Personalized Dose Selection for Treatment of Patients with Neuropsychiatric Disorders Using tDCS
Abstract
1. Introduction
2. Methodology
2.1. Data Description
2.2. Electric Field Simulation
2.2.1. Average Current Density (ACD)
2.2.2. Individualized Dosage
2.2.3. Dose Target Determination Index (DTDI)
2.3. Estimation of Volume Parameters
2.4. Statistical Analyses
3. Results
3.1. Demographics and Clinical Results
3.2. Volumetric Results
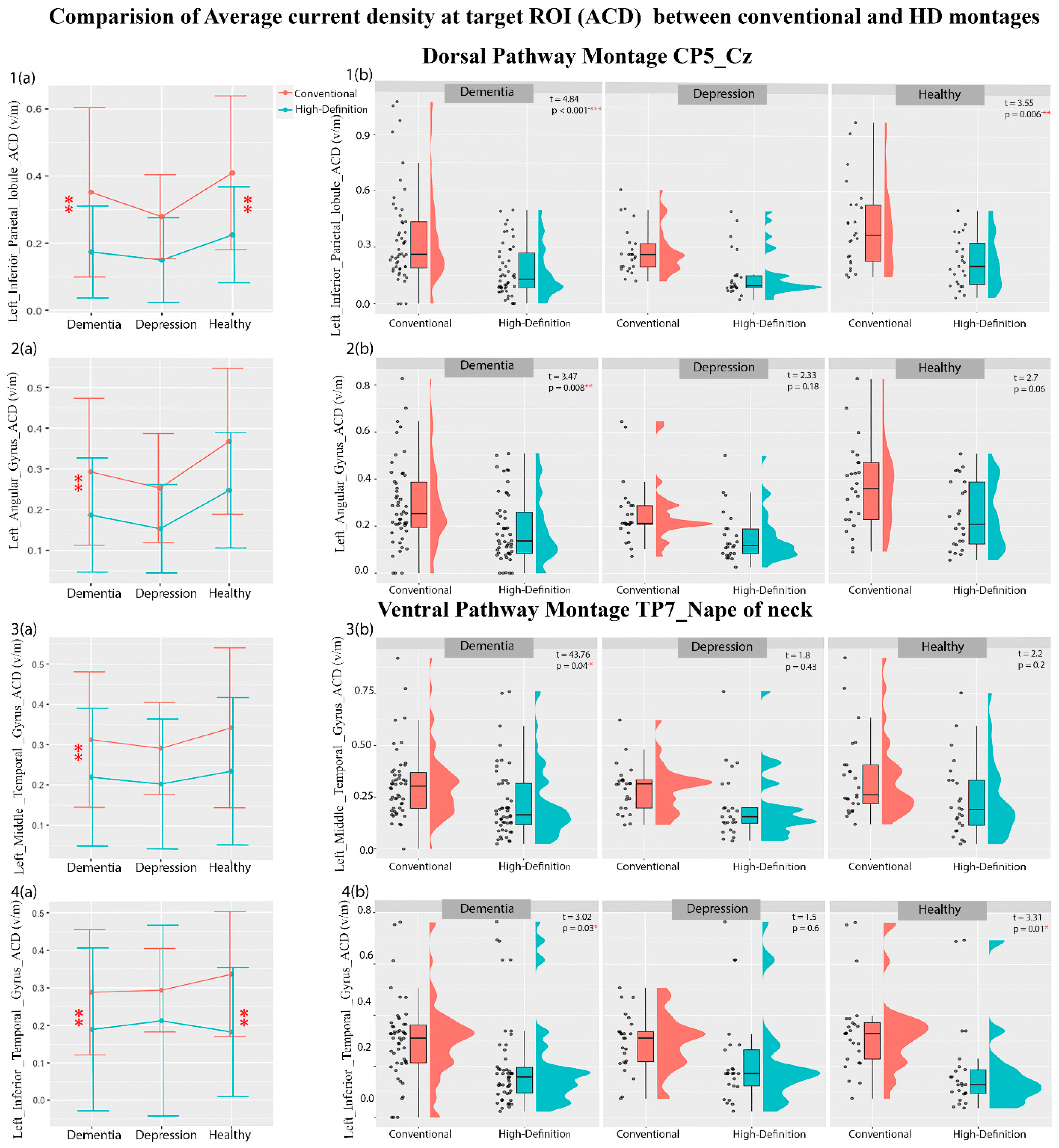
3.3. Electric Field Simulation Results
Cross Validation of the Result
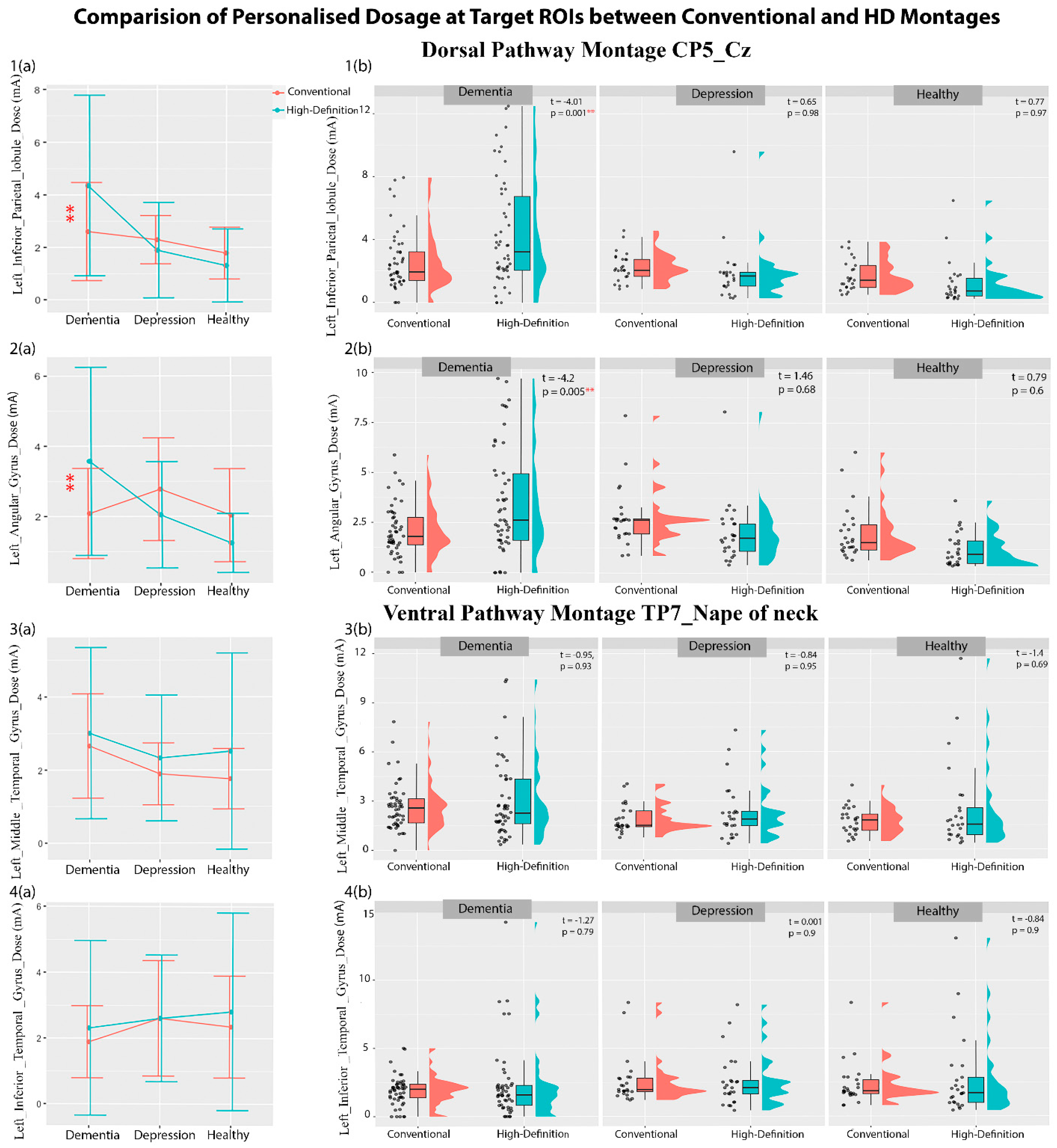
3.4. Relation of Atrophy and Personalized Dosage
4. Discussion
5. Limitation and Future Direction
6. Conclusions
Supplementary Materials
Author Contributions
Funding
Institutional Review Board Statement
Informed Consent Statement
Data Availability Statement
Conflicts of Interest
References
- Parlikar, R.; Sreeraj, V.S.; Shivakumar, V.; Janardhanan, N.C.; Naren, R.P.; Ganesan, V. High Definition Transcranial Direct Current Stimulation (HD-tDCS): A Systematic Review on the Treatment of Neuropsychiatric Disorders. Asian J. Psychiatry 2021, 56, 102542. [Google Scholar] [CrossRef] [PubMed]
- Woods, A.J.; Antal, A.; Bikson, M.; Boggio, P.S.; Brunoni, A.R.; Celnik, P.; Cohen, L.G.; Fregni, F.; Herrmann, C.S.; Kappenman, E.S. A Technical Guide to tDCS, and Related Non-Invasive Brain Stimulation Tools. Clin. Neurophysiol. 2016, 127, 1031–1048. [Google Scholar] [CrossRef] [PubMed]
- Krishnan, C.; Santos, L.; Peterson, M.D.; Ehinger, M. Safety of Noninvasive Brain Stimulation in Children and Adolescents. Brain Stimulat. 2015, 8, 76–87. [Google Scholar] [CrossRef]
- Galli, G.; Vadillo, M.A.; Sirota, M.; Feurra, M.; Medvedeva, A. A Systematic Review and Meta-Analysis of the Effects of Transcranial Direct Current Stimulation (tDCS) on Episodic Memory. Brain Stimulat. 2019, 12, 231–241. [Google Scholar] [CrossRef]
- Vergallito, A.; Feroldi, S.; Pisoni, A.; Romero Lauro, L.J. Inter-Individual Variability in tDCS Effects: A Narrative Review on the Contribution of Stable, Variable, and Contextual Factors. Brain Sci. 2022, 12, 522. [Google Scholar] [CrossRef]
- Evans, C.; Bachmann, C.; Lee, J.S.A.; Gregoriou, E.; Ward, N.; Bestmann, S. Dose-Controlled tDCS Reduces Electric Field Intensity Variability at a Cortical Target Site. Brain Stimulat. 2020, 13, 125–136. [Google Scholar] [CrossRef]
- Indahlastari, A.; Albizu, A.; O’Shea, A.; Forbes, M.A.; Nissim, N.R.; Kraft, J.N.; Evangelista, N.D.; Hausman, H.K.; Woods, A.J.; Initiative, A.D.N. Modeling Transcranial Electrical Stimulation in the Aging Brain. Brain Stimulat. 2020, 13, 664–674. [Google Scholar] [CrossRef]
- Dmochowski, J.P.; Datta, A.; Huang, Y.; Richardson, J.D.; Bikson, M.; Fridriksson, J.; Parra, L.C. Targeted Transcranial Direct Current Stimulation for Rehabilitation after Stroke. NeuroImage 2013, 75, 12–19. [Google Scholar] [CrossRef]
- Edwards, D.; Cortes, M.; Datta, A.; Minhas, P.; Wassermann, E.M.; Bikson, M. Physiological and Modeling Evidence for Focal Transcranial Electrical Brain Stimulation in Humans: A Basis for High-Definition tDCS. NeuroImage 2013, 74, 266–275. [Google Scholar] [CrossRef]
- Huang, Y.; Liu, A.A.; Lafon, B.; Friedman, D.; Dayan, M.; Wang, X.; Bikson, M.; Doyle, W.K.; Devinsky, O.; Parra, L.C. Measurements and Models of Electric Fields in the in Vivo Human Brain during Transcranial Electric Stimulation. eLife 2017, 6, e18834. [Google Scholar] [CrossRef]
- Herrera-Melendez, A.-L.; Bajbouj, M.; Aust, S. Application of Transcranial Direct Current Stimulation in Psychiatry. Neuropsychobiology 2019, 79, 372–383. [Google Scholar] [CrossRef] [PubMed]
- Bhattacharjee, S.; Kashyap, R.; Udupa, K.; Bashir, S.; Venkatsubramanian, G.; Oishi, K.; Desmond, J.E.; Rapp, B.; Chen, S.A. Alignment of Behaviour and tDCS Stimulation Site Induces Maximum Response: Evidence from Online tDCS and ERP. Sci. Rep. 2024, 14, 19715. [Google Scholar] [CrossRef] [PubMed]
- Khadka, N.; Borges, H.; Paneri, B.; Kaufman, T.; Nassis, E.; Zannou, A.L.; Shin, Y.; Choi, H.; Kim, S.; Lee, K. Adaptive Current tDCS up to 4 mA. Brain Stimulat. 2020, 13, 69–79. [Google Scholar] [CrossRef]
- Bhattacharjee, S.; Kashyap, R.; Goodwill, A.M.; O’Brien, B.A.; Rapp, B.; Oishi, K.; Desmond, J.E.; Chen, S.A. Sex Difference in tDCS Current Mediated by Changes in Cortical Anatomy: A Study across Young, Middle and Older Adults. Brain Stimulat. 2022, 15, 125–140. [Google Scholar] [CrossRef]
- Kashyap, R.; Bhattacharjee, S.; Bharath, R.D.; Venkatasubramanian, G.; Udupa, K.; Bashir, S.; Oishi, K.; Desmond, J.E.; Chen, S.A.; Guan, C. Variation of Cerebrospinal Fluid in Specific Regions Regulates Focality in Transcranial Direct Current Stimulation. Front. Hum. Neurosci. 2022, 16, 952602. [Google Scholar] [CrossRef]
- Alam, M.; Truong, D.Q.; Khadka, N.; Bikson, M. Spatial and Polarity Precision of Concentric High-Definition Transcranial Direct Current Stimulation (HD-tDCS). Phys. Med. Biol. 2016, 61, 4506–4521. [Google Scholar] [CrossRef]
- Mikkonen, M.; Laakso, I.; Tanaka, S.; Hirata, A. Cost of Focality in TDCS: Interindividual Variability in Electric Fields. Brain Stimulat. 2020, 13, 117–124. [Google Scholar] [CrossRef]
- Rosen, H.J.; Gorno–Tempini, M.L.; Goldman, W.P.; Perry, R.J.; Schuff, N.; Weiner, M.; Feiwell, R.; Kramer, J.H.; Miller, B.L. Patterns of Brain Atrophy in Frontotemporal Dementia and Semantic Dementia. Neurology 2002, 58, 198–208. [Google Scholar] [CrossRef]
- Frisoni, G.B.; Beltramello, A.; Geroldi, C.; Weiss, C.; Bianchetti, A.; Trabucchi, M. Brain Atrophy in Frontotemporal Dementia. J. Neurol. Neurosurg. Psychiatry 1996, 61, 157–165. [Google Scholar] [CrossRef]
- Korf, E.S.; Wahlund, L.-O.; Visser, P.J.; Scheltens, P. Medial Temporal Lobe Atrophy on MRI Predicts Dementia in Patients with Mild Cognitive Impairment. Neurology 2004, 63, 94–100. [Google Scholar] [CrossRef]
- Egger, K.; Schocke, M.; Weiss, E.; Auffinger, S.; Esterhammer, R.; Goebel, G.; Walch, T.; Mechtcheriakov, S.; Marksteiner, J. Pattern of Brain Atrophy in Elderly Patients with Depression Revealed by Voxel-Based Morphometry. Psychiatry Res. Neuroimaging 2008, 164, 237–244. [Google Scholar] [CrossRef] [PubMed]
- Bhattacharjee, S.; Kashyap, R.; O’Brien, B.A.; McCloskey, M.; Oishi, K.; Desmond, J.E.; Rapp, B.; Chen, S.A. Reading Proficiency Influences the Effects of Transcranial Direct Current Stimulation: Evidence from Selective Modulation of Dorsal and Ventral Pathways of Reading in Bilinguals. Brain Lang. 2020, 210, 104850. [Google Scholar] [CrossRef] [PubMed]
- Bhattacharjee, S.; Kashyap, R.; Rapp, B.; Oishi, K.; Desmond, J.E.; Chen, S.A. Simulation Analyses of tDCS Montages for the Investigation of Dorsal and Ventral Pathways. Sci. Rep. 2019, 9, 12178. [Google Scholar] [CrossRef]
- Bhattacharjee, S.; Chew, A.; Kashyap, R.; Wu, C.; Yeo, M.; O’Brien, B.; Rapp, B.; McCloskey, M.; Oishi, K.; Desmond, J.; et al. Could tDCS Modulate Bilingual Reading? Brain Stimul. Basic Transl. Clin. Res. Neuromodul. 2019, 12, 569. [Google Scholar] [CrossRef]
- Tak, P.; Rohilla, J.; Jhanwar, S. Comparison of Two Screening Instruments to Detect Dementia in Indian Elderly Subjects in a Clinical Setting. J. Fam. Med. Prim. Care 2021, 10, 657–661. [Google Scholar] [CrossRef]
- Lee, J.; Petrosyan, S.; Khobragade, P.; Banerjee, J.; Chien, S.; Weerman, B.; Gross, A.; Hu, P.; Smith, J.A.; Zhao, W.; et al. Deep Phenotyping and Genomic Data from a Nationally Representative Study on Dementia in India. Sci. Data 2023, 10, 45. [Google Scholar] [CrossRef]
- Lee, J.; Khobragade, P.Y.; Banerjee, J.; Chien, S.; Angrisani, M.; Perianayagam, A.; Bloom, D.E.; Dey, A.B. Design and Methodology of the Longitudinal Aging Study in India-Diagnostic Assessment of Dementia (LASI-DAD). J. Am. Geriatr. Soc. 2020, 68, S5–S10. [Google Scholar] [CrossRef]
- Huang, Y.; Datta, A.; Bikson, M.; Parra, L.C. Realistic Volumetric-Approach to Simulate Transcranial Electric Stimulation—ROAST—A Fully Automated Open-Source Pipeline. J. Neural Eng. 2019, 16, 056006. [Google Scholar] [CrossRef]
- Kashyap, R.; Bhattacharjee, S.; Arumugam, R.; Bharath, R.D.; Udupa, K.; Oishi, K.; Desmond, J.E.; Chen, S.A.; Guan, C. Focality-Oriented Selection of Current Dose for Transcranial Direct Current Stimulation. J. Pers. Med. 2021, 11, 940. [Google Scholar] [CrossRef]
- Kashyap, R.; Bhattacharjee, S.; Arumugam, R.; Oishi, K.; Desmond, J.E.; Chen, S.A. I-SATA: A MATLAB Based Toolbox to Estimate Current Density Generated by Transcranial Direct Current Stimulation in an Individual Brain. J. Neural Eng. 2020, 17, 056034. [Google Scholar] [CrossRef]
- Eickhoff, S.B.; Stephan, K.E.; Mohlberg, H.; Grefkes, C.; Fink, G.R.; Amunts, K.; Zilles, K. A New SPM Toolbox for Combining Probabilistic Cytoarchitectonic Maps and Functional Imaging Data. NeuroImage 2005, 25, 1325–1335. [Google Scholar] [CrossRef] [PubMed]
- Jobard, G.; Crivello, F.; Tzourio-Mazoyer, N. Evaluation of the Dual Route Theory of Reading: A Metanalysis of 35 Neuroimaging Studies. NeuroImage 2003, 20, 693–712. [Google Scholar] [CrossRef] [PubMed]
- Hussey, E.K.; Ward, N.; Christianson, K.; Kramer, A.F. Language and Memory Improvements Following tDCS of Left Lateral Prefrontal Cortex. PLoS ONE 2015, 10, e0141417. [Google Scholar] [CrossRef] [PubMed]
- Monti, A.; Ferrucci, R.; Fumagalli, M.; Mameli, F.; Cogiamanian, F.; Ardolino, G.; Priori, A. Transcranial Direct Current Stimulation (tDCS) and Language. J. Neurol. Neurosurg. Psychiatry 2013, 84, 832–842. [Google Scholar] [CrossRef] [PubMed]
- Pellicciari, M.C.; Miniussi, C. Transcranial Direct Current Stimulation in Neurodegenerative Disorders. J. ECT 2018, 34, 193–202. [Google Scholar] [CrossRef]
- Westwood, S.J.; Olson, A.; Miall, R.C.; Nappo, R.; Romani, C. Limits to tDCS Effects in Language: Failures to Modulate Word Production in Healthy Participants with Frontal or Temporal tDCS. Cortex 2017, 86, 64–82. [Google Scholar] [CrossRef]
- Evans, A.C.; Janke, A.L.; Collins, D.L.; Baillet, S. Brain Templates and Atlases. NeuroImage 2012, 62, 911–922. [Google Scholar] [CrossRef]
- Gaser, C.; Dahnke, R.; Thompson, P.M.; Kurth, F.; Luders, E.; Initiative, A.D.N. CAT—A Computational Anatomy Toolbox for the Analysis of Structural MRI Data. bioRxiv 2022. [Google Scholar] [CrossRef]
- Farokhian, F.; Beheshti, I.; Sone, D.; Matsuda, H. Comparing CAT12 and VBM8 for Detecting Brain Morphological Abnormalities in Temporal Lobe Epilepsy. Front. Neurol. 2017, 8, 428. [Google Scholar] [CrossRef]
- Cousijn, J.; Wiers, R.W.; Ridderinkhof, K.R.; van den Brink, W.; Veltman, D.J.; Goudriaan, A.E. Grey Matter Alterations Associated with Cannabis Use: Results of a VBM Study in Heavy Cannabis Users and Healthy Controls. NeuroImage 2012, 59, 3845–3851. [Google Scholar] [CrossRef]
- Bigler, E.D.; Tate, D.F. Brain Volume, Intracranial Volume, and Dementia. Investig. Radiol. 2001, 36, 539–546. [Google Scholar] [CrossRef] [PubMed]
- Fava, G.A.; Kellner, R.; Munari, F.; Pavan, L. The Hamilton Depression Rating Scale in Normals and Depressives. Acta Psychiatr. Scand. 1982, 66, 26–32. [Google Scholar] [CrossRef]
- Ganguli, M.; Ratcliff, G.; Chandra, V.; Sharma, S.; Gilby, J.; Pandav, R.; Belle, S.; Ryan, C.; Baker, C.; Seaberg, E.; et al. A Hindi Version of the MMSE: The Development of a Cognitive Screening Instrument for a Largely Illiterate Rural Elderly Population in India. Int. J. Geriatr. Psychiatry 1995, 10, 367–377. [Google Scholar] [CrossRef]
- Nitsche, M.A.; Bikson, M. Extending the Parameter Range for tDCS: Safety and Tolerability of 4 mA Stimulation. Brain Stimul. Basic Transl. Clin. Res. Neuromodul. 2017, 10, 541–542. [Google Scholar] [CrossRef]
- Breitling, C.; Zaehle, T.; Dannhauer, M.; Tegelbeckers, J.; Flechtner, H.-H.; Krauel, K. Comparison between Conventional and HD-tDCS of the Right Inferior Frontal Gyrus in Children and Adolescents with ADHD. Clin. Neurophysiol. 2020, 131, 1146–1154. [Google Scholar] [CrossRef]
- Kuo, H.-I.; Bikson, M.; Datta, A.; Minhas, P.; Paulus, W.; Kuo, M.-F.; Nitsche, M.A. Comparing Cortical Plasticity Induced by Conventional and High-Definition 4 × 1 Ring tDCS: A Neurophysiological Study. Brain Stimulat. 2013, 6, 644–648. [Google Scholar] [CrossRef]
- Hoornweder, S.V.; Caulfield, K.A.; Nitsche, M.; Thielscher, A.; Meesen, R.L.J. Addressing Transcranial Electrical Stimulation Variability through Prospective Individualized Dosing of Electric Field Strength in 300 Participants across Two Samples: The 2-SPED Approach. J. Neural Eng. 2022, 19, 056045. [Google Scholar] [CrossRef]
- Bikson, M.; Datta, A.; Elwassif, M. Establishing Safety Limits for Transcranial Direct Current Stimulation. Clin. Neurophysiol. 2009, 120, 1033. [Google Scholar] [CrossRef]
- Mizutani-Tiebel, Y.; Takahashi, S.; Karali, T.; Mezger, E.; Bulubas, L.; Papazova, I.; Dechantsreiter, E.; Stoecklein, S.; Papazov, B.; Thielscher, A.; et al. Differences in Electric Field Strength between Clinical and Non-Clinical Populations Induced by Prefrontal tDCS: A Cross-Diagnostic, Individual MRI-Based Modeling Study. NeuroImage Clin. 2022, 34, 103011. [Google Scholar] [CrossRef]
- Niemann, F.; Riemann, S.; Hubert, A.-K.; Antonenko, D.; Thielscher, A.; Martin, A.K.; Unger, N.; Flöel, A.; Meinzer, M. Electrode Positioning Errors Reduce Current Dose for Focal tDCS Set-Ups: Evidence from Individualized Electric Field Mapping. Clin. Neurophysiol. 2024, 162, 201–209. [Google Scholar] [CrossRef]
- Caulfield, K.A.; Badran, B.W.; DeVries, W.H.; Summers, P.M.; Kofmehl, E.; Li, X.; Borckardt, J.J.; Bikson, M.; George, M.S. Transcranial Electrical Stimulation Motor Threshold Can Estimate Individualized tDCS Dosage from Reverse-Calculation Electric-Field Modeling. Brain Stimulat. 2020, 13, 961–969. [Google Scholar] [CrossRef]
- Antonenko, D.; Grittner, U.; Puonti, O.; Flöel, A.; Thielscher, A. Estimation of Individually Induced E-Field Strength during Transcranial Electric Stimulation Using the Head Circumference. Brain Stimulat. 2021, 14, 1055–1058. [Google Scholar] [CrossRef] [PubMed]
- Wansbrough, K.; Tan, J.; Vallence, A.-M.; Fujiyama, H. Recent Advancements in Optimising Transcranial Electrical Stimulation: Reducing Response Variability through Individualised Stimulation. Curr. Opin. Behav. Sci. 2024, 56, 101360. [Google Scholar] [CrossRef]
- Antonenko, D.; Grittner, U.; Saturnino, G.; Nierhaus, T.; Thielscher, A.; Flöel, A. Inter-Individual and Age-Dependent Variability in Simulated Electric Fields Induced by Conventional Transcranial Electrical Stimulation. NeuroImage 2021, 224, 117413. [Google Scholar] [CrossRef] [PubMed]
- Mahdavi, S.; Towhidkhah, F.; Initiative, A.D.N. Computational Human Head Models of tDCS: Influence of Brain Atrophy on Current Density Distribution. Brain Stimulat. 2018, 11, 104–107. [Google Scholar] [CrossRef]
- Thomas, C.; Datta, A.; Woods, A. Effect of Aging on Cortical Current Flow Due to Transcranial Direct Current Stimulation: Considerations for Safety. In Proceedings of the 2018 40th Annual International Conference of the IEEE Engineering in Medicine and Biology Society (EMBC), Honolulu, HI, USA, 18–21 July 2018; pp. 3084–3087. [Google Scholar]
- Evans, C.; Zich, C.; Lee, J.S.; Ward, N.; Bestmann, S. Inter-Individual Variability in Current Direction for Common tDCS Montages. NeuroImage 2022, 260, 119501. [Google Scholar] [CrossRef]
- Hogeveen, J.; Grafman, J.; Aboseria, M.; David, A.; Bikson, M.; Hauner, K.K. Effects of High-Definition and Conventional tDCS on Response Inhibition. Brain Stimulat. 2016, 9, 720–729. [Google Scholar] [CrossRef]
- Masina, F.; Arcara, G.; Galletti, E.; Cinque, I.; Gamberini, L.; Mapelli, D. Neurophysiological and Behavioural Effects of Conventional and High Definition tDCS. Sci. Rep. 2021, 11, 7659. [Google Scholar] [CrossRef]
- López-Alonso, V.; Cheeran, B.; Río-Rodríguez, D.; Fernández-del-Olmo, M. Inter-Individual Variability in Response to Non-Invasive Brain Stimulation Paradigms. Brain Stimulat. 2014, 7, 372–380. [Google Scholar] [CrossRef]




| Group | Age (Sex) | HMSE Score | HDRS Score |
|---|---|---|---|
| Dementia (n = 50) | 66.38 ± 6.04, (20F, 30M) | 22.6 ± 5.5 | 9.98 ± 5.39 |
| Depression (n = 25) | 67.52 ± 6.03 (10F, 15M) | 27.66 ± 2.55 | 19.2 ± 7.105 |
| Healthy (n = 25) | 65.85 ± 5.82 (11F, 14M) | 29.40 ± 2. 32 | 1.9 ± 0.63 |
| |||||
|---|---|---|---|---|---|
| ROIs | R2 | Montage | Montage × Patient Group | ||
| t-Value | p-Value | t-Value | p-Value | ||
| L_Inferior_Parietal_Lobule_ACD | 0.205 | −4.84 | <2 × 10−16 *** | −1.62 | 0.000002 *** |
| L_Angular_Gyrus_ACD | 0.162 | −3.47 | 0.000628 *** | −1.06 | 0.045 * |
| L_MiddleTemporalGyrus_ACD | 0.11 | −2.76 | 0.0062 ** | −1.71 | 0.08 |
| L_InferiorTemporalGyrus_ACD | 0.12 | −2.63 | 0.0092 ** | 1.03 | 0.03 * |
| L_Inferior_Parietal_Lobule_Dose | 0.197 | 4.01 | 0.000086 *** | −2.84 | 0.0048 ** |
| L_Angular_Gyrus_Dose | 0.163 | 4.23 | 0.000035 *** | −3.64 | 0.00034 *** |
| L_MiddleTemporalGyrus_Dose | 0.09 | −1.71 | 0.045 * | 0.13 | 0.52 |
| L_InferiorTemporalGyrus_Dose | 0.10 | 1.01 | 0.031 * | −0.58 | 0.55 |
| |||||
| ROIs | Conventional Mean ± std | HD Mean ± std | F-test variance (F, p), variance ratio | ||
| L_Inferior_Parietal_Lobule_ACD | 0.347 ± 0.03 | 0.182 ± 0.05 | (F = 2.67, p < 0.001 ***), 2.76 | ||
| L_Angular_Gyrus_ACD | 0.3 ± 0.24 | 0.19 ± 0.29 | (F = 1.6, p = 0.01 **), 1.6 | ||
| L_MiddleTemporalGyrus_ACD | 0.31 ± 0.023 | 0.21 ± 0.029 | (F = 0.9, p = 0.001 **), 0.93 | ||
| L_InferiorTemporalGyrus_ACD | 0.3 ± 0.034 | 0.19 ± 0.04 | (F = 0.516, p = 0.7), 0.517 | ||
| L_Inferior_Parietal_Lobule_Dose | 2.22 ± 6.27 | 2.51 ± 6.49 | (F = 0.25, p < 0.001 ***), 0.252 | ||
| L_Angular_Gyrus_Dose | 2.24 ± 3.95 | 2.60 ± 4.17 | (F = 0.34, p < 0.001 ***), 0.35 | ||
| L_MiddleTemporalGyrus_Dose | 2.24 ± 2.92 | 2.71 ± 5.25 | (F = 0.29, p < 0.001 ***), 0.289 | ||
| L_InferiorTemporalGyrus_Dose | 2.18 ± 3.64 | 2.50 ± 5.26 | (F = 0.305, p < 0.001 ***), 0.305 | ||
Disclaimer/Publisher’s Note: The statements, opinions and data contained in all publications are solely those of the individual author(s) and contributor(s) and not of MDPI and/or the editor(s). MDPI and/or the editor(s) disclaim responsibility for any injury to people or property resulting from any ideas, methods, instructions or products referred to in the content. |
© 2024 by the authors. Licensee MDPI, Basel, Switzerland. This article is an open access article distributed under the terms and conditions of the Creative Commons Attribution (CC BY) license (https://creativecommons.org/licenses/by/4.0/).
Share and Cite
Bhattacharjee, S.; Kashyap, R.; Sreeraj, V.S.; Sivakumar, P.T.; Venkatasubramanian, G.; Desmond, J.E.; Chen, S.H.A.; Sathyaprabha, T.N.; Udupa, K. Personalized Dose Selection for Treatment of Patients with Neuropsychiatric Disorders Using tDCS. Brain Sci. 2024, 14, 1162. https://doi.org/10.3390/brainsci14121162
Bhattacharjee S, Kashyap R, Sreeraj VS, Sivakumar PT, Venkatasubramanian G, Desmond JE, Chen SHA, Sathyaprabha TN, Udupa K. Personalized Dose Selection for Treatment of Patients with Neuropsychiatric Disorders Using tDCS. Brain Sciences. 2024; 14(12):1162. https://doi.org/10.3390/brainsci14121162
Chicago/Turabian StyleBhattacharjee, Sagarika, Rajan Kashyap, Vanteemar S. Sreeraj, Palanimuthu T. Sivakumar, Ganesan Venkatasubramanian, John E. Desmond, S. H. Annabel Chen, T. N. Sathyaprabha, and Kaviraja Udupa. 2024. "Personalized Dose Selection for Treatment of Patients with Neuropsychiatric Disorders Using tDCS" Brain Sciences 14, no. 12: 1162. https://doi.org/10.3390/brainsci14121162
APA StyleBhattacharjee, S., Kashyap, R., Sreeraj, V. S., Sivakumar, P. T., Venkatasubramanian, G., Desmond, J. E., Chen, S. H. A., Sathyaprabha, T. N., & Udupa, K. (2024). Personalized Dose Selection for Treatment of Patients with Neuropsychiatric Disorders Using tDCS. Brain Sciences, 14(12), 1162. https://doi.org/10.3390/brainsci14121162

