Bidirectional Association between Sarcopenia and Depressive Symptoms among Chinese Middle- and Older-Aged Adults: Longitudinal Observational Study
Abstract
1. Introduction
2. Methods
2.1. Study Population
2.2. Assessment of Sarcopenia
2.3. Depressive Symptoms Ascertainment
2.4. Covariates
2.5. Statistical Analysis
3. Results
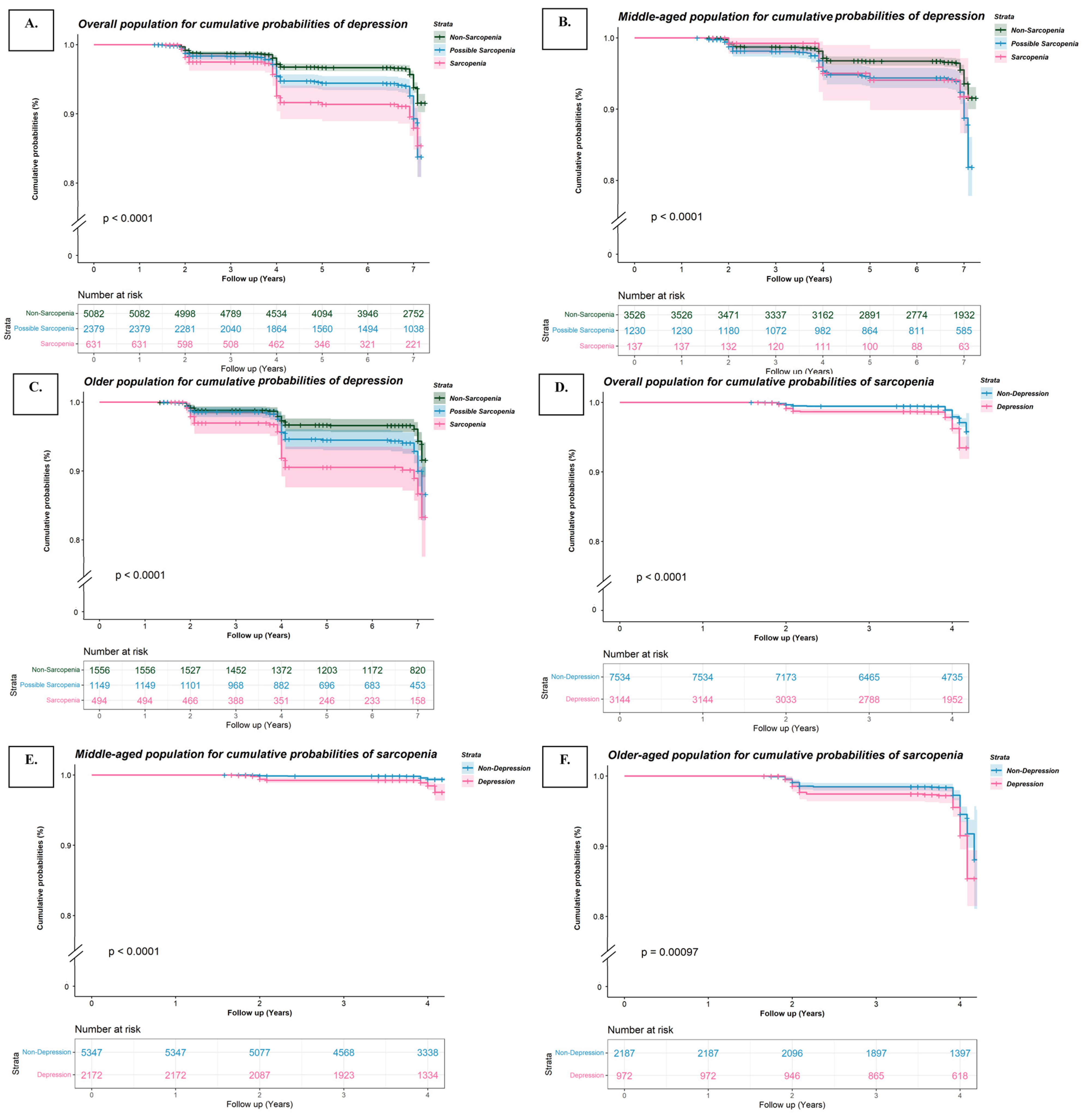
3.1. Prospective Effect of Sarcopenia Status on the Onset of Depressive Symptoms
3.2. Prospective Relationship between Depressive Symptoms and Sarcopenia
3.3. Subgroup Analysis
3.4. Sensitivity Analysis
3.5. Bidirectional Association of Depressive Symptoms and Sarcopenia
4. Discussion
5. Conclusions
Author Contributions
Funding
Institutional Review Board Statement
Informed Consent Statement
Data Availability Statement
Acknowledgments
Conflicts of Interest
Appendix A


| Cohort 1: Depressive Symptoms Cohort | Cohort 2: Sarcopenia Cohort | ||
|---|---|---|---|
| Inclusion Criteria | Exclusion Criteria | Inclusion Criteria | Exclusion Criteria |
| Individuals aged 45 years or older in 2011 | Missing data on all depressive symptoms in 2013, 2015, or 2018 | Individuals aged 45 years or older in 2011 | Absence of data pertaining to all components associated with sarcopenia in the years 2013, 2015, or 2018 |
| Possessing baseline data concerning both sarcopenia status | Absence of data pertaining to all demographic variables and covariates | Individuals who had baseline data on the assessment of depressive symptoms in 2011, either through participation in the CES-D-10 evaluation or by reporting a diagnosis of mood disorders by doctors or taking medication for mood disorders. | Participants who had sarcopenia at baseline |
| Individuals who neither received a diagnosis of mood disorders from doctors nor took any medication to treat emotional, nervous, or mental problems, and those with CES-D-10 scores ≤ 10 at baseline | Lack of information concerning demographic variables and covariates | ||
| Variables | Total (N = 8092) | Non-Sarcopenia (N = 5082) | Possible Sarcopenia (N = 2379) | Sarcopenia (N = 631) | p-Value |
|---|---|---|---|---|---|
| Co-morbidities | |||||
| Cancer | 49 (0.61) | 27 (0.53) | 18 (0.76) | 4 (0.63) | 0.5017 |
| Chronic lung disease | 621 (7.68) | 317 (6.24) | 212 (8.92) | 92 (14.58) | <0.001 |
| Heart disease | 756 (9.34) | 402 (7.91) | 302 (12.7) | 52 (8.24) | <0.001 |
| Stroke | 131 (1.62) | 55 (1.08) | 65 (2.73) | 11 (1.74) | <0.001 |
| Arthritis | 2088 (25.81) | 1203 (23.67) | 727 (30.57) | 158 (25.04) | <0.001 |
| Dyslipidaemia | 663 (8.21) | 413 (8.13) | 236 (9.96) | 14 (2.22) | <0.001 |
| Hepatic disease | 190 (2.35) | 112 (2.21) | 65 (2.74) | 13 (2.06) | 0.3275 |
| Kidney disease | 303 (3.75) | 181 (3.56) | 100 (4.21) | 22 (3.49) | 0.3689 |
| Digestive system disease | 1340 (16.56) | 828 (16.3) | 389 (16.36) | 123 (19.49) | 0.1192 |
| Asthma | 520 (6.45) | 260 (5.14) | 185 (7.8) | 75 (11.94) | <0.001 |
| Memory-related disease | 43 (0.53) | 12 (0.24) | 26 (1.1) | 5 (0.8) | <0.001 |
| Hypertension | 1929 (23.85) | 1056 (20.79) | 764 (32.13) | 109 (17.27) | <0.001 |
| Diabetes | 504 (6.23) | 295 (5.81) | 195 (8.2) | 14 (2.22) | <0.001 |
| Variables | Total (N = 11,292) | Non-Depression (N = 8015) | Depression (N = 3277) | p-Value |
|---|---|---|---|---|
| Co-morbidities | ||||
| Cancer | 90 (0.8) | 60 (0.76) | 30 (0.92) | 0.3818 |
| Chronic lung disease | 920 (8.23) | 529 (6.68) | 391 (11.99) | <0.001 |
| Heart disease | 1138 (10.18) | 700 (8.84) | 438 (13.45) | <0.001 |
| Stroke | 191 (1.71) | 108 (1.36) | 83 (2.55) | <0.001 |
| Arthritis | 3170 (28.33) | 1829 (23.07) | 1341 (41.11) | <0.001 |
| Dyslipidemia | 1055 (9.45) | 745 (9.41) | 310 (9.54) | 0.8354 |
| Hepatic disease | 346 (3.1) | 202 (2.55) | 144 (4.42) | <0.001 |
| Kidney disease | 537 (4.8) | 300 (3.79) | 237 (7.28) | <0.001 |
| Digestive system disease | 2280 (20.38) | 1321 (16.66) | 959 (29.41) | <0.001 |
| Asthma | 743 (7.92) | 385 (5.92) | 358 (12.45) | <0.001 |
| Memory-related disease | 55 (0.49) | 30 (0.38) | 25 (0.77) | 0.0073 |
| Hypertension | 2570 (22.98) | 1788 (22.56) | 782 (24.02) | 0.0952 |
| Diabetes | 791 (7.17) | 532 (6.81) | 259 (8.05) | 0.0224 |
| Sarcopenia Status | Incident Depression | Participants | HR (95%CI) | p Value | p for Trend |
|---|---|---|---|---|---|
| Overall population | |||||
| Sensitivity analysis 1: excluding depression participants diagnosed within 2 years after baseline (N = 7352) | <0.001 | ||||
| Sarcopenia | 45 | 542 | 1.7 (1.2–2.5) | 0.0021 | |
| Possible sarcopenia | 155 | 1949 | 1.5 (1.3–1.9) | <0.001 | |
| Non-Sarcopenia | 226 | 4861 | reference | ||
| Sensitivity analysis 2: competing risk model (N = 7803, No. of competing events = 110) | |||||
| Sarcopenia | 56 | 629 | 1.7 (1.3–1.8) | 0.0007 | <0.001 |
| Possible sarcopenia | 179 | 2122 | 1.5 (1.2–1.8) | <0.001 | |
| Non-Sarcopenia | 264 | 5052 | reference |
References
- Cruz-Jentoft, A.J.; Sayer, A.A. Sarcopenia. Lancet 2019, 393, 2636–2646. [Google Scholar] [CrossRef] [PubMed]
- Alexopoulos, G.S. Depression in the elderly. Lancet 2005, 365, 1961–1970. [Google Scholar] [CrossRef] [PubMed]
- Malhi, G.S.; Mann, J.J. Depression. Lancet 2018, 392, 2299–2312. [Google Scholar] [CrossRef] [PubMed]
- Zhu, C.; Zhang, T.; Li, Q.; Chen, X.; Wang, K. Depression and Anxiety During the COVID-19 Pandemic: Epidemiology, Mechanism, and Treatment. Neurosci. Bull. 2023, 39, 675–684. [Google Scholar] [CrossRef] [PubMed]
- Kessler, R.C.; Bromet, E.J. The epidemiology of depression across cultures. Annu. Rev. Public. Health 2013, 34, 119–138. [Google Scholar] [CrossRef] [PubMed]
- Bromet, E.; Andrade, L.H.; Hwang, I.; Sampson, N.A.; Alonso, J.; de Girolamo, G.; de Graaf, R.; Demyttenaere, K.; Hu, C.; Iwata, N.; et al. Cross-national epidemiology of DSM-IV major depressive episode. BMC Med. 2011, 9, 90. [Google Scholar] [CrossRef] [PubMed]
- Luppa, M.; Sikorski, C.; Luck, T.; Ehreke, L.; Konnopka, A.; Wiese, B.; Weyerer, S.; König, H.H.; Riedel-Heller, S.G. Age- and gender-specific prevalence of depression in latest-life--systematic review and meta-analysis. J. Affect. Disord. 2012, 136, 212–221. [Google Scholar] [CrossRef] [PubMed]
- Chen, S.; Conwell, Y.; Vanorden, K.; Lu, N.; Fang, Y.; Ma, Y.; Fan, H.; Jin, T.; Chiu, H. Prevalence and natural course of late-life depression in China primary care: A population based study from an urban community. J. Affect. Disord. 2012, 141, 86–93. [Google Scholar] [CrossRef] [PubMed]
- Petermann-Rocha, F.; Balntzi, V.; Gray, S.R.; Lara, J.; Ho, F.K.; Pell, J.P.; Celis-Morales, C. Global prevalence of sarcopenia and severe sarcopenia: A systematic review and meta-analysis. J. Cachexia Sarcopenia Muscle 2022, 13, 86–99. [Google Scholar] [CrossRef] [PubMed]
- Kitamura, A.; Seino, S.; Abe, T.; Nofuji, Y.; Yokoyama, Y.; Amano, H.; Nishi, M.; Taniguchi, Y.; Narita, M.; Fujiwara, Y.; et al. Sarcopenia: Prevalence, associated factors, and the risk of mortality and disability in Japanese older adults. J. Cachexia Sarcopenia Muscle 2021, 12, 30–38. [Google Scholar] [CrossRef]
- Chen, L.K.; Woo, J.; Assantachai, P.; Auyeung, T.W.; Chou, M.Y.; Iijima, K.; Jang, H.C.; Kang, L.; Kim, M.; Kim, S.; et al. Asian Working Group for Sarcopenia: 2019 Consensus Update on Sarcopenia Diagnosis and Treatment. J. Am. Med. Dir. Assoc. 2020, 21, 300–307.e2. [Google Scholar] [CrossRef] [PubMed]
- Sosiawati, A.F.; Irwan, A.M.; Isnah, W.O.N. Identifying sarcopenia among post-stroke older people. Enferm. Clin. 2021, 31, S847–S850. [Google Scholar] [CrossRef]
- Collaborators, G.M.D. Global, regional, and national burden of 12 mental disorders in 204 countries and territories, 1990-2019: A systematic analysis for the Global Burden of Disease Study 2019. Lancet. Psychiatry 2022, 9, 137–150. [Google Scholar] [CrossRef] [PubMed]
- Cruz-Jentoft, A.J.; Bahat, G.; Bauer, J.; Boirie, Y.; Bruyère, O.; Cederholm, T.; Cooper, C.; Landi, F.; Rolland, Y.; Sayer, A.A.; et al. Sarcopenia: Revised European consensus on definition and diagnosis. Age Ageing 2019, 48, 16–31. [Google Scholar] [CrossRef] [PubMed]
- Franklin, B.A.; Eijsvogels, T.M.H. A Narrative Review on Exercise and Cardiovascular Disease: Physical Activity Thresholds for Optimizing Health Outcomes. Heart Mind 2023, 7, 34–39. [Google Scholar] [CrossRef]
- Yang, J.; Jiang, F.; Yang, M.; Chen, Z. Sarcopenia and nervous system disorders. J. Neurol. 2022, 269, 5787–5797. [Google Scholar] [CrossRef] [PubMed]
- Chang, K.V.; Hsu, T.H.; Wu, W.T.; Huang, K.C.; Han, D.S. Is sarcopenia associated with depression? A systematic review and meta-analysis of observational studies. Age Ageing 2017, 46, 738–746. [Google Scholar] [CrossRef]
- Li, Z.; Tong, X.; Ma, Y.; Bao, T.; Yue, J. Prevalence of depression in patients with sarcopenia and correlation between the two diseases: Systematic review and meta-analysis. J. Cachexia Sarcopenia Muscle 2022, 13, 128–144. [Google Scholar] [CrossRef]
- Olgun Yazar, H.; Yazar, T. Prevalence of sarcopenia in patients with geriatric depression diagnosis. Ir. J. Med. Sci. 2019, 188, 931–938. [Google Scholar] [CrossRef]
- Zhong, Q.; Jiang, L.; An, K.; Zhang, L.; Li, S.; An, Z. Depression and risk of sarcopenia: A national cohort and Mendelian randomization study. Front. Psychiatry 2023, 14, 1263553. [Google Scholar] [CrossRef]
- Hallgren, M.; Herring, M.P.; Owen, N.; Dunstan, D.; Ekblom, Ö.; Helgadottir, B.; Nakitanda, O.A.; Forsell, Y. Exercise, Physical Activity, and Sedentary Behavior in the Treatment of Depression: Broadening the Scientific Perspectives and Clinical Opportunities. Front. Psychiatry 2016, 7, 36. [Google Scholar] [CrossRef] [PubMed]
- Li, C.W.; Yu, K.; Shyh-Chang, N.; Jiang, Z.; Liu, T.; Ma, S.; Luo, L.; Guang, L.; Liang, K.; Ma, W.; et al. Pathogenesis of sarcopenia and the relationship with fat mass: Descriptive review. J. Cachexia Sarcopenia Muscle 2022, 13, 781–794. [Google Scholar] [CrossRef] [PubMed]
- Cleasby, M.E.; Jamieson, P.M.; Atherton, P.J. Insulin resistance and sarcopenia: Mechanistic links between common co-morbidities. J. Endocrinol. 2016, 229, R67–R81. [Google Scholar] [CrossRef] [PubMed]
- Hu, Y.; Peng, W.; Ren, R.; Wang, Y.; Wang, G. Sarcopenia and mild cognitive impairment among elderly adults: The first longitudinal evidence from CHARLS. J. Cachexia Sarcopenia Muscle 2022, 13, 2944–2952. [Google Scholar] [CrossRef] [PubMed]
- Culpepper, L.; Lam, R.W.; McIntyre, R.S. Cognitive Impairment in Patients With Depression: Awareness, Assessment, and Management. J. Clin. Psychiatry 2017, 78, 1383–1394. [Google Scholar] [CrossRef] [PubMed]
- Zhao, G.; Lu, Z.; Sun, Y.; Kang, Z.; Feng, X.; Liao, Y.; Sun, J.; Zhang, Y.; Huang, Y.; Yue, W. Dissecting the causal association between social or physical inactivity and depression: A bidirectional two-sample Mendelian Randomization study. Transl. Psychiatry 2023, 13, 194. [Google Scholar] [CrossRef]
- Pearce, M.; Garcia, L.; Abbas, A.; Strain, T.; Schuch, F.B.; Golubic, R.; Kelly, P.; Khan, S.; Utukuri, M.; Laird, Y.; et al. Association Between Physical Activity and Risk of Depression: A Systematic Review and Meta-analysis. JAMA Psychiatry 2022, 79, 550–559. [Google Scholar] [CrossRef] [PubMed]
- Gambaro, E.; Gramaglia, C.; Azzolina, D.; Campani, D.; Molin, A.D.; Zeppegno, P. The complex associations between late life depression, fear of falling and risk of falls. A systematic review and meta-analysis. Ageing Res. Rev. 2022, 73, 101532. [Google Scholar] [CrossRef]
- Kinoshita, K.; Satake, S.; Matsui, Y.; Arai, H. Association between Sarcopenia and Fall Risk According to the Muscle Mass Adjustment Method in Japanese Older Outpatients. J. Nutr. Health Aging 2021, 25, 762–766. [Google Scholar] [CrossRef]
- Gao, K.; Cao, L.F.; Ma, W.Z.; Gao, Y.J.; Luo, M.S.; Zhu, J.; Li, T.; Zhou, D. Association between sarcopenia and cardiovascular disease among middle-aged and older adults: Findings from the China health and retirement longitudinal study. EClinicalMedicine 2022, 44, 101264. [Google Scholar] [CrossRef]
- Bucciarelli, V.; Caterino, A.L.; Bianco, F.; Caputi, C.G.; Salerni, S.; Sciomer, S.; Maffei, S.; Gallina, S. Depression and cardiovascular disease: The deep blue sea of women’s heart. Trends Cardiovasc. Med. 2020, 30, 170–176. [Google Scholar] [CrossRef]
- Meng, R.; Yu, C.; Liu, N.; He, M.; Lv, J.; Guo, Y.; Bian, Z.; Yang, L.; Chen, Y.; Zhang, X.; et al. Association of Depression With All-Cause and Cardiovascular Disease Mortality Among Adults in China. JAMA Netw. Open 2020, 3, e1921043. [Google Scholar] [CrossRef] [PubMed]
- Szlejf, C.; Suemoto, C.K.; Brunoni, A.R.; Viana, M.C.; Moreno, A.B.; Matos, S.M.A.; Lotufo, P.A.; Benseñor, I.M. Depression is Associated With Sarcopenia Due to Low Muscle Strength: Results From the ELSA-Brasil Study. J. Am. Med. Dir. Assoc. 2019, 20, 1641–1646. [Google Scholar] [CrossRef] [PubMed]
- Zhao, Y.; Hu, Y.; Smith, J.P.; Strauss, J.; Yang, G. Cohort profile: The China Health and Retirement Longitudinal Study (CHARLS). Int. J. Epidemiol. 2014, 43, 61–68. [Google Scholar] [CrossRef]
- Wen, X.; Wang, M.; Jiang, C.M.; Zhang, Y.M. Anthropometric equation for estimation of appendicular skeletal muscle mass in Chinese adults. Asia Pac. J. Clin. Nutr. 2011, 20, 551–556. [Google Scholar] [PubMed]
- Yang, M.; Hu, X.; Wang, H.; Zhang, L.; Hao, Q.; Dong, B. Sarcopenia predicts readmission and mortality in elderly patients in acute care wards: A prospective study. J. Cachexia Sarcopenia Muscle 2017, 8, 251–258. [Google Scholar] [CrossRef]
- Delmonico, M.J.; Harris, T.B.; Lee, J.S.; Visser, M.; Nevitt, M.; Kritchevsky, S.B.; Tylavsky, F.A.; Newman, A.B. Alternative definitions of sarcopenia, lower extremity performance, and functional impairment with aging in older men and women. J. Am. Geriatr. Soc. 2007, 55, 769–774. [Google Scholar] [CrossRef]
- Huang, X.; Liu, X.; Yu, Y. Depression and Chronic Liver Diseases: Are There Shared Underlying Mechanisms? Front. Mol. Neurosci. 2017, 10, 134. [Google Scholar] [CrossRef]
- Andresen, E.M.; Malmgren, J.A.; Carter, W.B.; Patrick, D.L. Screening for depression in well older adults: Evaluation of a short form of the CES-D (Center for Epidemiologic Studies Depression Scale). Am. J. Prev. Med. 1994, 10, 77–84. [Google Scholar] [CrossRef]
- Zhou, L.; Ma, X.; Wang, W. Relationship between Cognitive Performance and Depressive Symptoms in Chinese Older Adults: The China Health and Retirement Longitudinal Study (CHARLS). J. Affect. Disord. 2021, 281, 454–458. [Google Scholar] [CrossRef]
- Chen, H.; Mui, A.C. Factorial validity of the Center for Epidemiologic Studies Depression Scale short form in older population in China. Int. Psychogeriatr. 2014, 26, 49–57. [Google Scholar] [CrossRef] [PubMed]
- Tombaugh, T.N.; McIntyre, N.J. The mini-mental state examination: A comprehensive review. J. Am. Geriatr. Soc. 1992, 40, 922–935. [Google Scholar] [CrossRef]
- Zhang, T.; Zhang, H.; Li, Y.; Sun, D.; Li, S.; Fernandez, C.; Qi, L.; Harville, E.; Bazzano, L.; He, J.; et al. Temporal Relationship Between Childhood Body Mass Index and Insulin and Its Impact on Adult Hypertension: The Bogalusa Heart Study. Hypertension 2016, 68, 818–823. [Google Scholar] [CrossRef] [PubMed]
- Liu, Y.; Cui, J.; Cao, L.; Stubbendorff, A.; Zhang, S. Association of depression with incident sarcopenia and modified effect from healthy lifestyle: The first longitudinal evidence from the CHARLS. J. Affect. Disord. 2024, 344, 373–379. [Google Scholar] [CrossRef] [PubMed]
- Luo, H.; Li, J.; Zhang, Q.; Cao, P.; Ren, X.; Fang, A.; Liao, H.; Liu, L. Obesity and the onset of depressive symptoms among middle-aged and older adults in China: Evidence from the CHARLS. BMC Public Health 2018, 18, 909. [Google Scholar] [CrossRef]
- Yan, Y.; Du, Y.; Li, X.; Ping, W.; Chang, Y. Physical function, ADL, and depressive symptoms in Chinese elderly: Evidence from the CHARLS. Front. Public Health 2023, 11, 1017689. [Google Scholar] [CrossRef]
- Hashimoto, Y.; Takahashi, F.; Okamura, T.; Hamaguchi, M.; Fukui, M. Diet, exercise, and pharmacotherapy for sarcopenia in people with diabetes. Metab. Clin. Exp. 2023, 144, 155585. [Google Scholar] [CrossRef] [PubMed]
- Nishikawa, H.; Asai, A.; Fukunishi, S.; Nishiguchi, S.; Higuchi, K. Metabolic Syndrome and Sarcopenia. Nutrients 2021, 13, 3519. [Google Scholar] [CrossRef]
- Chen, G.Q.; Wang, G.P.; Lian, Y. Relationships between depressive symptoms, dietary inflammatory potential, and sarcopenia: Mediation analyses. Front. Nutr. 2022, 9, 844917. [Google Scholar] [CrossRef]
- Picca, A.; Calvani, R.; Sirago, G.; Coelho-Junior, H.J.; Marzetti, E. Molecular routes to sarcopenia and biomarker development: Per aspera ad astra. Curr. Opin. Pharmacol. 2021, 57, 140–147. [Google Scholar] [CrossRef]
- Pasco, J.A.; Williams, L.J.; Jacka, F.N.; Stupka, N.; Brennan-Olsen, S.L.; Holloway, K.L.; Berk, M. Sarcopenia and the Common Mental Disorders: A Potential Regulatory Role of Skeletal Muscle on Brain Function? Curr. Osteoporos. Rep. 2015, 13, 351–357. [Google Scholar] [CrossRef] [PubMed]
- Zhang, L.; Tao, S.; Lu, N.; Pan, R.; Liu, M. Anti-Inflammation Relieving Heart Dysfunction and Depressive Behaviors of Mice Under Myocardial Infarction and Chronic Stress. Heart Mind 2022, 6, 159–166. [Google Scholar] [CrossRef]
- Mousavi, K.; Jasmin, B.J. BDNF is expressed in skeletal muscle satellite cells and inhibits myogenic differentiation. J. Neurosci. Off. J. Soc. Neurosci. 2006, 26, 5739–5749. [Google Scholar] [CrossRef]
- Chung, H.Y.; Cesari, M.; Anton, S.; Marzetti, E.; Giovannini, S.; Seo, A.Y.; Carter, C.; Yu, B.P.; Leeuwenburgh, C. Molecular inflammation: Underpinnings of aging and age-related diseases. Ageing Res. Rev. 2009, 8, 18–30. [Google Scholar] [CrossRef]
- Kipinoinen, T.; Toppala, S.; Rinne, J.O.; Viitanen, M.H.; Jula, A.M.; Ekblad, L.L. Association of Midlife Inflammatory Markers With Cognitive Performance at 10-Year Follow-up. Neurology 2022, 99, e2294–e2302. [Google Scholar] [CrossRef]
- Jacka, F.N.; Pasco, J.A.; Williams, L.J.; Mann, N.; Hodge, A.; Brazionis, L.; Berk, M. Red meat consumption and mood and anxiety disorders. Psychother. Psychosom. 2012, 81, 196–198. [Google Scholar] [CrossRef]
- Ganapathy, A.; Nieves, J.W. Nutrition and Sarcopenia-What Do We Know? Nutrients 2020, 12, 1755. [Google Scholar] [CrossRef]
- Hurst, C.; Robinson, S.M.; Witham, M.D.; Dodds, R.M.; Granic, A.; Buckland, C.; De Biase, S.; Finnegan, S.; Rochester, L.; Skelton, D.A.; et al. Resistance exercise as a treatment for sarcopenia: Prescription and delivery. Age Ageing 2022, 51, afac003. [Google Scholar] [CrossRef] [PubMed]
- Nascimento, C.M.; Ingles, M.; Salvador-Pascual, A.; Cominetti, M.R.; Gomez-Cabrera, M.C.; Viña, J. Sarcopenia, frailty and their prevention by exercise. Free Radic. Biol. Med. 2019, 132, 42–49. [Google Scholar] [CrossRef]
- Anglin, R.E.; Samaan, Z.; Walter, S.D.; McDonald, S.D. Vitamin D deficiency and depression in adults: Systematic review and meta-analysis. Br. J. Psychiatry 2013, 202, 100–107. [Google Scholar] [CrossRef]
- Kim, J.; Lee, Y.; Kye, S.; Chung, Y.S.; Kim, K.M. Association of vegetables and fruits consumption with sarcopenia in older adults: The Fourth Korea National Health and Nutrition Examination Survey. Age Ageing 2015, 44, 96–102. [Google Scholar] [CrossRef] [PubMed]
- Lu, L.; Mao, L.; Feng, Y.; Ainsworth, B.E.; Liu, Y.; Chen, N. Effects of different exercise training modes on muscle strength and physical performance in older people with sarcopenia: A systematic review and meta-analysis. BMC Geriatr. 2021, 21, 708. [Google Scholar] [CrossRef] [PubMed]
- Papadopoulou, S.K. Sarcopenia: A Contemporary Health Problem among Older Adult Populations. Nutrients 2020, 12, 1293. [Google Scholar] [CrossRef] [PubMed]
- Mølmen, K.S.; Hammarström, D.; Pedersen, K.; Lian Lie, A.C.; Steile, R.B.; Nygaard, H.; Khan, Y.; Hamarsland, H.; Koll, L.; Hanestadhaugen, M.; et al. Vitamin D(3) supplementation does not enhance the effects of resistance training in older adults. J. Cachexia Sarcopenia Muscle 2021, 12, 599–628. [Google Scholar] [CrossRef] [PubMed]
- Lu, Y.; Niti, M.; Yap, K.B.; Tan, C.T.Y.; Zin Nyunt, M.S.; Feng, L.; Tan, B.Y.; Chan, G.; Khoo, S.A.; Chan, S.M.; et al. Assessment of Sarcopenia Among Community-Dwelling At-Risk Frail Adults Aged 65 Years and Older Who Received Multidomain Lifestyle Interventions: A Secondary Analysis of a Randomized Clinical Trial. JAMA Netw. Open 2019, 2, e1913346. [Google Scholar] [CrossRef] [PubMed]
- Martínez-Arnau, F.M.; Fonfría-Vivas, R.; Buigues, C.; Castillo, Y.; Molina, P.; Hoogland, A.J.; van Doesburg, F.; Pruimboom, L.; Fernández-Garrido, J.; Cauli, O. Effects of Leucine Administration in Sarcopenia: A Randomized and Placebo-controlled Clinical Trial. Nutrients 2020, 12, 932. [Google Scholar] [CrossRef] [PubMed]
- Kilsby, A.J.; Sayer, A.A.; Witham, M.D. Selecting Potential Pharmacological Interventions in Sarcopenia. Drugs Aging 2017, 34, 233–240. [Google Scholar] [CrossRef]
- Wu, X.; Li, X.; Xu, M.; Zhang, Z.; He, L.; Li, Y. Sarcopenia prevalence and associated factors among older Chinese population: Findings from the China Health and Retirement Longitudinal Study. PLoS ONE 2021, 16, e0247617. [Google Scholar] [CrossRef]





| Variables | Total (N = 8092) | Non-Sarcopenia (N = 5082) | Possible Sarcopenia (N = 2379) | Sarcopenia (N = 631) | p-Value |
|---|---|---|---|---|---|
| Age (Median, Q25–Q75) | 57.0 (51.0–64.0) | 55.0 (49.0–61.0) | 59.0 (53.0–66.0) | 68.0 (61.0–75.0) | <0.001 |
| Gender | |||||
| Male | 4375 (54.07) | 2863 (56.34) | 1205 (50.65) | 307 (48.65) | <0.001 |
| Female | 3717 (45.93) | 2219 (43.66) | 1174 (49.35) | 324 (51.35) | |
| Residential area | <0.001 | ||||
| Urban | 3278 (40.51) | 2069 (40.71) | 1024 (43.04) | 185 (29.32) | |
| Rural | 4814 (59.49) | 3013 (59.29) | 1355 (56.96) | 446 (70.68) | |
| Education | <0.001 | ||||
| Illiterate | 1818 (22.47) | 905 (17.81) | 640 (26.9) | 273 (43.26) | |
| Primary school | 3182 (39.32) | 1984 (39.04) | 953 (40.06) | 245 (38.83) | |
| Middle school | 1904 (23.53) | 1357 (26.7) | 479 (20.13) | 68 (10.78) | |
| High school/vocational high school | 1018 (12.58) | 725 (14.27) | 252 (10.59) | 41 (6.5) | |
| Junior college or above | 170 (2.1) | 111 (2.18) | 55 (2.31) | 4 (0.63) | |
| Average household income (CNY) | <0.001 | ||||
| <1000 | 3978 (49.16) | 2590 (50.96) | 1114 (46.83) | 274 (43.42) | |
| 1000 | 810 (10.01) | 436 (8.58) | 279 (11.73) | 95 (15.06) | |
| 5000 | 492 (6.08) | 291 (5.73) | 153 (6.43) | 48 (7.61) | |
| 10,000 | 691 (8.54) | 408 (8.03) | 209 (8.79) | 74 (11.73) | |
| 20,000 | 2121 (26.21) | 1357 (26.7) | 624 (26.23) | 140 (22.19) | |
| Marital status | |||||
| Married | 6749 (83.4) | 4430 (87.17) | 1889 (79.4) | 430 (68.15) | <0.001 |
| Separated | 359 (4.44) | 221 (4.35) | 124 (5.21) | 14 (2.22) | |
| Unmarried/divorced/widowed | 984 (12.16) | 431 (8.48) | 366 (15.38) | 187 (29.64) | |
| Smoking status | <0.001 | ||||
| No | 4170 (51.54) | 2540 (49.99) | 1305 (54.85) | 325 (51.51) | |
| Yes | 2405 (29.72) | 1614 (31.77) | 612 (25.73) | 179 (28.37) | |
| Previous | 1516 (18.74) | 927 (18.24) | 462 (19.42) | 127 (20.13) | |
| Alcohol drinking | <0.001 | ||||
| No | 4177 (51.62) | 2536 (49.9) | 1294 (54.39) | 347 (54.99) | |
| Yes | 2984 (36.88) | 2043 (40.2) | 747 (31.4) | 194 (30.74) | |
| Previous | 931 (11.51) | 503 (9.9) | 338 (14.21) | 90 (14.26) | |
| Daily sleep time (hours) | 7.00 (6.00–8.00) | 7.00 (6.00–8.00) | 7.00 (6.00–8.00) | 7.00 (5.00–8.00) | 0.151 |
| MMSE score, (Median, Q25–Q75) | 16.0 (12.0–18.0) | 16.00 (13.00–19.00) | 15.00 (12.00–18.00) | 14.00 (10.00–15.00) | <0.001 |
| BMI (kg/m2; Median, Q25–Q75) | 23.4 (21.1–26.0) | 23.61 (21.37–26.05) | 24.25 (22.25–26.80) | 19.08 (18.00–20.14) | <0.001 |
| Sarcopenia indicators | |||||
| Low muscle mass | 1244 (15.85) | 610 (12) | 3 (0.14) | 631 (100) | <0.001 |
| Low muscle strength | 908 (11.56) | 0 (0) | 614 (28.64) | 294 (46.67) | <0.001 |
| Low physical performance | 2284 (29.18) | 0 (0) | 1775 (83.81) | 509 (81.18) | <0.001 |
| Non-Sarcopenia | Possible Sarcopenia | Sarcopenia | p for Trend | |
|---|---|---|---|---|
| Overall population (N = 8092) | ||||
| No. of participants | 5082 | 2379 | 631 | |
| No. of incident depression | 267 | 193 | 56 | |
| Follow-up, person-years | 31,708.70 | 13,332.50 | 3263.90 | |
| Follow-up, years Median (IQR) | 7.0 (6.9–7.0) | 6.9 (4.0–7.0) | 6.9 (4.0–7.0) | |
| Hazard ratio for incident depression (95%CI, p value) | ||||
| Unadjusted | reference | 1.8 (1.5–2.1) | 2.1 (1.6–2.9) | <0.001 |
| Adjusted model 1 | reference | 1.7 (1.4–2.1) | 2.0 (1.5–2.8) | <0.001 |
| Adjusted model 2 | reference | 1.6 (1.4–2.0) | 1.8 (1.3–2.4) | <0.001 |
| Adjusted model 3 | reference | 1.5 (1.2–1.8) | 1.7 (1.2–2.3) | <0.001 |
| Older adults, age ≥ 60 (N = 2910) | ||||
| No. of participants | 1389 | 1047 | 474 | |
| No. of incident depression | 74 | 73 | 44 | |
| Follow-up, person-years | 8469.60 | 5653.70 | 2343 | |
| Follow-up, years Median (IQR) | 7.0 (5.0–7.0) | 7.0 (4.0–7.0) | 4.0 (4.0–7.0) | |
| Hazard ratio for incident depression (95%CI, p value) | ||||
| Unadjusted | reference | 1.5 (1.1–2.1) | 2.3 (1.6–3.3) | <0.001 |
| Adjusted model 1 | reference | 1.5 (1.1–2.1) | 2.3 (1.5–3.4) | <0.001 |
| Adjusted model 2 | reference | 1.4 (1.0–1.9) | 1.9 (1.3–2.9) | <0.001 |
| Adjusted model 3 | reference | 1.3 (1.0–1.9) | 1.9 (1.3–2.9) | 0.0016 |
| Middle-aged adults, age < 60 (N = 4893) | ||||
| No. of participants | 3526 | 1230 | 137 | |
| No. of incident depression | 191 | 112 | 9 | |
| Follow-up, person-years | 22,154.20 | 7060.80 | 791.9 | |
| Follow-up, years Median (IQR) | 7.0 (6.9–7.0) | 7.0 (4.0–7.0) | 7.0 (4.0–7.0) | |
| Hazard ratio for incident depression (95%CI, p value) | ||||
| Unadjusted | reference | 1.8 (1.5–2.3) | 1.3 (0.7–2.6) | <0.001 |
| Adjusted model 1 | reference | 1.8 (1.4–2.2) | 1.2 (0.6–2.4) | <0.001 |
| Adjusted model 2 | reference | 1.7 (1.3–2.1) | 1.0 (0.5–2.0) | <0.001 |
| Adjusted model 3 | reference | 1.5 (1.2–2.0) | 1.0 (0.5–2.0) | 0.0114 |
| Variables | Total (N = 11,292) | Non-Depression (N = 8015) | Depression (N = 3277) | p-Value |
|---|---|---|---|---|
| Age (Median, Q25–Q75) | 55.0 (49.0–61.0) | 55.0 (49.0–61.0) | 56.0 (49.0–61.0) | <0.001 |
| Gender | ||||
| Male | 5947 (52.67) | 4558 (56.87) | 1389 (42.39) | <0.001 |
| Female | 5345 (47.33) | 3457 (43.13) | 1888 (57.61) | |
| Residential area | ||||
| Urban | 3787 (40.49) | 2850 (43.8) | 937 (32.93) | <0.001 |
| Rural | 5565 (59.51) | 3657 (56.2) | 1908 (67.07) | |
| Education | ||||
| Illiterate | 2267 (20.08) | 1382 (17.24) | 885 (27.01) | <0.001 |
| Primary school | 4608 (40.81) | 3142 (39.2) | 1466 (44.75) | |
| Middle school | 2697 (23.89) | 2052 (25.6) | 645 (19.69) | |
| High school/vocational high school | 1445 (12.8) | 1193 (14.88) | 252 (7.69) | |
| Junior college or above | 274 (2.43) | 246 (3.07) | 28 (0.85) | |
| Average household income (CNY) | ||||
| <1000 | 6757 (59.84) | 4969 (62) | 1788 (54.56) | <0.001 |
| 1000–5000 | 883 (7.82) | 506 (6.31) | 377 (11.5) | |
| 5000–10,000 | 584 (5.17) | 356 (4.44) | 228 (6.96) | |
| 10,000–20,000 | 763 (6.76) | 488 (6.09) | 275 (8.39) | |
| >20,000 | 2305 (20.41) | 1696 (21.16) | 609 (18.58) | |
| Marital status | ||||
| Married | 9494 (84.08) | 6911 (86.23) | 2583 (78.82) | <0.001 |
| Separated | 644 (5.7) | 422 (5.27) | 222 (6.77) | |
| Unmarried/divorced/widowed | 1154 (10.22) | 682 (8.51) | 472 (14.4) | |
| Never/current smoker | ||||
| No | 5941 (52.64) | 4037 (50.39) | 1904 (58.14) | <0.001 |
| Yes | 3493 (30.95) | 2569 (32.07) | 924 (28.21) | |
| Never smoked | 1852 (16.41) | 1405 (17.54) | 447 (13.65) | |
| Never/current alcohol | ||||
| No | 5726 (50.71) | 3915 (48.85) | 1811 (55.26) | <0.001 |
| Yes | 4361 (38.62) | 3313 (41.33) | 1048 (31.98) | |
| Never drank alcohol | 1205 (10.67) | 787 (9.82) | 418 (12.76) | |
| Daily sleep time (hours) | 7.00 (5.00–8.00) | 7.00 (6.00–8.00) | 6.00 (5.00–7.00) | <0.001 |
| MMSE score, (Median, Q25–Q75) | 16.00 (13.00–18.00) | 16.00 (13.00–19.00) | 15.00 (12.00–16.00) | <0.001 |
| BMI (kg/m2; Median, Q25–Q75) | 24.2 (21.3–26.0) | 23.8 (21.5–26.2) | 22.9 (20.7–25.5) | <0.001 |
| Non-Depression | Depression | p Value | |
|---|---|---|---|
| Overall population (N = 11,292) | |||
| No. of participants | 8015 | 3277 | |
| No. of incident depression | 131 | 109 | |
| Follow-up, person-years | 27,833.5 | 11,787.6 | |
| Follow-up, years Median (IQR) | 4.0 (3.9–4.0) | 4.0 (3.9–4.0) | |
| Hazard ratio for incident depression (95%CI, p value) | |||
| Unadjusted | reference | 2.0 (1.5–2.5) | <0.001 |
| Adjusted model 1 | reference | 1.8 (1.4–2.4) | <0.001 |
| Adjusted model 2 | reference | 1.6 (1.3–2.1) | <0.001 |
| Adjusted model 3 | reference | 1.5 (1.2–2.0) | 0.0032 |
| Older adults, age ≥ 60 (N = 3303) | |||
| No. of participants | 2293 | 1010 | |
| No. of incident depression | 105 | 78 | |
| Follow-up, person-years | 8127.47 | 3654.31 | |
| Follow-up, years Median (IQR) | 4.0 (3.9–4.0) | 4.0 (3.9–4.0) | |
| Hazard ratio for incident depression (95%CI, p value) | |||
| Unadjusted | reference | 1.6 (1.2–2.2) | 0.0012 |
| Adjusted model 1 | reference | 1.6 (1.2–2.1) | 0.0022 |
| Adjusted model 2 | reference | 1.5 (1.1–2.0) | 0.0164 |
| Adjusted model 3 | reference | 1.4 (1.0–1.9) | 0.0409 |
| Middle-aged adults, age < 60 (N = 7989) | |||
| No. of participants | 5722 | 2267 | |
| No. of incident sarcopenia | 26 | 31 | |
| Follow-up, person-years | 19,705.9 | 8133.3 | |
| Follow-up, years Median (IQR) | 4.0 (3.9–4.0) | 4.0 (3.9–4.0) | |
| Hazard ratio for incident depression (95%CI, p value) | |||
| Unadjusted | reference | 2.9 (1.7–4.9) | <0.001 |
| Adjusted model 1 | reference | 2.7 (1.6–4.5) | <0.001 |
| Adjusted model 2 | reference | 2.4 (1.4–4.2) | 0.0021 |
| Adjusted model 3 | reference | 2.2 (1.3–4.0) | 0.0059 |
Disclaimer/Publisher’s Note: The statements, opinions and data contained in all publications are solely those of the individual author(s) and contributor(s) and not of MDPI and/or the editor(s). MDPI and/or the editor(s) disclaim responsibility for any injury to people or property resulting from any ideas, methods, instructions or products referred to in the content. |
© 2024 by the authors. Licensee MDPI, Basel, Switzerland. This article is an open access article distributed under the terms and conditions of the Creative Commons Attribution (CC BY) license (https://creativecommons.org/licenses/by/4.0/).
Share and Cite
Zeng, N.; Li, C.; Mei, H.; Wu, S.; Liu, C.; Wang, X.; Shi, J.; Lu, L.; Bao, Y. Bidirectional Association between Sarcopenia and Depressive Symptoms among Chinese Middle- and Older-Aged Adults: Longitudinal Observational Study. Brain Sci. 2024, 14, 593. https://doi.org/10.3390/brainsci14060593
Zeng N, Li C, Mei H, Wu S, Liu C, Wang X, Shi J, Lu L, Bao Y. Bidirectional Association between Sarcopenia and Depressive Symptoms among Chinese Middle- and Older-Aged Adults: Longitudinal Observational Study. Brain Sciences. 2024; 14(6):593. https://doi.org/10.3390/brainsci14060593
Chicago/Turabian StyleZeng, Na, Chao Li, Huan Mei, Shuilin Wu, Chang Liu, Xiaokun Wang, Jie Shi, Lin Lu, and Yanping Bao. 2024. "Bidirectional Association between Sarcopenia and Depressive Symptoms among Chinese Middle- and Older-Aged Adults: Longitudinal Observational Study" Brain Sciences 14, no. 6: 593. https://doi.org/10.3390/brainsci14060593
APA StyleZeng, N., Li, C., Mei, H., Wu, S., Liu, C., Wang, X., Shi, J., Lu, L., & Bao, Y. (2024). Bidirectional Association between Sarcopenia and Depressive Symptoms among Chinese Middle- and Older-Aged Adults: Longitudinal Observational Study. Brain Sciences, 14(6), 593. https://doi.org/10.3390/brainsci14060593
