Multilingualism and fMRI: Longitudinal Study of Second Language Acquisition
Abstract
:1. Introduction
1.1. Defining Human Language
1.2. Context of the Longitudinal Study
1.3. Fundamentals of the Common European Framework Proficiency Scale and Specifics of LfMRI SLAM
- A: Basic User
- A1 Breakthrough or beginner; A2 Waystage or elementary
- B: Independent User
- B1 Threshold or intermediate; B2 Vantage or upper intermediate
- C: Proficient User
- C1 Effective Operational Proficiency or advanced; C2 Mastery or proficiency
- L2/L3 proficiency of five subjects:
- French/C1, AP 5, SAT II-800, Italian/B1
- German/B2/C1, AP 5, IB HL-6, Arabic/B1
- French/A1, Italian/A1
- Spanish/A2
- Spanish/SAT II, AP 5
2. Background and Significance
2.1. Results from Previous Studies
2.2. Methodological Considerations
2.2.1. Research Questions: Hypotheses and Rationale
- (a)
- Is there a significant neurological variation in the organization of language-related areas in the brains of multilingual subjects who are equivalent in language facility and age of acquisition (pre-adolescent)? Previous research has suggested that “early” bilingual or multilingual acquisition is represented differently in the brain than “late” second or third language acquisition ([31,37,38,39,40,41,42,43,44,45,46,47,48,49,50,51,52,69]). These studies have produced results that are not consistent and inconclusive. The data collected from longitudinal studies of multilingualism will be an important contribution to solving this controversy and providing a more dynamic and empirically-valid view of neurological representations of language(s) in the human brain.
- (b)
- What types of changes will occur within a single subject during periods of language acquisition and maintenance over a period of one, two or more years?
- (c)
- How can fMRI facilitate an understanding of how (not merely where) language is acquired and maintained neurologically?
- (d)
- How well do the behavioral and imaging data map onto each other?
- (e)
- (f)
- Some research has suggested that there is a difference in language-related areas in the brains of multilinguals depending on age of acquisition ([69,70]). We will address the definition of age as a variable using de Bot ([1,20]) and will compare subjects in our study who have used two or more languages across different age spans and in different contexts to test for support or lack therein for such a claim. We hypothesize that proficiency may be a more important variable than biological age.
2.2.2. Method, Design and Procedures
2.2.2.1. Procedure
2.2.2.2. Imaging Parameters
2.2.2.3. Stimuli and Presentation Parameters
- (1)
- Digitized auditory segments: Four languages (Russian, English, Spanish, and Georgian) played through headphones in 30-s blocks with two alternating languages in each run. (Students wear headphones in the scanner. The sound quality is good enough to be heard over the scanner noise. We ensure that this is the case with testing of the stimuli before scanning and through post-scan interviews with subjects). In the scanning sessions with the reading task included, the auditory segments included three languages (Russian, English, Spanish).
- (2)
- The subjects are told in advance only that they will be hearing samples of different languages. The voices for each language will be different (including male and female voices at an indeterminable age [i.e., no child or elderly voices will be used]) but with native pronunciation.
- (3)
- The speakers recorded in the digital sound files were unknown to the subjects participating in the study. In the longitudinal study, subjects hear the same protocol across scans. However, any habituation effects are unlikely, given the large time frames between sessions. Using the same stimulus files at each visit is important for the purposes of this study so that we can be certain none of the activations observed are due to differences in the content of the stimulus.
- (4)
- Participants were not excluded based on handedness, although all subjects in the longitudinal study were right-handed.
- (5)
- This section of the functional scan involved only auditory comprehension. Reading comprehension, which was added during the first year to the protocol, was given at the end of the scan.
- (6)
- Each 30-s audio stimulus consists of unique utterances—no repetitions of content between or among languages.
- (7)
- There is a 10 s rest period following each audio segment.
- (8)
- A series of questions was administered immediately after the fMRI session, including the following list:
- ▪
- Did you understand all of the utterances in the languages in which you are proficient?
- ▪
- Did you understand any of the utterances in the 3rd and/or 4th languages? If so, approximate how often—less than 50%, more than 50%, etc.
- ▪
- Is there anything that occurred during the imaging session that may have interfered with the listening comprehension process?
- ▪
- All subjects answer a set of written questions for the auditory comprehension section and for the reading section. The experimental protocol is still in use and we do not want to bias future responses. Some samples, however, are given below.
- Do the students get help with reading? With speaking?
- Does the family like animals? What kind of apartment did they live in?
- What helps children deal with their emotions?
- What was the dog’s name?
- (9)
- Finally, as part of the debriefing, the participants will be interviewed on the general content of what they heard and read and asked to provide information on their thoughts and sensations during the scanning process.
2.2.3. Language Proficiency Testing
2.3. Subject Information
| 2011 | 2012 | ||||||||
|---|---|---|---|---|---|---|---|---|---|
| Apr–Aug | Sep | Oct | Nov | Dec | Jan | Feb | Mar | Apr | |
| Course Work | Intensive First Year | Intensive Second Year | |||||||
| Scan | Scan 1 | Scan 2 | Scan 3 | ||||||
| Test | A2 | B1 (a) | B1 (b) | ||||||
- Sept–Dec, 2011: Six contact hours per week for 13 weeks (at Duke); 20 contact hours per week for three weeks (at SPSU)
- Jan–April, 2012: 16 weeks: six contact hours per week (at Duke)
- May–June, 2012: Seven weeks, 120 contact hours total (at SPSU)
3. Analysis of fMRI Data
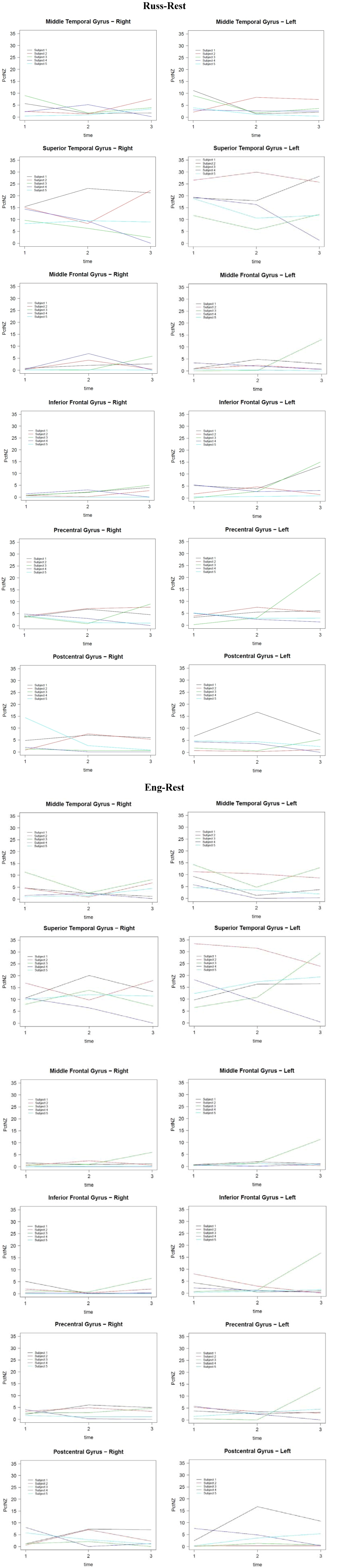
- English-rest: Drop in number of regions of activation and mean level of activations across regions from first through third scan.
- Russian-rest: Increase in number of regions of activation and mean level of activations from first through third scan; in some cases, individual regions of interest show a steady increase across scans, while in others, there is a slight drop between scans 2 and 3.
3.1. Regions of Interest
- Left and right Medial Temporal Gyrus (MTG) BA 21
- l/r Superior Temporal Gyrus (STG) BA 22
- l/r Middle Frontal Gyrus (MFG) BA 46
- l/r Inferior Frontal Gyrus (IFG) BA 44, 45, 47
- l/r Postcentral Gyrus (PoG) BA 3, 1, 2
- l/r Precentral Gyrus (PrG) BA four posteriorly, six anteriorly
3.2. Longitudinal Comparisons across English and Russian Conditions across Subjects


3.3. MANCOVA Analysis
3.3.1. Primary Results of the Analysis
3.3.2. Secondary Results of the Analysis
- The time effect is significant for Russian-rest; average activation levels change across the different sets of measurements.
- The time effect is not significant for English-rest; average activation levels do not change across the different sets.
- There is a significant hemisphere effect.
- The Middle Occipital Gyrus, used as an internal statistical standard, shows a lack of effect as expected.
- Different regions show variation in activation patterns.
4. Towards an Explanation of Bilaterality of Language
5. Discussion
6. Conclusions and Future Directions
Acknowledgments
References
- De Bot, K. Review article: The imaging of what in the multilingual mind? Second Lang. Res. 2008, 24, 111–133. [Google Scholar] [CrossRef]
- Breiner-Sanders, K.E.; Swender, E.; Terry, R.M. ACTFL Proficiency Guidelines 2012—Speaking. 2012. Available online: http://www.actfl.org/sites/default/files/pdfs/public/ACTFLProficiencyGuidelines2012_FINAL.pdf (accessed on 22 May 2013).
- North, B. The Development of a Common Framework Scale of Language Proficiency; P. Lang: New York, NY, USA, 2000. [Google Scholar]
- Dowling, J.E. The Great Brain Debate: Nature or Nurture; Joseph Henry Press: Washington, DC, USA, 2004. [Google Scholar]
- Andrews, E. Language and brain: Recasting meaning in the definition of human language. Semiotica 2001, 184, 11–32. [Google Scholar]
- Ojemann, G.A. Individual variability in cortical localization of language. Brain Lang. 1979, 6, 239–260. [Google Scholar]
- Ojemann, G.A. Functional mapping of cortical language areas in adults. Intraoperative approaches. Adv. Neurol. 1993, 63, 155–163. [Google Scholar]
- Corina, D.P.; Gibson, E.K.; Martin, R.; Poliakov, A.; Brinkley, J.; Ojemann, G.A. Dissociation of action and object naming: Evidence from cortical stimulation mapping. Hum. Brain Mapp. 2005, 24, 1–10. [Google Scholar] [CrossRef]
- Corina, D.P.; Loudermilk, B.C.; Detwiler, L.; Martin, R.F.; Brinkley, J.F.; Ojemann, G. Analysis of naming errors during cortical stimulation mapping: Implications for models of language representation. Brain Lang. 2010, 115, 101–112. [Google Scholar] [CrossRef]
- Fabbro, F. The Neurolinguistics of Bilingualism: An Introduction; Psychology Press: Hove, UK, 1999. [Google Scholar]
- Poeppel, D.; Hickok, G. Towards a new functional anatomy of language. Cognition 2004, 92, 1–12. [Google Scholar] [CrossRef]
- Luo, H.; Poeppel, D. Phase Patterns of Neuronal Responses Reliably Discriminate Speech in Human Auditory Cortex. Neuron 2007, 54, 1001–1010. [Google Scholar] [CrossRef]
- Paradis, M. A Neurolinguistic Theory of Bilingualism; J. Benjamins: Amsterdam, The Netherland, 2004. [Google Scholar]
- Price, C.J. The anatomy of language: A review of 100 fMRI studies published in 2009. Ann. N. Y. Acad. Sci. 2010, 1191, 62–88. [Google Scholar]
- Stowe, L.A.; Haverkort, M.; Zwarts, F. Rethinking the neurological basis of language. Lingua 2005, 115, 997. [Google Scholar]
- Bookheimer, S. Functional MRI of language: New approaches to understanding the cortical organization of semantic processing. Ann. Rev. Neurosci. 2002, 25, 151–188. [Google Scholar]
- Binder, J.R.; Desai, R.H.; Graves, W.W.; Conant, L.L. Where Is the Semantic System? A Critical Review and Meta-Analysis of 120 Functional Neuroimaging Studies. Cereb. Cortex 2009, 19, 2767–2796. [Google Scholar]
- Cabeza, R.; Nyberg, L. Imaging Cognition II: An Empirical Review of 275 PET and fMRI Studies. J. Cogn. Neurosci. 2000, 12, 1–47. [Google Scholar]
- Dew, I.T.; Cabeza, R. The porous boundaries between explicit and implicit memory: behavioral and neural evidence. Ann. N. Y. Acad. Sci. 2011, 1224, 174–190. [Google Scholar]
- De Bot, K. Multilingualism and Aging. In The New Handbook of Second Language Acquisition; Bhatia, T.K., Ritchie, W.C., Eds.; Emerald Group Publishing: Bingley, UK, 2009; pp. 425–442. [Google Scholar]
- Bialystok, E. Bilingualism. WIREs Cogn. Sci. 2010, 1, 559–572. [Google Scholar]
- Bialystok, E. Coordination of executive functions in monolingual and bilingual children. J. Exp. Child Psychol. 2011, 110, 461–468. [Google Scholar] [CrossRef]
- Bialystok, E.; Craik, F.I.M. Cognitive and linguistic processing in the bilingual mind. Curr. Dir. Psychol. Sci. 2010, 19, 19–23. [Google Scholar] [CrossRef]
- Bialystok, E.; Barac, R. Emerging bilingualism: Dissociating advantages for metalinguistic awareness and executive control. Cognition 2012, 122, 67–73. [Google Scholar] [CrossRef]
- Abutalebi, J.; Tettamanti, M.; Perani, D. The bilingual brain: Linguistic and non-linguistic skills. Brain Lang. 2009, 109, 51–54. [Google Scholar] [CrossRef]
- Kotz, S.A. A critical review of ERP and fMRI evidence on L2 syntactic processing. Brain Lang. 2009, 109, 68–74. [Google Scholar] [CrossRef]
- Binder, J.R.; Frost, J.A.; Hammeke, T.A.; Cox, R.W.; Rao, S.M.; Prieto, T. Human Brain Language Areas Identified by Functional Magnetic Resonance Imaging. J. Neurosci. 1997, 17, 353. [Google Scholar]
- Brint, S.U.; Hier, D.B.; Sychra, J.; Pavel, D.; Yoon, W.B.; Martin, E.; Charbel, F. Bilateral language representation demonstrated by language-activated SPECT and Wada test. Neurol. Res. 1996, 18, 209–211. [Google Scholar]
- Caplan, D.; Alpert, N.; Waters, G. PET studies of syntactic processing with auditory sentence presentation. Neuroimage 1999, 9, 343–351. [Google Scholar] [CrossRef]
- Chee, M.W.; Tan, E.W.; Thiel, T. Mandarin and English single word processing studied with functional magnetic resonance imaging. J. Neurosci. 1999, 19, 3050–3056. [Google Scholar]
- Dehaene, S.; Dupoux, E.; Mehler, J.; Cohen, L.; Paulesu, E.; Perani, D.; van de Moortele, P.F.; Lehéricy, S.; Le Bihan, D. Anatomical variability in the cortical representation of first and second language. Neuroreport 1997, 8, 3809–3815. [Google Scholar] [CrossRef]
- Démonet, J.F.; Price, C.; Wise, R.; Frackowiak, R.S. Differential activation of right and left posterior sylvian regions by semantic and phonological tasks: A positron-emission tomography study in normal human subjects. Neurosci. Lett. 1994, 182, 25–28. [Google Scholar]
- Démonet, J.F.; Chollet, F.; Ramsay, S.; Cardebat, D.; Nespoulous, J.L.; Wise, R.; Rascol, A.; Frackowiak, R. The anatomy of phonological and semantic processing in normal subjects. Brain 1992, 115, 1753–1768. [Google Scholar]
- Horwitz, B.; Drag, T.W.; Tagamets, M.-A. The neurobiological substrate of PET-fMRI functional connectivity. Neuroimage 1999, 9, 6. [Google Scholar]
- Jueptner, M.; Weiller, C. Review: Does Measurement of Regional Cerebral Blood Flow Reflect Synaptic Activity?—Implications for PET and fMRI. Neuroimage 1995, 2, 148–156. [Google Scholar] [CrossRef]
- Karbe, H.; Wurker, M.; Herholz, K.; Ghaemi, M.; Pietrzyk, U.; Kessler, J.; Heiss, W.-D. Planum Temporale and Brodmann’s Area 22: Magnetic Resonance Imaging and High-Resolution Positron Emission Tomography Demonstrate Functional Left-Right Asymmetry. Arch. Neurol. 1995, 52, 869–874. [Google Scholar]
- Kim, K.H.; Relkin, N.R.; Lee, K.M.; Hirsch, J. Distinct cortical areas associated with native and second languages. Nature 1997, 388, 171–174. [Google Scholar] [CrossRef]
- Klein, D.; Milner, B.; Zatorre, R.J.; Meyer, E.; Evans, A.C. The neural substrates underlying word generation: A bilingual functional-imaging study. Proc. Natl. Acad. Sci. USA 1995, 92, 2899–2903. [Google Scholar]
- Neville, H.; Nicol, J.L.; Barss, A.; Forster, K.I.; Garrett, M.F. Syntactically Based Sentence Processing Classes: Evidence from Event-Related Brain Potentials. J. Cogn. Neurosci. 1998, 3, 151–165. [Google Scholar]
- Perani, D.; Dehaene, S.; Grassi, F.; Cohen, L.; Cappa, S.F.; Dupoux, E.; Fazio, F.; Mehler, J. Brain processing of native and foreign languages. Neuroreport 1996, 7, 2439–2444. [Google Scholar] [CrossRef]
- Price, C.J. The anatomy of language: contributions from functional neuroimaging. J. Anat. 2000, 197, 335–359. [Google Scholar]
- Hernandez, A.E. Language switching in the bilingual brain: What’s next? Brain Lang. 2009, 109, 133–140. [Google Scholar] [CrossRef]
- Jennings, J.M.; McIntosh, A.R.; Kapur, S.; Tulving, E.; Houle, S. Cognitive subtractions may not add up: The interaction between semantic processing and response mode. Neuroimage 1997, 5, 229–239. [Google Scholar]
- Schlosser, M.J.; Aoyagi, N.; Fulbright, R.K.; Gore, J.C.; McCarthy, G. Functional MRI studies of auditory comprehension. Hum. Brain Mapp. 1998, 6, 1–13. [Google Scholar] [CrossRef]
- Yetkin, O.; Zerrin, Y.F.; Haughton, V.M.; Cox, R.W. Use of functional MR to map language in multilingual volunteers. Am. J. Neuroradiol. 1996, 17, 473–477. [Google Scholar]
- Bavelier, D.; Corina, D.; Jezzard, P.; Padmanabhan, S.; Clark, V.P.; Karni, A.; Prinster, A.; Neville, H. Sentence Reading: A Functional MRI Study at 4 Tesla. J. Cogn.Neurosci. 1997, 9, 664–686. [Google Scholar] [CrossRef]
- Meyer, M. Auditory Sentence Comprehension: Different BOLD Patterns Modulated by Task Demands as Revealed by a Single-Trial fMRI-Study. Neuroimage 1998, 7, 4. [Google Scholar]
- Albert, M.L.; Obler, L.K. The Bilingual Brain: Neuropsychological and Neurolinguistic Aspects of Bilingualism; Academic Press: New York, NY, USA, 1978. [Google Scholar]
- Altarriba, J. The Representation of Translation Equivalents in Bilingual Memory. In Cognitive Processing in Bilinguals; Harris, R.J., Ed.; Elsevier: Amsterdam, The Netherland, 1992; pp. 157–174. [Google Scholar]
- Altarriba, J.; Mathis, K.M. Conceptual and Lexical Development in Second Language Acquisition. J. Mem. Lang. 1997, 36, 550–568. [Google Scholar] [CrossRef]
- Klein, D.; Zatorre, R.J.; Milner, B.; Meyer, E.; Evans, A.C. Left putaminal activation when speaking a second language: Evidence from PET. Neuroreport 1994, 5, 2295–2297. [Google Scholar] [CrossRef]
- Schwartz, M.S. Ictal language shift in a polyglot. J. Neurol. Neurosurg. Psychiatry 1994, 57, 121. [Google Scholar] [CrossRef]
- Zatorre, R.J. On the representation of multiple languages in the brain: Old problems and new directions. Brain Lang. 1989, 36, 127–147. [Google Scholar] [CrossRef]
- Buckner, R.L.; Raichle, M.E.; Petersen, S.E. Dissociation of Human Prefrontal Cortical Areas across Different Speech Production Tasks and Gender Groups. J. Neurophysiol. 1995, 74, 2163–2173. [Google Scholar]
- Cuenod, C.A.; Bookheimer, S.Y.; Hertz-Pannier, L.; Zeffiro, T.A.; Theodore, W.H.; Le, B.D. Functional MRI during word generation, using conventional equipment: A potential tool for language localization in the clinical environment. Neurology 1995, 45, 1821–1827. [Google Scholar] [CrossRef]
- Fiez, J.A.; Raichle, M.E.; Balota, D.A.; Tallal, P.; Petersen, S.E. PET activation of posterior temporal regions during auditory word presentation and verb generation. Cereb. Cortex 1996, 6, 1–10. [Google Scholar] [CrossRef]
- Herholz, K.; Thiel, A.; Wienhard, K.; Pietrzyk, U.; von Stockhausen, H.M.; Karbe, H.; Kessler, J.; Bruckbauer, T.; Halber, M.; Heiss, W.D. Individual functional anatomy of verb generation. Neuroimage 1996, 3, 185–194. [Google Scholar] [CrossRef]
- Hinke, R.M.; Hu, X.; Stillman, A.E.; Kim, S.-G.; Merkle, H.; Salmi, R.; Ugurbil, K. Functional magnetic resonance imaging of Broca’s area during internal speech. Neuroreport 1993, 4, 675–678. [Google Scholar] [CrossRef]
- McCarthy, G.; Blamire, A.M.; Rothman, D.L.; Gruetter, R.; Shulman, R.G. Echo-planar magnetic resonance imaging studies of frontal cortex activation during word generation in humans. Proc. Natl. Acad. Sci. USA 1993, 90, 4952–4956. [Google Scholar]
- Yetkin, F.Z.; Hammeke, T.A.; Swanson, S.J.; Morris, G.L.; Mueller, W.M.; McAuliffe, T.L.; Haughton, V.M. A comparison of functional MR activation patterns during silent and audible language tasks. Am. J. Neuroradiol. 1995, 16, 1087–1092. [Google Scholar]
- Booth, J.R.; MacWhinney, B.; Thulborn, K.R.; Sacco, K.; Voyvodic, J.T.; Feldman, H.M. Developmental and Lesion Effects in Brain Activation During Sentence Comprehension and Mental Rotation. Dev. Neuropsychol. 2000, 18, 139–169. [Google Scholar] [CrossRef]
- Friederici, A.D.; Meyer, M.; von Cramon, D.Y. Auditory language processing: Brain images evoked by syntax, semantics and phonology. J. Cogn. Neurosci. 2013, in press. [Google Scholar]
- Garnsey, S.M.; Pearlmutter, N.P.; Myers, E.; Lotocky, M. The Contributions of Verb Bias and Plausibility to the Comprehension of Temporarily Ambiguous Sentences. J. Mem. Lang. 1997, 37, 58–93. [Google Scholar] [CrossRef]
- Olson, R.; Forsberg, H.; Wise, B.; Rack, J. Measurement of Word Recognition, Orthographic and Phonological Skills. In Frames of Reference for the Assessment of Learning Disabilities; Lyon, G.R., Ed.; Brookes: Baltimore, MD, USA, 1994; pp. 243–277. [Google Scholar]
- Paulesu, E.; Frith, C.D.; Frackowiak, R.S.J. The neural correlates of the verbal component of working memory. Nature 1993, 362, 342–345. [Google Scholar] [CrossRef]
- Petersen, S.E.; Fox, F.T.; Posner, M.I.; Mintun, M.; Raichle, M.E. Positron emission tomographic studies of the processing of single words. J. Cogn. Neurosci. 1989, 1, 153–170. [Google Scholar] [CrossRef]
- Petersen, S.E.; Fox, P.T.; Snyder, A.Z.; Raichle, M.E. Activation of extrastriate and frontal cortical areas by visual words and word-like stimuli. Science 1990, 249, 1041–1044. [Google Scholar]
- Wise, R.; Chollet, F.; Hadar, U.; Friston, K.; Hoffner, E.; Frackowiak, R. Distribution of cortical neural networks involved in word comprehension and word retrieval. Brain 1991, 114, 1803–1817. [Google Scholar] [CrossRef]
- Perani, D.; Paulesu, E.; Galles, N.S.; Dupoux, E.; Dehaene, S.; Bettinardi, V.; Cappa, S.F.; Mehler, J. The bilingual brain. Proficiency and age of acquisition of the second language. Brain 1998, 121, 1841–1852. [Google Scholar] [CrossRef]
- Isurin, L. Deserted island or a child’s first language loss. Biling. Lang. Cogn. 2000, 3, 151–166. [Google Scholar] [CrossRef]
- Voyvodic, J. Real-Time fMRI Paradigm Control, Physiology, and Behavior Combined with Near Real-Time Statistical Analysis. Neuroimage 1999, 10, 91–106. [Google Scholar] [CrossRef]
- Smith, S.M.; Jenkinson, M.; Woolrich, M.W.; Beckmann, C.F.; Behrens, T.E.; Johansen-Berg, H.; Bannister, P.R.; De Luca, M.; Drobnjak, I.; Flitney, D.E.; et al. Advances in functional and structural MR image analysis and implementation as FSL. NeuroImage 2004, 23 (Suppl. 1), S208–S219. [Google Scholar] [CrossRef]
- Dale, R. Content Determination in Natural Language Processing. In Knowing What to Write: Cognitive Perspectives on Conceptual Processes in Text Production; Torrance, M., Galbraith, D., Eds.; Amsterdam University Press: Amsterdam, The Netherland, 1999. [Google Scholar]
- Voyvodic, J.T. Activation mapping as a percentage of local excitation: fMRI stability within scans, between scans and across field strengths. Magn. Reson. Imaging 2006, 24, 1249–1261. [Google Scholar] [CrossRef]
- Voyvodic, J.T.; Petrella, J.R.; Friedman, A.H. fMRI activation mapping as a percentage of local excitation: Consistent presurgical motor maps without threshold adjustment. Magn. Reson. Imaging 2009, 29, 751–759. [Google Scholar] [CrossRef]
- Maldjian, J.A.; Laurienti, P.J.; Kraft, R.A.; Burdette, J.H. An automated method for neuroanatomic and cytoarchitectonic atlas-based interrogation of fMRI data sets. Neuroimage 2003, 19, 1233–1239. [Google Scholar] [CrossRef]
- Tzourio-Mazoyer, N.; Landeau, B.; Papathanassiou, D.; Crivello, F.; Etard, O.; Delcroix, N.; Mazoyer, B.; Joliot, M. Automated Anatomical Labeling of Activations in SPM Using a Macroscopic Anatomical Parcellation of the MNI MRI Single-Subject Brain. Neuroimage 2002, 15, 273–289. [Google Scholar] [CrossRef]
- Morrison, D.F. Multivariate Statistical Methods; McGraw Hill: New York, NY, USA, 1990. [Google Scholar]
- Hickok, G.; Poeppel, D. Dorsal and ventral streams: a framework for understanding aspects of the functional anatomy of language. Cognition 2004, 92, 67–99. [Google Scholar] [CrossRef]
- Paradis, M. The bilingual Loch Ness Monster raises its non-asymmetric head again-or, why bother with such cumbersome notions as validity and reliability? Comments on Evans et al. (2000). Brain Lang. 2003, 87, 441–448. [Google Scholar] [CrossRef]
- Poeppel, D. A Critical Review of PET Studies of Phonological Processing. Brain Lang. 1996, 55, 317–351. [Google Scholar] [CrossRef]
- Stowe, L.A. When Does the Neurological Basis of First and Second Language Processing Differ? Commentary on Indefrey. Lang. Learn. 2006, 56, 305–311. [Google Scholar] [CrossRef]
© 2013 by the authors; licensee MDPI, Basel, Switzerland. This article is an open access article distributed under the terms and conditions of the Creative Commons Attribution license (http://creativecommons.org/licenses/by/3.0/).
Share and Cite
Andrews, E.; Frigau, L.; Voyvodic-Casabo, C.; Voyvodic, J.; Wright, J. Multilingualism and fMRI: Longitudinal Study of Second Language Acquisition. Brain Sci. 2013, 3, 849-876. https://doi.org/10.3390/brainsci3020849
Andrews E, Frigau L, Voyvodic-Casabo C, Voyvodic J, Wright J. Multilingualism and fMRI: Longitudinal Study of Second Language Acquisition. Brain Sciences. 2013; 3(2):849-876. https://doi.org/10.3390/brainsci3020849
Chicago/Turabian StyleAndrews, Edna, Luca Frigau, Clara Voyvodic-Casabo, James Voyvodic, and John Wright. 2013. "Multilingualism and fMRI: Longitudinal Study of Second Language Acquisition" Brain Sciences 3, no. 2: 849-876. https://doi.org/10.3390/brainsci3020849
APA StyleAndrews, E., Frigau, L., Voyvodic-Casabo, C., Voyvodic, J., & Wright, J. (2013). Multilingualism and fMRI: Longitudinal Study of Second Language Acquisition. Brain Sciences, 3(2), 849-876. https://doi.org/10.3390/brainsci3020849
