Neuroergonomic Attention Assessment in Safety-Critical Tasks: EEG Indices and Subjective Metrics Validation in a Novel Task-Embedded Reaction Time Paradigm
Abstract
1. Introduction
1.1. Related Work
1.2. Research Overview
- We adapted the NASA Multi-Attribute Task Battery (MATB-II), a commonly used computer-based task in neuroergonomics studies, to manipulate the level of attention required gradually to cope with the task successfully. This was achieved by setting a simple reaction time task as a primary task that participants had to engage with throughout the experiment, which provided a baseline level of attention to this task without any multitasking. Two secondary tasks were added incrementally to increase the required level of attention in order maintain task performance.
- By gradually adding the secondary tasks (each combined with the primary task only, and all three tasks combined), four distinct levels of attentional demands were created (low; medium 1; medium 2; high). To examine the impact of sequence of attentional demands on attention, the sample was divided into two groups, presented with either increasing or decreasing demands, while controlling for fatigue.
- We recorded the physiological signals (EEG, eye-tracking, and ECG; to maintain the text at a comprehensible length, only the EEG signals are discussed in the present paper), performance, and subjective measures of 60 participants while engaging with the task. The EEG data were pre-processed, and two versions of engagement index were extracted: β/(α + θ) and β/α.
- The experimental paradigm, including the experimental manipulation and fatigue control, was tested and confirmed, establishing the groundwork for EEG indices evaluation.
- The EEG indices were statistically evaluated in their response to different attentional demands as well as to the dynamics of changes in those demands operationalized as increasing vs. decreasing demands.
- The relationship between EEG indices and performance-based measures was examined by testing their overall correlations, as well as within each experimental condition, to gain more nuanced insights into the patterns of their sensitivity.
- Finally, several regression models, combining all the measures (EEG, performance, and subjective ratings), were run to explore the differential contribution of each measure to predicting the attentional lapses. To this end, we used both a modified Poisson regression and a number of library models whose hyperparameters were chosen using an AutoML procedure. Furthermore, we assessed the input feature importance using their Shapley value.
2. Materials and Methods
2.1. Participants
2.2. Experimental Paradigm: Task-Embedded Reaction Time
- (a)
- Experimental manipulation of task demands to evoke the change in cognitive state of interest;
- (b)
- Objective measurements of performance metrics (reaction time, errors etc.);
- (c)
- Subjective measures capturing participants’ perception of level of difficulty, effort, etc.
2.2.1. Procedure
2.2.2. MATB-II Task Adaptation
2.3. EEG Data Acquisition and Processing
2.4. Measures
2.4.1. Subjective Measures
2.4.2. Behavioral Measures
2.4.3. Physiological Measures
- (1)
- Engagement Index (EI), as defined originally by [5], is calculated as a ratio between the power of faster brain waves, represented by the beta (β) frequency range, divided by the sum of the powers of slower brain waves, represented by the alpha (α) and theta (θ) frequency ranges, as shown in Table 1. Even though the beta band is commonly defined within the 13–30 Hz range, in our study, we have limited it to the lower beta range (13–22 Hz), following [5], and since lower beta is more typically associated with attention [55].
- (2)
- Beta over Alpha Index (shorthand: Β/A) is defined as the ratio between beta and alpha powers () (also denoted as the engagement index in some studies, such as [23]). For the purpose of comparison, as well as with the motivation of exploring measures that are feasible for practical, real-world applications, where minimizing the number of electrodes is essential to reducing setup complexity, we have computed this index over the same EEG channels as the original EI.
- (3)
2.5. Statistical Analyses and Machine Learning Methods
3. Results
3.1. Experimental Paradigm Assessment
3.1.1. Experimental Manipulation: The Effect of Attentional Demands on Performance
3.1.2. Fatigue Control
3.1.3. Mental Workload and Reported Task Difficulty
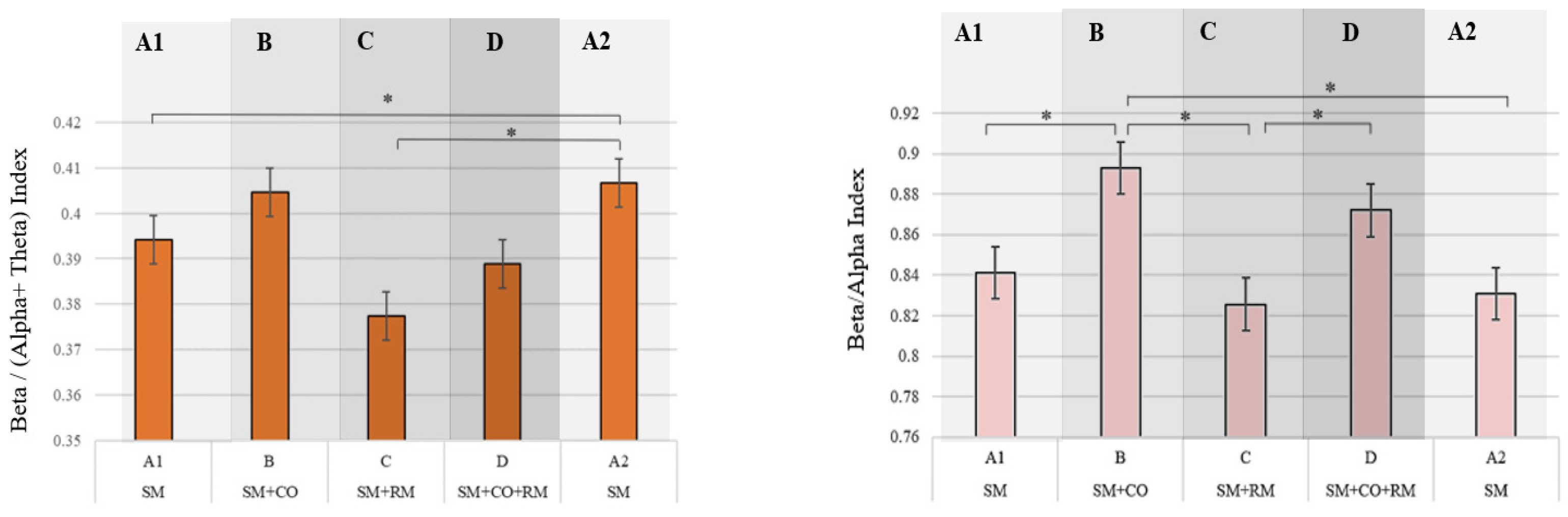
3.2. Sensitivity of Engagement Indices and Subjective Reports of Attention Level
3.3. Correlations between EEG Indices and Reaction Time Measures
3.4. Triangulation of Reaction Time-, EEG-, and Subjective- Measures for Predicting the Lapses in Attention
4. Discussion
4.1. Experimental Paradigm Assessment
4.2. Sensitivity of Engagement Indices and Subjective Reports of Attention Level
4.3. Correlations between EEG Indices and Reaction Time Measures
4.4. Triangulation of Reaction Time-, EEG-, and Subjective- Measures for Predicting the Lapses in Attention
4.5. Study Limitations and Future Work
5. Conclusions
Author Contributions
Funding
Institutional Review Board Statement
Informed Consent Statement
Data Availability Statement
Acknowledgments
Conflicts of Interest
References
- Rueda, M.R.; Pozuelos, J.P.; Cómbita, L.M. Cognitive Neuroscience of Attention From brain mechanisms to individual differences in efficiency. AIMS Neurosci. 2015, 2, 183–202. [Google Scholar] [CrossRef]
- Esterman, M.; Rothlein, D. Models of sustained attention. Curr. Opin. Psychol. 2019, 29, 174–180. [Google Scholar] [CrossRef] [PubMed]
- Yamashita, A.; Rothlein, D.; Kucyi, A.; Valera, E.M.; Germine, L.; Wilmer, J.; DeGutis, J.; Esterman, M. Variable rather than extreme slow reaction times distinguish brain states during sustained attention. Sci. Rep. 2021, 11, 1–13. [Google Scholar] [CrossRef] [PubMed]
- Wan, Z.; He, J.; Voisine, A. An Attention Level Monitoring and Alarming System for the Driver Fatigue in the Pervasive Environment. Brain Health Inform. 2013, 8211, 287–296. [Google Scholar] [CrossRef]
- Pope, A.T.; Bogart, E.H.; Bartolome, D.S. Biocybernetic system evaluates indices of operator engagement in automated task. Biol. Psychol. 1995, 40, 187–195. [Google Scholar] [CrossRef]
- Aricò, P.; Borghini, G.; Di Flumeri, G.; Colosimo, A.; Bonelli, S.; Golfetti, A.; Pozzi, S.; Imbert, J.-P.; Granger, G.; Benhacene, R.; et al. Adaptive Automation Triggered by EEG-Based Mental Workload Index: A Passive Brain-Computer Interface Application in Realistic Air Traffic Control Environment. Front. Hum. Neurosci. 2016, 10, 539. [Google Scholar] [CrossRef]
- Pušica, M.; Kartali, A.; Bojović, L.; Gligorijević, I.; Jovanović, J.; Leva, M.C.; Mijović, B. Mental Workload Classification and Tasks Detection in Multitasking: Deep Learning Insights from EEG Study. Brain Sci. 2024, 14, 149. [Google Scholar] [CrossRef]
- Parasuraman, R. Neuroergonomics: Research and practice. Theor. Issues Ergon. Sci. 2003, 4, 5–20. [Google Scholar] [CrossRef]
- Mehta, R.K.; Parasuraman, R. Neuroergonomics: A review of applications to physical and cognitive work. Front. Hum. Neurosci. 2013, 7, 889. [Google Scholar] [CrossRef]
- Ayaz, H.; Dehais, F. Neuroergonomics: The Brain at Work and in Everyday Life; Academic Press: Cambridge, MA, USA, 2019. [Google Scholar]
- Ayaz, H.; Dehais, F. Neuroergonomics. In Handbook of Human Factors and Ergonomics, 5th ed.; Wiley: Hoboken, NJ, USA, 2021; pp. 816–841. [Google Scholar] [CrossRef]
- Mascia, A.; Collu, R.; Spanu, A.; Fraschini, M.; Barbaro, M.; Cosseddu, P. Wearable System Based on Ultra-Thin Parylene C Tattoo Electrodes for EEG Recording. Sensors 2023, 23, 766. [Google Scholar] [CrossRef]
- Kartali, A.; Janković, M.M.; Gligorijević, I.; Mijović, P.; Mijović, B.; Leva, M.C. Real-Time Mental Workload Estimation Using EEG; Springer International Publishing: Berlin/Heidelberg, Germany, 2019; pp. 20–34. [Google Scholar] [CrossRef]
- Ladouce, S.; Pietzker, M.; Manzey, D.; Dehais, F. Evaluation of a headphones-fitted EEG system for the recording of auditory evoked potentials and mental workload assessment. Behav. Brain Res. 2024, 460, 114827. [Google Scholar] [CrossRef] [PubMed]
- Millstine, D.M.; Bhagra, A.; Jenkins, S.M.; Croghan, I.T.; Stan, D.L.; Boughey, J.C.; Nguyen, M.-D.T.; Pruthi, S. Use of a Wearable EEG Headband as a Meditation Device for Women with Newly Diagnosed Breast Cancer: A Randomized Controlled Trial. Integr. Cancer Ther. 2019, 18, 153473541987877. [Google Scholar] [CrossRef] [PubMed]
- Jeong, D.-H.; Jeong, J. In-Ear EEG Based Attention State Classification Using Echo State Network. Brain Sci. 2020, 10, 321. [Google Scholar] [CrossRef] [PubMed]
- Zhang, X.; Li, J.; Liu, Y.; Zhang, Z.; Wang, Z.; Luo, D.; Zhou, X.; Zhu, M.; Salman, W.; Hu, G.; et al. Design of a Fatigue Detection System for High-Speed Trains Based on Driver Vigilance Using a Wireless Wearable EEG. Sensors 2017, 17, 486. [Google Scholar] [CrossRef] [PubMed]
- Chang, C.-Y.; Hsu, S.-H.; Pion-Tonachini, L.; Jung, T.-P. Evaluation of Artifact Subspace Reconstruction for Automatic Artifact Components Removal in Multi-Channel EEG Recordings. IEEE Trans. Biomed. Eng. 2019, 67, 1114–1121. [Google Scholar] [CrossRef]
- Plechawska-Wojcik, M.; Kaczorowska, M.; Zapala, D. The Artifact Subspace Reconstruction (ASR) for EEG Signal Correction. A Comparative Study; Springer International Publishing: Berlin/Heidelberg, Germany, 2019; pp. 125–135. [Google Scholar] [CrossRef]
- da Silva Fernando, L. EEG and MEG: Relevance to Neuroscience. Neuron 2013, 80, 1112–1128. [Google Scholar] [CrossRef]
- Michelini, G.; Salmastyan, G.; Vera, J.D.; Lenartowicz, A. Event-related brain oscillations in attention-deficit/hyperactivity disorder (ADHD): A systematic review and meta-analysis. Int. J. Psychophysiol. 2022, 174, 29–42. [Google Scholar] [CrossRef]
- Chikhi, S.; Matton, N.; Blanchet, S. EEGpower spectral measures of cognitive workload: A meta-analysis. Psychophysiology 2022, 59, e14009. [Google Scholar] [CrossRef]
- Coelli, S.; Sclocco, R.; Barbieri, R.; Reni, G.; Zucca, C.; Bianchi, A.M. EEG-based index for engagement level monitoring during sustained attention. In Proceedings of the 2015 37th Annual International Conference of the IEEE Engineering in Medicine and Biology Society (EMBC), Milan, Italy, 25–29 August 2015; pp. 1512–1515. [Google Scholar]
- Prinsen, J.; Pruss, E.; Vrins, A.; Ceccato, C.; Alimardani, M. A Passive Brain-Computer Interface for Monitoring Engagement during Robot-Assisted Language Learning. In Proceedings of the 2022 IEEE International Conference on Systems, Man, and Cybernetics (SMC), Prague, Czech Republic, 9–12 October 2022; pp. 1967–1972. [Google Scholar]
- Kosmyna, N.; Maes, P. Attentivu: An EEG-based closed-loop biofeedback system for real-time monitoring and improvement of engagement for personalized learning. Sensors 2019, 19, 5200. [Google Scholar] [CrossRef]
- Freeman, F.G.; Mikulka, P.J.; Prinzel, L.J.; Scerbo, M.W. Evaluation of an adaptive automation system using three EEG indices with a visual tracking task. Biol. Psychol. 1999, 50, 61–76. [Google Scholar] [CrossRef]
- Dehais, F.; Roy, R.N.; Durantin, G.; Gateau, T.; Callan, D. EEG-Engagement Index and Auditory Alarm Misperception: An Inattentional Deafness Study in Actual Flight Condition; Springer International Publishing: Berlin/Heidelberg, Germany, 2018; pp. 227–234. [Google Scholar] [CrossRef]
- Kamzanova, A.T.; Kustubayeva, A.M.; Matthews, G. Use of EEG Workload Indices for Diagnostic Monitoring of Vigilance Decrement. Hum. Factors: J. Hum. Factors Ergon. Soc. 2014, 56, 1136–1149. [Google Scholar] [CrossRef] [PubMed]
- Coelli, S.; Barbieri, R.; Reni, G.; Zucca, C.; Bianchi, A.M. EEG indices correlate with sustained attention performance in patients affected by diffuse axonal injury. Med. Biol. Eng. Comput. 2017, 56, 991–1001. [Google Scholar] [CrossRef] [PubMed]
- Natalizio, A.; Sieghartsleitner, S.; Schreiner, L.; Walchshofer, M.; Esposito, A.; Scharinger, J.; Pretl, H.; Arpaia, P.; Parvis, M.; Solé-Casals, J.; et al. Real-time estimation of EEG-based engagement in different tasks. J. Neural Eng. 2024, 21, 016014. [Google Scholar] [CrossRef] [PubMed]
- Kislov, A.; Gorin, A.; Konstantinovsky, N.; Klyuchnikov, V.; Bazanov, B.; Klucharev, V. Central EEG Beta/Alpha Ratio Predicts the Population-Wide Efficiency of Advertisements. Brain Sci. 2022, 13, 57. [Google Scholar] [CrossRef] [PubMed]
- Nishizawa, Y.; Tanaka, H.; Fukasawa, R.; Hirao, K.; Tsugawa, A.; Shimizu, S. Evaluation of Cognitive Decline Using Elec-troencephalograph Beta/Alpha Ratio During Brain-Computer Interface Tasks. In Proceedings of the International Symposium on Affective Science and Engineering, Online, 9 March 2021. [Google Scholar]
- Wen, T.Y.; Aris, S.A.M. Electroencephalogram (EEG) stress analysis on alpha/beta ratio and theta/beta ratio. Indones. J. Electr. Eng. Comput. Sci. 2020, 17, 175–182. [Google Scholar] [CrossRef]
- Salah, M.; Yusuf, U.; Islam, M.; Roy, S. Stress Identification during Sustained Mental Task and Brain Relaxation Modeling with ⁄ Band Power Ratio. In Proceedings of the 4th International Conference on Electrical Information and Communication Technology (EICT), Khulna, Bangladesh, 20–22 December 2019; pp. 1–5. [Google Scholar] [CrossRef]
- Ismail, L.E.; Karwowski, W. Applications of EEG indices for the quantification of human cognitive performance: A systematic review and bibliometric analysis. PLoS ONE 2020, 15, e0242857. [Google Scholar] [CrossRef]
- Chandra, S.; Verma, K.L.; Sharma, G.; Mittal, A.; Jha, D. Eeg based cognitive workload classification during nasa matb-ii multitasking. Int. J. Cogn. Res. Sci. Eng. Educ. 2015, 3, 35–41. [Google Scholar] [CrossRef]
- Yamashita, J.; Terashima, H.; Yoneya, M.; Maruya, K.; Oishi, H.; Kumada, T. Pupillary fluctuation amplitude preceding target presentation is linked to the variable foreperiod effect on reaction time in Psychomotor Vigilance Tasks. PLoS ONE 2022, 17, e0276205. [Google Scholar] [CrossRef]
- Flehmig, C.H.; Steinborn, M.; Langner, R.; Scholz, A.; Westhoff, K. Assessing intraindividual variability in sustained attention: Reliability, relation to speed and accuracy, and practice effects. Psychol. Sci. 2007, 49, 132. Available online: https://www.researchgate.net/publication/26514529_Assessing_intraindividual_variability_in_sustained_attention_Reliability_relation_to_speed_and_accuracy_and_practice_effects (accessed on 27 January 2024).
- Hamann, A.; Carstengerdes, N. Don’t Think Twice, It’s All Right?—An Examination of Commonly Used EEG Indices and Their Sensitivity to Mental Workload; Springer Nature: Cham, Switzerland, 2023; pp. 65–78. [Google Scholar] [CrossRef]
- Berka, C.; Levendowski, D.J.; Lumicao, M.N.; Yau, A.; Davis, G.; Zivkovic, V.T.; Olmstead, R.E.; Tremoulet, P.D.; Craven, P.L. EEG Correlates of Task Engagement and Mental Workload in Vigilance, Learning and Memory tasks. Aviat Space Environ Med 2007, 78, B231–B244. [Google Scholar]
- Brouwer, A.-M.; Zander, T.O.; van Erp, J.B.F.; Korteling, J.E.; Bronkhorst, A.W. Using neurophysiological signals that reflect cognitive or affective state: Six recommendations to avoid common pitfalls. Front. Neurosci. 2015, 9, 136. [Google Scholar] [CrossRef] [PubMed]
- Roy, R.N.; Drougard, N.; Gateau, T.; Dehais, F.; Chanel, C.P.C. How Can Physiological Computing Benefit Human-Robot Interaction? Robotics 2020, 9, 100. [Google Scholar] [CrossRef]
- Mackworth, J.F. Performance decrement in vigilance, threshold, and high-speed perceptual motor tasks 1. Can. J. Psychol./Rev. 1964, 18, 209. [Google Scholar] [CrossRef] [PubMed]
- Borghini, G.; Arico, P.; Di Flumeri, G.; Salinari, S.; Colosimo, A.; Bonelli, S.; Napoletano, L.; Ferreira, A.; Babiloni, F. Avionic technology testing by using a cognitive neurometric index: A study with professional helicopter pilots. In Proceedings of the 2015 37th Annual International Conference of the IEEE Engineering in Medicine and Biology Society (EMBC), Milan, Italy, 25–29 August 2015; pp. 6182–6185. [Google Scholar]
- Muñoz-de-Escalona, E.; Cañas, J.J.; Leva, C.; Longo, L. Task Demand Transition Peak Point Effects on Mental Workload Measures Divergence. Commun. Comput. Inf. Sci. 2020, 1318, 207–226. [Google Scholar] [CrossRef]
- Santiago-Espada, Y.; Myer, R.R.; Latorella, K.A.; Comstock, J.R. The Multi-Attribute Task Battery II (MATB-II) Software for Human Performance and Workload Research: A User’s Guide; NASA: Washington, DC, USA, 2011. [Google Scholar]
- Bjegojevic, B.; Leva, M.C.; Cromie, S.; Balfe, N. Physiological Indicators for Real-Time Detection of Operator’s Attention. In Book of Extended Abstracts for the 32nd European Safety and Reliability Conference; Research Publishing Services: Singapore, 2022; pp. 3309–3316. [Google Scholar] [CrossRef]
- Jasper, H.H. Ten-Twenty Electrode System of the International Federation. Electroencephalogr. Clin. Neurophysiol. 1958, 10, 371–375. [Google Scholar]
- Makeig, S.; Jung, T.-P.; Bell, A.J.; Sejnowski, T.J. Independent Component Analysis of Electroencephalographic Data. Adv. Neural Inf. Process Syst. 1995, 8, 145–151. [Google Scholar]
- Delorme, A.; Makeig, S. EEGLAB: An open source toolbox for analysis of single-trial EEG dynamics including independent component analysis. J. Neurosci. Methods 2004, 134, 9–21. [Google Scholar] [CrossRef]
- Sanders, N.; Choo, S.; Nam, C.S. The EEG Cookbook: A Practical Guide to Neuroergonomics Research. In Neuroergonomics Principles and Practice; Springer: Berlin/Heidelberg, Germany, 2020; pp. 33–51. [Google Scholar] [CrossRef]
- Delorme, A.; Makeig, S. This is no “ICA bug”: Response to the article, “ICA’s bug: How ghost ICs emerge from effective rank deficiency caused by EEG electrode interpolation and incorrect re-referencing”. Front. Neuroimaging 2023, 2, 1331404. [Google Scholar] [CrossRef]
- Teh, E.; Jamson, S.; Carsten, O.; Jamson, H. Temporal fluctuations in driving demand: The effect of traffic complexity on subjective measures of workload and driving performance. Transp. Res. Part F Traffic Psychol. Behav. 2014, 22, 207–217. [Google Scholar] [CrossRef]
- Annett, J. Subjective rating scales: Science or art? Ergonomics 2002, 45, 966–987. [Google Scholar] [CrossRef]
- Ray, W.J.; Cole, H.W. EEG activity during cognitive processing: Influence of attentional factors. Int. J. Psychophysiol. 1985, 3, 43–48. [Google Scholar] [CrossRef] [PubMed]
- Stier, J.; Gianini, G.; Granitzer, M.; Ziegler, K. Analysing Neural Network Topologies: A Game Theoretic Approach. Procedia Comput. Sci. 2018, 126, 234–243. [Google Scholar] [CrossRef]
- Gianini, G.; Fossi, L.G.; Mio, C.; Caelen, O.; Brunie, L.; Damiani, E. Managing a pool of rules for credit card fraud detection by a Game Theory based approach. Futur. Gener. Comput. Syst. 2019, 102, 549–561. [Google Scholar] [CrossRef]
- Lundberg, S.M.; Erion, G.; Chen, H.; DeGrave, A.; Prutkin, J.M.; Nair, B.; Katz, R.; Himmelfarb, J.; Bansal, N.; Lee, S.-I. From Local Explanations to Global Understanding with Explainable AI for Trees HHS Public Access. Nat. Mach. Intell. 2020, 2, 56–67. [Google Scholar] [CrossRef]
- Lundberg, S. A Unified Approach to Interpreting Model Predictions. Available online: https://github.com/slundberg/shap (accessed on 10 August 2021).
- Leva, M.C.; Demichela, M.; Comberti, L.; Caimo, A. Human performance in manufacturing tasks: Optimization and assessment of required workload and capabilities. Saf. Sci. 2022, 154, 105838. [Google Scholar] [CrossRef]
- Hockey, G.R.J.; Nickel, P.; Roberts, A.C.; Roberts, M.H. Sensitivity of candidate markers of psychophysiological strain to cyclical changes in manual control load during simulated process control. Appl. Ergon. 2009, 40, 1011–1018. [Google Scholar] [CrossRef]
- Fairclough, S.H. Fundamentals of physiological computing. Interact. Comput. 2009, 21, 133–145. [Google Scholar] [CrossRef]













| EEG Feature Name (Notion) | Formula | EEG Frequency Band Ranges (Channels) |
|---|---|---|
| Engagement Index (EI) | β/(α + θ) | θ: 4–8 Hz (Cz, Pz, P3, and P4) α: 8–13 Hz (Cz, Pz, P3, and P4) β: 13–22 Hz (Cz, Pz, P3, and P4) |
| Beta over Alpha Index (Β/A) | β/α | θ: 4–8 Hz (Cz, Pz, P3, and P4) α: 8–13 Hz (Cz, Pz, P3, and P4) β: 13–22 Hz (Cz, Pz, P3, and P4) |
| Mental Workload Index (MWL) | θ/α | θ: 4–7 Hz (Fz) α: 8–12 Hz (Pz) |
| Metrics | Definitions |
|---|---|
| Mean Absolute Error | MAE |
| Mean Squared Error | MSE |
| Root Mean Square Error | RMSE |
| Coefficient of Determination | |
| Root Mean Squared Logarithmic Error | RMSLE |
| Mean Absolute Percentage Error | MAPE |
| Condition | Min | Max | Mean | SD |
|---|---|---|---|---|
| A1 | 0.00 | 1.00 | 0.0175 | 0.13245 |
| B | 0.00 | 13.00 | 1.7895 | 2.67753 |
| C | 0.00 | 5.00 | 0.5263 | 1.24076 |
| D | 0.00 | 12.00 | 2.1404 | 2.62160 |
| A2 | 0.00 | 2.00 | 0.0702 | 0.31958 |
| Reaction Time Measures | EEG Measures | Subjective Measure | |||||
|---|---|---|---|---|---|---|---|
| CVrt | RT | β/α | EI | MWI | Self-Reported Focus Level | ||
| Sensitivity to attentional demands | Number of significant differences between conditions | G1: 10/10 G2: 9/10 | 8/10 | 4/10 | 2/10 | 2/10 | 9/21 |
| Effect size (partial η2) | 0.72 | 0.75 | 0.10 | 0.08 | 0.09 | 0.29 | |
| Sensitivity to direction of changes in demands | Significant difference between increasing (G1) and decreasing loads (G2) | Yes | No | No | No | No | No |
| Effect size (partial η2) | 0.27 | - | - | - | - | - | |
| Sensitivity to fatigue onset | Significant difference between A1 and A2 | Yes, in G1 | No | No | Yes | No | Yes |
| Direction of difference | A1 < A2 | - | - | A1 < A2 | - | A1 > A2 | |
| Engagement Index (EI) | Beta/Alpha Index | Mental Workload Index (MWI) | |
|---|---|---|---|
| Reaction time (RT) | r = 0.37 ** | r = 0.31 * | n.s. |
| rho = 0.39 ** | rho = 0.34 * | n.s. | |
| tau-b = 0.27 ** | tau-b = 0.22 * | n.s. |
| A1 SysMon | B SysMon + Comm | C SysMon + ResMan | D SysMon + Comm + Resman | A2 SysMon | |
|---|---|---|---|---|---|
| EI | r = n.s. | r = 0.35 ** | r = 0.32 * | r = 0.39 ** | r = n.s. |
| τ = 0.22 * | τ = 0.22 * | τ = 0.22 * | τ = 0.24 ** | τ = n.s. | |
| ρ = 0.29 * | ρ = 0.32 * | ρ = 0.33 * | ρ = 0.37 ** | ρ = n.s. | |
| Beta/Alpha | r = n.s. | r = n.s. | r = 0.41 ** | r = 0.32 * | r = n.s. |
| τ = n.s. | τ = n.s. | τ = 0.23 * | τ = 0.22 * | τ = n.s. | |
| ρ = n.s. | ρ = n.s. | ρ = 0.36 ** | ρ = 0.33 * | ρ = n.s. | |
| MWI | r = n.s. | r = n.s. | r = n.s. | r = n.s. | r = n.s. |
| τ = n.s. | τ = n.s. | τ = n.s. | τ = n.s. | τ = n.s. | |
| ρ = n.s. | ρ = n.s. | ρ = n.s. | ρ = n.s. | ρ = n.s. |
| Coefficients: | Estimate | Std. Error | z | value Pr (>|z|) |
|---|---|---|---|---|
| (Intercept) | −7.237976 | 0.846933 | −8.546 | 8.68 × 10−16 *** |
| a = condition | −0.162389 | 0.096252 | 1.687 | 0.0927 |
| b = avg_RT | 1.431375 | 0.125078 | 11.44 | <2 × 10−16 *** |
| c = avg_CV_RT | 0.049976 | 0.006214 | 8.042 | 2.59 × 10−14 *** |
| d = avg_Beta/Alpha | 0.247277 | 0.282468 | 0.875 | 0.3821 |
| e = subFoc | −0.086203 | 0.051583 | −1.671 | 0.0958 |
| f = subFat | 0.034946 | 0.037516 | 0.932 | 0.3524 |
| g = subDiff | 0.145577 | 0.048960 | 2.973 | 0.0032 ** |
| Model | MAE | MSE | RMSE | R2 | RMSLE | MAPE | |
|---|---|---|---|---|---|---|---|
| et | Extra Trees Regressor | 0.0159 | 0.0008 | 0.0276 | 0.3170 | 0.0256 | 0.6836 |
| huber | Huber Regressor | 0.0163 | 0.0010 | 0.0293 | 0.2990 | 0.0272 | 0.5451 |
| br | Bayesian Ridge | 0.0186 | 0.0009 | 0.0284 | 0.2894 | 0.0266 | 0.5392 |
| ridge | Ridge Regression | 0.0187 | 0.0009 | 0.0285 | 0.2770 | 0.0267 | 0.5528 |
| lr | Linear Regression | 0.0188 | 0.0009 | 0.0287 | 0.2690 | 0.0267 | 0.5569 |
| lar | Least Angle Regression | 0.0199 | 0.0010 | 0.0298 | 0.1978 | 0.0279 | 0.6135 |
| rf | Random Forest Regressor | 0.0158 | 0.0009 | 0.0289 | 0.1903 | 0.0267 | 0.725 |
| lightgbm | Light Gradient Boosting Machine | 0.0180 | 0.0011 | 0.0313 | 0.1259 | 0.0290 | 0.8398 |
| gbr | Gradient Boosting Regressor | 0.0179 | 0.0011 | 0.0305 | 0.0925 | 0.0283 | 0.8216 |
| knn | K Neighbors Regressor | 0.0190 | 0.0013 | 0.0335 | 0.0700 | 0.0314 | 0.6365 |
| omp | Orthogonal Matching Pursuit | 0.0216 | 0.0013 | 0.0340 | 0.0458 | 0.0319 | 0.5312 |
| xgboost | Extreme Gradient Boosting | 0.0168 | 0.0012 | 0.0322 | −0.0044 | 0.0296 | 0.8507 |
| ada | AdaBoost Regressor | 0.0222 | 0.0013 | 0.033 | −0.068 | 0.0306 | 0.6729 |
| lasso | Lasso Regression | 0.0248 | 0.0015 | 0.0361 | −0.0851 | 0.0339 | 0.5078 |
| en | Elastic Net | 0.0248 | 0.0015 | 0.0361 | −0.0851 | 0.0339 | 0.5078 |
| llar | Lasso Least Angle Regression | 0.0248 | 0.0015 | 0.0361 | −0.0851 | 0.0339 | 0.5078 |
| dummy | Dummy Regressor | 0.0248 | 0.0015 | 0.0361 | −0.0851 | 0.0339 | 0.5078 |
| dt | Decision Tree Regressor | 0.0211 | 0.0018 | 0.0394 | −0.5858 | 0.0363 | 1.0473 |
| par | Passive Aggressive Regressor | 0.0540 | 0.0036 | 0.0593 | −2.9409 | 0.0566 | 1.3479 |
Disclaimer/Publisher’s Note: The statements, opinions and data contained in all publications are solely those of the individual author(s) and contributor(s) and not of MDPI and/or the editor(s). MDPI and/or the editor(s) disclaim responsibility for any injury to people or property resulting from any ideas, methods, instructions or products referred to in the content. |
© 2024 by the authors. Licensee MDPI, Basel, Switzerland. This article is an open access article distributed under the terms and conditions of the Creative Commons Attribution (CC BY) license (https://creativecommons.org/licenses/by/4.0/).
Share and Cite
Bjegojević, B.; Pušica, M.; Gianini, G.; Gligorijević, I.; Cromie, S.; Leva, M.C. Neuroergonomic Attention Assessment in Safety-Critical Tasks: EEG Indices and Subjective Metrics Validation in a Novel Task-Embedded Reaction Time Paradigm. Brain Sci. 2024, 14, 1009. https://doi.org/10.3390/brainsci14101009
Bjegojević B, Pušica M, Gianini G, Gligorijević I, Cromie S, Leva MC. Neuroergonomic Attention Assessment in Safety-Critical Tasks: EEG Indices and Subjective Metrics Validation in a Novel Task-Embedded Reaction Time Paradigm. Brain Sciences. 2024; 14(10):1009. https://doi.org/10.3390/brainsci14101009
Chicago/Turabian StyleBjegojević, Bojana, Miloš Pušica, Gabriele Gianini, Ivan Gligorijević, Sam Cromie, and Maria Chiara Leva. 2024. "Neuroergonomic Attention Assessment in Safety-Critical Tasks: EEG Indices and Subjective Metrics Validation in a Novel Task-Embedded Reaction Time Paradigm" Brain Sciences 14, no. 10: 1009. https://doi.org/10.3390/brainsci14101009
APA StyleBjegojević, B., Pušica, M., Gianini, G., Gligorijević, I., Cromie, S., & Leva, M. C. (2024). Neuroergonomic Attention Assessment in Safety-Critical Tasks: EEG Indices and Subjective Metrics Validation in a Novel Task-Embedded Reaction Time Paradigm. Brain Sciences, 14(10), 1009. https://doi.org/10.3390/brainsci14101009

