Remote Eye Movement Desensitization and Reprocessing Treatment of Long-COVID- and Post-COVID-Related Traumatic Disorders: An Innovative Approach
Abstract
1. Introduction
1.1. Long COVID and PTSD Treatment
1.2. EMDR Therapy
- Phase 1: patient history, consisting of a detailed clinical interview to explore the mental state, history, and trauma of the patient;
- Phase 2: preparation, in which the structure of EMDR therapy is explained and the methods which could lessen the impact of the traumatic memory on the patient are identified, e.g., safe place [27];
- Phase 3: assessment, where the traumatic memory, also defined target event, is identified and the Subjective Units of Disturbance (SUDs) and the Validity of Cognition (VoC) are evaluated;
- Phase 4: desensitization, which involves the patient focusing on a target memory while engaging in bilateral stimulation (for example by eye movement) to reduce the emotional intensity associated with the memory;
- Phase 5: installation, where the positive belief related to the target event is strengthened;
- Phase 6: body scan, which aims at eliminating any residual physical discomfort the patient might be experiencing;
- Phase 7: closure, where the therapist ensures the patient is emotionally stable before concluding the session;
- Phase 8: reevaluation, where the therapist reassesses the targeted memories to determine the effectiveness of the EMDR treatment.
1.3. EMDR Remote Psychotherapy
2. Methods
2.1. Design
- The memory should have elicited a Subjective Units of Distress (SUDs) score between 7 and 10.
- The memory should relate to events that could be adequately processed in three sessions, so memories with a strong relational component, such as attachment issues or those linked to personality disorders, were excluded.
- Traumatic memories could encompass a range of emotional experiences, including loss, unresolved grief, fears related to traumatic events experienced directly or indirectly, or past situations in which the individual felt a real threat.
2.2. Participants
- A history of confirmed SARS-CoV-2 infection;
- Unresolved symptoms after 3 months from the onset of COVID-19;
- Symptoms lasting from more than 2 months;
- Symptoms may also be intermittent with relapses over time.
2.3. Procedure
- Phase 1 has been carried out by means of an online interview to collect patient history and gather a comprehensive history of the patient, including past experiences, current symptoms, and any traumatic events that may be targeted during the EMDR process;
- In Phase 2, the therapist has been working with the patient to establish a therapeutic alliance. The participants were encouraged to select a safe place that made them feel comfortable and positive, with the aim of bringing the patient back to an optimal state of arousal at the end of the processing session;
- During Phase 3, the patient and therapist identify specific target memories or experiences to address during the treatment and evaluate the emotional distress associated with each target;
- During Phase 4, desensitization, the patient focuses on a target memory while engaging in bilateral stimulation (for example, following a moving object with their eyes). This process helps reduce the emotional intensity associated with the memory. In in-person sessions, the therapist administers bilateral stimulation through hand movements. In contrast, during online sessions, the bilateral stimulation is facilitated by a digital interface, where the patient follows a moving visual stimulus on the screen, such as an oscillating dot. During the latter, the system has been used to analyze the subject’s adherence to the prescribed movements, offering the psychotherapist the possibility to evaluate the patient’s reactions as assessed by the eye tracking algorithm;
- In Phase 5, positive beliefs or self-statements are strengthened and associated with the previously targeted memory during this phase, with our support system providing valuable feedback in order to evaluate the correct progression of the therapy;
- During Phase 6, the patient addressed any residual tension or discomfort, and the eye movements are again tracked to provide feedback to the psychotherapist;
- Phase 7 does not involve the use of artificial intelligence, with the therapist ensuring the patient is emotionally stable before concluding the session and providing coping strategies for post-treatment well-being;
- In Phase 8, the therapist and patient reassess the targeted memories to determine the effectiveness of the EMDR treatment, with possible adjustments to address any remaining distress, without the use of AI algorithms.
2.4. Measures
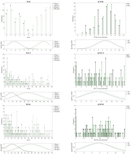
3. Results
3.1. Statistical Analysis
- The Shapiro–Wilk and Levene tests to ensure that the data meets the assumptions required for parametric testing are verified.
- The Wald–Wolfowitz test to confirm the randomness of the sequences, ensuring that no systematic bias affects the observations.
- The Analysis of Variance (ANOVA), for its ability to detect statistically significant differences between group means under the assumption of normality and equal variances.
- The Effect Size (Cohen’s d) to quantify the magnitude of differences in treatment effects between the groups.
3.2. Pre-Treatment Scores Analysis
3.3. Post-Treatment Scores Analysis
3.4. Decrement () Analysis
4. Discussion
- More accessibility in daily life, e.g., to elderly, hikikomori, people in remote areas, etc., and in extreme scenarios, e.g., natural disasters, pandemics, war, etc.;
- Reducing the need for therapy spaces and transportation, consequently lowering carbon emissions;
- Allowing the patients to have sessions in a more comfortable environment, e.g., their home;
- Extending access to therapy also for those patients who cannot leave their home due to physical, psychological, or psychopathological limitations.
5. Conclusions
Author Contributions
Funding
Institutional Review Board Statement
Informed Consent Statement
Data Availability Statement
Acknowledgments
Conflicts of Interest
References
- Vu, T.; McGill, S.C. An overview of post–covid-19 condition (long covid). Can. J. Health Technol. 2021, 1, 1–31. [Google Scholar] [CrossRef]
- Nalbandian, A.; Desai, A.D.; Wan, E.Y. Post-COVID-19 condition. Annu. Rev. Med. 2023, 74, 55–64. [Google Scholar] [CrossRef] [PubMed]
- Brociek, R.; Magistris, G.D.; Cardia, F.; Coppa, F.; Russo, S. Contagion Prevention of COVID-19 by means of Touch Detection for Retail Stores. CEUR Workshop Proc. 2021, 3092, 89–94. [Google Scholar]
- Silva Andrade, B.; Siqueira, S.; de Assis Soares, W.R.; de Souza Rangel, F.; Santos, N.O.; dos Santos Freitas, A.; Ribeiro da Silveira, P.; Tiwari, S.; Alzahrani, K.J.; Góes-Neto, A.; et al. Long-COVID and post-COVID health complications: An up-to-date review on clinical conditions and their possible molecular mechanisms. Viruses 2021, 13, 700. [Google Scholar] [CrossRef] [PubMed]
- Russo, S.; Tibermacine, I.E.; Tibermacine, A.; Chebana, D.; Nahili, A.; Starczewscki, J.; Napoli, C. Analyzing EEG patterns in young adults exposed to different acrophobia levels: A VR study. Front. Hum. Neurosci. 2024, 18, 1348154. [Google Scholar] [CrossRef]
- Kopańska, M.; Banaś-Ząbczyk, A.; Łagowska, A.; Kuduk, B.; Szczygielski, J. Changes in EEG recordings in COVID-19 patients as a basis for more accurate QEEG diagnostics and EEG neurofeedback therapy: A systematic review. J. Clin. Med. 2021, 10, 1300. [Google Scholar] [CrossRef]
- Falciglia, S.; Betello, F.; Russo, S.; Napoli, C. Learning visual stimulus-evoked EEG manifold for neural image classification. Neurocomputing 2024, 588, 127654. [Google Scholar] [CrossRef]
- North, C.S.; Surís, A.M.; Pollio, D.E. A nosological exploration of PTSD and trauma in disaster mental health and implications for the COVID-19 pandemic. Behav. Sci. 2021, 11, 7. [Google Scholar] [CrossRef]
- Bland, A.; Roiser, J.; Mehta, M.; Sahakian, B.; Robbins, T.; Elliott, R. COVID-19 induced social isolation; implications for understanding social cognition in mental health. Psychol. Med. 2022, 52, 3748–3749. [Google Scholar] [CrossRef]
- Abdalla, S.M.; Ettman, C.K.; Rosenberg, S.B.; Wang, R.; Cohen, G.H.; Galea, S. Post-traumatic stress disorder during the Covid-19 pandemic: A national, population-representative, longitudinal study of US adults. Npj Ment. Health Res. 2024, 3, 20. [Google Scholar] [CrossRef]
- Gasnier, M.; Choucha, W.; Radiguer, F.; Faulet, T.; Chappell, K.; Bougarel, A.; Kondarjian, C.; Thorey, P.; Baldacci, A.; Ballerini, M.; et al. Comorbidity of long COVID and psychiatric disorders after a hospitalisation for COVID-19: A cross-sectional study. J. Neurol. Neurosurg. Psychiatry 2022, 93, 1091–1098. [Google Scholar] [CrossRef] [PubMed]
- Jarrott, B.; Head, R.; Pringle, K.G.; Lumbers, E.R.; Martin, J.H. “LONG COVID”—A hypothesis for understanding the biological basis and pharmacological treatment strategy. Pharmacol. Res. Perspect. 2022, 10, e00911. [Google Scholar] [CrossRef] [PubMed]
- Lenferink, L.; Meyerbröker, K.; Boelen, P. PTSD treatment in times of COVID-19: A systematic review of the effects of online EMDR. Psychiatry Res. 2020, 293, 113438. [Google Scholar] [CrossRef] [PubMed]
- Dinapoli, L.; Ferrarese, D.; Belella, D.; Carnevale, S.; Camardese, G.; Sani, G.; Chieffo, D.P.R. Psychological treatment of traumatic memories in COVID-19 survivors. Clin. Psychol. Psychother. 2023, 30, 225–233. [Google Scholar] [CrossRef]
- Hanley, T. Researching online counselling and psychotherapy: The past, the present and the future. Couns. Psychother. Res. 2021, 21, 493–497. [Google Scholar] [CrossRef]
- Koc, H.C.; Xiao, J.; Liu, W.; Li, Y.; Chen, G. Long COVID and its Management. Int. J. Biol. Sci. 2022, 18, 4768. [Google Scholar] [CrossRef]
- Hinman, R.S.; Maher, C.G. Rehabilitation for post-covid-19 condition. BMJ 2024, 384, q20. [Google Scholar] [CrossRef]
- Carpallo-Porcar, B.; Romo-Calvo, L.; Pérez-Palomares, S.; Jiménez-Sánchez, C.; Herrero, P.; Brandin-de La Cruz, N.; Calvo, S. Efficacy of an asynchronous telerehabilitation program in post-COVID-19 patients: A protocol for a pilot randomized controlled trial. PLoS ONE 2022, 17, e0270766. [Google Scholar] [CrossRef]
- Shapiro, F. Eye Movement Desensitization and Reprocessing: Basic Principles, Protocols and Procedures, 1st ed.; Guilford Press: New York, NY, USA, 1995. [Google Scholar]
- Korn, D.L. EMDR and the treatment of complex PTSD: A review. J. EMDR Pract. Res. 2009, 3, 264–278. [Google Scholar] [CrossRef]
- Maxfield, L.; Hyer, L. The relationship between efficacy and methodology in studies investigating EMDR treatment of PTSD. J. Clin. Psychol. 2002, 58, 23–41. [Google Scholar] [CrossRef]
- Shapiro, F. Efficacy of the Eye Movement Desensitization Procedure in the Treatment of Traumatic Memories. J. Trauma. Stress 1989, 2, 199–223. [Google Scholar] [CrossRef]
- Mevissen, L.; Lievegoed, R.; De Jongh, A. EMDR treatment in people with mild ID and PTSD: 4 cases. Psychiatr. Q. 2011, 82, 43–57. [Google Scholar] [CrossRef] [PubMed]
- Valiente-Gómez, A.; Moreno-Alcázar, A.; Treen, D.; Cedrón, C.; Colom, F.; Perez, V.; Amann, B.L. EMDR beyond PTSD: A systematic literature review. Front. Psychol. 2017, 8, 1668. [Google Scholar] [CrossRef] [PubMed]
- Maxfield, L. Low-intensity interventions and EMDR therapy. J. EMDR Pract. Res. 2021. [Google Scholar] [CrossRef]
- Hase, M. The Structure of EMDR Therapy: A Guide for the Therapist. Front. Psychol. 2021, 12, 660753. [Google Scholar] [CrossRef]
- Fisher, J. Adapting EMDR techniques in the treatment of dysregulated or dissociative patients. In Proceedings of the International Society for the Study of Dissociation Annual Meeting, San Antonio, TX, USA, 12 November 2000. [Google Scholar]
- Fisher, N. Using EMDR therapy to treat clients remotely. J. EMDR Pract. Res. 2021, 15, 73–84. [Google Scholar] [CrossRef]
- Lo Sciuto, G.; Russo, S.; Napoli, C. A cloud-based flexible solution for psychometric tests validation, administration and evaluation. CEUR Workshop Proc. 2019, 2468, 16–21. [Google Scholar]
- Riva, G. Virtual reality in psychotherapy. Cyberpsychol. Behav. 2005, 8, 220–230. [Google Scholar] [CrossRef]
- Napoli, C.; Napoli, C.; Ponzi, V.; Puglisi, A.; Russo, S.; Tibermacine, I.E. Exploiting Robots as Healthcare Resources for Epidemics Management and Support Caregivers. CEUR Workshop Proc. 2024, 3686, 1–10. [Google Scholar]
- Eichenberg, C. Application of virtual realities in psychotherapy: Possibilities, limitations and effectiveness. In Virtual Reality; BoD—Books on Demand: Norderstedt, Germany, 2011; pp. 469–484. [Google Scholar]
- Fiani, F.; Russo, S.; Napoli, C. An Advanced Solution Based on Machine Learning for Remote EMDR Therapy. Technologies 2023, 11, 172. [Google Scholar] [CrossRef]
- Flannery, T.; Brady-Sawant, H.; Tarrant, R.; Davison, J.; Shardha, J.; Halpin, S.; Sivan, M.; Ross, D. A mixed-methods evaluation of a virtual rehabilitation program for self-management in post-COVID-19 syndrome (long COVID). Int. J. Environ. Res. Public Health 2022, 19, 12680. [Google Scholar] [CrossRef] [PubMed]
- León-Herrera, S.; Magallón-Botaya, R.; Oliván-Blázquez, B.; Sagarra-Romero, L.; Jaurrieta, C.M.; Méndez-López, F. Online multimodal rehabilitation programme to improve symptoms and quality of life for adults diagnosed with long COVID-19: A Randomised Clinical Trial protocol. Front. Public Health 2023, 11, 1222888. [Google Scholar] [CrossRef] [PubMed]
- Rinn, R.; Gao, L.; Schoeneich, S.; Dahmen, A.; Anand Kumar, V.; Becker, P.; Lippke, S. Digital interventions for treating post-COVID or long-COVID symptoms: Scoping review. J. Med Internet Res. 2023, 25, e45711. [Google Scholar] [CrossRef] [PubMed]
- Shapiro, E. EMDR and early psychological intervention following trauma. Eur. Rev. Appl. Psychol. 2012, 62, 241–251. [Google Scholar] [CrossRef]
- Soriano, J.B.; Murthy, S.; Marshall, J.C.; Relan, P.; Diaz, J.V. A clinical case definition of post-COVID-19 condition by a Delphi consensus. Lancet Infect. Dis. 2022, 22, e102–e107. [Google Scholar] [CrossRef]
- Davis, H.E.; McCorkell, L.; Vogel, J.M.; Topol, E.J. Long COVID: Major findings, mechanisms and recommendations. Nat. Rev. Microbiol. 2023, 21, 133–146. [Google Scholar] [CrossRef]
- Stoll, J.; Müller, J.A.; Trachsel, M. Ethical issues in online psychotherapy: A narrative review. Front. Psychiatry 2020, 10, 993. [Google Scholar] [CrossRef]
- Kraus, R. Ethical issues in online counseling. In Online Counseling; Elsevier: Amsterdam, The Netherlands, 2011; pp. 85–106. [Google Scholar]
- Wolpe, J. The Practice of Behavior Therapy; Pergamon Press: Oxford, UK, 1990. [Google Scholar]
- Kim, D.; Bae, H.; Park, Y.C. Validity of the subjective units of disturbance scale in EMDR. J. EMDR Pract. Res. 2008, 2, 57. [Google Scholar] [CrossRef]
- Montgomery, R.W.; Ayllon, T. Eye movement desensitization across subjects: Subjective and physiological measures of treatment efficacy. J. Behav. Ther. Exp. Psychiatry 1994, 25, 217–230. [Google Scholar] [CrossRef]
- Weiss, D.; Marmar, C. Impact of Event Scale-Revised (IES-R). APA PsycTests. 1997. [Google Scholar] [CrossRef]
- Christianson, S.; Marren, J. The impact of event scale-revised (IES-R). Medsurg. Nurs. 2012, 21, 321–322. [Google Scholar] [PubMed]
- Creamer, M.; Bell, R.; Failla, S. Psychometric properties of the impact of event scale—revised. Behav. Res. Ther. 2003, 41, 1489–1496. [Google Scholar] [CrossRef] [PubMed]
- Weathers, F.W.; Litz, B.T.; Keane, T.M.; Palmieri, P.A.; Marx, B.P.; Schnurr, P.P. The PTSD Checklist for DSM-5 (PCL-5); National Center for PTSD: London, UK, 2013.
- Blevins, C.A.; Weathers, F.W.; Davis, M.T.; Witte, T.K.; Domino, J.L. The posttraumatic stress disorder checklist for DSM-5 (PCL-5): Development and initial psychometric evaluation. J. Trauma. Stress 2015, 28, 489–498. [Google Scholar] [CrossRef] [PubMed]
- Weiss, D.S. The impact of event scale: Revised. In Cross-Cultural Assessment of Psychological Trauma and PTSD; Springer: Boston, MA, USA, 2007; pp. 219–238. [Google Scholar]
- Shapiro, E.; Laub, B. Early EMDR intervention (EEI): A summary, a theoretical model, and the recent traumatic episode protocol (R-TEP). J. EMDR Pract. Res. 2008, 2, 79. [Google Scholar] [CrossRef]
- Shapiro, E.; Laub, B. Early EMDR intervention following a community critical incident: A randomized clinical trial. J. EMDR Pract. Res. 2015, 9, 17–27. [Google Scholar] [CrossRef]
- Lehnung, M.; Shapiro, E.; Schreiber, M.; Hofmann, A. Evaluating the EMDR Group traumatic episode protocol with refugees: A field study. J. EMDR Pract. Res. 2017, 11, 129–138. [Google Scholar] [CrossRef]
- Yurtsever, A.; Bakalim, O.; Karaman, Ş.; Kaya, S.; Konuk, E. The effect of the online eye movement desensitization and reprocessing early intervention protocol (EMDR R-TEP) for the risk groups with post-traumatic stress symptoms during the COVID-19 pandemic. Front. Psychol. 2022, 13, 935782. [Google Scholar] [CrossRef]
- Shapiro, E. EMDR Recent Traumatic Event (RTE) protocol guidelines (adapted from Roger Solomon’s workshops). Electron. J. EMDR-Isr. 2003. Available online: https://www.emdr.org.il/wp-content/uploads/2018/05/marchproto.pdf (accessed on 26 November 2024).
- Moring, J.C.; Dondanville, K.A.; Fina, B.A.; Hassija, C.; Chard, K.; Monson, C.; LoSavio, S.T.; Wells, S.Y.; Morland, L.A.; Kaysen, D.; et al. Cognitive processing therapy for posttraumatic stress disorder via telehealth: Practical considerations during the COVID-19 pandemic. J. Trauma. Stress 2020, 33, 371–379. [Google Scholar] [CrossRef]
- Morland, L.A.; Wells, S.Y.; Glassman, L.H.; Greene, C.J.; Hoffman, J.E.; Rosen, C.S. Advances in PTSD treatment delivery: Review of findings and clinical considerations for the use of telehealth interventions for PTSD. Curr. Treat. Options Psychiatry 2020, 7, 221–241. [Google Scholar] [CrossRef]
- Malka, M.; Gropp, C.; Jaworowski, S.; Oberbaum, M.; Katz, D.E. Telepsychiatry for patients with post-traumatic stress disorder during the COVID-19 outbreak. Curr. Treat. Options Psychiatry 2021, 8, 158–165. [Google Scholar] [CrossRef]
- Iacobelli, E.; Ponzi, V.; Russo, S.; Napoli, C. Eye-Tracking System with Low-End Hardware: Development and Evaluation. Information 2023, 14, 644. [Google Scholar] [CrossRef]



| Pre | Post | Δ | Effect Size (Cohen’s d) | ANOVA | ||||||
|---|---|---|---|---|---|---|---|---|---|---|
| m | SD | m | SD | m | SD | F | p | |||
| SUDs (in-person) | 8.37 | 1.43 | 1.82 | 1.46 | 6.55 | 2.13 | 1.85 | 1557.13 | < | |
| SUDs (online) | 8.55 | 1.30 | 1.75 | 1.43 | 6.80 | 2.09 | 2.17 | 1568.14 | < | |
| Difference (Cohen’s d) | 0.05 | 0.02 | 0.04 | |||||||
| ANOVA | F | 0.44 | 0.13 | 1.51 | ||||||
| p | 0.50 | 0.72 | 0.22 | |||||||
| PCL-5 (in-person) | 28.43 | 15.55 | 8.38 | 7.49 | 20.20 | 13.01 | 1.16 | 263.05 | < | |
| PCL-5 (online) | 30.37 | 15.89 | 8.62 | 6.89 | 21.96 | 13.78 | 1.25 | 271.08 | < | |
| Difference (Cohen’s d) | <0.01 | <0.01 | <0.01 | |||||||
| ANOVA | F | 0.59 | 0.08 | 0.90 | ||||||
| p | 0.44 | 0.78 | 0.35 | |||||||
| IES-R (in-person) | 38.41 | 17.24 | 11.01 | 9.39 | 27.90 | 16.65 | 1.39 | 368.71 | < | |
| IES-R (online) | 40.08 | 16.28 | 11.68 | 8.52 | 28.76 | 14.85 | 1.54 | 413.59 | < | |
| Difference (Cohen’s d) | 0.07 | 0.05 | 0.04 | |||||||
| ANOVA | F | 0.51 | 0.19 | 0.09 | ||||||
| p | 0.48 | 0.66 | 0.76 | |||||||
Disclaimer/Publisher’s Note: The statements, opinions and data contained in all publications are solely those of the individual author(s) and contributor(s) and not of MDPI and/or the editor(s). MDPI and/or the editor(s) disclaim responsibility for any injury to people or property resulting from any ideas, methods, instructions or products referred to in the content. |
© 2024 by the authors. Licensee MDPI, Basel, Switzerland. This article is an open access article distributed under the terms and conditions of the Creative Commons Attribution (CC BY) license (https://creativecommons.org/licenses/by/4.0/).
Share and Cite
Russo, S.; Fiani, F.; Napoli, C. Remote Eye Movement Desensitization and Reprocessing Treatment of Long-COVID- and Post-COVID-Related Traumatic Disorders: An Innovative Approach. Brain Sci. 2024, 14, 1212. https://doi.org/10.3390/brainsci14121212
Russo S, Fiani F, Napoli C. Remote Eye Movement Desensitization and Reprocessing Treatment of Long-COVID- and Post-COVID-Related Traumatic Disorders: An Innovative Approach. Brain Sciences. 2024; 14(12):1212. https://doi.org/10.3390/brainsci14121212
Chicago/Turabian StyleRusso, Samuele, Francesca Fiani, and Christian Napoli. 2024. "Remote Eye Movement Desensitization and Reprocessing Treatment of Long-COVID- and Post-COVID-Related Traumatic Disorders: An Innovative Approach" Brain Sciences 14, no. 12: 1212. https://doi.org/10.3390/brainsci14121212
APA StyleRusso, S., Fiani, F., & Napoli, C. (2024). Remote Eye Movement Desensitization and Reprocessing Treatment of Long-COVID- and Post-COVID-Related Traumatic Disorders: An Innovative Approach. Brain Sciences, 14(12), 1212. https://doi.org/10.3390/brainsci14121212

