google Scholar] [CrossRef]
- Karaköse, H.; Müller, A.; Kuhnert, N. Profiling and quantification of phenolics in Stevia rebaudiana leaves. J. Agric. Food Chem. 2015, 63, 9188–9198. [Google Scholar] [CrossRef]
- Siddique, A.B.; Raman, S.M.M.; Hossain, M.A.; Hossain, M.A.; Rashid, M.A. Phytochemical screening and comparative antimicrobial potential of different extracts of Stevia rebaudiana Bertoni leaves. Asian Pacif. J. Tropic Dis. 2014, 4, 275–280. [Google Scholar] [CrossRef]
- Marcinek, K.; Krejpcio, Z. Stevia rebaudiana Bertoni: Health promoting properties and therapeutic applications. J. Verbr. Lebensm. 2016, 11, 3–8. [Google Scholar] [CrossRef]
- Ahmad, J.; Khan, I.; Blundell, R.; Azzopardi, J.; Mahomoodally, M.F. Stevia rebaudiana Bertoni: An updated review of its health benefits, industrial applications and safety. Trend. Food Sci. Technol. 2020, 100, 177–189. [Google Scholar] [CrossRef]
- Sors, T.G.; Els, D.R.; Salt, D.E. Selenium uptake, translocation, assimilation and metabolic fate in plants. Photosynth. Res. 2005, 86, 373–389. [Google Scholar] [CrossRef] [PubMed]
- Kolbert, Z.S.; Szőllősi, R.; Feigl, G. Selenium-induced abiotic stress tolerance in plants. In Plant Tolerance to Environmental Stress Role of Phytoprotectants; Hasanuzzaman, M., Fujita, M., Oku, H., Islam, M.T., Eds.; CRC Press: Boca Raton, FL, USA, 2019; pp. 255–270. [Google Scholar]
- Li, H.-F.; McGrath, S.P.; Zhao, F.-J. Selenium uptake, translocation and speciation in wheat supplied with selenate or selenite. New Phytol. 2008, 178, 92–102. [Google Scholar] [CrossRef]
- Nawaz, F.; Ahmad, R.; Ashraf, M.Y.; Waraich, E.A.; Khan, S.Z. Effect of selenium foliar spray on physiological and biochemical processes and chemical constituents of wheat under drought stress. Ecotox. Environ. Saf. 2015, 113, 191–200. [Google Scholar] [CrossRef]
- Yao, X.; Chu, J.; Wang, G. Effects of selenium on wheat seedlings under drought stress. Biol. Trace Elem. Res. 2009, 130, 283–290. [Google Scholar] [CrossRef]
- Djanaguiraman, M.; Prasad, P.V.V.; Seppanen, M. Selenium protects sorghum leaves from oxidative damage under high temperature stress by enhancing antioxidant defense system. Plant Physiol. Biochem. 2010, 48, 999–1007. [Google Scholar] [CrossRef]
- Feng, R.; Wei, C.; Tu, S. The roles of selenium in protecting plants against abiotic stresses. Environ. Exp. Bot. 2013, 87, 58–68. [Google Scholar] [CrossRef]
- Yu, M.; Lamattina, L.; Spoel, S.H.; Loake, G.J. Nitric oxide function in plant biology: A redox cue in deconvolution. New Phytol. 2014, 202, 1142–1156. [Google Scholar] [CrossRef]
- Jahnová, J.; Luhová, L.; Petřivalský, M. S-nitrosoglutathione reductase—The master regulator of protein S-nitrosation in plant NO signaling. Plants 2019, 8, 48. [Google Scholar] [CrossRef]
- Kolbert, Z.S.; Feigl, G.; Bordém, Á.; Molnárm, Á.; Erdeim, L. Protein tyrosine nitration in plants: Present knowledge, computational prediction and future perspectives. Plant Physiol. Biochem. 2017, 113, 56–63. [Google Scholar] [CrossRef] [PubMed]
- Chen, Y.; Mo, H.Z.; Hu, L.B.; Li, Y.Q.; Chen, J.; Jang, L.F. The endogenous nitric oxide mediates selenium-induced phytotoxicity by promoting ROS generation in Brassica rapa. PLoS ONE 2014, 9, e110901. [Google Scholar] [CrossRef] [PubMed]
- Lehotai, N.; Kolbert, Z.S.; Pető, A.; Feigl, G.; Ördög, A.; Kumar, D.; Tari, I.; Erdei, L. Selenite-induced hormonal and signalling mechanisms during root growth of Arabidopsis thaliana L. J. Exp. Bot. 2012, 63, 5677–5687. [Google Scholar] [CrossRef] [PubMed]
- Lehotai, N.; Lyubenova, L.; Schroeder, P.; Feigl, G.; Ördög, A.; Szilagyi, K.; Erdei, L.; Kolbert, Z.S. Nitro-oxidative stress contributes to selenite toxicity in pea (Pisum sativum L.). Plant Soil 2016, 400, 107–122. [Google Scholar] [CrossRef]
- Molnár, Á.; Feigl, G.; Trifán, V.; Ördög, A.; Szőllősi, R.; Erdei, L.; Kolbert, Z.S. The intensity of tyrosine nitration is associated with selenite and selenate toxicity in Brassica juncea L. Ecotox. Environ. Saf. 2018, 147, 93–101. [Google Scholar] [CrossRef]
- Molnár, Á.; Kolbert, Z.S.; Kéri, K.; Feigl, G.; Ördög, A.; Szőllősi, R.; Erdei, L. Selenite-induced nitro-oxidative stress processes in Arabidopsis thaliana and Brassica juncea. Ecotox. Environ. Saf. 2018, 148, 664–674. [Google Scholar] [CrossRef]
- Kolbert, Z.S.; Molnár, Á.; Szőllősi, R.; Feigl, G.; Erdei, L.; Ördög, A. Nitro-oxidative stress correlates with Se tolerance of Astragalus species. Plant Cell Physiol. 2018, 59, 1827–1843. [Google Scholar] [CrossRef]
- Feigl, G.; Horváth, E.; Molnár, Á.; Oláh, D.; Poór, P.; Kolbert, Z.S. Ethylene-nitric oxide interplay during selenium-induced lateral root emergence in Arabidopsis. J. Plant Growth Regul. 2019, 38, 1481–1488. [Google Scholar] [CrossRef]
- Garousi, F. Toxicity of selenium, application of selenium in fertilizers, selenium treatment of seeds, and selenium in edible parts of plants. Acta Univ. Sapientiae Aliment. 2017, 10, 61–74. [Google Scholar] [CrossRef]
- Ros, G.H.; Van Rotterdam, A.M.D.; Bussink, D.W.; Bindraban, P.S. Selenium fertilization strategies for bio-fortification of food: An agro-ecosystem approach. Plant Soil 2016, 404, 99–112. [Google Scholar] [CrossRef]
- Franke, W. Mechanisms of Foliar Penetration of Solutions. Annu. Rev. Plant Physiol. 1967, 18, 281–300. [Google Scholar] [CrossRef]
- Fageria, N.K.; Filho, M.B.; Moreira, A.; Guimarães, C.M. Foliar Fertilization of Crop Plants. J. Plant Nutr. 2009, 32, 1044–1064. [Google Scholar] [CrossRef]
- Alshaal, T.; El-Ramady, H. Foliar application: From plant nutrition to biofortification. Environ. Biodivers. Soil Secur. 2017, 1, 71–83. [Google Scholar] [CrossRef]
- Hawkesford, M.J.; Zhao, F.-J. Strategies for increasing the selenium content of wheat. J. Cereal Sci. 2007, 46, 282–292. [Google Scholar] [CrossRef]
- Fairweather-Tait, S.; Bao, Y.; Broadley, M.R.; Collings, R.; Ford, D.; Hesketh, J.E.; Hurst, R. Selenium in human health and disease. Antiox. Redox Signal 2011, 14, 1337–1383. [Google Scholar] [CrossRef]
- Rayman, M.P. Selenium and human health. Lancet 2012, 379, 1256–1268. [Google Scholar] [CrossRef]
- Gondi, F.; Pantó, G.; Fehér, J.; Bogye, G.; Alfthan, G. Selenium in Hungary. the rock-soil-human system. Biol. Trace Elem. Res. 1992, 35, 299–306. [Google Scholar] [CrossRef]
- Kaur, N.; Sharma, S.; Kaur, S.; Nayyar, H. Selenium in agriculture: A nutrient or contaminant for crops? Arch. Agron. Soil Sci. 2014, 60, 1593–1624. [Google Scholar] [CrossRef]
- Shreenath, A.P.; Ameer, M.A.; Dooley, J. Selenium Deficiency; StatPearls Publishing: Treasure Island, FL, USA, 2020. [Google Scholar]
- Lichtenthaler, H.K. Chlorophylls and carotenoids: Pigments of photosynthetic biomembranes. Method. Enzymol. 1987, 148, 350–382. [Google Scholar]
- Poor, P.; Borbely, P.; Bodi, N.; Bagyanszki, M.; Tari, I. Effects of salicylic acid on photosynthetic activity and chloroplast morphology under light and prolonged darkness. Photosynthetica 2019, 57, 367–376. [Google Scholar] [CrossRef]
- Klughammer, C.; Schreiber, U. Saturation pulse method for assessment of energy conversion in PS I. Planta 1994, 192, 261–268. [Google Scholar] [CrossRef]
- Zhang, G.; Liu, Y.; Ni, Y.; Meng, Z.; Lu, T.; Li, T. Exogenous Calcium Alleviates Low Night Temperature Stress on the Photosynthetic Apparatus of Tomato Leaves. PLoS ONE 2014, 9, e97322. [Google Scholar] [CrossRef] [PubMed]
- Poór, P.; Borbély, P.; Czékus, Z.; Takács, Z.; Ördög, A.; Popović, B.; Tari, I. Comparison of changes in water status and photosynthetic parameters in wild type and abscisic acid-deficient sitiens mutant of tomato (Solanum lycopersicum cv. Rheinlands Ruhm) exposed to sublethal and lethal salt stress. J. Plant Physiol. 2019, 232, 130–140. [Google Scholar] [CrossRef] [PubMed]
- Bradford, M.M. A rapid and sensitive method for the quantification of microgram quantities of protein utilizing the principle of protein–dye binding. Anal. Biochem. 1976, 72, 248–255. [Google Scholar] [CrossRef]
- Dhindsa, R.S.; Plumb-Dhindsa, P.; Thorpe, T.A. Leaf senescence: Correlated with increased levels of membrane permeability and lipid peroxidation, and decreased levels of superoxide dismutase and catalase. J. Exp. Bot. 1981, 32, 93–101. [Google Scholar] [CrossRef]
- Blum, H.; Beier, H.; Gross, H.J. Improved silver staining of plant proteins, RNA and DNA in polyacrylamide gels. Electrophoresis 1987, 8, 93–99. [Google Scholar] [CrossRef]
- Kazan, K.; Lyons, R. The link between flowering time and stress tolerance. J. Exp. Bot. 2016, 67, 47–60. [Google Scholar] [CrossRef]
- Hajiboland, R.; Keivanfar, N. Selenium supplementation stimulates vegetative and reproductive growth in canola (Brassica napus L.) plants. Acta Agri. Slov. 2012, 99, 13–19. [Google Scholar] [CrossRef]
- Szarka, V.; Jokai, Z.; El-Ramady, H.; Abdalla, N.; Kaszás, L.; Domokos-Szabolcsy, E.; El-Ramady, H. Biofortification of Stevia rebaudiana (Bert.) plant with selenium. Environ. Biodivers. Soil Secur. 2020, 4, 19–31. [Google Scholar]
- Steven, J.C.; Culver, A. The defensive benefit and flower number cost of selenium accumulation in Brassica juncea. AoB Plants 2019, 11, plz053. [Google Scholar] [CrossRef]
- Karimi, R.; Ghabooli, M.; Rahimi, J.; Amerian, M. Effects of foliar selenium application on some physiological and phytochemical parameters of Vitis vinifera L. cv. Sultana under salt stress. J. Plant Nutr. 2020, 43, 2226–2242. [Google Scholar] [CrossRef]
- Puccinelli, M.; Pezzarossa, B.; Rosellini, I.; Malorgio, F. Selenium Enrichment Enhances the Quality and Shelf Life of Basil Leaves. Plants 2020, 9, 801. [Google Scholar] [CrossRef] [PubMed]
- Luo, Y.; Wei, Y.; Sun, S.; Wang, Z.; Han, D.; Shao, H.; Jia, H.; Fu, Y.; Wang, J.; Wang, W.; et al. Selenium Modulates the Level of Auxin to Alleviate the Toxicity of Cadmium in Tobacco. Int. J. Mol. Sci. 2019, 20, 3772. [Google Scholar] [CrossRef] [PubMed]
- Saffaryazdi, A.; Lahouti, M.; Ganjeali, A.; Bayat, H. Impact of selenium supplementation on growth and selenium accumulation on spinach (Spinacia oleracea L.) plants. Not. Sci. Biol. 2012, 4, 95–100. [Google Scholar] [CrossRef]
- Sun, X.; Wang, Y.; Han, G.; Ye, S.; Zhou, X. Effects of different selenium forms on selenium accumulation, plant growth, and physiological parameters of wild peach. S. Afr. J. Bot. 2020, 131, 437–442. [Google Scholar] [CrossRef]
- Sabatino, L.; Ntatsi, G.; Iapichino, G.; D’Anna, F.; De Pasquale, C. Effect of Selenium Enrichment and Type of Application on Yield, Functional Quality and Mineral Composition of Curly Endive Grown in a Hydroponic System. Agronomy 2019, 9, 207. [Google Scholar] [CrossRef]
- Jia, H.; Song, Z.; Wu, F.; Ma, M.; Li, Y.; Han, D.; Yang, Y.; Zhang, S.; Cui, H. Low selenium increases the auxin concentration and enhances tolerance to low phosphorous stress in tobacco. Environ. Exp. Bot. 2018, 153, 127–134. [Google Scholar] [CrossRef]
- Poggi, V.; Arcioni, A.; Filippini, P.; Pifferi, P.G. Foliar application of selenite and selenate to potato (Solanum tuberosum): Effect of a ligand agent on selenium content of tubers. J. Agric. Food Chem. 2000, 48, 4749–4751. [Google Scholar] [CrossRef]
- Hawrylak-Nowak, B. Beneficial Effects of Exogenous Selenium in Cucumber Seedlings Subjected to Salt Stress. Biol. Trace Element Res. 2009, 132, 259–269. [Google Scholar] [CrossRef]
- Pezzarossa, B.; Remorini, D.; Gentile, M.L.; Massai, R. Effects of foliar and fruit addition of sodium selenate on selenium accumulation and fruit quality. J. Sci. Food Agric. 2011, 92, 781–786. [Google Scholar] [CrossRef]
- Slekovec, M.; Goessler, W. Accumulation of selenium in natural plants and selenium supplemented vegetable and selenium speciation by HPLC-ICPMS. Chem. Spec. Bioavailab. 2005, 17, 63–73. [Google Scholar] [CrossRef]
- Kápolna, E.; Hillestrøm, P.R.; Laursen, K.H.; Husted, S.; Loeschner, K. Effect of foliar application of selenium on its uptake and speciation in carrot. Food Chem. 2009, 115, 1353–1367. [Google Scholar] [CrossRef]
- Šindelářová, K.; Száková, J.; Tremlová, J.; Mestek, O.; Praus, L.; Kaňa, A.; Najmanová, J.; Tlustoš, P. The response of broccoli (Brassica oleracea convar. italica) varieties on foliar application of selenium: Uptake, translocation, and speciation. Food Add. Contam. Part A 2015, 32, 2027–2038. [Google Scholar]
- Drahonovský, J.; Száková, J.; Mestek, O.; Tremlová, J.; Kana, A.; Najmanová, J.; Lustoš, P. Selenium uptake, transformation and inter-element interactions by selected wildlife plant species after foliar selenate application. Environ. Exp. Bot. 2016, 125, 12–19. [Google Scholar] [CrossRef]
- Zhang, H.; Zhao, Z.; Zhang, X.; Zhang, W.; Huang, L.; Zhang, Z.; Yuan, L.; Liu, X. Effects of foliar application of selenate and selenite at different growth stages on Selenium accumulation and speciation in potato (Solanum tuberosum L.). Food Chem. 2019, 286, 550–556. [Google Scholar] [CrossRef]
- Wang, M.; Ali, F.; Wang, M.; Dinh, Q.T.; Zhou, F.; Bañuelos, G.S.; Liang, D. Understanding boosting selenium accumulation in Wheat (Triticum aestivum L.) following foliar selenium application at different stages, forms, and doses. Environ. Sci. Pollut. Res. 2020, 27, 717–728. [Google Scholar] [CrossRef]
- Shahverdi, M.A.; Omidi, H.; Tabatabaei, S.J. Plant growth and steviol glycosides as affected by foliar application of selenium, boron, and iron under NaCl stress in Stevia rebaudiana Bertoni. Ind. Crop. Prod. 2018, 125, 408–415. [Google Scholar] [CrossRef]
- Barbet-Massin, C.; Giuliano, S.; Alletto, L.; Daydé, J.; Berger, M. Nitrogen limitation alters biomass production but enhances steviol glycoside concentration in Stevia rebaudiana Bertoni. PLoS ONE 2015, 10, e0133067. [Google Scholar] [CrossRef]
- Hartikainen, H.; Xue, T. The Promotive Effect of Selenium on Plant Growth as Triggered by Ultraviolet Irradiation. J. Environ. Qual. 1999, 28, 1372–1375. [Google Scholar] [CrossRef]
- El-Ramady, H.R.; Abdalla, N.; Taha, H.S.; Alshaal, T.; Elhenawy, A.S.; Faizy, S.E.-D.A.; Shams, M.S.; Youssef, S.M.; Shalaby, T.; Bayoumi, Y.; et al. Selenium and nano-selenium in plant nutrition. Environ. Chem. Lett. 2015, 14, 123–147. [Google Scholar] [CrossRef]
- Mechora, Š.; Stibilj, V.; Kreft, I.; Germ, M. The Physiology and Biochemical Tolerance of Cabbage to Se (VI) Addition to the Soil and by Foliar Spraying. J. Plant Nutr. 2014, 37, 2157–2169. [Google Scholar] [CrossRef]
- Elsheery, N.I.; Sunoj, V.; Wen, Y.; Zhu, J.; Muralidharan, G.; Cao, K. Foliar application of nanoparticles mitigates the chilling effect on photosynthesis and photoprotection in sugarcane. Plant Physiol. Biochem. 2020, 149, 50–60. [Google Scholar] [CrossRef] [PubMed]
- Ulhassan, Z.; Gill, R.A.; Huang, H.; Ali, S.; Mwamba, T.M.; Ali, B.; Zhou, W. Selenium mitigates the chromium toxicity in Brassica napus L. by ameliorating nutrients uptake, amino acids metabolism and antioxidant defense system. Plant Physiol. Biochem. 2019, 145, 142–152. [Google Scholar] [CrossRef] [PubMed]
- Filek, M.; Sieprawska, A.; Kościelniak, J.; Oklestkova, J.; Jurczyk, B.; Telk, A.; Janeczko, A. The role of chloroplasts in the oxidative stress that is induced by zearalenone in wheat plants–The functions of 24-epibrassinolide and selenium in the protective mechanisms. Plant Physiol. Biochem. 2019, 137, 84–92. [Google Scholar] [CrossRef]
- Shahverdi, M.A.; Omidi, H.; Tabatabaei, S.J. Effect of nutri-priming on germination indices and physiological characteristics of stevia seedling under salinity stress. J. Seed Sci. 2017, 39, 353–362. [Google Scholar] [CrossRef]
- Gouveia, G.C.C.; Galindo, F.S.; Lanza, M.G.D.B.; Silva, A.C.D.R.; Mateus, M.P.D.B.; Da Silva, M.S.; Tavanti, R.F.R.; Tavanti, T.R.; Lavres, J.; Dos Reis, A.R. Selenium toxicity stress-induced phenotypical, biochemical and physiological responses in rice plants: Characterization of symptoms and plant metabolic adjustment. Ecotoxicol. Environ. Saf. 2020, 202, 110916. [Google Scholar] [CrossRef]
- Niu, J.; Liu, C.; Huang, M.; Liu, K.; Yan, D. Effects of Foliar Fertilization: A Review of Current Status and Future Perspectives. J. Soil Sci. Plant Nutr. 2020, 1-15, 1–15. [Google Scholar] [CrossRef]
- Zhang, M.; Tang, S.; Huang, X.; Zhang, F.; Pang, Y.; Huang, Q.; Yi, Q. Selenium uptake, dynamic changes in selenium content and its influence on photosynthesis and chlorophyll fluorescence in rice (Oryza sativa L.). Environ. Exp. Bot. 2014, 107, 39–45. [Google Scholar] [CrossRef]
- Lei, B.; Bian, Z.; Yang, Q.; Wang, J.; Chen, R.; Li, K.; Liu, W.; Zhang, Y.; Fang, H.; Tong, Y. The positive function of selenium supplementation on reducing nitrate accumulation in hydroponic lettuce (Lactuca sativa L.). J. Integr. Agric. 2018, 17, 837–846. [Google Scholar] [CrossRef]
- Silva, V.M.; Tavanti, R.F.R.; Gratão, P.L.; Alcock, T.D.; Dos Reis, A.R. Selenate and selenite affect photosynthetic pigments and ROS scavenging through distinct mechanisms in cowpea (Vigna unguiculata (L.) walp) plants. Ecotoxicol. Environ. Saf. 2020, 201, 110777. [Google Scholar] [CrossRef]
- Kaur, M.; Sharma, S. Influence of selenite and selenate on growth, leaf physiology and antioxidant defense system in wheat (Triticum aestivum L.). J. Sci. Food Agric. 2018, 98, 5700–5710. [Google Scholar] [CrossRef] [PubMed]
- Handa, N.; Kohli, S.K.; Sharma, A.; Thukral, A.K.; Bhardwaj, R.; Allah, E.F.A.; Alqarawi, A.A.; Ahmad, P. Selenium modulates dynamics of antioxidative defence expression, photosynthetic attributes and secondary metabolites to mitigate chromium toxicity in Brassica juncea L. plants. Environ. Exp. Bot. 2019, 161, 180–192. [Google Scholar] [CrossRef]
- Kramer, D.M.; Johnson, G.; Kiirats, O.; Edwards, G.E. New fluorescence parameters for the determination of Q A redox state and excitation energy fluxes. Photosynt. Res. 2004, 79, 209. [Google Scholar] [CrossRef] [PubMed]
- Murchie, E.H.; Lawson, T. Chlorophyll fluorescence analysis: A guide to good practice and understanding some new applications. J. Exp. Bot. 2013, 64, 3983–3998. [Google Scholar] [CrossRef]
- Li, H.; Liu, X.; Wassie, M.; Chen, L. Selenium supplementation alleviates cadmium-induced damages in tall fescue through modulating antioxidant system, photosynthesis efficiency, and gene expression. Environ. Sci. Pollut. Res. 2020, 27, 1–13. [Google Scholar] [CrossRef]
- Łabanowska, M.; Filek, M.; Koscielniak, J.; Kurdziel, M.; Kuliś, E.; Hartikainen, H. The effects of short-term selenium stress on Polish and Finnish wheat seedlings—EPR, enzymatic and fluorescence studies. J. Plant Physiol. 2012, 169, 275–284. [Google Scholar] [CrossRef]
- Moharramnejad, S.; Azam, A.T.; Panahandeh, J.; Dehghanian, Z.; Ashraf, M. Effect of methyl jasmonate and salicylic acid on in vitro growth, stevioside production, and oxidative defense system in Stevia rebaudiana. Sugar Tech. 2019, 21, 1031–1038. [Google Scholar] [CrossRef]
- Hartikainen, H.; Xue, T.; Piironen, V. Selenium as an anti-oxidant and pro-oxidant in ryegrass. Plant Soil 2000, 225, 193–200. [Google Scholar] [CrossRef]
- Xue, T.; Hartikainen, H.; Piironen, V. Antioxidative and growth-promoting effect of selenium on senescing lettuce. Plant Soil 2001, 237, 55–61. [Google Scholar] [CrossRef]
- Djanaguiraman, M.; Devi, D.D.; Shanker, A.K.; Sheeba, J.A.; Bangarusamy, U. Selenium—An antioxidative protectant in soybean during senescence. Plant Soil 2005, 272, 77–86. [Google Scholar] [CrossRef]
- Ramos, S.J.; Faquin, V.; Guilherme, L.R.G.; Castro, E.M.; Ávila, F.W.; Carvalho, G.S.; Bastos, C.E.A.; Oliveira, C. Selenium biofortification and antioxidant activity in lettuce plants fed with selenate and selenite. Plant Soil Environ. 2005, 56, 584–588. [Google Scholar] [CrossRef]
- Cartes, P.; Gianfreda, L.; Paredes, C.; Mora, M. Selenium uptake and its antioxidant role in ryegrass cultivars as affected by selenite seed pelletization. J. Soil Sci. Plant Nutr. 2011, 11, 1–14. [Google Scholar] [CrossRef]
- Jóźwiak, W.; Politycka, B. Effect of Selenium on Alleviating Oxidative Stress Caused by a Water Deficit in Cucumber Roots. Plants 2019, 8, 217. [Google Scholar] [CrossRef] [PubMed]
- Wu, M.; Cong, X.; Li, M.; Rao, S.; Liu, Y.; Guo, J.; Zhu, S.; Chen, S.; Xu, F.; Cheng, S.; et al. Effects of different exogenous selenium on Se accumulation, nutrition quality, elements uptake, and antioxidant response in the hyperaccumulation plant Cardamine violifolia. Ecotoxicol. Environ. Saf. 2020, 204, 111045. [Google Scholar] [CrossRef] [PubMed]
- Alves, L.R.; Prado, R.E.; de Oliveira, R.; Santos, E.F.; de Souza, L.I.; dos Reis, A.R.; Azevedo, R.A.; Gratão, L.P. Mechanisms of cadmium-stress avoidance by selenium in tomato plants. Ecotoxicology 2020, 29, 594–606. [Google Scholar] [CrossRef]
- Isoyan, A.S.; Simonyan, K.V.; Simonyan, R.M.; Babayan, M.A.; Chavushyan, V.; Simonyan, M.A.; Simonyan, G.M. Superoxide-producing lipoprotein fraction from Stevia leaves: Definition of specific activity. BMC Complement. Altern. Med. 2019, 19, 88. [Google Scholar] [CrossRef]
- Yun, B.-W.; Feechan, A.; Yin, M.; Saidi, N.B.B.; Le Bihan, T.; Yu, M.; Moore, J.W.; Kang, J.-G.; Kwon, E.; Spoel, S.H.; et al. S-nitrosylation of NADPH oxidase regulates cell death in plant immunity. Nat. Cell Biol. 2011, 478, 264–268. [Google Scholar] [CrossRef]
- Chaki, M.; Valderrama, R.; Fernández-Ocaña, A.M.; Carreras, A.; López-Jaramillo, J.; Luque, F.; Palma, J.M.; Pedrajas, J.R.; Begara-Morales, J.C.; Sánchez-Calvo, B.; et al. Protein targets of tyrosine nitration in sunflower (Helianthus annuus L.) hypocotyls. J. Exp. Bot. 2009, 60, 4221–4234. [Google Scholar] [CrossRef]
- Begara-Morales, J.C.; Sánchez-Calvo, B.; Chaki, M.; Valderrama, R.; Mata-Pérez, C.; López-Jaramillo, J.; Padilla, M.N.; Carreras, A.; Corpas, F.J.; Barroso, J.B. Dual regulation of cytosolic ascorbate peroxidase (APX) by tyrosine nitration andS-nitrosylation. J. Exp. Bot. 2014, 65, 527–538. [Google Scholar] [CrossRef]
- Chaki, M.; Álvarez de Morales, P.; Ruiz, C.; Begara-Morales, J.C.; Barroso, J.B.; Corpas, F.J.; Palma, J.M. Ripening of pepper (Capsicum annuum) fruit is characterized by an enhancement of protein tyrosine nitration. Ann. Bot. 2015, 116, 637–647. [Google Scholar] [CrossRef]







| Selenium; Concentration (mg/L) | Stevioside; Concentration (mg/g) | Rebaudioside A Concentration (mg/g) |
|---|---|---|
| 0 | 124.06 ± 1.05 | 29.22 ± 0.27 |
| 6 | 114.6 ± 2.82 | 24.16 ± 0.66 |
| 8 | 110.5 ± 1.10 | 26.24 ± 0.12 |
| 10 | 112.46 ± 3.20 | 27.2 ± 0.63 |
Publisher’s Note: MDPI stays neutral with regard to jurisdictional claims in published maps and institutional affiliations. |
© 2021 by the authors. Licensee MDPI, Basel, Switzerland. This article is an open access article distributed under the terms and conditions of the Creative Commons Attribution (CC BY) license (http://creativecommons.org/licenses/by/4.0/).
Share and Cite
Borbély, P.; Molnár, Á.; Valyon, E.; Ördög, A.; Horváth-Boros, K.; Csupor, D.; Fehér, A.; Kolbert, Z. The Effect of Foliar Selenium (Se) Treatment on Growth, Photosynthesis, and Oxidative-Nitrosative Signalling of Stevia rebaudiana Leaves. Antioxidants 2021, 10, 72. https://doi.org/10.3390/antiox10010072
Borbély P, Molnár Á, Valyon E, Ördög A, Horváth-Boros K, Csupor D, Fehér A, Kolbert Z. The Effect of Foliar Selenium (Se) Treatment on Growth, Photosynthesis, and Oxidative-Nitrosative Signalling of Stevia rebaudiana Leaves. Antioxidants. 2021; 10(1):72. https://doi.org/10.3390/antiox10010072
Chicago/Turabian StyleBorbély, Péter, Árpád Molnár, Emil Valyon, Attila Ördög, Klára Horváth-Boros, Dezső Csupor, Attila Fehér, and Zsuzsanna Kolbert. 2021. "The Effect of Foliar Selenium (Se) Treatment on Growth, Photosynthesis, and Oxidative-Nitrosative Signalling of Stevia rebaudiana Leaves" Antioxidants 10, no. 1: 72. https://doi.org/10.3390/antiox10010072
APA StyleBorbély, P., Molnár, Á., Valyon, E., Ördög, A., Horváth-Boros, K., Csupor, D., Fehér, A., & Kolbert, Z. (2021). The Effect of Foliar Selenium (Se) Treatment on Growth, Photosynthesis, and Oxidative-Nitrosative Signalling of Stevia rebaudiana Leaves. Antioxidants, 10(1), 72. https://doi.org/10.3390/antiox10010072

